Abstract
Silicon semiconductor-insulator-semiconductor (SIS) structures with high-k dielectrics are a promising new material for photonic and CMOS integrations. The “diode-like” currents through the symmetric atomic layer deposited (ALD) HfO2/Al2O3/HfO2… nanolayers with a highest rectification coefficient 103 are observed and explained by the asymmetry of the upper and lower heterointerfaces formed by bonding and ALD processes. As a result, different spatial charge regions (SCRs) are formed on both insulator sides. The lowest leakages are observed through the stacks, with total Al2O3 thickness values of 8–10 nm, which also provide a diffusive barrier for hydrogen. The dominant mechanism of electron transport through the built-in insulator at the weak field E < 1 MV/cm is thermionic emission. The Poole-Frenkel (PF) mechanism of emission from traps dominates at larger E values. The charge carriers mobility 100–120 cm2/(V s) and interface states (IFS) density 1.2 × 1011 cm−2 are obtained for the n-p SIS structures with insulator HfO2:Al2O3 (10:1) after rapid thermal annealing (RTA) at 800 °C. The drain current hysteresis of pseudo-metal-oxide-semiconductor field effect transistor (MOSFET) with the memory window 1.2–1.3 V at the gate voltage |Vg| < ±2.5 V is maintained in the RTA treatment at T = 800–900 °C for these transistors.
1. Introduction
Recently, the high energy efficiency of optical switches based on semiconductor-insulator-semiconductor (SIS) structures has been reported, reaching femto- and even attojoules per operation when using a design of hybrid structures based on III-V/Si semiconductor pairs [1,2,3,4,5]. The development of more energy-efficient switches, compared to thermo-optical or MEMS devices, means real progress in the implementation of not only fast intrachip communication with switch frequencies of up to 200 GHz [4,5,6,7,8], but also perspectives in building deep learning artificial neural networks based on ferroelectric transistors (FeFET), optical or quantum gates [9,10] compatible with the industrial CMOS technology. Hybrid III-V/Si structures noticeably increase the complexity of mass production of integral circuits (ICs) by the industrial CMOS silicon technology. Thus, the development of all silicon-based switches is a task of current interest.
One of the options for reducing energy consumption in the CMOS technology is the embedding of ferroelectric materials, which provide the inherent amplification of potentials at semiconductor-ferroelectric (FE) interfaces and reduce losses in FeFET keys. Model calculations have shown that using FE insulators provides the possibility of switching for optical phase shifters in the GHz frequency range with a rather low phase shift VπL~0.1 V cm at bias voltages of V~1 V on a SIS silicon-based structure with a 20 nm FE Y:HfO2 nanolayer [11]. The parameter of FE-losses ρ must not exceed ρ ≅ 10 Ohm∙cm for these semiconductor–ferroelectric–semiconductor (SFS) structures. The real fabrication of similar structures is possible using direct bonding techniques, but it encounters certain difficulties—the low temperature stability of amorphous FE nanolayers, formation of gas blisters, crystallites, and high interface state density Dit at the bonded boundary—that reduce the charge carrier mobility in a silicon layer, leading to high leakage currents through the insulator [1,12]. The latter challenge can be solved by using a stable wide bandgap amorphous dielectric or a reverse bias for semiconductors with different types of conductivity instead of a direct bias in SIS structures, as has been recently shown [13]. In that case, high charge carrier mobility and low Dit values could be obtained at the interfaces [1].
The other important issues are the lowering of the SIS diode bias voltage and the energy consumption for using these devices in the Internet-of-Things. The well investigated Schottky barrier (SB) FE diodes, where a fully symmetrical metal–ferroelectric–metal (MFM) structure works as a rectifying diode due to the lowering of SB at one MF interface and its increase at the other one due to polarization fields [14,15,16,17,18,19,20,21,22], are an interesting prospect. However, we did not find in the literature any reports devoted to forming similar FE diodes using homojunction silicon layers in SFS structures. These could provide low-voltage FE diode operation if the well-known dependence of ferroelectric properties on interface boundary conditions did not suppress the polar phase formation [23].
The aim of this work was the investigation of the electrical properties of both SIS and SFS silicon structures formed by direct bonding and the implanted hydrogen transfer of a silicon layer onto a Si substrate with an FE stack based on HfO2/Al2O3 nanolaminates. Inserting highly thermally stable Al2O3 layers increases the thermal stability of the ferroelectric properties of SFS structures during subsequent treatments at the CMOS front-end-of-line (FEOL) fabrication processes instead of the low thermal RTA treatment at 450 °C for 50 s [24]. The quality of these robust SFS structures with composite ferroelectric layers were characterized by their charge carrier mobility and the density of traps at the interphase boundaries, as well as by determining the current leakage mechanisms in the charge carriers enrichment modes (“direct” branch of the I-V curve), and the depletion mode (“reverse” branch) in the space charge region (SCR).
The outline of this paper is as follows. In Section 2, we explain our SIS and SFS wafer specifications and the fabrication process. The electric characteristic measurements are also briefly reviewed. In Section 3, we discuss our approaches to controlling the leakage and rectification currents in SIS structures using symmetrical or asymmetrical stacks of two different alumina and hafnia (Al2O3 and HfO2) dielectric nanolayers changing their order in stacks but not the full thickness. In Section 4, we briefly discuss the leakage current dominant mechanisms and the hysteresis of transfer characteristics of our SFS pseudo-MOSFET (metal-oxide-semiconductor field effect transistor) structures in more details, because these new structures could potentially find widespread use in artificial intelligence integrated circuits (AI IC) due to their high-quality electronic transport and memory properties. In Section 5, we conclude and discuss the future outlook.
2. Materials and Methods
Thin films of stacks and nanolaminates of alumina/hafnia (Al2O3/HfO2), as well as single Al2O3 or HfO2 layers, were grown as an insulator for SIS structures by plasma-enhanced atomic layer deposition (PEALD) on (001) silicon wafers. Atomic layer deposition was carried out in the FlexAl tool (OIPT, Yatton, Bristol, UK) using a 13.56 MHz inductively coupled (ICP) plasma source. The SiOxNy interlayer between silicon and high-k layer was formed by the plasma nitridization of residual native silicon oxide to reduce the density of electrically active defects on the surface. The nitridization at T = 500 °C, N2 pressure p = 20 mTorr and ICP discharge power W = 400 W during 180 s were provided in situ immediately before the ALD process at 250–300 °C in the same chamber. In the alumina deposition process, the trimethylaluminum (TMA) precursor was used as an organometallic precursor, and oxygen plasma as an oxidizing agent. The Tetrakis(ethylmethylamido)hafnium(IV) (TEMAH) precursor and also oxygen plasma were used to grow the hafnia film.
