Antibacterial Activity of Positively and Negatively Charged Hematite (α-Fe2O3) Nanoparticles to Escherichia coli, Staphylococcus aureus and Vibrio fischeri
Abstract
1. Introduction
2. Materials and Methods
2.1. Materials
2.2. Synthesis of the Hematite (α-Fe2O3) NPs
2.3. Physicochemical Characterization of the Hematite (α-Fe2O3) NPs
Analysis of the Dissolved Fraction of Hematite NPs
2.4. Spot Test for Estimating Minimal Bactericidal Concentrations (MBCs)
2.5. Agar Diffusion Test
2.6. Flash Assay with Vibrio fischeri
2.7. Abiotic and Biotic ROS Measurement
2.8. Flow Cytometry
2.9. Confocal Laser Scanning Microscopy (CLSM) Analysis and Signal Quantitation
3. Results and Discussions
3.1. Synthesis and Physicochemical Characterization of the Hematite (α-Fe2O3) NPs
3.1.1. XRD and FTIR Analysis of the Synthesized NPs
3.1.2. SEM Analysis of the Synthesized NPs
3.1.3. TEM Analysis of the Synthesized NPs
3.1.4. Analysis of the Hydrodynamic Size and ζ –Potential of Synthesized NPs
3.1.5. NPs Solubility in DI Water
3.2. Antibacterial Activity
3.3. Agar Diffusion Test
3.4. Ecotoxicity
3.5. Abiotic and Biotic Reactive Oxygen Species (ROS)
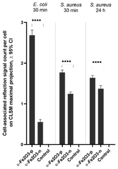
3.6. Assessment of the NPs Adhering to the Surface of Bacteria Cells by Confocal Laser Scanning Microscopy (CLSM)
3.7. Assessment of NP Adhesion on the Surface of Bacteria Cells by Flow Cytometry
4. Conclusions
Supplementary Materials
Author Contributions
Funding
Institutional Review Board Statement
Informed Consent Statement
Data Availability Statement
Acknowledgments
Conflicts of Interest
References
- Leung, Y.; Xu, X.; Ma, A.; Liu, F.; Ng, A.M.C.; Shen, Z.; Gethings, L.A.; Guo, M.Y.; Djurišić, A.B.; Lee, P.K.H.; et al. Toxicity of ZnO and TiO2 to Escherichia coli cells. Sci. Rep. 2016, 6, 35243. [Google Scholar] [CrossRef] [PubMed]
- Kashef, N.; Huang, Y.Y.; Hamblin, R. Advances in antimicrobial photodynamic inactivation at the nanoscale. Nanophotonics 2017, 6, 853–879. [Google Scholar] [CrossRef] [PubMed]
- Brushan, M.; Kumar, Y.; Periyasamy, L.; Viswanath, A.K. Antibacterial applications of ɑ-Fe2O3/Co3O4 nanocomposites and study of their structural, optical, magnetic and cytotoxic characteristics. Appl. Nanosci. 2018, 8, 137–153. [Google Scholar] [CrossRef]
- Abbaszadegan, A.; Ghahramani, Y.; Gholami, A.; Hemmateenejad, B.; Dorostkar, S.; Nabavizadeh, M.; Sharghi, H. The effect of charge at the surface of silver nanoparticles on antimicrobial activity against gram-positive and gram-negative bacteria: A preliminary study. J. Nanomater. 2015, 2015, 720654. [Google Scholar] [CrossRef]
- Gabrielyan, L.; Hovhannisyn, A.; Gevorqyan, V.; Ananyan, M.; Trchounian, A. Antibacterial effects of iron oxide (Fe3O4) nanoparticles: Distinguishing concentration-dependent effects with different bacterial cells growth and membrane-associated mechanisms. Appl. Microbiol. Biotechnol. 2019, 103, 2773–2782. [Google Scholar] [CrossRef] [PubMed]
- Bankier, C.; Matharu, R.K.; Cheong, Y.K.; Ren, G.G.; Cloutman-Green, E.; Ciric, L. Synergetic antibacterial effects of metallic nanoparticles combinations. Sc. Rep. 2019, 9, 16074. [Google Scholar] [CrossRef] [PubMed]
- Meghana, S.; Kabra, P.; Chakraborty, S.; Padmavathy, N. Understanding the pathway of antibacterial activity of copper oxide nanoparticles. RSC Adv. 2015, 5, 12293–12299. [Google Scholar] [CrossRef]
- Chakraborty, R.; Basu, T. Surface modification by media organics reduces the bacterio-toxicity of cupric oxide nanoparticles against Escherichia coli. Sci. Rep. 2019, 9, 15364. [Google Scholar] [CrossRef] [PubMed]
- Bezza, F.A.; Tichapondwa, S.M.; Chirwa, E.M.N. Fabrication of monodispersed copper oxide nanoparticles with potential application as antimicrobial agents. Sci. Rep. 2020, 10, 16680. [Google Scholar] [CrossRef]
- Wang, X.; Wu, H.F.; Kuang, Q.; Huang, R.B.; Xie, Z.X.; Zheng, L.S. Shape-dependent antibacterial activities of Ag2O polyhedral particles. Langmuir 2010, 26, 2774–2778. [Google Scholar] [CrossRef] [PubMed]
- Dellasega, D.; Facibeni, A.; Fonzo, F.D.; Bogana, M.; Polissi, A.; Conti, C.; Ducati, C.; Casari, C.S.; Bassi, A.L.; Bottani, C.E. Nanostructured Ag4O4 films with enhanced antibacterial activity. Nanotechnology 2008, 19, 475602. [Google Scholar] [CrossRef] [PubMed]
