Resistive Switching Characteristics Improved by Visible-Light Irradiation in a Cs2AgBiBr6-Based Memory Device
Abstract
1. Introduction
2. Materials and Methods
2.1. Spin-Coating Process for CABB Film Growth
2.2. Characterization
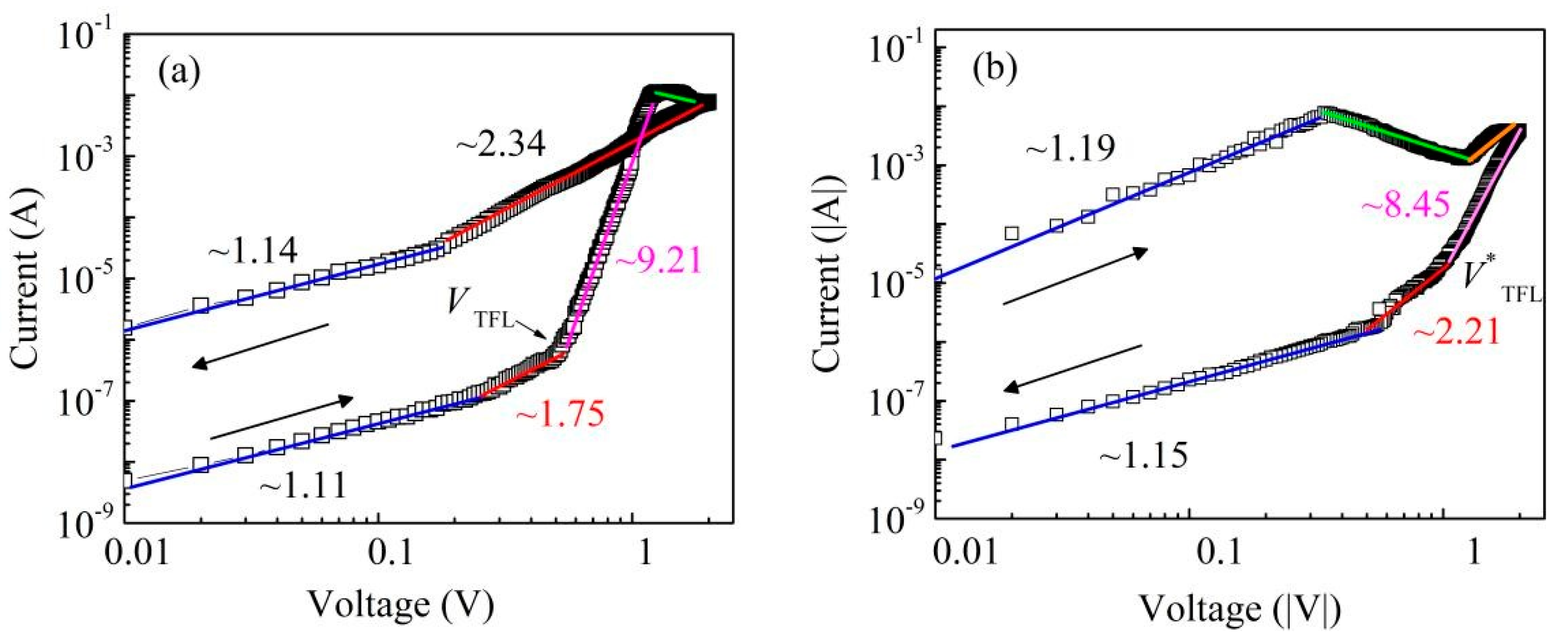
3. Results and Discussion
4. Conclusions
Author Contributions
Funding
Data Availability Statement
Acknowledgments
Conflicts of Interest
References
- Chua, L.O.; Kang, S.M. Meristor devices and systems. Proc. IEEE 1976, 64, 209–223. [Google Scholar] [CrossRef]
- Walke, P.D.; Rana, A.H.S.; Yuldashev, S.U.; Magotra, V.K.; Lee, D.J.; Abdullaev, S.; Kang, T.W.; Jeon, H.C. Memristive Devices from CuO Nanoparticles. Nanomaterials 2020, 10, 1677. [Google Scholar] [CrossRef] [PubMed]
- Ye, C.Q.; Peng, Q.; Li, M.Z.; Luo, J.; Tang, Z.M.; Pei, J.; Chen, J.M.; Shuai, Z.G.; Jiang, L.; Song, Y.L. Multilevel conductance switching of memory device through photoelectric effect. J. Am. Chem. Soc. 2012, 134, 20053–20059. [Google Scholar] [CrossRef]
- Liu, S.S.; Jin, C.; Zheng, D.X.; Pang, X.; Wang, Y.C.; Wang, P.; Zheng, W.C.; Bai, H.L. Ferroelectric field manipulated nonvolatile resistance switching in Al:ZnO/Pb(Mg1/3Nb2/3)0.7Ti0.3O3 heterostructures at room temperature. Phys. Chem. Chem. Phys. 2019, 21, 10784. [Google Scholar] [CrossRef]
- Zhao, J.H.; Zhou, Z.Y.; Wang, H.; Wang, J.J.; Hao, W.C.; Ren, D.L.; Guo, R.; Chen, J.S.; Liu, B.T.; Yan, X.B. A Boolean OR gate implemented with an optoelectronic switching memristor. Appl. Phys. Lett. 2019, 115, 153504. [Google Scholar] [CrossRef]
- Cai, H.Z.; Lao, M.M.; Xu, J.; Chen, Y.K.; Zhong, C.J.; Lu, S.R.; Hao, A.; Chen, R.Q. All-inorganic perovskite Cs4PbBr6 thin films in optoelectronic resistive switching memory devices with a logic application. Ceram. Int. 2019, 45, 5724–5730. [Google Scholar] [CrossRef]
- Patil, H.; Kim, H.; Rehman, S.; Kadam, K.D.; Aziz, J.; Khan, M.F.; Kim, D.K. Stable and multilevel data storage resistive switching of organic bulk heterojunction. Nanomaterials 2021, 11, 359. [Google Scholar] [CrossRef] [PubMed]
- Zhou, F.C.; Zhou, Z.; Chen, J.W.; Choy, T.H.; Wang, J.L.; Zhang, N.; Lin, Z.Y.; Yu, S.M.; Kang, J.F.; Philip Wong, H.S.; et al. Optoelectronic resistive random access memory for neuromorphic vision sensors. Nat. Nanotechnol. 2019, 14, 776–782. [Google Scholar] [CrossRef] [PubMed]
- Mao, J.Y.; Zhou, L.; Zhu, X.J.; Zhou, Y.; Han, S.T. Photonic memristor for future computing: A perspective. Adv. Opt. Mater. 2019, 1900766. [Google Scholar] [CrossRef]
- Tan, H.; Liu, G.; Zhu, X.; Yang, H.; Chen, B.; Chen, X.; Shang, J.; Lu, W.D.; Wu, Y.; Li, R.W. An Optoelectronic resistive switching memory with integrated demodulating and arithmetic functions. Adv. Mater. 2015, 27, 2797. [Google Scholar] [CrossRef] [PubMed]
