Facile Fabrication of MnO2/Graphene/Ni Foam Composites for High-Performance Supercapacitors
Abstract
:1. Introduction
2. Materials and Methods
2.1. Materials
2.2. Fabrication of Graphene/Ni Foam Electrodes
2.3. Synthesis of MnO2/Graphene/Ni Composites
2.4. Characterizations
2.5. Electrochemical Characterization of Single Electrode and Asymmetric Supercapacitor
3. Results and Discussion
3.1. Characterization of the MnO2-Based Electrode Materials
3.2. Electrochemical Properties of Single Electrodes
3.3. MnO2/Graphene//Graphene Asymmetric Supercapacitor
4. Conclusions
Supplementary Materials
Author Contributions
Funding
Acknowledgments
Conflicts of Interest
References
- Korkmaz, S.; Kariper, İ.A. Graphene and graphene oxide based aerogels: Synthesis, characteristics and supercapacitor applications. J. Energy Storage 2020, 27, 101038. [Google Scholar] [CrossRef]
- Ji, H.; Zhao, X.; Qiao, Z.; Jung, J.; Zhu, Y.; Lu, Y.; Zhang, L.-L. Capacitance of carbon-based electrical double-layer capacitors. Nat. Commun. 2014, 5, 3317. [Google Scholar] [CrossRef] [PubMed]
- Najib, S.; Erdem, E. Current progress achieved in novel materials for supercapacitor electrodes: Mini review. Nanoscale Adv. 2019, 1, 2817–2827. [Google Scholar] [CrossRef] [Green Version]
- Jeong, J.H.; Kim, Y.A.; Kim, B.-H. Electrospun polyacrylonitrile/cyclodextrin-derived hierarchical porous carbon nanofiber/MnO2 composites for supercapacitor applications. Carbon 2020, 164, 296–304. [Google Scholar] [CrossRef]
- Saha, S.; Chhetri, S.; Khanra, P.; Samanta, P.; Koo, H.; Murmua, N.-C.; Kuila, T. In-situ hydrothermal synthesis of MnO2/NiO@Ni hetero structure electrode for hydrogen evolution reaction and high energy asymmetric supercapacitor applications. J. Energy Storage 2016, 6, 22–31. [Google Scholar] [CrossRef]
- Yang, M.-H.; Choi, B.-G. Rapid one-step synthesis of conductive and porous MnO2/graphene nanocomposite for high performance supercapacitors. J. Electroanal. Chem. 2016, 776, 134–138. [Google Scholar] [CrossRef]
- Gopalakrishnan, A.; Badhulika, S. Effect of self-doped heteroatoms on the performance of biomass-derived carbon for supercapacitor applications. J. Power Sources 2020, 480, 228830. [Google Scholar] [CrossRef]
- Zhang, Z.-T.; Deng, J.; Li, X.-Y.; Yang, Z.-B.; He, S.-S.; Chen, X.-L.; Guan, G.-Z.; Ren, J.; Peng, H.-S. Superelastic supercapacitors with high performances during stretching. Adv. Mater. 2015, 27, 356–362. [Google Scholar] [CrossRef]
- Wang, K.; Meng, Q.-H.; Zhang, Y.-J.; Wei, Z.-X.; Miao, M.-H. High-performance two-ply yarn supercapacitors based on carbon nanotubes and polyaniline nanowire arrays. Adv. Mater. 2013, 25, 1494–1498. [Google Scholar] [CrossRef]
- Liang, R.; Du, Y.; Xiao, P.; Cheng, J.; Yuan, S.; Chen, Y.; Yuan, J.; Chen, J. Transition metal oxide electrode materials for supercapacitors: A Review of recent developments. Nanomaterials 2021, 11, 1248. [Google Scholar] [CrossRef]
