Enhancement of InSe Field-Effect-Transistor Performance against Degradation of InSe Film in Air Environment
Abstract
:1. Introduction
2. Materials and Methods
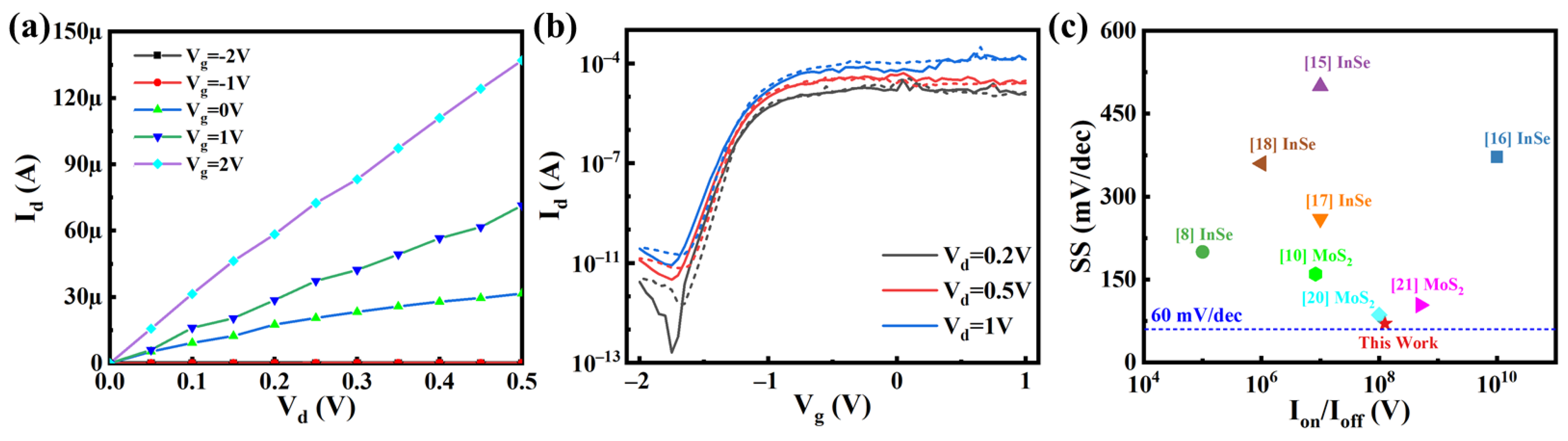
3. Results and Discussion
4. Conclusions
Author Contributions
Funding
Data Availability Statement
Conflicts of Interest
References
- Tamalampudi, S.; Lu, Y.-Y.; U, R.K.; Sankar, R.; Liao, C.-D.; B, K.M.; Cheng, C.-H.; Chou, F.-C.; Chen, Y.-T. High Performance and Bendable Few-Layered InSe Photodetectors with Broad Spectral Response. Nano Lett. 2014, 14, 2800–2806. [Google Scholar] [CrossRef] [PubMed]
- Feng, W.; Zhou, X.; Tian, W.Q.; Zheng, W.; Hu, P. Performance improvement of multilayer InSe transistors with optimized metal contacts. Phys. Chem. Chem. Phys. 2015, 17, 3653–3658. [Google Scholar] [CrossRef] [PubMed]
- Sachid, A.B.; Tosun, M.; Desai, S.B.; Hsu, C.-Y.; Lien, D.-H.; Madhvapathy, S.R.; Chen, Y.-Z.; Hettick, M.; Kang, J.S.; Zeng, Y.; et al. Monolithic 3D CMOS Using Layered Semiconductors. Adv. Mater. 2016, 28, 2547–2554. [Google Scholar] [CrossRef] [PubMed]
- Wang, Z.; Wu, Z.; Li, X. Electronic and optical properties of monolayer InSe quantum dots. Semicond. Sci. Technol. 2021, 36, 095038. [Google Scholar] [CrossRef]
- Yang, H.; Xiao, M.; Cui, Y.; Pan, L.; Zhao, K.; Wei, Z. Nonvolatile memristor based on heterostructure of 2D room-temperature ferroelectric α-In2Se3 and WSe2. Sci. China Inf. Sci. 2019, 62, 220404. [Google Scholar] [CrossRef] [Green Version]
- Radamson, H.H.; Zhu, H.; Wu, Z.; He, X.; Lin, H.; Liu, J.; Xiang, J.; Kong, Z.; Xiong, W.; Li, J.; et al. State of the Art and Future Perspectives in Advanced CMOS Technology. Nanomaterials 2020, 10, 1555. [Google Scholar] [CrossRef]
- Bhuwalka, K.K.; Wu, Z.; Noh, H.-K.; Lee, W.; Cantoro, M.; Heo, Y.-C.; Jin, S.; Choi, W.; Kwon, U.; Maeda, S.; et al. In0.53Ga0.47As-Based nMOSFET Design for Low Standby Power Applications. IEEE Trans. Electron. Devices 2015, 62, 2816–2823. [Google Scholar] [CrossRef]
- Yao, J.; Yin, H.; Wang, W.; Li, J.; Luo, K.; Yu, J.; Zhang, Q.; Hou, Z.; Gu, J.; Yang, W.; et al. Physical Insights on Quantum Confinement and Carrier Mobility in Si, Si0.45Ge0.55, Ge Gate-All-Around NSFET for 5 nm Technology Node. IEEE J. Electron. Devices Soc. 2018, 6, 841–848. [Google Scholar] [CrossRef]
- Liu, L.; Kong, L.; Li, Q.; He, C.; Ren, L.; Tao, Q.; Yang, X.; Lin, J.; Zhao, B.; Li, Z.; et al. Transferred van der Waals metal electrodes for sub-1-nm MoS2 vertical transistors. Nat. Electron. 2021, 4, 342–347. [Google Scholar] [CrossRef]
- Arutchelvan, G.; Smets, Q.; Verreck, D.; Ahmed, Z.; Gaur, A.; Sutar, S.; Jussot, J.; Groven, B.; Heyns, M.; Lin, D.; et al. Impact of device scaling on the electrical properties of MoS2 field-effect transistors. Sci. Rep. 2021, 11, 1–11. [Google Scholar] [CrossRef]
- Li, M.; Yang, F.; Hsiao, Y.; Lin, C.; Wu, H.; Yang, S.; Li, H.; Lien, C.-H.; Ho, C.-H.; Liu, H.; et al. Low-Voltage Operational, Low-Power Consuming, and High Sensitive Tactile Switch Based on 2D Layered InSe Tribotronics. Adv. Funct. Mater. 2019, 29, 1809119. [Google Scholar] [CrossRef]