- Gao, S.; Liu, G.; Yang, H.L.; Hu, C.; Chen, Q.L.; Gong, G.D.; Xue, W.H.; Yi, X.H.; Shang, J.; Li, R.-W. An oxide schottky junction artificial optoelectronic synapse. ACS Nano 2019, 13, 2634–2642. [Google Scholar] [CrossRef]
- Kashinath, B.; Narwade, R.; Phatangare, A.; Dahiwale, S.; Mahabole, M.; Khairnar, R. Optically modulated resistive switching in BiFeO3 thin film. Phys. Status Solidi A 2016, 213, 2183–2188. [Google Scholar] [CrossRef]
- Zheng, M.; Nim, H.; Huang, W.Y.; Qi, Y.P.; Zeng, J.L.; Gao, J. Optically and electrically co-controlled resistance switching in complex oxide heterostructures. Appl. Phys. Lett. 2017, 111, 172901. [Google Scholar] [CrossRef]
- Xiao, Z.G.; Yuan, Y.B.; Shao, Y.C.; Wang, Q.; Dong, Q.F.; Bi, C.; Sharma, P.; Gruverman, A.; Huang, J.S. Giant switchable photovoltaic effect in organometal trihalide perovskite devices. Nat. Mater. 2015, 14, 193–198. [Google Scholar] [CrossRef]
- Cai, H.M.; Ma, G.K.; He, Y.L.; Lu, L.; Zhang, J.; Wang, H. Compact pure phase CsPbBr3 perovskite film with significantly improved stability for high-performance memory. Ceram. Int. 2019, 45, 1150–1155. [Google Scholar] [CrossRef]
- Chen, Z.L.; Zhang, Y.T.; Yu, Y.; Cao, M.X.; Che, Y.L.; Jin, L.F.; Li, Y.F.; Li, Q.Y.; Li, T.T.; Dai, H.T.; et al. Light assisted multilevel resistive switching memory devices based on all-inorganic perovskite quantum dots. Appl. Phys. Lett. 2019, 114, 181103. [Google Scholar] [CrossRef]
- Wei, Y.; Cheng, Z.Y.; Lin, J. An overview on enhancing the stability of lead halide perovskite quantum dots and their applications in phosphor converted LEDs. Chem. Soc. Rev. 2019, 48, 310–350. [Google Scholar] [CrossRef]
- Lyu, M.Q.; Yun, J.H.; Chen, P.; Hao, M.M.; Wang, L.Z. Addressing toxicity of lead: Progress and applications of low-toxic metal halide perovskites and their derivatives. Adv. Energy Mater. 2017, 1602512. [Google Scholar] [CrossRef]
- Ke, W.J.; Kanatzidis, M.G. Prospects for low-toxicity lead-free perovskite solar cells. Nat. Commun. 2019, 965, 1–4. [Google Scholar] [CrossRef] [PubMed]
- Greul, E.; Petrus, M.L.; Binek, A.; Docampo, P.; Bein, T. Highly stable, phase pure Cs2AgBiBr6 double perovskite thin films for optoelectronic applications. J. Mater. Chem. A 2017, 5, 19972–19981. [Google Scholar] [CrossRef]
- Cheng, X.F.; Qian, W.H.; Wang, J.; Yu, C.; He, J.H.; Li, H.; Xu, Q.F.; Chen, D.Y.; Li, N.J.; Lu, J.M. Environmentally robust memristor enabled by lead-free double perovskite for high-performance information storage. Small 2019, 1905731, 1–8. [Google Scholar] [CrossRef]