- Melaiye, A.; Youngs, W.J. Silver and its application as an antimicrobial agent. Expert. Opin. Ther. Pat. 2005, 15, 125–130. [Google Scholar] [CrossRef]
- Naseer, M.; Aslam, U.; Khalid, B.; Chen, B. Green route to synthesize zinc oxide nanoparticles using leaf extracts of Cassia fistula and Melia azadarach and their antibacterial potential. Sci. Rep. 2020, 10, 9055. [Google Scholar] [CrossRef] [PubMed]
- Kim, E.J.; Choi, M.; Park, H.Y.; Hwang, J.Y.; Kim, H.E.; Hong, S.W.; Lee, J.; Yong, K.; Kim, W. Thorn-like TiO2 nanoarrays with broad spectrum antimicrobial activity through physical puncture and photocatalytic action. Sci. Rep. 2019, 9, 13697. [Google Scholar] [CrossRef]
- Nguyen, N.Y.T.; Grelling, N.; Wetteland, C.L.; Rosario, R.; Liu, H. Antimicrobial activities and mechanisms of magnesium oxide nanoparticles (nMgO) against pathogenic bacteria, yeast, and biofilms. Sci. Rep. 2018, 8, 16260. [Google Scholar] [CrossRef] [PubMed]
- Ramanujam, K.; Sundrarajan, M. Antibacterial effects of biosynthesized MgO nanoparticles using ethanolic fruit extract of Emblica officinalis. J. Photochem. Photobiol. B Biol. 2014, 141, 296–300. [Google Scholar] [CrossRef] [PubMed]
- Cotin, G.; Piant, S.; Mertz, D.; Felder-Flesh, D.; Begin-Colin, S. Iron oxide nanoparticles for biomedical applications: Synthesis, functionalization, and application. In Iron Oxide Nanoparticles for Biomedical Applications. Synthesis, Functionalization and Application, 1st ed.; Mahmoudi, M., Laurent, S., Eds.; Elsevier: Amsterdam, The Netherlands, 2008; pp. 43–88. [Google Scholar]
- Andrade, R.G.D.; Veloso, S.R.S.; Castanheira, E.M.S. Shape anisotropic iron oxide-based magnetic nanoparticles: Synthesis and biomedical applications. Int. J. Mol. Sci. 2020, 21, 2455. [Google Scholar] [CrossRef] [PubMed]
- Marcu, A.; Pop, S.; Dumitrache, F.; Mocanu, M.; Niculite, C.M.; Gherghiceanu, M.; Lungu, C.P.; Fleaca, C.; Lanchis, R.; Barbut, A.; et al. Magnetic iron oxide nanoparticles as drug delivery system in breast cancer. Appl. Surf. Sci. 2013, 281, 60–65. [Google Scholar] [CrossRef]
- Rajendran, K.; Karunagaran, V.; Mahanty, B.; Sen, S. Biosynthesis of hematite nanoparticles and its cytotoxic effect on HepG2 cancer cells. Int. J. Biol. Macromol. 2015, 74, 376–381. [Google Scholar] [CrossRef] [PubMed]
- Dash, P.; Raut, S.; Jena, M.; Nayak, B. Harnessing the biomedical properties of ferromagnetic ɑ-Fe2O3 NPs with a plausible formation mechanism. Ceram. Int. 2020, 46, 26190–26204. [Google Scholar] [CrossRef]
- Ramalingam, V.; Harshavardhan, M.; Kumar, S.D.; Devi, S.M. Wet chemical mediated hematite ɑ-Fe2o3 nanoparticles synthesis: Preparation, characterization and anticancer activity against human metastatic ovarian cancer. J. Alloy. Compd. 2020, 834, 155118. [Google Scholar] [CrossRef]
- Nagajyothi, P.C.; Pandurangan, M.; Kim, D.H.; Sreekanth, T.V.M.; Shim, J. Green synthesis of iron oxide nanoparticles and their catalytic and in vitro anticancer activities. J. Clust. Sci. 2016, 28, 245–257. [Google Scholar] [CrossRef]
- Fan, H.M.; You, G.J.; Lietal, Y. Shape-controller synthesis of single-crystalline Fe2O3 hollow nanocrystals and their tunable optical properties. J. Phys. Chem. C 2009, 113, 9928–9935. [Google Scholar] [CrossRef]
- Sangaiya, P.; Jayaprakash, R. A review on iron oxide nanoparticles and their biomedical applications. J. Supercond. Nov. Magn. 2018, 31, 3397–3413. [Google Scholar] [CrossRef]
- Caamano, M.A.; Carillo-Morales, M.; Olivares-Trejo, J.J. Iron oxide nanoparticles improves the antibacterial activity of erytromycin. J. Bacter. Parasit. 2016, 7, 1000267. [Google Scholar] [CrossRef]
- Sun, B.; Horvat, J.; Kim, H.S.; Kim, W.S.; Ahn, J.; Wang, G. Synthesis of mesoporous ɑ-Fe2O3 nanostructures for highly sensitive gas sensors and high capacity anode materials in lithium ion batteries. J. Phys. Chem. C 2010, 114, 18753–18761. [Google Scholar] [CrossRef]
