Experimental, Theoretical and Simulation Studies on the Thermal Behavior of PLA-Based Nanocomposites Reinforced with Different Carbonaceous Fillers
Abstract
1. Introduction
2. Materials and Methods
2.1. Materials
2.2. Preparation of Nanocomposites and Test Samples
2.3. Experimental and Numerical Methods
2.3.1. Morphological Analysis
2.3.2. DC Electrical Conductivity Analysis
2.3.3. Thermal Characterization
2.3.4. Design of Experiments (DoE) for Thermal Characterization
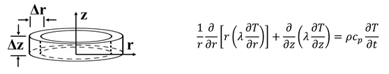
2.3.5. Multiphysics Simulations of Thermal Properties
- q is the heat flux, i.e., the rate of heat flow per unit area [W/m2];
- λ is the intrinsic thermal conductivity of the material, assumed to be constant in the present work [W/m∙K];
- is the temperature gradient [K/m].
- is the density of the material [kg/m3];
- cp is the specific heat of material [J/kg∙K];
- is the heat generated per unit volume [W/m3].
3. Results
3.1. Morphological Analysis
3.2. DC Electrical Conductivity
3.3. Thermal Conductivity of PLA-Based Nanocomposites
3.4. Design of Experiment (DoE): Dex Scatter Plot (DSP) and Main Factor Plot (MFP) for Thermal Conductivity
3.5. Response Surface Methodology (RSM)
3.6. Simulation Results of Thermal Transport in Solid-State Heat Sinks
3.6.1. Thermal Analysis
3.6.2. Total Internal Energy Analysis
3.6.3. Heat Fluxes (Conductive/Convective) Analysis
4. Discussion
5. Conclusions
Author Contributions
Funding
Institutional Review Board Statement
Informed Consent Statement
Data Availability Statement
Acknowledgments
Conflicts of Interest
References
- Namazi, H. Polymers in our daily life. BioImpacts 2017, 7, 73. [Google Scholar] [CrossRef] [PubMed]
- Foti, D. Preliminary analysis of concrete reinforced with waste bottles PET fibers. Constr. Build. Mater. 2011, 25, 1906–1915. [Google Scholar] [CrossRef]
- Horrocks, R.; Sitpalan, A.; Zhou, C.; Kandola, B.K. Flame retardant polyamide fibres: The challenge of minimising flame retardant additive contents with added nanoclays. Polymers 2016, 8, 288. [Google Scholar] [CrossRef]
- Lunt, J. Large scale production, properties and commercial applications of polylactic acid polymers. Polym. Degrad. Stab. 1998, 59, 145–152. [Google Scholar] [CrossRef]
- Gupta, B.; Revagade, N.; Hilborn, J. Poly(lactic) fiber: An overview. Prog. Polym. Sci. 2007, 32, 455–482. [Google Scholar] [CrossRef]
- Le Phuong, H.A.; Izzati Ayob, N.A.; Blanford, C.F.; Mohammad Rawi, N.F.; Szekely, G. Nonwoven membrane supports from renewable resources: Bamboo fiber reinforced poly (lactic acid) composites. ACS Sustain. Chem. Eng. 2019, 7, 11885–11893. [Google Scholar] [CrossRef]
- Bhagabati, P.; Bhasney, S.M.; Bose, D.; Remadevi, R.; Setty, M.; Rajkhowa, R.; Katiyar, V. Silk and Wool Protein Microparticle-Reinforced Crystalline Polylactic Acid Biocomposites with Improved Cell Interaction for Targeted Biomedical Applications. ACS Appl. Polym. Mater. 2020, 2, 4739–4751. [Google Scholar] [CrossRef]