- Mathew, E.E.; Balachandran, M. Crumpled and porous graphene for supercapacitor applications: A short review. Carbon Lett. 2021, 31, 537–555. [Google Scholar] [CrossRef]
- Lee, S.-M.; Park, Y.-J.; Lam, D.V.; Kim, J.-H.; Lee, K. Effects of annealing on electrochemical performance in graphene/V2O5 supercapacitor. Appl. Surf. Sci. 2020, 515, 145626. [Google Scholar] [CrossRef]
- Li, Y.-J.; Wang, G.-L.; Ye, K.; Cheng, K.; Pan, Y.; Yin, J.-L.; Cao, D.-X. Facile preparation of three-dimensional multilayer porous MnO2/reduced graphene oxide composite and its supercapacitive performance. J. Power. Sources 2014, 271, 582–588. [Google Scholar] [CrossRef]
- Yu, G.-H.; Hu, L.-B.; Liu, N.; Wang, H.-L.; Vosgueritchian, M.; Yang, Y.; Cui, Y.; Bao, Z.-N. Enhancing the supercapacitor performance of graphene/MnO2 nanostructured electrodes by conductive wrapping. Nano Lett. 2011, 11, 4438–4442. [Google Scholar] [CrossRef]
- Sun, X.-X.; Wang, H.-J.; Lei, Z.-B.; Liu, Z.-H.; Wei, L.-L. MnO2 nanoflakes grown on 3D graphite network for enhanced electrocapacitive performance. RSC Adv. 2014, 4, 30233–30240. [Google Scholar] [CrossRef]
- Wang, F.-P.; Zhou, Q.-Q.; Li, G.-F.; Wang, Q.-Z. Microwave preparation of 3D flower-like MnO2/Ni(OH)2/nickel foam composite for high-performance supercapacitors. J. Alloys Compd. 2017, 700, 185–190. [Google Scholar] [CrossRef]
- Zhu, L.; Guo, X.-L.; Liu, Y.-Y.; Chen, Z.-T.; Zhang, W.-J.; Yin, K.-B.; Li, L.; Zhang, Y.; Wang, Z.-M.; Sun, L.-T.; et al. High-performance Cu nanoparticles/threedimensional graphene/Ni foam hybrid for catalytic and sensing applications. Nanotechnology 2018, 29, 145703–145716. [Google Scholar] [CrossRef]
- Zhang, M.; Liu, Y.-H.; Hu, M.-L.; Hu, H.-L.; Wei, Y.-H. Spiral wire-type stretchable all-solid-state supercapacitors based on MnO2/graphene/Ni wires. Electrochim. Acta 2017, 256, 44–51. [Google Scholar] [CrossRef]
- Li, M.; Xiao, H.; Zhang, T.; Li, Q.; Zhao, Y. Activated carbon fiber derived from sisal with large specific surface area for high-performance supercapacitors. ACS Sustain. Chem. Eng. 2019, 7, 4716–4723. [Google Scholar] [CrossRef]
- Iakunkov, A.; Skrypnychuk, V.; Nordenström, A.; Shilayeva, E.A.; Korobov, M.; Prodana, M.; Enachescu, M.; Larsson, S.H.; Talyzin, A.V. Activated graphene as a material for supercapacitor electrodes: Effects of surface area, pore size distribution and hydrophilicity. Phys. Chem. Chem. Phys. 2019, 21, 17901–17912. [Google Scholar] [CrossRef] [PubMed] [Green Version]
- Parvez, K.; Li, R.; Puniredd, S.R.; Hernandez, Y.; Hinkel, F.; Wang, S.; Feng, X.; Mullen, K. Exfoliation of graphite into graphene in aqueous solutions of inorganic salts. J. Am. Chem. Soc. 2014, 136, 6083–6091. [Google Scholar] [CrossRef] [Green Version]
- Gong, Y.; Ping, Y.; Li, D.; Luo, C.; Ruan, X.; Fu, Q.; Pan, C. Preparation of high-quality graphene via electrochemical exfoliation & spark plasma sintering and its applications. Appl. Surf. Sci. 2017, 397, 213–219. [Google Scholar]