- Asoufi, H.M.; Al-Antary, T.M.; Awwadab, A.M. Green route for synthesis hematite (ɑ-Fe2O3) nanoparticles: Toxicity effect on the green peach aphid, Myzus persicae (Sulzer). Environ. Nanotechnol. Monit. 2018, 9, 107–111. [Google Scholar] [CrossRef]
- Chan, J.Y.T.; Ang, S.Y.; Ye, E.Y.; Sullivan, M.; Zhang, J.; Lin, M. Heterogeneous photo-Fenton reaction on hematite (ɑ-Fe2O3) {104}, {113} and {001} surface facets. Phys. Chem. Chem. Phys. 2015, 17, 25333–25341. [Google Scholar] [CrossRef] [PubMed]
- Sans, J.A.; Monteseguro, V.; Garbarino, G.; Gich, M.; Cerantola, V.; Cuartero, V.; Monte, M.; Irifune, T.; Munoz, A.; Popescu, C. Stability and nature of the volume collapse of ɛ-Fe2O3 under extreme conditions. Nat. Commun. 2018, 9, 4554. [Google Scholar] [CrossRef]
- Šutka, A.; Šutka, A.; Vanags, M.; Spule, A.; Eglītis, R.; Vihodceva, S.; Šmits, K.; Tamm, A.; Mežule, L. Indetifying iron-bearings nanoparticles precursor for thermal transformation into the highly active hematite photo-Fenton catalyst. Catalyst 2020, 10, 778. [Google Scholar] [CrossRef]
- Šutka, A.; Vanags, M.; Joost, U.; Šmits, K.; Ruža, J.; Ločs, J.; Kleperis, J.; Juhna, T. Aqueous synthesis of Z-scheme photocatalyst powders and thin-film photoanodes from earth abundant elements. J. Environ. Chem. Eng. 2019, 6, 2606–2615. [Google Scholar] [CrossRef]
- Tamirat, A.G.; Rick, J.; Dubale, A.A.; Su, W.N.; Hwang, B.J. Using hematite for photoelectrochemical water splitting: A review of current progress and challenges. Nanoscale Horiz. 2016, 1, 243–267. [Google Scholar] [CrossRef] [PubMed]
- Cardillo, D.; Sercadas, V.; Devers, T.; Islam, M.M.; Tehei, M.; Rosenfeld, A.; Boutard, T.; Rocher, E.; Barker, P.J.; Konstantinov, K. Attenuation of UV absorption by poly(lactic acid)-iron oxide nanocomposite particles and their potential application in sunscreens. Chem. Eng. J. 2021, 405, 126843. [Google Scholar] [CrossRef]
- Truffault, L.; Choquenet, B.; Konstantinov, K.; Devers, T.; Couteau, C.; Coiffard, L.J.M. Synthesis of Nano-Hematite for Possible Use in Sunscreens. J. Nanosci. Nanotech. 2011, 11, 2413–2420. [Google Scholar] [CrossRef] [PubMed]
- Ruales-Lonfat, C.; Barona, J.F.; Sienkiewicz, A.; Bensimon, M.; Velez-Colmenares, J.; Benitez, N.; Pulgarins, C. Iron oxides semiconductors are efficients for solar water disinfection: A comparison with photo-Fenton process at neuatral pH. Appl. Catal. B Environ. 2015, 166–167, 497–508. [Google Scholar] [CrossRef]
- Kahru, A.; Ivask, A. Mapping the Dawn of Nanoecotoxicological Research. Acc. Chem. Res. 2013, 46, 823–833. [Google Scholar] [CrossRef] [PubMed]
- Juganson, K.; Ivask, A.; Mortimer, M.; Kahru, A. NanoE-Tox: New and in-depth database concerningecotoxicity of nanomaterials. Beilstein J. Nanotechnol. 2015, 6, 1788–1804. [Google Scholar] [CrossRef] [PubMed]
- Rajendran, K.; Pujari, L.; Krishnamoorthy, M.; Se, S.; Djarmaraj, D.; Karuppiah, K.; Ethiraj, K. Toxicological evaluation of biosynthesized hematite nanoparticles in vivo. Colloids Surf. B Bio. Interfaces 2020, 198, 111475. [Google Scholar] [CrossRef] [PubMed]
- Otero-González, L.; García-Saucedo, C.; Field, J.A.; Sierra-Álvarez, R. Toxicity of TiO2, ZrO2, FeO, Fe2O3, and Mn2O3 nanoparticles to the yeast, Saccharomyces cerevisiae. Chemosphere 2013, 93, 1201–1206. [Google Scholar] [CrossRef] [PubMed]
- Arakha, M.; Pal, S.; Smantarrai, D.; Panigraho, T.K.; Mallick, B.C.; Pramanik, K.; Mallick, B.; Jha, S. Antimicrobial activity of iron oxide nanoparticles upon modulation of nanoparticle-bacteria interface. Sci. Rep. 2015, 5, 14813. [Google Scholar] [CrossRef] [PubMed]
- Gabrielyan, L.; Hakobyan, L.; Hovhannisyan, A.; Trchounian, A. Effects of iron oxide (Fe3O4) nanoparticles on Escherichia coli antibiotic-resistant strains. J. Appl. Microbiol. 2019, 126, 1108–1116. [Google Scholar] [CrossRef]
- Gabrielyan, L.; Badalyan, H.; Gevorgyan, V.; Trchounian, A. Comparable antibacterial effects and action mechanisms of silver and iron oxide nanoparticles on Escherichia coli and Salmonella typhimurium. Sci. Rep. 2020, 10, 13145. [Google Scholar] [CrossRef] [PubMed]
- Zhang, W.; Rittman, B.; Chen, Y. Size effects on adsorption of hematite nanoparticles on E. coli cells. Environ. Sci. Technol. 2011, 45, 2172–2178. [Google Scholar] [CrossRef] [PubMed]