- Van den Eynde, M.; Van Puyvelde, P. 3D Printing of Poly(lactic acid). In Industrial Applications of Poly(Lactic Acid); Di Lorenzo, M., Androsch, R., Eds.; Advances in Polymer Science; Springer: Cham, Germany, 2017; Volume 282, pp. 139–158. [Google Scholar]
- Vyavahare, S.; Teraiya, S.; Panghal, D.; Kumar, S. Fused deposition modelling: A review. Rapid Prototyp. J. 2020, 26, 176–201. [Google Scholar] [CrossRef]
- Mark, J.E. Polymer Data Handbook; Oxford University Press: London, UK, 2009; p. 1264. [Google Scholar]
- Durakovic, B. Design for additive manufacturing: Benefits, trends and challenges. Period. Eng. Nat. Sci. 2018, 6, 179–191. [Google Scholar] [CrossRef]
- Singamneni, S.; Yifan, L.V.; Hewitt, A.; Chalk, R.; Thomas, W.; Jordison, D. Additive Manufacturing for the Aircraft Industry: A Review. J. Aeronaut. Aerosp. Eng. 2019, 8, 1–13. [Google Scholar] [CrossRef]
- Javaid, M.; Haleem, A. Additive manufacturing applications in medical cases: A literature based review. Alex. J. Med. 2018, 54, 411–422. [Google Scholar] [CrossRef]
- Salmi, M. Additive Manufacturing Processes in Medical Applications. Materials 2021, 14, 191. [Google Scholar] [CrossRef] [PubMed]
- Hoerber, J.; Glasschroeder, J.; Pfeer, M.; Schilp, J.; Zaeh, M.; Franke, J. Approaches for additive manufacturing of 3D electronic applications. Procedia CIRP 2014, 17, 806–811. [Google Scholar] [CrossRef]
- Bourell, D.; Kruth, J.P.; Leu, M.; Levy, G.; Rosen, D.; Beese, A.M.; Clare, A. Materials for additive manufacturing. CIRP Ann. 2017, 66, 659–681. [Google Scholar] [CrossRef]
- Kruth, J.P.; Leu, M.C.; Nakagawa, T. Progress in additive manufacturing and rapid prototyping. CIRP Ann. 1998, 47, 525–540. [Google Scholar] [CrossRef]
- Chen, H.; Ginzburg, V.V.; Yang, J.; Yang, Y.; Liu, W.; Huang, Y.; Du, L.; Chen, B. Thermal conductivity of polymer-based composites: Fundamentals and applications. Prog. Polym. Sci. 2016, 59, 41–85. [Google Scholar] [CrossRef]
- Zhidong, H.; Fina, A. Thermal conductivity of carbon nanotubes and their polymer nanocomposites: A review. Progr. Polym. Sci. 2011, 36, 914–944. [Google Scholar]
- Guo, Y.; Ruan, K.; Shi, X.; Yang, X.; Gu, J. Factors affecting thermal conductivities of the polymers and polymer composites: A review. Compos. Sci. Technol. 2020, 193, 108134. [Google Scholar] [CrossRef]
- Ramasubramaniam, R.; Chen, J.; Liu, H. Homogeneous carbon nanotube/polymer composites for electrical applications. Appl. Phys. Lett. 2003, 83, 2928–2930. [Google Scholar] [CrossRef]
- Jin, J.; Lin, Y.; Song, M.; Gui, C.; Leesirisan, S. Enhancing the electrical conductivity of polymer composites. Eur. Polym. J. 2013, 49, 1066–1072. [Google Scholar] [CrossRef]
- Huang, X.; Jiang, P.; Tanaka, T. A review of dielectric polymer composites with high thermal conductivity. IEEE Electr. Insul. Mag. 2011, 27, 8–16. [Google Scholar] [CrossRef]
- Ngo, I.-L.; Jeon, S.; Byon, C. Thermal conductivity of transparent and flexible polymers containing fillers: A literature review. Int. J. Heat Mass Trans. 2016, 98, 219–226. [Google Scholar] [CrossRef]