SIS structures were formed by the direct bonding technique and hydrogen transfer by the H2+ ions (E = 120 keV) implantation into the Si donor wafer, then by the bonding with Si n- or p-type substrates and by the thermally induced cleavage by SmartCut® or DeleCut methods (See Figure S1, Supplementary Materials). As a result, silicon and insulator layers simultaneously, or only a silicon layer, were transferred on the substrates, respectively [25]. Before the vacuum bonding of the surface of a pair of silicon wafers, they were processed in Radio Frequency (RF) plasma of nitrogen and oxygen for 60 s. The transfer of n-Si layers from (001) 4.5 Ohm·cm (3–6 × 1014 cm−3) wafers implanted with hydrogen to similar or p-Si (001) 10 Ohm·cm (1–2 × 1015 cm−3) substrates with a precoated 20 nm stack or nanolaminates HfO2/Al2O3, or single 20 nm layers of HfO2 and Al2O3, was carried out by the DeleCut method using the vacuum cleaning and temperature bonding (VCTB) in vacuum at a temperature of ~100 °C to increase the effective bonding area and to suppress the large stress generation during the followed thermal splitting of hydrogen implanted Si wafer (Figure 1) [25]. Using the implanted hydrogen transfer of only Si layers makes it possible to avoid the defect generation in the high-k stack at the H implantation and subsequent thermal treatments.
Figure 1.
The SFS (semiconductor–ferroelectric–semiconductor) structure process flow (for more data see the [25,26]).
The same last procedure was used for the SmartCut® transfer of both silicon and high-k stack layers on the Si substrate instead of the atmospheric bonding and cleavage (Figure S1, Supplementary Materials). The thermal cleavage (T = 450° C) resulted in the transfer of the layer package of Si/high-k stack on the Si-substrate, or only a Si-layer onto the high-k stack/Si-substrate. These SIS wafers, similar to usual silicon-on-insulator (SOI), with a high-k dielectric instead of silica, were subjected to a sequential furnace or rapid thermal annealing in an atmosphere of argon or nitrogen at temperatures of 650–1100 ° C (furnace annealing and rapid thermal annealing). With respect to the samples, the Si films in the SIS samples were thinned by the sequential operations of chlorine oxidation at the 1100 °C/wet etching (O/E) of the oxidized layer in a 1% HF solution to the Si layer thicknesses of 50–300 nm.
The C-V and I-V measurements and drain-gate characteristics of pseudo-MOS transistors were used on the lithographically created mesa structures in the upper Si layer sized 1 × 1 mm2 or in the Corbino geometry in the transferred Si layer of 1 × 1 mm2 in size. Al contacts in the Corbino geometry after the post-metallization annealing had a 0.6 mm inner circle, and electrodes with an outer ring diameter of 3 mm on the transferred silicon layer. The Si layer outside the lithographic masks was removed before measurements in boiling ammonia at 200 °C. The measurements were carried out with the Keythley 4200 unit (Tektronix Inc. of Beaverton, OR, USA) using tungsten probe needles at the distance of 100 µm and the tip radius of 20 µm with the clamping force of 60 g as drain and source contacts, and with the back gate, which was the Si-substrate with the ohmic InGa contact. The layer thicknesses of SIS structures were controlled by spectral ellipsometry (SE) after each step of sample fabrication.
3. Results
3.1. Symmetrical SIS with a 20-nm-Thick Alumina or Hafnia Built-In Insulator
The data in Figure 2, Figure 3, Figure 4, Figure 5 and Figure 6 present only the last isochronal temperature data, where the slow interface states were essentially removed. These slow interface states provide huge (3–15 V) unstable C-V and I-V hysteresis on these defect states after the thermal treatments in the range 600–800 °C similar to the flash memory that out the scope of interest. Their removal was controlled by C-V and pseudo-MOSFET measurements at different sweeping rates (see e.g., Figure 1, Figure 4 and Figure 8). To minimize the leakage currents through the SIS structure, a 20-nm-thick alumina layer was firstly investigated as an insulator after different thermal treatments due to its high bandgap and amorphous phase stability [26,27,28].
Figure 2.
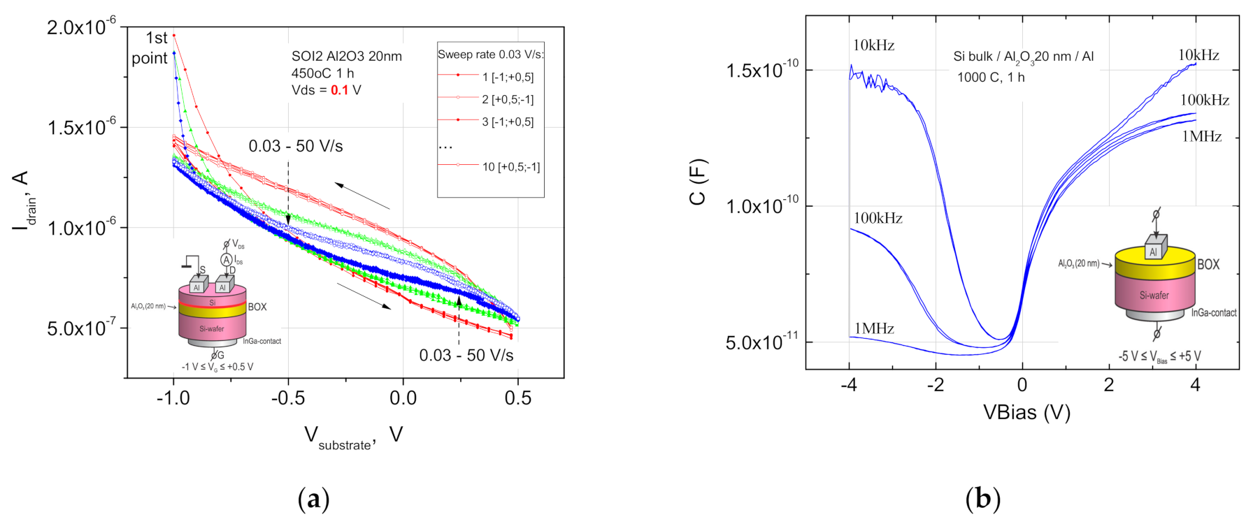
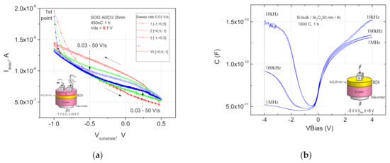
(a) Hysteresis-like behavior of the drain-gate characteristics at the range Vg = −1.0 + 0.5 V of n-SIS pseudo-MOSFET (metal-oxide-semiconductor field effect transistor) with the 500 nm n-Si/20 nm Al2O3/n-Si substrate after the furnace annealing (FA) at 450 °C during 1 h. Potential Vg was applied to the n-Si substrate. The drain voltage VDS was 0.1 V for all pseudo-MOSFET measurements. The sweep rate was 50 V/s, 5.0 × 10−1 V/s, 3.3 × 10−3 V/s (shown by dashed arrows). In the inset are the measurement scheme and the layers of the n-SIS structure, where the bonding interface is indicated by a red line; (b) C-V plots of the MIS structure with high-k insulator Al2O3 after the final FA at 1000 °C for 1 h and top Si layer etching. In the inset are the measurement scheme and the n-type MIS structure layers.