- Zhang, W.; Hughes, J.; Chen, Y. Impacts of hematite nanoparticles exposure on biomechanical, adhesive, and surface electrical properties of Escherichia coli cells. Appl. Environ. Microbiol. 2012, 78, 3905–3915. [Google Scholar] [CrossRef] [PubMed]
- Schwemann, H.; Feitz, A.J.; Frimmel, H. Influence of zeta potential on the sorption and toxicity of iron oxide nanoparticles on S.cerevisiae and E.coli. J. Colloid. Interface Sci. 2010, 347, 43–48. [Google Scholar] [CrossRef] [PubMed]
- Kilinc, E. γ-Fe2O3 magnetic nanoparticles funcktionalized with carboxylated multi walled carbon nanotube: Synthesi, characterization, analytical and biomedical application. J. Magn. Magn. Mater. 2016, 401, 949–955. [Google Scholar] [CrossRef]
- Borcherding, J.; Baltrusaitis, J.; Chen, H.; Stebounova, L.; Wu, C.M.; Rubasinghege, G.; Mudunkotuwa, I.A.; Caraballo, J.C.; Zabner, J.; Grassian, V.H.; et al. Iron oxide nanoparticles induce Pseudomonas aeruginosa growth, induce biofilm formation, and inhibit antimicrobial peptide function. Environ. Sci. Nano. 2014, 1, 123–132. [Google Scholar] [CrossRef] [PubMed]
- Qu, C.; Qian, S.; Chen, L.; Guan, Y.; Zheng, L.; Liu, S.; Chen, W.; Cai, P.; Huang, Q. Size-dependent bacterial toxicity of hematite particles. Environ. Sci. Technol. 2019, 53, 8147–8156. [Google Scholar] [CrossRef] [PubMed]
- Vatansever, F.; de Melo, W.C.; Avci, P.; Vecchio, D.; Sadasivam, M.; Gupta, A.; Chandran, R.; Karimi, M.; Parizotto, N.A.; Yin, R.; et al. Antimicrobial strategies centered around reactive oxygen species—bactericidal antibiotics, photodynamic therapy, and beyond. FEMS Microbiol. Rev. 2013, 37, 955–989. [Google Scholar] [CrossRef]
- Kim, K.M.; Choi, M.H.; Lee, J.K.; Jeong, J.; Kim, Y.R.; Kim, M.K.; Paek, S.M.; Oh, J.M. Physicochemical properties of surface charge-modified ZnO nanoparticles with different particles sizes. Int. J. Nanomed. 2014, 15, 41–56. [Google Scholar]
- Mudunkotuwa, I.A.; Grassian, V.H. Biological and environmental media control oxide nanoparticle surface composition: The roles of biological components (proteins and amino acids), inorganic oxyanions and humic acid. Environ. Sci. Nano 2015, 2, 429–439. [Google Scholar] [CrossRef]
- He, Y.T.; Wan, J.; Tokunaga, T. Kinetic stability of hematite nanoparticles: The effect of particles sizes. J. Nanopart. Res. 2007, 10, 321–332. [Google Scholar] [CrossRef]
- Sundara Selvam, P.S.; Govindan, S.; Perumal, B.; Kandan, V. Screening of In Vitro Antibacterial Property of Hematite (α-Fe2O3) Nanoparticles: A Green Approach. Iran. J. Sci. Technol. Trans. Sci. 2020, 45, 177–187. [Google Scholar] [CrossRef]
- Haseena, S.; Shanavas, S.; Duraimurugan, J.; Ahamad, T.; Alshehri, S.M.; Acevedo, R.; Jayamani, N. Study on Photocatalytic and Antibacterial Properties of Phase Pure Fe2O3 Nanostructures Synthesized Using Caralluma Fimbriata and Achyranthes Aspera Leaves. Optik 2019, 203, 164047. [Google Scholar] [CrossRef]
- Ali, K.; Ahmed, B.; Khan, M.S.; Musarrat, J. Differential surface contact killing of pristine and low EPS Pseudomonas aeruginosa with Aloe vera capped hematite (α-Fe2O3) nanoparticles. J. Photochem. Photobiol. 2018, 188, 146–158. [Google Scholar] [CrossRef]
- Lafta, S.H.; Taha, A.A.; Farhan, M.M.; Abdulfattah, S.Y. Biocompatibility study of a-Fe2O3 nanoparticles prepared by hydrothermal method. Surf. Rev. Lett. 2019, 26, 1950058. [Google Scholar] [CrossRef]
- Naz, S.; Islam, M.; Tabassum, S.; Fernandes, N.F.; Carcache de Blanco, E.J.; Zia, M. Green Synthesis of Hematite (α-Fe2O3) Nanoparticles using Rhus punjabensis extract and their biomedical prospect in pathogenic diseases and cancer. J. Mol. Struc. 2019, 1185, 1–7. [Google Scholar] [CrossRef]
- Mohamed, H.E.A.; Afridi, S.; Khalil, A.T.; Ali, M.; Zohra, T.; Salman, M.; Ikram, A.; Shinwari, Z.B.; Maaza, M. Bio-redox potential of Hyphaene thebaica in bio-fabrication of ultrafine maghemite phase iron oxide nanoparticles (Fe2O3 NPs) for therapeutic applications. Mater. Sci. Eng. C Mater. Biol. Appl. 2020, 112, 110890. [Google Scholar] [CrossRef]