- Yang, Y. Physical Properties of Polymer Handbook; Springer Science & Business Media: New York, NY, USA, 2007; pp. 155–164. [Google Scholar]
- Maldovan, M. Sound and heat revolutions in phononics. Nature 2013, 503, 209–217. [Google Scholar] [CrossRef]
- Nan, C.W.; Shen, Y.; Ma, J. Physical properties of composites near percolation. Annu. Rev. Mater. Res. 2010, 40, 131–151. [Google Scholar] [CrossRef]
- Pezzana, L.; Riccucci, G.; Spriano, S.; Battegazzore, D.; Sangermano, M.; Chiappone, A. 3D Printing of PDMS-Like Polymer Nanocomposites with Enhanced Thermal Conductivity: Boron Nitride Based Photocuring System. Nanomaterials 2021, 11, 373. [Google Scholar] [CrossRef]
- Ji, J.; Chiang, S.W.; Liu, M.; Liang, X.; Li, J.; Gan, L.; Du, H. Enhanced thermal conductivity of alumina and carbon fibre filled composites by 3-D printing. Thermochim. Acta 2020, 690, 178649. [Google Scholar] [CrossRef]
- Laureto, J.; Tomasi, J.; King, J.A.; Pearce, J.M. Thermal properties of 3-D printed polylactic acid-metal composites. Prog. Addit. Manuf. 2017, 2, 57–71. [Google Scholar] [CrossRef]
- Huang, C.; Qian, X.; Yang, R. Thermal conductivity of polymers and polymer nanocomposites. Mater. Sci. Eng. R Rep. 2018, 132, 1–22. [Google Scholar] [CrossRef]
- Kotsilkova, R.; Ivanov, E.; Georgiev, V.; Ivanova, R.; Menseidov, D.; Batakliev, T.; Angelov, V.; Xia, H.; Chen, Y.; Bychanok, D.; et al. Essential Nanostructure Parameters to Govern Reinforcement and Functionality of Poly (lactic) Acid Nanocomposites with Graphene and Carbon Nanotubes for 3D Printing Application. Polymers 2020, 12, 1208. [Google Scholar] [CrossRef] [PubMed]
- Guadagno, L.; Raimondo, M.; Vertuccio, L.; Mauro, M.; Guerra, G.; Lafdi, K.; De Vivo, B.; Lamberti, P.; Spinelli, G.; Tucci, V. Optimization of graphene-based materials outperforming host matrices. RSC Adv. 2015, 5, 36969–36978. [Google Scholar] [CrossRef]
- Spinelli, G.; Lamberti, P.; Tucci, V.; Kotsilkova, R.; Ivanov, E.; Menseidov, D.; Naddeo, C.; Romano, V.; Guadagno, L.; Adami, R.; et al. Nanocarbon/Poly(Lactic) Acid for 3D Printing: Effect of Fillers Content on Electromagnetic and Thermal Properties. Materials 2019, 12, 2369. [Google Scholar] [CrossRef] [PubMed]
- ISO 22007-2:2015. Plastic—Determination of Thermal Conductivity and Thermal Diffusivity—Part 2: Transient Plane Heat Source (Hot Disc) Method; Swedish Standards Institute: Stockholm, Sweden, 2015. [Google Scholar]
- Wagner, J.R.; Mount, E.M.; Giles, H.F. Design of experiments. In Plastics Design Library, Extrusion, 2nd ed.; William Andrew Publishing: Norwich, NY, USA, 2014; pp. 291–308. [Google Scholar]
- Berk, J.; Berk, S. ANOVA, Taguchi, and Other Design of Experiments Techniques: Finding needles in haystacks. In Quality Management for the Technology Sector; Berk, J., Berk, S., Eds.; Butterworth-Heinemann: Oxford, UK, 2000; pp. 106–123. [Google Scholar]
- Montgomery, D.C. Design and Analysis of Experiments, 8th ed.; John Wiley & Sons: Hoboken, NJ, USA, 2001. [Google Scholar]