- Lei, L.Z.; Shi, Z.F.; Li, Y.; Ma, Z.Z.; Zhang, F.; Xu, T.T.; Tian, Y.T.; Wu, D.; Lia, X.J.; Du, G.T. High-efficiency and air-stable photodetectors based on lead-free double perovskite Cs2AgBiBr6 thin films. J. Mater. Chem. C 2018, 6, 7982–7988. [Google Scholar] [CrossRef]
- Choi, S.Y.; Lee, J.H.; Kim, S.H.; Lu, W.D. Retention failure analysis of metal-oxide based resistive memory. Appl. Phys. Lett. 2014, 105, 113510. [Google Scholar] [CrossRef]
- Wan, H.J.; Zhou, P.; Ye, L.; Lin, Y.Y.; Wu, J.G.; Wu, H.; Chi, M.H. Retention-failure mechanism of Ta N/CuxO/Cu resistive memory with good data retention capability. J. Vac. Sci. Technol. B 2009, 27, 2468. [Google Scholar] [CrossRef]
- Kang, W.; Woo, K.; Na, H.B.; Kang, C.J.; Yoon, T.S.; Kim, K.M.; Lee, H.H. Memristive characteristics of square shaped lanthanum oxide nanoplates layered device. Nanomaterials 2021, 11, 441. [Google Scholar] [CrossRef] [PubMed]
- Liu, H.Z.; Wu, Y.Y.; Hu, Y.H. Reproducible switching effect of an all-inorganic halide perovskite CsPbBr3 for memory applications. Ceram. Int. 2017, 43, 7020–7025. [Google Scholar] [CrossRef]
- Chen, J.; Reed, M.A.; Rawlett, A.M.; Tour, J.M. Large on-off ratios and negative differential resistance in a molecular electronic device. Science 1999, 286, 1550–1552. [Google Scholar] [CrossRef]
- Zhu, Y.Y.; Cheng, P.W.; Shi, J.; Wang, H.J.; Liu, Y.; Xiong, R.; Ma, H.Y.; Ma, H.X. Bromine vacancy redistribution and metallic-ion migration-induced Air-Stable resistive switching behavior in all-inorganic perovskite CsPbBr3 film-based memory device. Adv. Electron. Mater. 2019, 6, 1900754. [Google Scholar] [CrossRef]
- Zhang, G.Q.; Cai, L.; Zhang, Y.F.; Wei, Y. Bi5+, Bi(3-x)+, and oxygen vacancy induced BiOClxI1-x solid solution toward promoting visible-light driven photocatalytic activity. Chem. Eur. J. 2018, 24, 7434–7444. [Google Scholar] [CrossRef]
- Chen, W.; Wu, Y.; Yue, Y.; Liu, J.; Zhang, W.; Yang, X.; Chen, H.; Bi, E.; Ashraful, I.; Gratzel, M. Efficient and stable large-area perovskite solar cells with inorganic charge extraction layers. Science 2015, 350, 944–948. [Google Scholar] [CrossRef]
- Slavney, A.H.; Hu, T.; Lindenberg, A.M.; Karunadasa, H.I. A bismuth halide double perovskite with long carrier recombination lifetime for photovoltaic applications. J. Am. Chem. Soc. 2016, 138, 2138–2141. [Google Scholar] [CrossRef]
- Kawano, H. Effective work functions for ionic and electronic emissions from mono- and polycrystalline surfaces. Prog. Surf. Sci. 2008, 8, 61–165. [Google Scholar] [CrossRef]
- Derry, G.N.; Zhong, Z.J. Work function of Pt (111). Phys. Rev. B 1989, 39, 39–40. [Google Scholar] [CrossRef]