- Rufus, A.N.S.; Philip, D. Synthesis of biogenic hematite (α-Fe2O3) nanoparticles for antibacterial and nanofluid applications. RSC Adv. 2016, 6, 94206–94217. [Google Scholar] [CrossRef]
- Mohamed Rafi, M.; Syed Zameer Ahmed, K.; Prem Nazeer, K.; Siva Kumar, D.; Thamilselvan, M. Synthesis, characterization and magnetic properties of hematite (a-Fe2O3) nanoparticles on polysaccharide templates and the it antibacterial activity. Appl. Nanosci. 2015, 5, 515–520. [Google Scholar] [CrossRef]
- Silva, M.A.; Rocha, C.V.; Gallo, J.; Felgueiras, H.P.; de Amorim, M.T.P. Porous composites based on cellulose acetate and alfa-hematite with optical and antimicrobial properties. Carbohydr. Polym. 2020, 241, 116362. [Google Scholar] [CrossRef] [PubMed]
- Kasemets, K.; Suppi, S.; Künnis-Beres, K.; Kahru, A. Toxicity of CuO nanoparticles to yeast Saccharomyces cerevisiae BY4741 wild-type and its nine isogenic single-genedeletion mutants. Chem. Res. Toxicol. 2013, 26, 356–367. [Google Scholar] [CrossRef] [PubMed]
- Suppi, S.; Kasemets, K.; Ivask, A.; Künnis-Beres, K.; Sihtmäe, M.; Kurvet, I.; Aruoja, V.; Kahru, A. A novel method for comparison of biocidal properties of nanomaterials to bacteria, yeast and algae. J. Hazard. Mater. 2015, 286, 75–84. [Google Scholar] [CrossRef]
- Aruoja, V.; Pokhrel, S.; Sihtmäe, M.; Mortimer, M.; Mädler, L.; Kahru, A. Toxicity of 12 metal-based nanoparticles to algae, bacteria and protozoa. Environ. Sci. Nano. 2015, 2, 630–644. [Google Scholar] [CrossRef]
- Käosaar, S.; Kahru, A.; Mantecca, P.; Kasemets, K. Profiling of the toxicity mechanisms of coated and uncoated silver nanoparticles to yeast Saccharomyces cerevisiae BY4741 using a set of its 9 single-gene deletion mutants defective in oxidative stress response, cell wall or membrane integrity and endocytosis. Toxicol. Vitr. 2016, 35, 149–162. [Google Scholar]
- Chen, X.; Zhong, Z.; Xu, Z.; Chen, L.; Wang, Y. 2′,7′-Dichlorodihydrofluorescein as a fluorescent probe for reactive oxygen species measurement: Forty years of application and controversy. Free Radic. Res. 2010, 44, 587–604. [Google Scholar] [CrossRef]
- Feng, Z.V.; Gunsolus, I.L.; Qiu, T.A.; Hurley, K.R.; Nyberg, L.H.; Frew, H.; Johnson, K.P.; Vartanian, A.M.; Jacob, L.M.; Lohse, S.E.; et al. Impacts of Gold Nanoparticle Charge and Ligand Type on Surface Binding and Toxicity to Gram-Negative and Gram-Positive Bacteria. Chem. Sci. 2015, 6, 5186–5196. [Google Scholar] [CrossRef]
- Ducret, A.; Quardokus, E.M.; Brun, Y.V. MicrobeJ, a tool for high throughput bacterial cell detection and quantitative analysis. Nat. Microbiol. 2016, 1, 16077. [Google Scholar] [CrossRef]
- Schneider, C.A.; Rasband, W.S.; Eliceiri, K.W. NIH Image to ImageJ: 25 years of image analysis. Nat. Methods 2012, 9, 671–675. [Google Scholar] [CrossRef] [PubMed]
- Tomoiaga, A.M.; Vasile, A.; Alexandroaei, M.; Sandu, I. 2 Ultrasound-assisted rapid growth of water compatible magnetite nanoparticles. J. Optoelectron. Adv. Mater. 2014, 16, 221–226. [Google Scholar]
- Tarakeshwar, P.; Manogaran, S. Ground state vibrations of citric acid and the citrate trianion—An ab initio study. Spectrochim. Acta Part. A Molec. Spectr. 1994, 50, 2327–2343. [Google Scholar] [CrossRef]
- Sharifi Dehsari, H.; Halda Ribeiro, A.; Ersöz, B.; Tremel, W.; Jakob, G.; Asadi, K. Effect of precursor concentration on size evolution of iron oxide nanoparticles. Cryst. Eng. Comm. 2017, 19, 6694–6702. [Google Scholar] [CrossRef]
- Yao, J.; Cui, B.; Zhao, X.; Wang, Y.; Zeng, Z.; Sun, C.; Yang, D.; Liu, G.; Gao, J.; Cui, H. Preparation, characterization, and evaluation of azoxystrobin nanosuspension produced by wet media milling. Appl. Nanosci. 2018, 8, 297–307. [Google Scholar] [CrossRef]
- Shao, X.R.; Wei, X.Q.; Song, X.; Hao, L.Y.; Cai, X.X.; Zhang, Z.R.; Peng, Q.; Lin, Y.F. Independent effect of polymeric nanoparticle zeta potential/surface charge, on their cytotoxicity and affinity to cells. Cell Prolif. 2015, 48, 465–474. [Google Scholar] [CrossRef]
- Lappalainen, J.; Juovinen, R.; Nurmi, J.; Karp, M. Automated color correction method for Vibrio fischeri toxicity test. Comparison of standard and kinetic assays. Chemosphere 2001, 45, 635–641. [Google Scholar] [CrossRef]