Figure 3.
(a) Diode-like I-V characteristics of the source current-gate voltage (Probe sweep 2) and drain current-gate voltage (Probe sweep 1) contacts of n-SIS pseudo-MOSFETs on the structures 500 nm n-Si/20 nm Al2O3/Si-substrate after the RTA treatment at 950 °C for 30 s. The I-V curves are shown for the sweep in the range Vg = −8 + 8 V on the linear scale; (b) the same on the semi-logarithmic scales.
Figure 4.
(a) Drain-current-gate voltage characteristics of the n-SIS (500 nm n-Si/20 nm HfO2/Si substrate) pseudo-MOSFETs after the RTA at 950 °C for a scan of Vg = −1.0 + 0.6 V; (b) current-voltage characteristics at the source-gate and drain-gate contacts, bias voltages in the range Vg = −8 + 8 V.
Figure 5.
(a) Hysteresis behavior of the electron current in the transfer characteristics of n-SIS pseudo-MOSFETs with the 500 nm n-Si/20 nm HfO2 6 nm/Al2O3 8 nm/HfO2 6 nm/n-Si substrate on the mesa structures with tungsten needle-shaped contacts (see inset) after the FA at 800 °C for 1 h. Constant sweep rate 50 V/s in the two ranges of Vg = −0.2 + 0.2 V (cyan) and Vg = −0.5 + 0.5 V (magenta) is set for measurements with the starting (1st) point at Vg = −0.2 or −0.8 V during multicycle measurements. The gate voltage Vg is applied to the n-Si substrate; (b) C-V plots of the MIS structure with high-k insulator stack HfO2/Al2O3/HfO2 after the FA at 1000 °C for 1 h and top Si layer etching. In the inset are the measurement scheme and the n-type MIS structure layers.
Figure 6.
(a) Diode-like current-voltage (I-V) characteristics at the source–gate contacts and drain-gate contacts of n-SIS Corbino structures on the wafers fabricated by the DeleCut method: 500 nm n-Si/HfO2 6 nm/Al2O3 8 nm/HfO2 6 nm/n-Si-substrate, after the FA at 1000 ° C for 1 h; (b) the same, but with a CO+ implanted getter (ECO+ = 90 keV, Ф = 1 × 1016 cm−2) after the RTA at 800 °C for 30 s. The bias voltage is applied to the n-Si substrate. In the insets are the measurement scheme and the n-SIS structure layers, where the bonding interface and COII getter are indicated by a red line and stripe, respectively.
Figure 8.
Silicon and hafnia bandgaps (not on the same energy scales for picture clarity) bending at the ferroelectric switching in the symmetric n-SIS structure with the two polarizations down to the substrates (left) and to the Si film (right), the shallow and deep electron traps with the +Qf net trapped charges at the boundaries of ferroelectric stack HfO2:Al2O3 (10:1) for the different Si substrate bias voltage Vsub: V0 = -VR, where VR is the residual polarization voltage after/before the P-down switching (left), V1 = 0 V, V2 = VR, where VR is the voltage for the coercive switching of polarization (left). The same for the P-up switching in the built-in insulator (right). The Si film is grounded. The vacuum levels are shown for the V1 voltages only.
Figure 2a shows the hysteresis-like drain-gate characteristics of n-SIS pseudo-MOSFETs with a 500 nm n-Si layer and a 20 nm insulator layer of an ALD Al2O3 layer immediately after the furnace annealing at 450 °C for the sweep range of Vg = −1.0 + 0.5 Volts. The gate voltage Vg was applied to the n-Si substrate, and the sweep rate was varied from 50 V/s to 3.3 × 10−3 V/s. A decrease in the current value with a decrease in the negative bias indicates a hole conductivity and a built-in negative charge in the insulator. The observed hysteresis behavior of I-V is apparently due to the slow interface states (IFS) recharging in the insulator. The charge capture on those levels has a typical dependence on the sweep speed (Figure 2a, dashed arrows).
A further FA or RTA at the increased temperatures 950–1000 °C does not lead to a slow IFS removal according to the C-V measurements at different frequencies (Figure 2b) or crystallization of amorphous ALD Al2O3, but eliminates the residual defects in the transferred silicon film and also leads to the formation of silicon oxide interlayers in the insulator boundaries and to the formation of positively charged oxygen vacancies in aluminum oxide [26,27]. As a result, a large positive charge appears in the Al2O3 insulator, and the field effect is almost impossible to observe due to the electron accumulation at the insulator boundaries.
Huge changes in the drain current in n-SIS pseudo-MOSFET structures occur when the gate voltage Vg changes in the interval from −8 to +8 Volts, even after rapid thermal annealing (RTA), due to leaks through the insulator layer (Figure 3 and Figure 4). The leakage currents were measured with an alternately grounded source or drain contacts. They decrease at bias voltages |Vg|~1 V, with respect to Vg around 0 V, and demonstrate pronounced “diode like” characteristics at |Vg| > 2 V. The curves could also be reversed when the location of the probes or mesa structures on the wafer changed. Moreover, the changes in the ratio of leakage currents through the insulator from 1 to 10 were not proportional to the ratio of the source and drain Al contact areas (As = 3.9 × 10−2 cm2, source contact with Probe 1 and Ad = 3.0 × 10−3 cm2, drain contact with Probe 2) for the mesa structures with Corbino geometry, which is about 1 in Figure 3. Using these contact areas and 0.6 mm distance between them we can estimate the defect density.
