Aminopropylimidazole as an Advantageous Coating in the Synthesis of Functionalized Magnetite Nanoparticles
Abstract
:1. Introduction
2. Materials and Methods
2.1. Materials
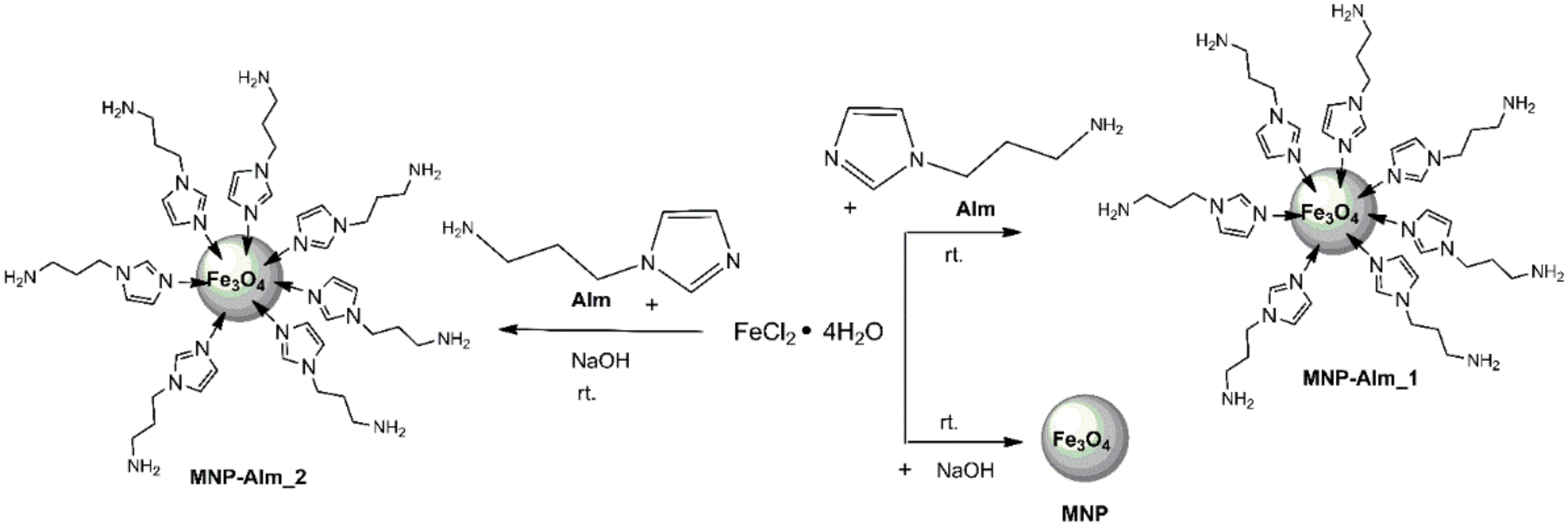
2.2. Preparation of Uncovered Magnetic Nanoparticles (MNP)
2.3. Preparation of Magnetic Nanoparticles Stabilized with 1-(3-Aminopropyl)imidazole (MNP-AIm_1)
2.4. Preparation of Magnetic Nanoparticles Stabilized with 1-(3-Aminopropyl)imidazole (MNP-AIm_2 in the Presence of Aqueous Sodium Hydroxide)
2.5. Poly(benzofuran-co-arylacetic acid) Linkage on the Amino-Functionalized Magnetic Nanoparticles Surface (MNP-AIm_PAAA)
2.6. Instrumentation
3. Results and Discussion
3.1. Synthesis of Magnetic Nanostructure MNP@AIm
3.2. Characterization of Magnetic Nanostructure MNP@AIm
3.2.1. Infrared Spectroscopy
3.2.2. X-ray Powder Diffraction
3.2.3. Transmission Electron Microscopy
3.2.4. X-ray Photoelectron Spectroscopy
3.2.5. Magnetic Properties
3.2.6. Thermogravimetric Analyses of Magnetic Nanoparticles
4. Conclusions
Author Contributions
Funding
Data Availability Statement
Acknowledgments
Conflicts of Interest
References
- Vibhute, P.S.; Mhaldar, P.M.; Shejwal, R.V.; Pore, M.D. Magnetic nanoparticles-supported palladium catalyzed Suzuki-Miyaura cross coupling. Tetrahedron Lett. 2020, 61, 151594. [Google Scholar] [CrossRef]
- Yacob, Z.; Nan, A.; Liebscher, J. Proline-functionalized magnetic core-shell nanoparticles as efficient and recyclable organo-catalysts for Aldol reactions. Adv. Synth. Catal. 2012, 354, 3259–3264. [Google Scholar] [CrossRef]
- Sobhani, S.; Falatooni, Z.M.; Asadi, S.; Honarmand, M. Palladium-Schiff Base Complex Immobilized Covalently on Magnetic Nanoparticles as an Efficient and Recyclable Catalyst for Heck and Suzuki Cross-Coupling Reactions. Catal. Lett. 2015, 146, 255–268. [Google Scholar] [CrossRef]
- Ganea, I.-V.; Nan, A.; Baciu, C.; Turcu, R. Effective removal of crystal violet dye using neoteric magnetic nanostructures based on functionalized poly(benzofuran-co-arylacetic acid): Investigation of the adsorption behaviour and reusability. Nanomaterials 2021, 11, 679. [Google Scholar] [CrossRef]
- Ekinci, S.; Ilter, Z.; Ercan, S.; Çınar, E.; Çakmak, R. Magnetite nanoparticles grafted with murexide-terminated polyamidoamine dendrimers for removal of lead (II) from aqueous solution: Synthesis, characterization, adsorption and antimicrobial activity studies. Heliyon 2021, 7, e0660. [Google Scholar] [CrossRef]