- Mortimer, M.; Kasemets, K.; Heinlaan, M.; Kurvet, I.; Kahru, A. High throughput kinetic Vibrio fischeri bioluminescence inhibition assay for study of toxic effects of nanoparticles. Toxicol. Vitr. 2008, 22, 1412–1417. [Google Scholar] [CrossRef] [PubMed]
- Kurvet, I.; Ivask, A.; Bondarenko, O.; Sihtmäe, M.; Kahru, A. LuxCDABE—Transformed Constitutively Bioluminescent Escherichia coli for Toxicity Screening: Comparison with Naturally Luminous Vibrio fischeri. Sensors 2011, 11, 7865–7878. [Google Scholar] [CrossRef] [PubMed]
- Zhou, Y.; Kong, Y.; Kundu, S.; Cirillo, J.D.; Liang, H. Antibacterial activities of gold and silver nanoparticles against Escherichia coli and bacillus Calmette-Guérin. J. Nanobiotechnol. 2012, 10, 19. [Google Scholar] [CrossRef] [PubMed]
- Mamindy-Pajanya, Y.; Hurela, C.; Geretb, F.; Roméoa, M.; Marmiera, N. Comparison of mineral-based amendments for ex-situ stabilization of trace elements (As, Cd, Cu, Mo, Ni, Zn) in marine dredged sediments: A pilot-scale experiment. J. Hazard. Mat. 2013, 252–253, 213–219. [Google Scholar] [CrossRef]
- García, A.; Espinosa, R.; Delgado, L.; Casals, E.; González, E.; Puntes, V.; Barata, C.; Font, X.; Sánchez, A. Acute toxicity of cerium oxide, titanium oxide and iron oxide nanoparticles using standardized tests. Desalination 2011, 269, 136–141. [Google Scholar] [CrossRef]
- Birben, E.; Sahiner, U.M.; Sackesen, C.; Erzurum, S.; Kalayci, O. Oxidative stress and antioxidant defense. World Allergy Organ. J. 2012, 5, 9–19. [Google Scholar] [CrossRef]
- Kasemets, K.; Käosaar, S.; Vija, H.; Fascio, U.; Mantecca, P. Toxicity of differently sized and charged silver nanoparticles to yeast Saccharomyces cerevisiae BY4741: A nano-biointeraction perspective. Nanotoxicology 2019, 13, 1041–1059. [Google Scholar] [CrossRef] [PubMed]
- Kadam, R.; Maas, M.; Rezwan, K. Selective, agglomerate-free separation of bacteria using biofunctionalized, magnetic janus nanoparticles. ACS Appl. Bio. Mater. 2019, 2, 3520–3531. [Google Scholar] [CrossRef]
- Lopez-Heras, M.; Theodorou, I.G.; Leo, B.F.; Ryan, M.P.; Porter, A.E. Towards understanding the antibacterial activity of Ag nanoparticles: Electron microscopy in the analysis of the materials-biology interface in the lung. Environ. Sci. Nano 2015, 2, 312–326. [Google Scholar] [CrossRef]
- Gottenbos, B.; Grijpma, D.W.; van der Mei, H.C.; Feijen, J.; Busscher, H.J. Antimicorbial effects of positively charged surfaces on adhering Gram-positive and Gram-negative bacteria. J. Antimicrob. Chemoth. 2001, 48, 7–13. [Google Scholar] [CrossRef]
- Kubo, A.L.; Capjak, I.; Vinković Vrček, I.; Bondarenko, O.M.; Kurvet, I.; Vija, H.; Ivask, A.; Kasemets, K.; Kahru, A. Antimicrobial potency of differently coated 10 and 50 nm silver nanoparticles against clinically relevant bacteria Escherichia coli and Staphylococcus aureus. Colloids Surf. B 2018, 170, 401–410. [Google Scholar] [CrossRef] [PubMed]
- Buchman, J.T.; Rahnamoun, A.; Landy, K.M.; Zhang, X.; Vartanian, A.M.; Jacob, L.M.; Murphy, C.J.; Hernandez, R.; Haynes, C.L. Using an environmentally-relevant panel of Gram-negative bacteria to assess the toxicity of polyallylamine hydrochloride-wrapped gold nanoparticles. Environ. Sci. Nano. 2018, 5, 279–288. [Google Scholar] [CrossRef] [PubMed]
- Ramirez, J.M.; Bai, Q.; Péquignot, M.; Becker, F.; Kassambara, A.; Bouin, A.; Kalatzis, V.; Dijon-Grinand, M.; De Vos, J. Side scatter intensity is highly heterogeneous in undifferentiated pluripotent stem cells and predicts clonogenic self-renewal. Stem Cells Dev. 2013, 22, 1851–1860. [Google Scholar] [CrossRef] [PubMed]
- Fernández-Castané, A.; Li, H.; Thomas, O.R.T.; Overton, T.W. Flow cytometry as a rapid analytical tool to determine physiological responses to changing O2 and iron concentration by Magnetospirillum gryphiswaldense strain MSR-1. Sci. Rep. 2017, 7, 13118. [Google Scholar] [CrossRef] [PubMed]













| Nr. | Phase | Primary Size (nm) | Shape | ζ-potential (mV) | Method/Medium | Microorganisms | Mode of Action | Results | Coating | Reference |
|---|---|---|---|---|---|---|---|---|---|---|