- Luo, K.; Yang, W.; Pan, Y.; Yin, H.; Zhao, C.; Wu, Z. Ab-Initio Simulations of Monolayer InSe and MoS2 Strain Effect: From Electron Mobility to Photoelectric Effect. J. Electron. Mater. 2020, 49, 559–565. [Google Scholar] [CrossRef]
- Sucharitakul, S.; Goble, N.J.; Kumar, U.R.; Sankar, R.; Bogorad, Z.A.; Chou, F.C.; Gao, X.P. Intrinsic Electron Mobility Exceeding 10(3) cm(2)/(V s) in Multilayer InSe FETs. Nano Lett. 2015, 15, 3815–3819. [Google Scholar] [CrossRef] [Green Version]
- Li, M.; Lin, C.-Y.; Yang, S.-H.; Chang, Y.-M.; Chang, J.-K.; Yang, F.-S.; Zhong, C.; Jian, W.-B.; Lien, C.-H.; Ho, C.-H.; et al. High Mobilities in Layered InSe Transistors with Indium-Encapsulation-Induced Surface Charge Doping. Adv. Mater. 2018, 30, e1803690. [Google Scholar] [CrossRef]
- Arora, H.; Jung, Y.; Venanzi, T.; Watanabe, K.; Taniguchi, T.; Hübner, R.; Schneider, H.; Helm, M.; Hone, J.C.; Erbe, A. Effective Hexagonal Boron Nitride Passivation of Few-Layered InSe and GaSe to Enhance Their Electronic and Optical Properties. ACS Appl. Mater. Interfaces 2019, 11, 43480–43487. [Google Scholar] [CrossRef]
- Wang, Y.; Zhang, J.; Liang, G.; Shi, Y.; Zhang, Y.; Kudrynskyi, Z.; Kovalyuk, Z.D.; Patanè, A.; Xin, Q.; Song, A. Schottky-barrier thin-film transistors based on HfO2-capped InSe. Appl. Phys. Lett. 2019, 115, 033502. [Google Scholar] [CrossRef] [Green Version]
- Ho, P.-H.; Chang, Y.-R.; Chun-Wei, C.; Li, M.-K.; Tsai, C.-A.; Wang, W.-H.; Ho, C.-H.; Chen, C.-W.; Chiu, P.-W. High-Mobility InSe Transistors: The Role of Surface Oxides. ACS Nano 2017, 11, 7362–7370. [Google Scholar] [CrossRef]
- Pan, Y.; Jia, K.; Huang, K.; Wu, Z.; Bai, G.; Yu, J.; Zhang, Z.; Zhang, Q.; Yin, H.; Zhang, Q. Near-ideal subthreshold swing MoS2 back-gate transistors with an optimized ultrathin HfO2 dielectric layer. Nanotechnology 2018, 30, 095202. [Google Scholar] [CrossRef]
- Li, H.; Zhang, Q.; Yap, C.C.R.; Tay, B.K.; Edwin, T.H.T.; Olivier, A.; Baillargeat, D. From Bulk to Monolayer MoS2: Evolution of Raman Scattering. Adv. Funct. Mater. 2012, 22, 1385–1390. [Google Scholar] [CrossRef]
- Lei, S.; Ge, L.; Najmaei, S.; George, A.; Kappera, R.; Lou, J.; Chhowalla, M.; Yamaguchi, H.; Gupta, G.; Vajtai, R.; et al. Evolution of the Electronic Band Structure and Efficient Photo-Detection in Atomic Layers of InSe. ACS Nano 2014, 8, 1263–1272. [Google Scholar] [CrossRef]
- Mudd, G.W.; Svatek, S.A.; Ren, T.; Patanè, A.; Makarovsky, O.; Eaves, L.; Beton, P.H.; Kovalyuk, Z.D.; Lashkarev, G.V.; Kudrynskyi, Z.R.; et al. Tuning the Bandgap of Exfoliated InSe Nanosheets by Quantum Confinement. Adv. Mater. 2013, 25, 5714–5718. [Google Scholar] [CrossRef] [PubMed] [Green Version]
- Zhang, Y.; Jia, K.; Liu, J.; Pan, Y.; Luo, K.; Yu, J.; Zhang, Y.; Tian, H.; Wu, Z.; Yin, H. The optimization of contact interface between metal/MoS2 FETs by oxygen plasma treatment. J. Mater. Sci. Mater. Electron. 2020, 31, 9660–9665. [Google Scholar] [CrossRef]