- Zhou, F.C.; Liu, Y.C.; Shen, X.P.; Wang, M.Y.; Yuan, F.; Chai, Y. Low voltage, optoelectronic CH3NH3PbI3-xClx memory with integrated sensing and logic operations. Adv. Funct. Mater. 2018, 28, 1800080. [Google Scholar] [CrossRef]
- Chen, Y.F.; Tsai, Y.T.; Bassani, D.M.; Clerc, R.; Forgacs, D.; Bolink, H.J.; Wussler, M.; Jaegermann, W.; Wantz, G.; Hirsch, L. Evidence of band bending induced by hole trapping at MAPbI3 perovskite/metal interface. J. Mater. Chem. A 2016, 4, 17529–17536. [Google Scholar] [CrossRef]
- Gao, C.X.; Lv, F.Z.; Zhang, P.; Zhang, C.; Zhang, S.M.; Dong, C.H.; Gou, Y.C.; Jiang, C.J.; Xue, D.S. Tri-state bipolar resistive switching behavior in a hydrothermally prepared epitaxial BiFeO3 film. J. Alloys Compd. 2015, 649, 694–698. [Google Scholar] [CrossRef]
- Das, U.; Nyayban, A.; Paul, B.; Barman, A.; Sarkar, P.; Roy, A. Compliance current-dependent dual-functional bipolar and threshold resistive switching in all-inorganic rubidium leadbromide perovskite-based flexible device. ACS Appl. Electron. Mater. 2020, 2, 1343–1351. [Google Scholar] [CrossRef]
- Zheng, P.P.; Sun, B.; Chen, Y.Z.; Elshekh, H.; Yu, T.; Mao, S.S.; Zhu, S.H.; Wang, H.Y.; Zhao, Y.; Yu, Z. Photo-induced negative differential resistance in a resistive switching memory device based on BiFeO3/ZnO heterojunctions. Appl. Mater. Today 2019, 14, 21–28. [Google Scholar] [CrossRef]








Publisher’s Note: MDPI stays neutral with regard to jurisdictional claims in published maps and institutional affiliations. |
© 2021 by the authors. Licensee MDPI, Basel, Switzerland. This article is an open access article distributed under the terms and conditions of the Creative Commons Attribution (CC BY) license (https://creativecommons.org/licenses/by/4.0/).
Share and Cite
Lv, F.; Zhong, T.; Qin, Y.; Qin, H.; Wang, W.; Liu, F.; Kong, W. Resistive Switching Characteristics Improved by Visible-Light Irradiation in a Cs2AgBiBr6-Based Memory Device. Nanomaterials 2021, 11, 1361. https://doi.org/10.3390/nano11061361
Lv F, Zhong T, Qin Y, Qin H, Wang W, Liu F, Kong W. Resistive Switching Characteristics Improved by Visible-Light Irradiation in a Cs2AgBiBr6-Based Memory Device. Nanomaterials. 2021; 11(6):1361. https://doi.org/10.3390/nano11061361
Chicago/Turabian StyleLv, Fengzhen, Tingting Zhong, Yongfu Qin, Haijun Qin, Wenfeng Wang, Fuchi Liu, and Wenjie Kong. 2021. "Resistive Switching Characteristics Improved by Visible-Light Irradiation in a Cs2AgBiBr6-Based Memory Device" Nanomaterials 11, no. 6: 1361. https://doi.org/10.3390/nano11061361
APA StyleLv, F., Zhong, T., Qin, Y., Qin, H., Wang, W., Liu, F., & Kong, W. (2021). Resistive Switching Characteristics Improved by Visible-Light Irradiation in a Cs2AgBiBr6-Based Memory Device. Nanomaterials, 11(6), 1361. https://doi.org/10.3390/nano11061361