| 1 | α-Fe2O3 | 40 | - | −35 (in DI) | Agar well diffusion, MHA/sodium acetate buffer. Resazurin microdilution/MHB. | S. aureus Bacillus sp. E. coli K. pneumonia P. aeruginosa S. enterica Vibrio sp. | Not analyzed | Inhibition zones to all bacteria at 30 µg/mL; MIC value: Bacillus sp. and Vibrio sp. (0.98 µg/mL) > S. aureus, P. aeruginosa, and S. enterica (7.81 µg/mL) > E. coli (15.6 µg/mL) > K. pneumonia (31.25 µg/mL). | Bare | [54] |
| 2 | α-Fe2O3 | 25 (C) 22 (A) | Uneven | Not tested | Agar-diffusion method | E. coli | Not analyzed | Inhibition zone at 75 mg mL−1 | Caralluma Fimbriata (C) Achyranthes Aspera (A) | [55] |
| 3 | α-Fe2O3 | ~13.5 (bare) ~6.78 (Aloe vera) | Pleomorphic morphologies | Not tested | The planktonic growth (OD measurement)/LB broth | Pristine P. aeruginosa low EPS P. aeruginosa | ALE coated NPs attachment to EPS, as a result penetration into cell and intracellular ROS activity. Bare NPs were less active, less penetration observed. | Bare NPs (1000 µg/mL): pristine ~43%, low EPS ~55% reduction; ALE NPs (1000 µg/mL): pristine ~58%, low EPS ~78% reduction. | Bare (uncoated) Aloe vera capped | [56] |
| 4 | α-Fe2O3 | ~90.46 | Polygon | Not tested | Agar diffusion MHA / DI | E. coli S. aureus | Non active | No inhibition zones were observed up to a concentration of 1.5 mg/mL after 24 h of incubation | bare | [57] |
| 5 | α-Fe2O3 | 26 53 76 98 | Spherical | 28.6 57.4 55.4 67.9 (in PBS; pH 7.2) | Adsorption kinetics/PBS | E. coli | The toxicity may be linked more to the intake mass of NPs, rather than the intake number of NPs. | NPs concentration 100 mg/L in [Fe3+] NPs sorption as [Fe3+]: 98 nm > 76 nm > 53 nm > 26 nm | Bare | [44] |
| 6 | α-Fe2O3 | 41.5 | Spherical | Not tested | Disk diffusion, NA/DI | S. aureus, P. aeruginosa, E. coli B. subtilis | Not analyzed | 5µL of NPs from stock solution (4 mg/mL); all of the bacterial strains were revealed zone of inhibition | Uncoated Rhus punjabensis plant extract | [58] |
| 7 | α-Fe2O3 | 100 | - | −48 (PBS) | Adsorption measurements/PBS | E. coli | Bacteria cells deformation, cell surface became hardened/stiffer, cells shifted to a more-negative surface charge. Sorption of hematite. | Adhesion and sorption of NPs (100 mg/L) by E.coli | Bare | [45] |
| 8 | γ-Fe2O3 | 7–10 | Quasi-spherical and cuboidal shape | −15.8(DMSO) −26.5(H2O) −21.5(PBS; pH: 7) +22.4(PBS; pH: 5) −21.6(PBS; pH: 9) | Well diffusion, MHA/DMSO | K. pneumonia S. epidermidis B. subtilis E. coli P. aeruginosa A. flavus F. solani Mucor sp. A. fumigates A. niger | Not analyzed | All of the bacterial strains were revealed zone of inhibition in a concentration dependent manner (4 mg/mL–250 mg/mL). A. niger and A. fumigates were not inhibited (500 µg/mL) | Bare | [59] |
| 9 | α-Fe2O3 | ~34.1–35.5 | Quasi-spherical | Not tested | Agar well diffusion, MHA/DMSO | E. coli S. aureus | Not analyzed | All of the bacterial strains were revealed zone of inhibition (1 mg/mL); bigger zones were observed against gram-positive bacteria. | Bare | [60] |
| 10 | α-Fe2O3 | 90 (AF) 97 (DF) 80 (GF) | Dumbbell nature | Not tested | Agar well diffusion, MHA | A. hydrophila E. coli S. aureus P. aeruginosa E. faecalis S. pyogenes | Not analyzed | A. hydrophila and E. coli at 50 mg/mL were revealed zone of inhibition. | agarose (AF) dextran (DF) gelatin (GF) | [61] |
| 11 | α-Fe2O3 | 2 43 85 540 | Spherical or rhombohedral (540 nm irregular shape) | Not tested | Biofilm formation/Iron deficient media M9 | P. aeruginosa | Not analyzed | Increase the biofilm formation (10 µg/mL) | Bare | [48] |
| 12 | γ-Fe2O3 | - | Spherical | Not tested | Agar well diffusion, NA/0.9% NaCl | E. coli P. aeruginosa S. aureus S. pyogenes C. albicans | Antimicrobial activity was not observed | Inhibition zones were not observed (1.5, 5.0 and 10 mg/mL) | Bare | [47] |
| 13 | α-Fe2O3 | 10 80 1000 | Not mentioned | 18.73 (10 nm) 17.53 (80 nm) −15.57 (1 µm) (in 0.15M NaCl; pH 7) | Adhesion measurements/0.15 M NaCl | P. putida B. subtilis | (1) Adhesion (10 nm and 80 nm) onto bacterial cells; (2) chemical bonds form, and changes in the structure of membrane proteins result in the loss of the structural integrity of the membrane; (3) NPs migration into the cells and surface-derived ROS production; | The attraction for bacterial cells increased several folds on the 10 nm NPs. The significant rupture of P. putida cell walls and the internalization of 10 nm NPs were observed. | Bare | [49] |