- Rosenberger, A.G.; Hardt, J.C.; Dragunski, D.C.; da Silva, F.F.; Bittencourt, P.R.S.; Bariccatti, R.A.; Caetano, J. Use of experimental design to obtain polymeric microfibers with carbon nanotubes. Adv. Manuf. Polym. Compos. Sci. 2020, 6, 115–126. [Google Scholar]
- Hardian, R.; Liang, Z.; Zhang, X.; Szekely, G. Artificial intelligence: The silver bullet for sustainable materials development. Green Chem. 2020, 22, 7521–7528. [Google Scholar] [CrossRef]
- Vicario, G. Computer experiments: Promising new frontiers in analysis and design of experiments. Stat. Appl. 2006, 18, 231–249. [Google Scholar]
- Bird, R.; Stewart, W.; Lightfoot, E. Transport Phenomena, 2nd ed.; John Wiley and Sons: New York, NY, USA, 2002. [Google Scholar]
- Mansor, M.R.; Fadzullah, S.H.S.M.; Masripan, N.A.B.; Omar, G.; Akop, M.Z. Comparison between functionalized graphene and carbon nanotubes: Effect of morphology and surface group on mechanical, electrical, and thermal properties of nanocomposites. In Functionalized Graphene Nanocomposites and Their Derivatives, 1st ed.; Jawaid, M., Bouhfid, R., el Kacem Qaiss, A., Eds.; Elsevier: Oxford, UK, 2019; pp. 177–204. [Google Scholar]
- Mutiso, R.M.; Winey, K.I. Electrical Conductivity of Polymer Nanocomposites. In Polymer Science: A Comprehensive Reference, 1st ed.; Moeller, M., Matyjaszewski, K., Eds.; Elsevier: Oxford, UK, 2012; Volume 7, pp. 327–344. [Google Scholar]
- Foygel, M.; Morris, R.D.; Anez, D.; French, S.; Sobolev, V.L. Theoretical and computational studies of carbon nanotube composites and suspensions: Electrical and thermal conductivity. Phys. Rev. B 2005, 71, 104201. [Google Scholar] [CrossRef]
- Johner, N.; Grimaldi, C.; Balberg, I.; Ryser, P. Transport exponent in a three-dimensional continuum tunneling-percolation model. Phys. Rev. B 2008, 77, 174204. [Google Scholar] [CrossRef]
- Li, C.; Thostenson, E.-T.; Chou, T.-W. Dominant role of tunneling resistance in the electrical conductivity of carbon nanotube–based composites. Appl. Phys. Lett. 2007, 91, 223114. [Google Scholar] [CrossRef]
- De Vivo, B.; Lamberti, P.; Spinelli, G.; Tucci, V. Numerical investigation on the influence factors of the electrical properties of carbon nanotubes-filled composites. J. Appl. Phys. 2013, 113, 244301. [Google Scholar] [CrossRef]
- Hone, J.; Whitney, M.; Piskoti, C.; Zettl, A. Thermal conductivity of single-walled carbon nanotubes. Phys. Rev. B 1999, 59, 2514–2516. [Google Scholar] [CrossRef]
- Balandin, A.A. Thermal properties of graphene and nanostructured carbon materials. Nat. Mater. 2001, 10, 569–581. [Google Scholar] [CrossRef] [PubMed]
- White, C.C.; Hunston, D.L.; Tan, K.T.; Filliben, J.J.; Pintar, A.; Schueneman, G. A Systematic Approach to the Study of Accelerated Weathering of Building Joint Sealants. J. ASTM Int. 2012, 9, 1–17. [Google Scholar] [CrossRef]
- Croarkin, C.; Tobias, P.; Filliben, J.J.; Hembree, B.; Guthrie, W. Handbook 151: NIST/SEMATECH e-Handbook of Statistical Methods; NIST Interagency/Internal Report (NISTIR); National Institute of Standards and Technology: Gaithersburg, MD, USA, 2002. [CrossRef]