This behavior indicates the presence of randomly located defect critical density NR in the insulator layer with a value of NR = 1/Ad < 3.3 × 102 cm−2, which determines the current flow through the buried dielectric, similar to the phenomena in oxide-based memristors. At voltages |Vg| > 1 V, the currents and noises at I-V curves sharply decrease due to the carrier depletion effect in the silicon layers adjacent to the insulator in the SCR on one of the sides, and then the accumulation of electrons or holes on both sides of the dielectric boundaries, and vice versa, when the polarity changes (Figure 3). Probably, accumulation and inversion phenomena can switch currents through the defects in the insulator layer, and they are responsible for the charge carriers transfer if they propagate to one of the insulator boundaries. These defects are similar to those previously observed by TEM grain boundaries [25,27], or lonely conducting filaments and behave like ohmic shunts; the current through these defects increases linearly with Vg and does not depend on the contact area. It is possible that the conductive filaments in the insulator are a consequence of electroforming processes, the same as the formation of memristor cells. More likely, such defects begin from the boundary of the bonding interface, and that corresponds, in most cases, to leaks with a positive bias voltage Vg.
The buried insulator with amorphous HfO2 layers crystallizes at much lower temperatures T~600–800 °C [16]. The hafnium dioxide band gap is also smaller than that of alumina, and it leads to an increase in the leakage currents in both furnace and rapid thermal annealing (RTA) (Figure 4). Reducing the leakages ensures the introduction of Al2O3 layers into the insulator based on hafnium dioxide. An increase in the thickness of aluminum oxide layer inserts by a factor of 5 reduces the leakage current by 4 orders of magnitude. However, in the case of Al2O3 contact with the silicon interface, the problem of built-in positive charge in the insulator arises again and, possibly, that of the formation of dipoles at Al2O3 or HfO2 heterointerfaces with SiO2 interlayers [28,29].
3.2. Rectification and Hysteresis in the Symmetrical SIS with a 20 nm Stack HfO2/Al2O3/…/HfO2
The positive charge in the insulator still exists in the case of a symmetric arrangement of the Al2O3 insert inside the insulator as HfO2/Al2O3/HfO2, but oppositely directed dipoles compensate each other at the heterointerfaces (Figure 5a and Figure 6a) [29]. The probability of dipole recharging can compensate the ferroelectric type hysteresis at the asymmetric n-SIS pseudo-MOSFET’s drain-gate characteristics, but not for the symmetrical ones (Figure 6 and Figure 7). These dipoles determine that “forward” and “reverse diode” characteristics of the leakage currents through the asymmetrical stack depend on their orientations (See Figure S2, Supplementary Materials). An increase in the total stack thickness to 30 nm decreases the gate leakage current Ig by more than 2 orders of magnitude (see Figures S3 and S4, Supplementary Materials). At the same time, an increase in the furnace annealing temperature to 1000 °C does not lead to the essential increase in the gate leakage current Ig due to the thick alumina insert in the high-k layer (Figure 6), but drastically decreases the IFS density and the hysteresis (Figure 5b). The Al2O3 insert inside the insulator demonstrates a low leakage current at voltages |Vg| > 1 V even after the furnace annealing at 1000 °C, but without any hysteresis and dependence on the contact areas (Figure 5b and Figure 7a). These defects still show the current rectification due to their different nature of both interfaces.
Figure 7.
(a) Linear approximations of normalized differential conductance (NDC, according to [28], for the leakage current at the drain–gate contacts in the “forward” direction shown in the coordinates of 1/V for a larger bias voltage based on the data extracted from Figure S2; (b) the same in the V1/2 coordinates for a lower value of bias voltage.
To clarify the role of the near interface defects, the same structure was investigated with the special defect region in the n-Si substrate introduced by CO+ ion implantation before the PEALD deposition and bonding (Figure 6b). Besides an increase in the leakage current, the polarity of the I-V branches was reversed by these defects near the bottom interface showing their role in the diode-like behavior.
4. Discussion
4.1. Random Shunts in the Built-in Insulator HfO2/Al2O3 Stacks
The absence of Ig dependence on the contact area ratio ~13 indicates the predominant contribution of “random” defects in oxide layer leakages after the annealing. It is important to note that this independence is observed for “reverse” current branches and that confirms their relation to the defects not only in the insulator, but also in the SCR. To verify the assumption of a connection of the diode-like behavior with the defects in the SCR, the electron distribution under the insulator after the RTA at 800 °C was measured by the C-V method [29]. The high-resistance p- (i-) layer spreads the SCR in the substrate up to 2 µm and ensures the constant Ig leakage current value when the bias voltage Vg changed in the interval of +1–+8 V (Figure 7b). It can be seen that the contribution of nonlinear effects becomes dominating at the fields E > 1 MV/cm that can be seen from the ratio of currents at lower voltages (Figure 4).
4.2. Possible Mechanisms of the Charge Transport through Built-In Insulator HfO2/Al2O3 Stacks
The Ig currents in the forward direction through a thin insulator layer in the case of their significant (by 1–3 orders of magnitude) excess over the backward currents can be determined by a combination of several mechanisms at once: the resistive current through filaments/shunts in the dielectric, thermionic emission (TE) of charge carriers, direct interband tunneling, trap-assisted tunneling (TAT), emission from traps using the Poole-Frenkel (PF) mechanism, and the injection tunneling by Fowler-Nordheim (FN) mechanism. The relative contributions of these mechanisms depend on the layer thickness and electric field strength in the dielectric, as well as its temperature and defects, and can be extracted in various ways from the analysis of field and temperature dependences [30].
The space charge region in the SIS structures with the CO+ implantation reduces the field in the dielectric layer due to the applied voltage redistribution between the depletion region and the built-in insulator of the structure, and that does not allow us to draw an unambiguous conclusion about the prevailing conduction mechanisms. Nevertheless, an estimate of the contribution of “random” defects to the leakage current can be obtained from a comparison of the I-V dependences for two different contacts on the same mesastructure. For instance, the leakage currents for Corbino n-type mesa structures on the 500 nm n-Si/Al2O3 2nm/HfO2 20nm/Si substrate through the insulator at the positive bias of Vg> 0.1 V (Figure S2) are caused after the RTA at 950 °C by the electron conductivity from the silicon film to the Si substrate through the oxide layer. The equivalent oxide thickness (EOT) of such BOX layer is about 5 nm in terms of SiO2. The currents in the forward direction exceed the currents in the backward direction by three orders of magnitude.