- Wu, A.; Zhao, X.; Wang, J.; Tang, Z.; Zhao, T.; Niu, L.; Yu, W.; Yang, C.; Fang, M.; Lv, H.; et al. Application of solid-phase extraction based on magnetic nanoparticle adsorbents for the analysis of selected persistent organic pollutants in environmental water: A review of recent advances. Crit. Rev. Environ. Sci. Technol. 2020, 51, 44–112. [Google Scholar] [CrossRef]
- Ng, S.M.; Koneswaran, M.; Narayanaswamy, R. A review on fluorescent inorganic nanoparticles for optical sensing applications. RSC Adv. 2016, 6, 21624–21661. [Google Scholar] [CrossRef]
- Gloag, L.; Mehdipour, M.; Chen, D.; Tilley, R.D.; Gooding, J.J. Advances in the Application of Magnetic Nanoparticles for Sensing. Adv. Mater. 2019, 31, e1904385. [Google Scholar] [CrossRef]
- Jing, D.; Sun, L.; Jin, J.; Thangamuthu, M.; Tang, J. Magneto-optical transmission in magnetic nanoparticle suspensions for different optical applications: A review. J. Phys. D Appl. Phys. 2020, 54, 013001. [Google Scholar] [CrossRef]
- Patitsa, M.; Karathanou, K.; Kanaki, Z.; Tzioga, L.; Pippa, N.; Demetzos, C.; Verganelakis, D.A.; Cournia, Z.; Klinakis, A. Magnetic nanoparticles coated with polyarabic acid demonstrate enhanced drug delivery and imaging properties for cancer theranostic applications. Sci. Rep. 2017, 7, 775. [Google Scholar] [CrossRef] [PubMed] [Green Version]
- Vangijzegem, T.; Stanicki, D.; Laurent, S. Magnetic iron oxide nanoparticles for drug delivery: Applications and characteristics. Expert Opin. Drug Deliv. 2019, 16, 69–78. [Google Scholar] [CrossRef]
- Landarani-Isfahani, A.; Moghadam, M.; Mohammadi, S.; Royvaran, M.; Moshtael-Arani, N.; Rezaei, S.; Tangestaninejad, S.; Mirkhani, V.; Mohammadpoor-Baltork, I. Elegant pH-responsive nanovehicle for drug delivery based on triazine dendrimer modified magnetic nanoparticles. Langmuir 2017, 33, 8503–8515. [Google Scholar] [CrossRef] [PubMed]
- Naumenko, V.; Nikitin, A.; Garanina, A.; Melnikov, P.; Vodopyanov, S.; Kapitanova, K.; Potashnikova, D.; Vishnevskiy, D.; Alieva, I.; Ilyasov, A.; et al. Neutrophil-mediated transport is crucial for delivery of short-circulating magnetic nanoparticles to tumors. Acta Biomater. 2020, 104, 176–187. [Google Scholar] [CrossRef]
- Nan, A.; Turcu, R. Poly(1-vinylimidazole) grafted on magnetic nanoparticles—Attainment of novel nanostructures. Rev. Roum. Chim. 2020, 65, 611–616. [Google Scholar] [CrossRef]