- Zhang, L.; Li, T.; Ji, X.; Zhang, Z.; Yang, W.; Gao, J.; Li, H.; Xiong, C.; Dang, A. Freestanding three-dimensional reduced graphene oxide/MnO2 on porous carbon/nickel foam as a designed hierarchical multihole supercapacitor electrode. Electrochim. Acta 2017, 252, 306–314.24. [Google Scholar] [CrossRef]
- Ni, Z.H.; Wang, H.M.; Kasim, J.; Fan, H.M.; Yu, T.; Wu, Y.H.; Feng, Y.P.; Shen, Z.X. Graphene thickness determination using reflection and contrast spectroscopy. Nano Lett. 2007, 7, 2758–2763. [Google Scholar] [CrossRef] [PubMed]
- Poochai, C.; Sriprachuabwong, C.; Sodtipinta, J.; Lohitkarn, J.; Pasakon, P.; Primpray, V.; Maeboonruan, N.; Lomas, T.; Wisitsoraat, A.; Tuantranont, A. Alpha-MnO2 nanofibers/nitrogen and sulfur-co-doped reduced graphene oxide for 4.5 V quasi-solid state supercapacitors using ionic liquid-based polymer electrolyte. J. Colloid Interface Sci. 2021, 583, 734–745. [Google Scholar] [CrossRef] [PubMed]
- Hu, Y.; Liu, M.; Zhang, H.; Wei, Y. MnO2/porous carbon film/Ni electrodes with high-quality interface for high rate and performance flexible supercapacitors. Electrochim. Acta 2016, 218, 58–65. [Google Scholar] [CrossRef]
- Yang, W.-D.; Li, Y.-R.; Lee, Y.-C. Synthesis of r-GO/TiO2 Composites via the UV-assisted Photocatalytic Reduction of Graphene Oxide. Appl. Surf. Sci. 2016, 380, 249–256. [Google Scholar] [CrossRef]
- You, B.; Li, N.; Zhu, H.; Zhu, X.; Yang, J. Graphene Oxide-Dispersed Pristine CNTs Support for MnO2 Nanorods as High Performance Supercapacitor Electrodes. ChemSusChem 2013, 6, 474–480. [Google Scholar] [CrossRef]
- Ayiania, M.; Smith, M.; Hensley, A.J.R.; Scudiero, L.; McEwen, J.-S.; Garcia-Perez, M. Deconvoluting the XPS spectra for nitrogen-doped chars: An analysis from first principles. Carbon 2020, 162, 528–544. [Google Scholar] [CrossRef]
- Liu, X.; Chao, D.; Su, D.; Liu, S.; Chen, L.; Chi, C. Graphene nanowires anchored to 3D graphene foam via self-assembly for high performance Li and Na ion storage. Nano Energy 2017, 37, 108–117. [Google Scholar] [CrossRef]
- Hoa, N.-V.; Lamiel, C.; Nghia, N.-H.; Datt, P.-A.; Shim, J.-J. Different morphologies of MnO2 grown on the graphene@nickel foam electrode for supercapacitor application. Mater. Lett. 2017, 208, 102–106. [Google Scholar]
- Fang, T.Y.; Zeng, Y.-Z.; Liu, Y.-C.; Yang, W.-D. High performance asymmetric supercapacitors fabricated by amorphous MnO2 on 3D-Ni foam as positive electrodes in a mixed electrolyte. J. Mater. Sci. Mater. Electron. 2020, 31, 7672–7682. [Google Scholar] [CrossRef]
- Athouël, L.; Moser, F.; Dugas, R.; Crosnier, O.; Bélanger, D.; Brousse, T. Variation of the MnO2 birnessite structure upon charge/discharge in an electrochemical supercapacitor electrode in aqueous Na2SO4 electrolyte. J. Phys. Chem. C 2008, 112, 7270–7277. [Google Scholar] [CrossRef]