4.3. Normalized Differential Conductance Approach for the Separation of Charge Transport Mechanisms
Naturally, the analysis of normalized differential conductance (NDC) gives a better approximation of the linear dependence for high voltages (Figure 7a) for a “direct” drain current with a smaller area and, accordingly, with a lower probability of the contribution of random defects in two coordinates of the abscissa axis 1/V and V1/2 [30]. The intersection of the linear approximation with the ordinate axis at NDC = 0.9 corresponds to the Poole-Frenkel mechanism (NDC = 1) for the electron transport through the built-in insulator (See Figure S4c,d, Supplementary Materials) [30,31]. The value NDC = 0.16 for the x-axis in the V1/2 coordinates has an overestimated NDC value instead of the expected value NDC = 0, which corresponds to the thermionic emission of electrons at lower voltages Vg (Figure 7b). A large error for lower Vg values corresponds to a smaller fraction of nonlinear effects in the leakage current at low voltages. However, from the data in Figure 7, it follows that the dominant mechanism of the leakage current through the insulator layer from the high-k Al2O3 (2 nm)/HfO2 (20 nm) stack without random defects is the thermionic emission at 0.15 < Vg < 0.9 V and the emission from traps by the Poole-Frenkel (PF) mechanism at 1.5 < Vg < 4.0 V. The high leakage current in the forward direction at biasing Vg > 1 V show linear dependences with the slope n = 2 in the log-log scale that corresponds to the Fouler-Nordheim tunneling mechanism in the high electric field E~1 MV/cm (See Figure S5, Supplementary Materials) [32].
The symmetrical n-SIS structures with the FE stack in the insulator can show diode like characteristics due to the insulator polarization at the coercive field EC (Figure 8). The observed asymmetry of the I-V characteristics of leakage currents through high-k dielectric stacks with an equivalent oxide thickness EOT~3–5 nm, even in the case of symmetrical structures of n-Si film/Al2O3/n-Si substrate, or n-Si film/HfO2/n-Si substrate, or n-Si film/HfO2/Al2O3/HfO2/n-Si substrate could be explained by the unequal distribution of traps at the Si film/insulator and insulator/Si substrate hetero-interfaces, which differ in their formation (bonding and ALD deposition) technologies, as well as in terms of different concentrations of hydrogen atoms at the upper (bonding and hydrogen transfer processes) and lower (ALD deposition) heterointerfaces measured by the SIMS technique (Figure S4, Supplementary Materials). Hydrogen is involved in the oxygen vacancies formation and promotes the oxygen movement from the insulator layers to the boundaries with silicon. As a result, a thicker silicon oxide interlayer and a higher oxygen vacancies concentration in the insulator are formed at the upper boundary. The higher hydrogen content at the upper boundary corresponds to a high probability of detecting both random shunt defects with ohmic characteristics and direct quasi-diode characteristics with a rectification coefficient of up to 102 at positive bias voltages on the substrate. The asymmetric structures of the n-Si film/HfO2/Al2O3/n-Si substrate and the n-Si film/Al2O3/HfO2/n-Si substrate demonstrate a 1–2 orders of magnitude higher rectification coefficient. At the same time, significantly higher Ids currents are observed at Vg~0 Volt of the drain-gate characteristics of n-SIS pseudo-MOSFETs due to the large positive charge inside the insulator near the n-Si/Al2O3 heterointerfaces, which include the SiO2 interlayer, and a lower slope of characteristics due to the SCR additionally formed in the substrate by the CO+ ion implantation (Figure 7). An SCR expansion using a CO+ implanted getter also increases the rectification coefficient of these structures.
4.4. Ferroelectricity in Nanolaminated Built-In Insulator HfO2/Al2O3/HfO2 Stacks
The symmetrical SFS structures provide electrically switchable rectification due to the inherent switchable electric field. The band bending asymmetry, relative to the polarity of bias voltage, is demonstrated in Figure 8. This polarity depends on the up or down polarization even in the case of highly symmetric SIS structure. Moreover, the high remnant polarization Pr provides a simultaneously strong accumulation and inversion at both interfaces in the slightly doped or undoped semiconductors. In other words, the ferroelectric polarization charges ± Qr form the space charge region similar to the one in the p-n junction if their charges are higher than those of trapped ones |Qr| > Qf.
The asymmetrical structures of the n-Si film/HfO2:Al2O3 (10:1)/p-Si substrate (np-SFS) demonstrate, in addition to good insulating properties Ig < 10−7 A/cm2 at |Vg| < 4 V, a significant ferroelectric (FE) hysteresis, with a ΔVg~1.0–1.3 V memory window (MW) of the drain-gate characteristics of np-SIS pseudo-MOSFETs, as well as a saturated drain current Id,s (Figure 9). This current is saturated due to a long pseudo-MOSFET channel with Schottky barrier contacts [33,34]. The voltage memory window ΔVg is expressed through the FE remnant polarization Pr as [16]:
where = VTp− − VTp+ is the difference of the float band voltages for two polarizations and that coincides with the hole threshold voltage difference (see Figure S7, Supplementary Materials), δ is the distance between the charges in the FE insulator and in the channel ~1 nm. Equation (1) gives the value 2Pr = 23 µC/cm2, which corresponds to the published results for structures fabricated under similar conditions [35].
ΔVg = VTp− − VTp+ = 2Prε0εHAO/δ,
Figure 9.
Ferroelectric hysteresis at the transfer characteristics of pseudo-MOSFET on the np-SIS mesastructure with the 500 nm n-Si/ 20 nm built-in insulator BOX nanolaminate HfO2:Al2O3 (10:1)/n-Si substrate: (a) after the RTA at 800 °С and (b) after the RTA at 900 °С for three different sweep rates: 0.4 V/s (black), 0.12 V/s (red) and 0.04 V/s (blue) and three sweep cycles (solid, dot and dash-dot lines).
The C-V, G-V and P-V loops, as well as the PUND pulse I-t measurements and PFM hysteresis, presented by Figures S8–S10 (Supplementary Materials) after the further RTA treatment at 950 °C confirm the ferroelectric nature of the transfer characteristic hysteresis in Figure 9. The last RTA treatment decreased the memory windows 3.7 times and that corresponds to the estimated value 2Pr~6 µC/cm2 (Figure S9a). Triangular pulses were applied to get the P-E hysteresis. The nonsymmetrical P-V loops with gaps are the result of reverse biasing in n-p SFS mesa structures. The PFM-V hysteresis is more symmetrical after n-Si layer removal (Figure S10b).
4.5. SFS Pseudo-MOSFET Characteristics
The maximum mobility values for electrons and holes of SIS structures with the ferroelectric hysteresis were determined for pseudo-MOSFETs by the Y-function method according to the following formula [36]:
where βn,p are the slopes of Y-function branches, fn = fp = 0.75 or 5.3 is the geometric factor for two-probe measurements, or in Corbino geometry, respectively, CBOX is the buried oxide (BOX) capacity CBOX = ε0·εBOX/tBOX (dielectric constant εBOX~20), VDS = 0.1 V is the drain voltage.