- Liu, Y.; Guo, J.; Zhu, E.; Liao, L.; Lee, S.-J.; Ding, M.; Shakir, I.; Gambin, V.; Huang, Y.; Duan, X. Approaching the Schottky–Mott limit in van der Waals metal–semiconductor junctions. Nat. Cell Biol. 2018, 557, 696–700. [Google Scholar] [CrossRef] [PubMed]
- Tsai, T.-H.; Yang, F.-S.; Ho, P.-H.; Liang, Z.-Y.; Lien, C.-H.; Ho, C.-H.; Lin, Y.-F.; Chiu, P.-W. High-Mobility InSe Transistors: The Nature of Charge Transport. ACS Appl. Mater. Interfaces 2019, 11, 35969–35976. [Google Scholar] [CrossRef]
- Wu, L.; Shi, J.; Zhou, Z.; Yan, J.; Wang, A.; Bian, C.; Ma, J.; Ma, R.; Liu, H.; Chen, J.; et al. InSe/hBN/graphite heterostructure for high-performance 2D electronics and flexible electronics. Nano Res. 2020, 13, 1127–1132. [Google Scholar] [CrossRef]
- Jiang, J.; Li, J.; Li, Y.; Duan, J.; Li, L.; Tian, Y.; Zong, Z.; Zheng, H.; Feng, X.; Li, Q.; et al. Stable InSe transistors with high-field effect mobility for reliable nerve signal sensing. NPJ 2D Mater. Appl. 2019, 3. [Google Scholar] [CrossRef] [Green Version]
- Pan, Y.; Li, J.; Wang, W.; Ye, T.; Yin, H.; Huang, K.; Zhang, Z.; Zhang, Q.; Jia, K.; Wu, Z.; et al. Novel 10-nm Gate Length MoS2 Transistor Fabricated on Si Fin Substrate. IEEE J. Electron. Devices Soc. 2019, 7, 483–488. [Google Scholar] [CrossRef]
- Li, T.; Guo, W.; Ma, L.; Li, W.; Yu, Z.; Han, Z.; Gao, S.; Liu, L.; Fan, D.; Wang, Z.; et al. Epitaxial growth of wafer-scale molybdenum disulfide semiconductor single crystals on sapphire. Nat. Nanotechnol. 2021, 16, 1201–1207. [Google Scholar] [CrossRef]




Publisher’s Note: MDPI stays neutral with regard to jurisdictional claims in published maps and institutional affiliations. |
© 2021 by the authors. Licensee MDPI, Basel, Switzerland. This article is an open access article distributed under the terms and conditions of the Creative Commons Attribution (CC BY) license (https://creativecommons.org/licenses/by/4.0/).
Share and Cite
Zhang, Y.; Sun, X.; Jia, K.; Yin, H.; Luo, K.; Yu, J.; Wu, Z. Enhancement of InSe Field-Effect-Transistor Performance against Degradation of InSe Film in Air Environment. Nanomaterials 2021, 11, 3311. https://doi.org/10.3390/nano11123311
Zhang Y, Sun X, Jia K, Yin H, Luo K, Yu J, Wu Z. Enhancement of InSe Field-Effect-Transistor Performance against Degradation of InSe Film in Air Environment. Nanomaterials. 2021; 11(12):3311. https://doi.org/10.3390/nano11123311
Chicago/Turabian StyleZhang, Yadong, Xiaoting Sun, Kunpeng Jia, Huaxiang Yin, Kun Luo, Jiahan Yu, and Zhenhua Wu. 2021. "Enhancement of InSe Field-Effect-Transistor Performance against Degradation of InSe Film in Air Environment" Nanomaterials 11, no. 12: 3311. https://doi.org/10.3390/nano11123311
APA StyleZhang, Y., Sun, X., Jia, K., Yin, H., Luo, K., Yu, J., & Wu, Z. (2021). Enhancement of InSe Field-Effect-Transistor Performance against Degradation of InSe Film in Air Environment. Nanomaterials, 11(12), 3311. https://doi.org/10.3390/nano11123311