- Li, D.; Meng, F.; Yan, X.; Yang, L.; Heng, H.; Zhu, Y. One-pot hydrothermal synthesis of Mn3O4 nanorods grown on Ni foam for high performance supercapacitor applications. Nanoscale Res. Lett. 2013, 8, 535. [Google Scholar] [CrossRef] [PubMed] [Green Version]
- Kumar, A.; Sanger, A.; Kumar, A.; Kumar, Y.; Chandra, R. Sputtered synthesis of MnO2 nanorods as binder free electrode for high performance symmetric supercapacitors. Electrochim. Acta 2016, 222, 1761–1769. [Google Scholar] [CrossRef]
- Xiong, C.; Li, T.; Dang, A.; Zhao, T.; Li, H.; Lv, H. Two-step approach of fabrication of three-dimensional MnO2-graphene-carbon nanotube hybrid as a binder-free supercapacitor electrode. J. Power Sources 2016, 306, 602–610. [Google Scholar] [CrossRef]
- Mao, L.; Zhang, K.; Chan, H.-S.-O.; Wu, J.-S. Nanostructured MnO2/graphene composites for supercapacitor electrodes: The effect of morphology, crystallinity and composition. J. Mate Chem. 2012, 22, 1845–1851. [Google Scholar] [CrossRef]
- Du, L.H.; Yang, P.H.; Yu, X.; Liu, P.Y.; Song, J.H.; Mai, W.J. Flexible supercapacitors based on carbon nanotube/MnO2 nanotube hybrid porous films for wearable electronic devices. J. Mater. Chem. A 2014, 2, 17561–17567. [Google Scholar] [CrossRef]
- Liu, F.; Xiao, Y.; Liu, Y.; Han, P.; Qin, G. Mesoporous MnO2 based composite electrode for efficient alkali-metal-ion storage. Chem. Eng. J. 2020, 380, 122487. [Google Scholar] [CrossRef]
- Okhay, O.; Tkach, A. Graphene/reduced graphene oxide-carbon nanotubes composite electrodes: From capacitive to battery-type behaviour. Nanomaterials 2021, 11, 1240. [Google Scholar] [CrossRef]
- Gogotsi, Y.; Penner, R.M. Energy storage in nanomaterials—Capacitive, pseudocapacitive, or battery-like? ACS Nano 2018, 12, 2081–2083. [Google Scholar] [CrossRef] [Green Version]
- Yu, T.; Wang, F.; Zhang, X.; Lv, G.; Lv, H.; Wang, J.; Zhai, Y.; Li, M. Typha orientalis leaves derived P-doped hierarchical porous carbon electrode and carbon/MnO2 composite electrode for high-performance asymmetric supercapacitor. Diam. Relat. Mater. 2021, 116, 108450. [Google Scholar] [CrossRef]
- Zhang, Q.; Wu, X.; Zhang, Q.; Yang, F.; Dong, H.; Sui, J.; Dong, L. One-step hydrothermal synthesis of MnO2/graphene composite for electrochemical energy storage. J. Electroanal. Chem. 2019, 837, 108–115. [Google Scholar] [CrossRef]
- Kong, S.; Cheng, K.; Ouyang, T.; Gao, Y.; Ye, K.; Wang, G.; Cao, D. Facile dip coating processed 3D MnO2-graphene nanosheets/MWNT-Ni foam composites for electrochemical supercapacitors. Electrochim. Acta 2017, 226, 29–39. [Google Scholar] [CrossRef]
- Wu, P.; Gao, M.; Yu, S.; Feng, M.; Liu, S.; Fu, J. MnO2 nanosheets grown on N and P co-doped hollow carbon microspheres for high performance asymmetric supercapacitor. Electrochim. Acta 2020, 354, 136681. [Google Scholar] [CrossRef]
- Poudel, M.B.; Kim, H.J. Synthesis of high-performance nickel hydroxide nanosheets/gadolinium doped-α-MnO2 composite nanorods as cathode and Fe3O4/GO nanospheres as anode for an all-solid-state asymmetric supercapacitor. J. Energy Chem. 2022, 64, 475–484. [Google Scholar] [CrossRef]