- Kahani, S.A.; Yagini, Z. A Comparison between Chemical Synthesis Magnetite Nanoparticles and Biosynthesis Magnetite. Bioinorg. Chem. Appl. 2014, 2014, 384984. [Google Scholar] [CrossRef] [PubMed]
- Cruz-Vargas, J.; Belmont-Bernal, F.; Vera-De la Garza, C.G.; Mazariego, J.L.P.; González, R.W.G.; Henao-Holguin, L.V.; Rojas-Montoyad, I.D.; Guadarrama, P. Accelerated one-pot synthesis of coated magnetic nanoparticles from iron(II) as a single precursor. New J. Chem. 2018, 42, 13107–13113. [Google Scholar] [CrossRef]
- Aslam, M.; Schultz, E.A.; Sun, T.; Meade, T.; Dravid, V.P. Synthesis of amine-stabilized aqueous colloidal iron oxide nanoparticles. Cryst. Growth Des. 2007, 7, 471–475. [Google Scholar] [CrossRef] [Green Version]
- Kahani, S.; Jafari, M. A new method for preparation of magnetite from iron oxyhydroxide or iron oxide and ferrous salt in aqueous solution. J. Magn. Magn. Mater. 2009, 321, 1951–1954. [Google Scholar] [CrossRef]
- Bajaj, B.; Malhotra, B.D.; Choi, S. Preparation and characterization of bio-functionalized iron oxide nanoparticles for biomedical application. Thin Solid Films 2010, 519, 1219–1223. [Google Scholar] [CrossRef]
- Molina, P.; Tárraga, A.; Otón, F. Imidazole derivatives: A comprehensive survey of their recognition properties. Org. Biomol. Chem. 2012, 10, 1711. [Google Scholar] [CrossRef] [PubMed]
- Sundberg, R.J.; Martin, R.B. Interactions of histidine and other imidazole derivatives with transition metal ions in chemical and biological systems. Chem. Rev. 1974, 74, 471–517. [Google Scholar] [CrossRef]
- Nan, A.; Bunge, A.; Cîrcu, M.; Petran, A.; Hadade, N.D.; Filip, X. Poly(benzofuran-co-arylacetic acid)—A new type of highly functionalized polymers. Polym. Chem. 2017, 8, 3504–3514. [Google Scholar] [CrossRef]
- Zhang, X.-Q.; Gong, S.-W.; Zhang, Y.; Yang, T.; Wang, C.-Y.; Gu, N. Prussian blue modified iron oxide magnetic nanoparticles and their high peroxidase-like activity. J. Mater. Chem. 2010, 20, 5110–5116. [Google Scholar] [CrossRef]
- Wilson, D.; Langell, M. XPS analysis of oleylamine/oleic acid capped Fe3O4 nanoparticles as a function of temperature. Appl. Surf. Sci. 2014, 303, 6–13. [Google Scholar] [CrossRef]
- Poulin, S.; França, R.; Moreau-Bélanger, L.; Sacher, E. Confirmation of X-ray Photoelectron Spectroscopy Peak Attributions of Nanoparticulate Iron Oxides, Using Symmetric Peak Component Line Shapes. J. Phys. Chem. C 2010, 114, 10711–10718. [Google Scholar] [CrossRef]