- Kuehl, R.O. Design of Experiment: Statistical Principles of Research Design and Analysis, 2nd ed.; Duxbury Press: Pacific Grove, CA, USA, 1999. [Google Scholar]
- Box, G.E.P.; Wilson, K.B. On the experimental attainment of optimum conditions. In Breakthroughs in Statistics; Springer: New York, NY, USA, 1992; pp. 270–310. [Google Scholar]
- Khuri, A.I. Multiresponse surface methodology. In Design and Analysis of Experiments. Handbook of Statistics 13; Ghosh, S., Rao, C.R., Eds.; Elsevier Science: Amsterdam, The Netherlands, 1996; pp. 377–406. [Google Scholar]
- Draper, N.R.; Lin, D.K.J. Response surface designs. In Design and Analysis of Experiments. Handbook of Statistics 13; Ghosh, S., Rao, C.R., Eds.; Elsevier Science: Amsterdam, The Netherlands, 1996; pp. 343–375. [Google Scholar]




















| Polymer | ||
| Polymer Name | Acronym | Thermal Conductivity [W/m∙K] |
| High density polyethylene | HDPE | 0.44 |
| Polyphenylsulfone | PPSU | 0.35 |
| Ethylene Vinyl Acetate | EVA | 0.34 |
| Acrylonitrile Butadiene Styrene | ABS | 0.33 |
| Poly(Butylene Terephthalate) | PBT | 0.29 |
| Nylon-6 | PA6 | 0.25 |
| Polyether Ether Ketone | PEEK | 0.25 |
| Poly(dimethylsiloxane) | PDMS | 0.25 |
| * Poly(lactic) Acid | PLA | 0.20 |
| Polymethylmethacrylate | PMMA | 0.21 |
| Polyvinyl Chloride | PVC | 0.19 |
| Polyvinylidene Difluoride | PVDF | 0.19 |
| Polystyrene | PS | 0.14 |
| Polypropylene | PP | 0.12 |
| Filler | ||
| Group | Type | Thermal Conductivity [W/m∙K] |
| Carbon-based Fillers | Carbon nanotubes | 2000÷6000 (longitudinal) |
| Carbon-based Fillers | Graphite | 100÷400 (in plane) |
| Carbon-based Fillers | Carbon Black (CB) | 6÷174 |
| Metallic Fillers | Copper (Cu) | 483 |
| Metallic Fillers | Silver (Ag) | 450 |
| Metallic Fillers | Gold (Au) | 345 |
| Metallic Fillers | Aluminum (Al) | 204 |
| Ceramic Fillers | Boron nitride (BN) | 250÷300 |
| Ceramic Fillers | Aluminum oxide (Al2O3) | 30 |
| Composition | GNP Content [wt%] | MWCNT Content [wt%] | PLA Content [wt%] | GNP/MWCNT [Ratio] |
|---|---|---|---|---|
| PLA | - | - | 100 | - |
| Mono-phase nanocomposites based on GNPs (TNIGNP or TNGNP) | ||||
| PLA/1.5% GNP | 1.5 | - | 98.5 | - |
| PLA/3% GNP | 3 | - | 97 | - |
| PLA/6% GNP | 6 | - | 94 | - |
| PLA/9% GNP | 9 | - | 91 | - |
| Mono-phase nanocomposites based on MWCNTs (TNIMH4 or N7000) | ||||
| PLA/1.5% MWCNT | - | 1.5 | 98.5 | - |
| PLA/3% MWCNT | - | 3 | 97 | - |
| PLA/6% MWCNT | - | 6 | 94 | - |
| PLA/9% MWCNT | - | 9 | 91 | - |
| Multiphase (hybrid) nanocomposites based on GNPs/MWCNTs (TNIGNP/TNIMH4 or TNGNP/N7000) | ||||
| PLA/1.5% GNP/1.5% MWCNT | 1.5 | 1.5 | 97 | 1:1 |
| PLA/3% GNP/3% MWCNT | 3 | 3 | 94 | 1:1 |
| PLA/4.5% GNP/1.5% MWCNT | 4.5 | 1.5 | 94 | 3:1 |
| PLA/6% GNP/3% MWCNT | 6 | 3 | 91 | 2:1 |
| PLA/1.5% GNP/4.5% MWCNT | 1.5 | 4.5 | 94 | 1:3 |
| PLA/3% GNP/6% MWCNT | 3 | 6 | 91 | 1:2 |
| Initial and Boundary Condition | Equation | Validity |