μn,p = (βn,p)2/(fnCBOXVDS),
The silicon layer mobility values µ, determined from the maximum slopes of the linear branches of Y-functions (Figure 9), were µn = 120 cm2/(V s) and µp = 110 cm2/(V s) for electrons and holes, respectively. The density of states Dit were calculated using Equation (3) and the data (Figure S6b, Supplementary Materials), where there are only two linear segments on the Y-function branches:
where q is the electron charge, N0 is the donor concentration, ΦF = EF − Ei = 0.144 eV is the Fermi level position in the silicon layer bulk with donor concentration N0 = 4 1014 cm−3, Dit is the density of states at the upper heterointerface and tSi is the top silicon layer thickness.
VTn − VTp ≅ 2·ΦF + (q·tBOX/ε0·εBOX)·(N0·tSi + 2·ΦF·Dit),
Then, according to the value of VTn − VTp on the thickness of tBOX (Figure 9 and Figure S7) and Equation (2), the value of Dit = 1.2 1011 cm−2 for the SFS with a 20 nm high-k stack of layered nanolaminate HfO2:Al2O3 (10:1). From these data, it can be concluded that the RTA treatments at 800 °C of the bonded silicon layer on the substrate with the hafnia-alumina-based nanolaminate built-in insulator provide the fabrication of Silicon–Ferroelectric–Silicon wafers with charge carrier mobility µn,p in the Si layer at levels of µn = 120 cm2/(V s) and µp = 110 cm2/(V s) for electrons and holes, respectively (Figure 6a and Figure 9). Keeping the carrier mobility and FE hysteresis after the rapid thermal annealing at T~800 °C is required for optical SIS phase shifters, FeFET embedded nonvolatile memories and Silicon-based Associative Neural Network technologies compatible with the industrial CMOS approach [10,13,37].
5. Conclusions
Investigations into the electrical characteristics of pseudo-MOSFETs mesa structures in n-SOI wafers were carried out with a 20 nm insulator with different high-k dielectrics layers—symmetric and asymmetrical stacks of the Al2O3/HfO2, and nanolaminate of HfO2:Al2O3—both in the two-probe measurement geometry and in Corbino geometry. The quasi-diode character of leakage currents through buried high-k built-in dielectrics with an equivalent oxide thickness EOT = 3–5 nm was detected, even in the case of symmetric semiconductor–insulator–semiconductor (SIS) structures with n-Si film/HfO2/Al2O3/HfO2/n-Si substrate. The reason for the diode-like characteristics in symmetrical SIS structures is explained by the asymmetry of the upper and lower heterointerfaces formed by the silicon bonding to the high-k insulating layer and ALD deposition of that layer on a silicon substrate, respectively. An additional factor is the different concentration of residual hydrogen at these interfaces, and it segregates in a subsequent SOI wafer annealing at T = 800–1000 °C. As a result, different spatial charge regions (SCRs) are formed near both Si/insulator interfaces.
The smallest leakage currents were obtained with high-k stacks containing an 8–10 nm Al2O3 layer, which also provided a barrier to the diffusion penetration of residual hydrogen into the substrate. In the SIS structures with the Al2O3 2 nm/HfO2 20 nm stack and a rectification coefficient of 103, it was shown that the dominant mechanism of electron transport through the dielectric at weak fields E < 1 MV/cm is thermionic emission, and at large E values, the Poole-Frenkel (PF) mechanism of electron emission from traps in the insulator dominates.
The maximum carrier mobility μ = 100–120 cm2/(V s) and the minimum density of states Dit = 1.2 1011 cm−2 were obtained for the asymmetrical np-SIS structures with a high-k insulating stack of nanolaminate HfO2:Al2O3 (10:1) after the RTA at 800 °C. The FE hysteresis still remains with a memory window of MW = 1.0–1.3 Volts at 0 < Vg < 3 V after the RTA processing of these SIS structures, and that makes it possible to use them as SFS substrates in the industrial CMOS process.
Silicon SIS structures with high-k stacks and nanolaminates of hafnia-alumina and bonded silicon layers of n- and p-type conductivities are promising for optical phase shifters at reverse biases, as well as for their use in low-energy ICs, FeFET embedded nonvolatile memories and the Associative Neural Network circuitry due to the compatibility of such approach with the industrial CMOS technology and the preservation of the ferroelectric effect at the front-end-of-line CMOS processes, as we have shown it for the ferroelectric stack of HfO2:Al2O3 (10:1). The properties of the nonvolatile memory cells with FeFETs on the SFS substrates will be the goal of future research directions.
Supplementary Materials
The following are available online at https://www.mdpi.com/2079-4991/11/2/291/s1, Figure S1: Two SIS structure fabrication processes, Figure S2: Diode-like I-V curves at the source current–gate voltage. Figure S3: Diode-like I-V curves at the source current–gate voltage. Figure S4: SIMS atom distribution profile signals in the n-SIS structure. Figure S5: The I-V characteristics on the source-gate and drain-gate contacts of n-SIS pseudo-MOSFET structures in Corbino geometry, Figure S6: GIXRD spectra of the SFS sample, Figure S7: The Y-function for two sweep directions or the P-up and P-down polarisation, Figure S8: C-V characteristics on the source-gate contacts of the n-p HAO SFS pseudo-MOSFET mesa structures, Figure S9.: P-V hysteresis for the n-p HAO SFS pseudo-MOSFET mesa structures, Figure S10: PFM Kelvin surface potential map.
Author Contributions
Conceptualization, V.P.P. and K.V.R.; methodology, V.P.P. and K.V.R.; software, V.A.A.; validation, V.P.P. and A.V.M.; formal analysis, F.V.T., S.G.S.; investigation, I.E.T., S.G.S., F.V.T. and V.A.A.; data curation, A.V.M.; writing—original draft preparation, V.P.P. and A.V.M.; writing—review and editing, V.P.P. and K.V.R.; visualization, A.V.M.; supervision, V.P.P.; project administration, V.P.P. and K.V.R.; funding acquisition, V.P.P. and I.E.T., All authors have read and agreed to the published version of the manuscript.
Funding
This research was funded by RFBR: grants no.18-42-540008 “Ferroelectric properties of metastable hafnium dioxide layers in SOS and SOI field-effect transistors”, and no.19-29-03031 “Logic elements and architecture of information storage and processing chips with artificial intelligence based on two-gate ferroelectric transistors”. The investigation was also partially supported by Research Program no. 066-2019-0004 of the Ministry of Science and Higher Education of Russia for Valiev Institute of Physics and Technology RAS.