| 14 | α-Fe2O3 | 10.04 | Spherical | +39 (media not mentioned) | Broth dilution assay, OD600 measurements/ nutrient media Petri plate-based standard bacterial strains were spread on nutrient-rich agar already augmented by NPs | E. coli V. cholerae | Not analyzed | MIC 150 µg/mL for both bacteria. 150 µg/mL caused 19% and 60% inhibition of V. cholerae and E. coli, respectively | Bare | [21] |
| 15 | α-Fe2O3 | 50–100 | Irregular shape | Not tested | Qualitative standard ASTM-E2149-0/PBS | S. aureus E. coli P. aeruginosa | Surface zero charge of the membrane | 5 wt.% NPs in membrane Average reduction of ~69% for E. coli, of ~78% for P. aeruginosa, ~56% for S. aureus | Cellulose acetate porous membrane | [62] |
| Fe(III) Nitrate’s Concentration Used for the Synthesis of Hematite α-Fe2O3 NPs | 0.05 M | 0.1 M |
|---|---|---|
| Positively charged uncoated/bare hematite NPs, 45 or 70 nm primary size | α-Fe2O3-p45 | α-Fe2O3-p70 |
| Negatively charged citrate-coated hematite NPs, 45 or 70 nm primary size | α-Fe2O3-n45 | α-Fe2O3-n70 |
| ζ-potential, mV | Pdl | Hydrodynamic Size, nm | Solubilized Fe from 100 mg/L α-Fe2O3 NPs, ppm (TXRF) | |||||
|---|---|---|---|---|---|---|---|---|
| In DI water (testing medium for the assays using E. coli and S. aureus) | ||||||||
| Samples | 0 h | 24 h | 0 h | 24 h | 0 h | 24 h | 30 min | 24 h |
| α-Fe2O3-p45 | +38.8 | +42.1 | 0.20 | 0.21 | 116 | 125 | 0.096 | 0.06 |
| α-Fe2O3-p70 | +40.2 | +33.3 | 0.25 | 0.23 | 147 | 137 | 0.11 | 0.1 |
| α-Fe2O3-n45 | −33.7 | −44.7 | 0.21 | 0.20 | 100 | 108 | 0.04 | 0.07 |
| α-Fe2O3-n70 | −44.7 | −44.6 | 0.19 | 0.19 | 110 | 104 | 0.05 | 0.07 |
| In 2% NaCl (testing medium for the V. fischeri assay) | ||||||||
| Samples | 0 h | 24 h | 0 h | 24 h | 0 h | 24 h | 30 min * | 24 h * |
| α-Fe2O3-p45 | +37.5 | −0.6 | 0.44 | 0.44 | 1801 | 3927 | - | - |
| α-Fe2O3-p70 | +45.7 | −3.4 | 0.32 | 0.47 | 917 | 2535 | - | - |
| α-Fe2O3-n45 | −25.3 | −7.9 | 0.43 | 1.00 | 935 | 4014 | - | - |
| α-Fe2O3-n70 | −16.8 | −18.5 | 0.38 | 0.76 | 2347 | 3238 | - | - |
Publisher’s Note: MDPI stays neutral with regard to jurisdictional claims in published maps and institutional affiliations. |
© 2021 by the authors. Licensee MDPI, Basel, Switzerland. This article is an open access article distributed under the terms and conditions of the Creative Commons Attribution (CC BY) license (http://creativecommons.org/licenses/by/4.0/).
Share and Cite
Vihodceva, S.; Šutka, A.; Sihtmäe, M.; Rosenberg, M.; Otsus, M.; Kurvet, I.; Smits, K.; Bikse, L.; Kahru, A.; Kasemets, K. Antibacterial Activity of Positively and Negatively Charged Hematite (α-Fe2O3) Nanoparticles to Escherichia coli, Staphylococcus aureus and Vibrio fischeri. Nanomaterials 2021, 11, 652. https://doi.org/10.3390/nano11030652
Vihodceva S, Šutka A, Sihtmäe M, Rosenberg M, Otsus M, Kurvet I, Smits K, Bikse L, Kahru A, Kasemets K. Antibacterial Activity of Positively and Negatively Charged Hematite (α-Fe2O3) Nanoparticles to Escherichia coli, Staphylococcus aureus and Vibrio fischeri. Nanomaterials. 2021; 11(3):652. https://doi.org/10.3390/nano11030652
Chicago/Turabian StyleVihodceva, Svetlana, Andris Šutka, Mariliis Sihtmäe, Merilin Rosenberg, Maarja Otsus, Imbi Kurvet, Krisjanis Smits, Liga Bikse, Anne Kahru, and Kaja Kasemets. 2021. "Antibacterial Activity of Positively and Negatively Charged Hematite (α-Fe2O3) Nanoparticles to Escherichia coli, Staphylococcus aureus and Vibrio fischeri" Nanomaterials 11, no. 3: 652. https://doi.org/10.3390/nano11030652
APA StyleVihodceva, S., Šutka, A., Sihtmäe, M., Rosenberg, M., Otsus, M., Kurvet, I., Smits, K., Bikse, L., Kahru, A., & Kasemets, K. (2021). Antibacterial Activity of Positively and Negatively Charged Hematite (α-Fe2O3) Nanoparticles to Escherichia coli, Staphylococcus aureus and Vibrio fischeri. Nanomaterials, 11(3), 652. https://doi.org/10.3390/nano11030652