|---|---|---|
| t = 0 | T = T0 | |
| FILLER: | TNIGNP (GNP), TNIMH4 (MWCNT) | TNGNP (GNP), N7000 (MWCNT) | ||
|---|---|---|---|---|
| Composites | Electrical Conductivity [S/m] | Electrical Conductivity [S/m] | ||
| PLA | 5.9 × 10−10 | (±1.30 × 10−11) | 5.9 × 10−10 | (±1.30 × 10−11) |
| 1.5%GNP | 7.8 × 10−10 | (±1.82 × 10−11) | 1.3 × 10−9 | (±6.78 × 10−10) |
| 3%GNP | 1.6 × 10−9 | (±1.5 × 10−10) | 2.8 × 10−9 | (±4.60 × 10−10) |
| 6%GNP | 0.0133 | (±2.12 × 10−3) | 6.04 × 10−6 | (±1.13 × 10−7) |
| 9%GNP | 0.07932 | (±5.88 × 10−3) | 2.7 × 10−5 | (±2.01 × 10−6) |
| 1.5%MWCNT | 1.2 × 10−5 | (±5.94 × 10−6) | 0.17 | (±2.50 × 10−2) |
| 3%MWCNT | 0.0121 | (±2.74 × 10−3) | 0.69 | (±2.73 × 10−2) |
| 6%MWCNT | 0.0783 | (±1.01 × 10−3) | 0.89 | (±2.63 × 10−2) |
| 9%MWCNT | 0.26404 | (±1.81 × 10−2) | 2.00 | (±1.21 × 10−2) |
| 1.5%GNP + 1.5%MWCNT | 2.41 × 10−5 | (±2.21 × 10−6) | 0.24207 | (±9.98 × 10−2) |
| 1.5%GNP + 4.5%MWCNT | 0.11393 | (±1.31 × 10−2) | 0.21099 | (±4.32 × 10−2) |
| 3%GNP + 3%MWCNT | 0.13928 | (±1.44 × 10−2) | 0.67 | (±5.34 × 10−2) |
| 4.5%GNP + 1.5%MWCNT | 0.03153 | (±1.60 × 10−2) | 0.30336 | (±1.19 × 10−2) |
| 3%GNP + 6%MWCNT | 0.19565 | (±2.53 × 10−2) | 0.58949 | (±1.55 × 10−2) |
| 6%GNP + 3%MWCNT | 0.13234 | (±2.47 × 10−2) | 0.30879 | (±6.19 × 10−2) |
| PLA 3D850 (Polymer), TNIGNP (GNPs), TNIMH4 (MWCNTs) | ||||
| Composites | Thermal Conductivity [W/m∙K] | Mean Thermal Diffusivity [mm2/s] | ||
| PLA | 2.05 × 10−1 | (±3.91 × 10−3) | 0,15 × 10−1 | (±6.15 × 10−2) |
| 1.5%GNP | 2.82 × 10−1 | (±7.21 × 10−4) | 2.10 × 10−1 | (±1.18 × 10−2) |
| 3%GNP | 3.75 × 10−1 | (±4.11 × 10−3) | 3.94 × 10−1 | (±1.78 × 10−2) |
| 6%GNP | 5.44 × 10−1 | (±7.41 × 10−3) | 4.34 × 10−1 | (±1.96 × 10−2) |
| 9%GNP | 7.25 × 10−1 | (±4.24 × 10−2) | 6.29 × 10−1 | (±6.15 × 10−3) |
| 1.5%MWCNT | 2.37 × 10−1 | (±1.27 × 10−3) | 1.75 × 10−1 | (±4.01 × 10−3) |
| 3%MWCNT | 2.58 × 10−1 | (±2.85 × 10−3) | 1.88 × 10−1 | (±4.86 × 10−3) |
| 6%MWCNT | 3.02 × 10−1 | (±2.40 × 10−3) | 2.29 × 10−1 | (±3.52 × 10−3) |
| 9%MWCNT | 3.41 × 10−1 | (±2.95 × 10−3) | 2.41 × 10−1 | (±3.06 × 10−3) |
| 1.5%GNP + 1.5%MWCNT | 3.14 × 10−1 | (±3.94 × 10−3) | 2.33 × 10−1 | (±8.06 × 10−3) |
| 1.5%GNP + 4.5%MWCNT | 3.77 × 10−1 | (±1.03 × 10−2) | 2.99 × 10−1 | (±5.81 × 10−3) |
| 3%GNP + 3%MWCNT | 4.40 × 10−1 | (±1.20 × 10−2) | 3.61 × 10−1 | (±2.08 × 10−2) |
| 4.5%GNP + 1.5%MWCNT | 5.03 × 10−1 | (±4.88 × 10−3) | 3.91 × 10−1 | (±2.93 × 10−2) |
| 3%GNP + 6%MWCNT | 4.32 × 10−1 | (±8.34 × 10−3) | 3.57 × 10−1 | (±7.88 × 10−3) |
| 6%GNP+ 3%MWCNT | 5.69 × 10−1 | (±1.72 × 10−2) | 4.86 × 10−1 | (±8.58 × 10−3) |
| PLA 3D850 (Polymer), TNGNP (GNPs), N7000 (MWCNTs) | ||||
| Composites | Thermal Conductivity [W/m∙K] | Mean Thermal Diffusivity [mm2/s] | ||
| PLA | 2.05 × 10−1 | (±3.91 × 10−3) | 0.15 × 10−1 | (±6.15 × 10−2) |
| 1.5%GNP | 2.69 × 10−1 | (±2.31 × 10−3) | 2.08 × 10−1 | (±7.18 × 10−3) |
| 3%GNP | 3.30 × 10−1 | (±5.08 × 10−3) | 3.35 × 10−1 | (±9.07 × 10−2) |
| 6%GNP | 4.68 × 10−1 | (±1.50 × 10−2) | 5.08 × 10−1 | (±2.50 × 10−2) |