Data Availability Statement
The data presented in this study are available on request from the corresponding author.
Acknowledgments
The authors thank E.V. Spesivtsev for his spectral ellipsometry measurements and A.A. Lomov for his glancing incidence X-ray diffraction (GIXRD) analysis of the ferroelectric stacks.
Conflicts of Interest
The authors declare no conflict of interest.
References
- Kim, S.; Han, J.; Choi, W.J.; Song, J.D.; Kim, H.-J. Functionalized Bonding Materials and Interfaces for Heterogeneously Layer-Stacked Applications. J. Korean Phys. Soc. 2019, 74, 82–87. [Google Scholar] [CrossRef]
- Li, E.; Zhou, B.; Bo, Y.; Wang, A.X. High-Speed Femto-Joule per Bit Silicon-Conductive Oxide Nanocavity Modulator. arXiv 2020, arXiv:2004.00983. [Google Scholar] [CrossRef]
- Li, E.; Wang, A.X. High-Speed Atto-joule per Bit Photonic Crystal Nanocavity Modulator. In Proceedings of the 2019 IEEE Optical Interconnects Conference (OI), Santa Fe, NM, USA, 24–26 April 2019. [Google Scholar]
- Then, H.W.; Radosavljevic, M.; Jun, K.; Koirala, P.; Krist, B.; Talukdar, T.; Fischer, P. Gallium Nitride and Silicon Transistors on 300 mm Silicon Wafers Enabled by 3-D Monolithic Heterogeneous Integration. IEEE Trans. Electron Devices 2020, 67, 5306–5314. [Google Scholar] [CrossRef]
- Zhao, Q.; Miao, J.; Zhou, S.; Gui, C.; Tang, B.; Liu, M.; Wan, H.; Hu, J. High-Power GaN-Based Vertical Light-Emitting Diodes on 4-Inch Silicon Substrate. Nanomaterials 2019, 9, 1178. [Google Scholar] [CrossRef] [PubMed]
- Li, E.; Wang, A.X. Theoretical Analysis of Energy Efficiency and Bandwidth Limit of Silicon Photonic Modulators. J. Lightwave Technol. 2019, 37, 5801–5813. [Google Scholar] [CrossRef]
- Harris, N.C.; Ma, Y.; Mower, J.; Baehr-Jones, T.; Englund, D.; Hochberg, M.; Galland, C. Compact and Low Loss Thermo-optic Phase Shifter in Silicon. Opt. Express 2014, 22, 10487–10493. [Google Scholar] [CrossRef] [PubMed]
- Seok, T.J.; Quack, N.; Han, S.; Wu, M.C. Large-scale broadband digital silicon photonic switches with vertical adiabatic couplers. Optica 2016, 3, 64–70. [Google Scholar] [CrossRef]
- Shen, Y.; Harris, N.; Skirlo, S.; Prabhu, M.; Baehr-Jones, T.; Hochberg, M.; Sun, X.; Zhao, S.; Larochelle, H.; Englund, D.; et al. Deep learning with coherent nanophotonic circuits. Nat. Photonics 2017, 11, 441. [Google Scholar] [CrossRef]
- Saito, S.; Tomita, I.; Sotto, M.; Debnath, K.; Byers, J.; Al-Attili, A.Z.; Burt, D.; Husain, M.K.; Arimoto, H.; Ibukuro, K.; et al. Si photonic waveguides with broken symmetries: Applications from modulators to quantum simulations. Jpn. J. Appl. Phys. 2020, 59, SO0801. [Google Scholar] [CrossRef]
- Han, J.; Bidenko, P.; Song, J.; Kim, S. Feasibility study on negative capacitance SIS phase shifter for low-power optical phase modulation. In Proceedings of the 2018 IEEE 15th International Conference on Group IV Photonics (GFP), Cancun, Mexico, 29–31 August 2018; pp. 39–40. [Google Scholar]
- Han, J.-H.; Takenaka, M.; Takagi, S. Study on void reduction in direct wafer bonding using Al2O3/HfO2 bonding interface for high-performance Si high-k MOS optical modulators. Jpn. J. Appl. Phys. 2016, 55, 04EC06. [Google Scholar] [CrossRef]
- Li, Q.; Ho, C.P.; Takagi, S.; Takenaka, M. Optical phase modulators based on reverse-biased III-v/si hybrid metal-oxide-semiconductor capacitors. IEEE Photonics Tech. Lett. 2020, 32, 345–348. [Google Scholar] [CrossRef]
- Blom, P.W.M.; Wolf, R.M.; Cillessen, J.F.M.; Krijn, M.P.C.M. Ferroelectric Schottky diode. Phys. Rev. Lett. 1994, 73, 2107–2110. [Google Scholar] [CrossRef] [PubMed]
- Choi, T.; Lee, S.; Choi, Y.; Kiryukhin, V.; Cheong, S.-W. Switchable ferroelectric diode and photovoltaic effect in BiFeO3. Science 2009, 324, 63–66. [Google Scholar] [CrossRef] [PubMed]
- Huang, B.C.; Chen, Y.T.; Chiu, Y.P.; Huang, Y.C.; Yang, J.C.; Chen, Y.C.; Chu, Y.H. Direct observation of ferroelectric polarization-modulated band bending at oxide interfaces. Appl. Phys. Lett. 2012, 100, 122903. [Google Scholar] [CrossRef]
- Xu, H.; Liu, Y.; Xu, B.; Xia, Y.; Wang, G.; Yin, J.; Liu, Z. Polarization-controlled tunable rectifying behaviors in highly oriented (K,Na)NbO3/LaNiO3 heterostructures on silicon. J. Phys. D Appl. Phys. 2016, 49, 375105. [Google Scholar] [CrossRef]
- Dragoman, M.; Modreanu, M.; Povey, I.M.; Iordanescua, S.; Aldrigoa, M.; Dinescua, A.; Vasilachea, D.; Romanitan, C.; Dragoman, D. Current rectification effects in 6nm thick HfxZr1-xOy ferroelectrics/Si planar heterostructures. Phys. E Low-Dimens. Syst. Nanostruct. 2018, 104, 241–246. [Google Scholar] [CrossRef]
- Luo, Q.; Cheng, Y.; Yang, J.; Cao, R.; Ma, R.; Yang, Y.; Huang, R.; Wei, W.; Zheng, Y.; Gong, T.; et al. A highly CMOS compatible hafnia-based ferroelectric diode. Nat. Commun. 2020, 11, 1391. [Google Scholar] [CrossRef]