- Lei, L.; Shan, J.; Hu, J.; Liu, X.; Zhao, J.; Tong, Z. Co-curing effect of imidazole grafting graphene oxide synthesized by one-pot method to reinforce epoxy nanocomposites. Compos. Sci. Technol. 2016, 128, 161–168. [Google Scholar] [CrossRef]
- Meiorin, C.; Muraca, D.; Pirota, K.R.; Aranguren, M.I.; Mosiewicki, M.A. Nanocomposites with superparamagnetic behavior based on a vegetable oil and magnetite nanoparticles. Eur. Polym. J. 2014, 53, 90–99. [Google Scholar] [CrossRef]
- Cendrowski, K.; Sikora, P.; Zielinska, B.; Horszczaruk, E.; Mijowska, E. Chemical and thermal stability of core-shelled magnetite nanoparticles and solid silica. Appl. Surf. Sci. 2017, 407, 391–397. [Google Scholar] [CrossRef]














| Sample | Atomic Concentrations (%) | ||||
|---|---|---|---|---|---|
| Fe | C | O | N | Na | |
| MNP-AIm_1 | 46.95 | 11.891 | 40.326 | 0.833 | - |
| MNP-AIm_2 | 41.253 | 16.213 | 40.437 | 1.841 | 0.256 |
| MNP-AIm_PAAA | 22.870 | 30.242 | 45.478 | 1.41 | - |
| Sample | MNP | MNP-AIm_1 | MNP-AIm_2 | MNP-AIm_PAAA |
|---|---|---|---|---|
| MS (emu/g) | 89 | 75.4 | 82.8 | 71.8 |
| Bc (T) | 0.01 | 0.005 | 0.01 | 0.005 |
Publisher’s Note: MDPI stays neutral with regard to jurisdictional claims in published maps and institutional affiliations. |
© 2021 by the authors. Licensee MDPI, Basel, Switzerland. This article is an open access article distributed under the terms and conditions of the Creative Commons Attribution (CC BY) license (https://creativecommons.org/licenses/by/4.0/).
Share and Cite
Nan, A.; Ganea, I.-V.; Macavei, S.; Turcu, R. Aminopropylimidazole as an Advantageous Coating in the Synthesis of Functionalized Magnetite Nanoparticles. Nanomaterials 2021, 11, 3276. https://doi.org/10.3390/nano11123276
Nan A, Ganea I-V, Macavei S, Turcu R. Aminopropylimidazole as an Advantageous Coating in the Synthesis of Functionalized Magnetite Nanoparticles. Nanomaterials. 2021; 11(12):3276. https://doi.org/10.3390/nano11123276
Chicago/Turabian StyleNan, Alexandrina, Iolanda-Veronica Ganea, Sergiu Macavei, and Rodica Turcu. 2021. "Aminopropylimidazole as an Advantageous Coating in the Synthesis of Functionalized Magnetite Nanoparticles" Nanomaterials 11, no. 12: 3276. https://doi.org/10.3390/nano11123276
APA StyleNan, A., Ganea, I.-V., Macavei, S., & Turcu, R. (2021). Aminopropylimidazole as an Advantageous Coating in the Synthesis of Functionalized Magnetite Nanoparticles. Nanomaterials, 11(12), 3276. https://doi.org/10.3390/nano11123276