- Wang, Y.; Lai, W.; Wang, N.; Jiang, Z.; Wang, X.; Zou, P.; Lin, Z.; Fan, H.J.; Kang, F.; Wong, C.-P.; et al. A reduced graphene oxide/mixed-valence manganese oxide composite electrode for tailorable and surface mountable supercapacitors with high capacitance and super-long life. Energy Environ. Sci. 2017, 10, 941–949. [Google Scholar] [CrossRef]
- Shen, Y.; Zhang, K.; Chen, B.; Yang, F.; Xu, K.; Lu, X. Enhancing the electrochemical performance of nickel cobalt sulfides hollow nanospheres by structural modulation for asymmetric supercapacitors. J. Colloid Interface Sci. 2019, 557, 135–143. [Google Scholar] [CrossRef]










| Scan Rate | Specific Capacitance (F g−1) | |||
|---|---|---|---|---|
| 1 mA/cm2 | 5 mA/cm2 | 10 mA/cm2 | 15 mA/cm2 | |
| 100 mV/s | 202.9 (±1.9) | 155.8 (±1.4) | 76.7 (±0.6) | 52.4 (±0.8) |
| 80 mV/s | 205.7 (±1.7) | 141.6 (±1.5) | 83.5 (±0.7) | 57.5 (±0.6) |
| 60 mV/s | 214.3 (±1.4) | 170.0 (±1.1) | 91.4 (±0.7) | 63.5 (±0.9) |
| 40 mV/s | 230.6 (±1.8) | 181.8 (±1.8) | 114.2 (±0.8) | 71.6 (±0.8) |
| 20 mV/s | 261.6 (±2.3) | 202.0 (±1.9) | 122.9 (±1.4) | 86.3 (±0.6) |
| 10 mV/s | 292.8 (±2.1) | 222.3 (±2.3) | 142.0 (±1.1) | 99.6 (±0.9) |
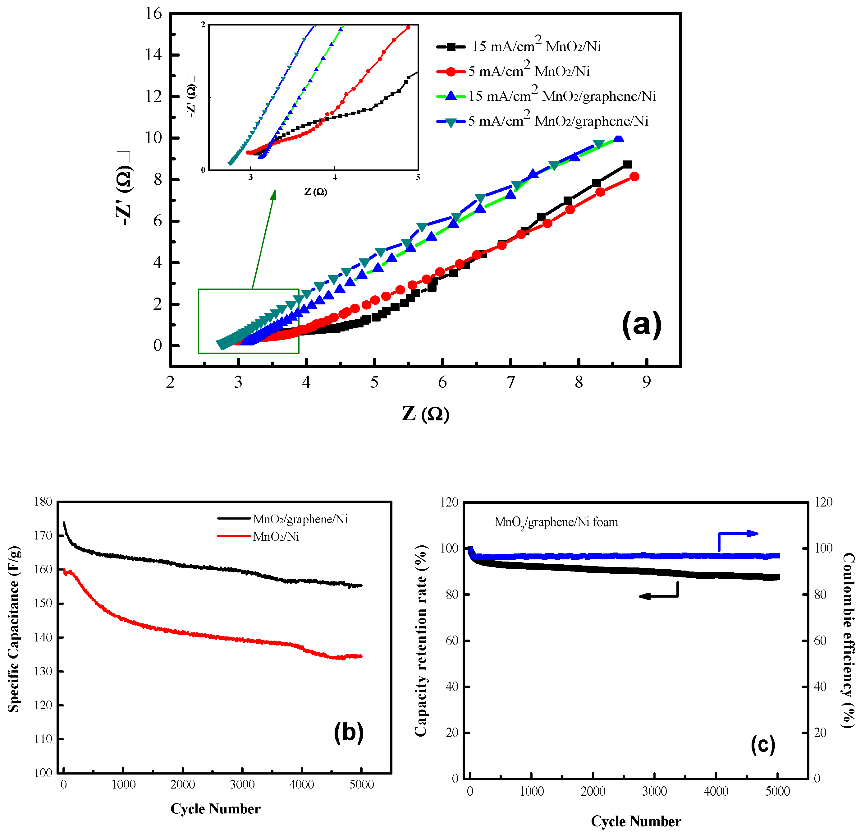
| Samples | Rt (Ω) | RE (Ω) | RCT (Ω) | RN (Ω) |
|---|---|---|---|---|
| MnO2/graphene/Ni (5 mA/cm2) | 5.8(±0.4) | 2.8(±0.2) | 0.15(±0.1) | 2.8(±0.1) |
| MnO2/graphene/Ni (15 mA/cm2) | 6.6(±0.5) | 3.1(±0.2) | 0.35(±0.1) | 3.1(±0.2) |
| MnO2/Ni (5 mA/cm2) | 7.0(±0.4) | 3.0(±0.1) | 0.64(±0.1) | 3.4(±0.2) |
| MnO2/Ni (15 mA/cm2) | 8.5(±0.7) | 3.1(±0.2) | 1.5(±0.2) | 3.9(±0.3) |
Publisher’s Note: MDPI stays neutral with regard to jurisdictional claims in published maps and institutional affiliations. |
© 2021 by the authors. Licensee MDPI, Basel, Switzerland. This article is an open access article distributed under the terms and conditions of the Creative Commons Attribution (CC BY) license (https://creativecommons.org/licenses/by/4.0/).
Share and Cite
Liu, R.; Jiang, R.; Chu, Y.-H.; Yang, W.-D. Facile Fabrication of MnO2/Graphene/Ni Foam Composites for High-Performance Supercapacitors. Nanomaterials 2021, 11, 2736. https://doi.org/10.3390/nano11102736
Liu R, Jiang R, Chu Y-H, Yang W-D. Facile Fabrication of MnO2/Graphene/Ni Foam Composites for High-Performance Supercapacitors. Nanomaterials. 2021; 11(10):2736. https://doi.org/10.3390/nano11102736
Chicago/Turabian StyleLiu, Rui, Rui Jiang, Yu-Han Chu, and Wein-Duo Yang. 2021. "Facile Fabrication of MnO2/Graphene/Ni Foam Composites for High-Performance Supercapacitors" Nanomaterials 11, no. 10: 2736. https://doi.org/10.3390/nano11102736
APA StyleLiu, R., Jiang, R., Chu, Y.-H., & Yang, W.-D. (2021). Facile Fabrication of MnO2/Graphene/Ni Foam Composites for High-Performance Supercapacitors. Nanomaterials, 11(10), 2736. https://doi.org/10.3390/nano11102736