- Schenk, T.; Pešić, M.; Slesazeck, S.; Schroeder, U.; Mikolajick, T. Memory technology-A primer for material scientists. Rep. Prog. Phys. 2020, 83, 086501. [Google Scholar] [CrossRef]
- Sessi, V.; Simon, M.; Mulaosmanovic, H.; Pohl, D.; Loeffler, M.; Mauersberger, T.; Fengler, F.P.G.; Mittmann, T.; Richter, C.; Mikolajick, T.; et al. A Silicon Nanowire Ferroelectric Field-Effect Transistor. Adv. Electron. Mater. 2020, 6, 1901244. [Google Scholar] [CrossRef]
- Zhou, Y.; Wang, C.; Tian, S.; Yaoa, X.; Gea, C.; Guoa, E.; Hea, M.; Yang, G.; Jin, K. Switchable ferroelectric diode and photovoltaic effects in polycrystalline BiFeO3 thin films grown on transparent substrates. Thin Solid Films 2020, 698, 137851. [Google Scholar] [CrossRef]
- Tang, Y.-T.; Fan, C.-L.; Kao, Y.-C.; Modolo, N.; Cu, C.-J.; Kao, C.-H.; Wu, P.-J.; Hsaio, S.-W.; Yeh, W.-K.; Wang, Y.-H.; et al. A Comprehensive Kinetical Modeling of Polymorphic Phase Distribution of Ferroelectric-Dielectrics and Interfacial Energy Effects on Negative Capacitance FETs. In Proceedings of the 2019 Symposium on VLSI Technology, Kyoto, Japan, 9–14 June 2019; pp. T222–T223. [Google Scholar]
- Tyschenko, I.E.; Popov, V.P. Silicon-on-insulator structures produced by ion-beam synthesis and hydrogen transfer. In Advances in Semiconductor Nanostructures; Latyshev, A.V., Dvurechenskii, A.V., Aseev, A.L., Eds.; Elsevier: Amsterdam, The Netherlands, 2017; pp. 409–436. ISBN 978-0-12-810512-2. [Google Scholar]
- Popov, V.P.; Antonov, V.A.; Tyschenko, I.E.; Vdovin, V.I.; Gutakovskii, A.K.; Miakonkikh, A.V.; Rudenko, K.V. Hafnia and alumina stacks as UTBOXs in silicon-on insulator structures. Solid State Electron. 2020, 168, 107734. [Google Scholar] [CrossRef]
- Popov, V.P.; Antonov, V.A.; Vdovin, V.I. Positive Charge in SOS Heterostructures with Interlayer Silicon Oxide. Semiconductors. Semiconductors 2018, 52, 1341–1348. [Google Scholar] [CrossRef]
- Popov, V.; Ilnitsky, M.; Antonov, V.; Vdovin, V.; Tyschenko, I.; Miakonkikh, A.; Rudenko, K. Ferroelectric properties of SOS and SOI pseudo-MOSFETs with HfO2 interlayers. Solid-State Electron. 2019, 159, 63–70. [Google Scholar] [CrossRef]
- Hotta, Y.; Kawayama, I.; Miyake, S.; Saiki, I.; Nishi, S.; Yamahara, K.; Arafune, K.; Yoshida, H.; Satoh, S.; Sawamoto, N.; et al. Control of dipole properties in high-k and SiO2 stacks on Si substrates with tricolor superstructure. Appl. Phys. Lett. 2018, 113, 012103. [Google Scholar] [CrossRef]
- Popov, V.; Antonov, V.; Tikhonenko, F.; Miakonkikh, A.; Simakin, S.; Rudenko, K.; Lukichev, V. Modifying SOI Properties by the CO+ Molecular Ion Implantation. In EUROSOI-ULIS 2020; IEEE Express: Caen, France, 2020; in press. [Google Scholar]
- Ortiz-Conde, A.; Sucre-González, A.; Torres-Torres, R.; Molina, J.; Murphy-Arteaga, R.S.; García-Sánchez, F.J. Conductance-to-Current-Ratio-Based Parameter Extraction in MOS Leakage Current Models. IEEE Trans. Electron Devices 2016, 63, 3844–3850. [Google Scholar] [CrossRef]
- Nouibat, T.H.; Messai, Z.; Chikouch, D.; Ouennoughi, Z.; Rouag, N.; Rommel, M.; Frey, L. Normalized differential conductance to study current conduction mechanisms in MOS structures. Microelectron. Reliab. 2018, 91, 183–187. [Google Scholar] [CrossRef]
- Ranuárez, J.C.; Deen, M.J.; Chen, C.-H. A review of gate tunneling current in MOS devices. Microelectron. Reliab. 2006, 46, 1939–1956. [Google Scholar] [CrossRef]
- Yojo, L.S.; Rangel, R.C.; Sasaki, K.R.A.; Martino, J.A. Analytical modeling of the p-type BESOI MOSFET at linear region operation. In Proceedings of the 2019 34th Symposium on Microelectronics Technology and Devices (SBMicro), Sao Paulo, Brazil, 26–30 August 2019. [Google Scholar]
- Yojo, L.S.; Rangel, R.C.; Sasaki, K.R.A.; Ortiz-Conde, A.; Martino, J.A. Impact of Schottky contacts on p-type back enhanced SOI MOSFETs. Solid-State Electron. 2020, 169, 107815. [Google Scholar] [CrossRef]
- Liu, X.; Yao, L.; Cheng, Y.; Xiao, B.; Liu, M.; Wang, W. Observing large ferroelectric polarization in top-electrode-free Al:HfO2 thin films with Al-rich strip structures. Appl. Phys. Lett. 2019, 115, 152901. [Google Scholar] [CrossRef]
- Cristoloveanu, S.; Ionica, I.; Diab, A.; Liu, F. The pseudo-MOSFET: Principles and recent trends. ECS Trans. 2012, 50, 249–258. [Google Scholar] [CrossRef]
- Tarkov, M.S.; Leushin, A.N.; Tikhonenko, F.V.; Tyschenko, I.E.; Popov, V.P. Logic Elements and Crossbar Architecture Based on SOI Two-Gate Ferroelectric Transistors. In EUROSOI-ULIS 2020; IEEE Express: Caen, France, 2020; in press. [Google Scholar]
Publisher’s Note: MDPI stays neutral with regard to jurisdictional claims in published maps and institutional affiliations. |
© 2021 by the authors. Licensee MDPI, Basel, Switzerland. This article is an open access article distributed under the terms and conditions of the Creative Commons Attribution (CC BY) license (http://creativecommons.org/licenses/by/4.0/).