| 9%GNP | 6.62 × 10−1 | (±1.85 × 10−2) | 6.24 × 10−1 | (±5.72 × 10−2) |
| 1.5%MWCNT | 2.47 × 10−1 | (±2.44 × 10−2) | 2.57 × 10−1 | (±1.15 × 10−2) |
| 3%MWCNT | 2.88 × 10−1 | (±1.81 × 10−2) | 2.90 × 10−1 | (±6.45 × 10−2) |
| 6%MWCNT | 3.61 × 10−1 | (±8.62 × 10−3) | 2.64 × 10−1 | (±6.12 × 10−3) |
| 9%MWCNT | 4.36 × 10−1 | (±7.83 × 10−3) | 3.44 × 10−1 | (±2.17 × 10−2) |
| 1.5%GNP + 1.5%MWCNT | 3.05 × 10−1 | (±6.47 × 10−3) | 2.24 × 10−1 | (±3.25 × 10−3) |
| 1.5%GNP + 4.5%MWCNT | 4.04 × 10−1 | (±1.68 × 10−2) | 2.97 × 10−1 | (±1.28 × 10−2) |
| 3%GNP + 3%MWCNT | 4.24 × 10−1 | (±8.60 × 10−3) | 3.28 × 10−1 | (±6.19 × 10−3) |
| 4.5%GNP + 1.5%MWCNT | 4.22 × 10−1 | (±2.18 × 10−2) | 5.15 × 10−1 | (±7.26 × 10−2) |
| 3%GNP + 6%MWCNT | 5.21 × 10−1 | (±1.67 × 10−2) | 4.21 × 10−1 | (±2.60 × 10−2) |
| 6%GNP + 3%MWCNT | 5.91 × 10−1 | (±1.88 × 10−2) | 4.96 × 10−1 | (±4.48 × 10−2) |
| Coefficient | β0 | β1 | β2 | β12 | β11 | β22 |
|---|---|---|---|---|---|---|
| Value for : (N7000-TNGNP): | +0.2073 | +0.0270 | +0.0331 | +0.0022 | −1.7143 × 10−4 | +0.0019 |
| Value for (TNIMH4-TNIGNP): | +0.2021 | +0.0231 | +0.0591 | −0.0023 | −9.0714 × 10−4 | −1.4286 × 10−4 |
| Heat Sink | Lower/Upper Surface | T (900 s) [K] | T (1500 s) [K] | ΔT [K] |
|---|---|---|---|---|
| PLA | z = 0 mm | 358.4 | 359.6 | 1.2 |
| z = 3 mm | 347.8 | 349.0 | 0.1 | |
| TNIGNP | z = 0 mm | 348.8 | 348.9 | 0.1 |
| z = 3 mm | 345.8 | 345.9 | 0.1 |
Publisher’s Note: MDPI stays neutral with regard to jurisdictional claims in published maps and institutional affiliations. |
© 2021 by the authors. Licensee MDPI, Basel, Switzerland. This article is an open access article distributed under the terms and conditions of the Creative Commons Attribution (CC BY) license (https://creativecommons.org/licenses/by/4.0/).
Share and Cite
Spinelli, G.; Guarini, R.; Kotsilkova, R.; Ivanov, E.; Romano, V. Experimental, Theoretical and Simulation Studies on the Thermal Behavior of PLA-Based Nanocomposites Reinforced with Different Carbonaceous Fillers. Nanomaterials 2021, 11, 1511. https://doi.org/10.3390/nano11061511
Spinelli G, Guarini R, Kotsilkova R, Ivanov E, Romano V. Experimental, Theoretical and Simulation Studies on the Thermal Behavior of PLA-Based Nanocomposites Reinforced with Different Carbonaceous Fillers. Nanomaterials. 2021; 11(6):1511. https://doi.org/10.3390/nano11061511
Chicago/Turabian StyleSpinelli, Giovanni, Rosella Guarini, Rumiana Kotsilkova, Evgeni Ivanov, and Vittorio Romano. 2021. "Experimental, Theoretical and Simulation Studies on the Thermal Behavior of PLA-Based Nanocomposites Reinforced with Different Carbonaceous Fillers" Nanomaterials 11, no. 6: 1511. https://doi.org/10.3390/nano11061511
APA StyleSpinelli, G., Guarini, R., Kotsilkova, R., Ivanov, E., & Romano, V. (2021). Experimental, Theoretical and Simulation Studies on the Thermal Behavior of PLA-Based Nanocomposites Reinforced with Different Carbonaceous Fillers. Nanomaterials, 11(6), 1511. https://doi.org/10.3390/nano11061511

