Performance and Mechanism of Photoelectrocatalytic Activity of MoSx/WO3 Heterostructures Obtained by Reactive Pulsed Laser Deposition for Water Splitting
Abstract
1. Introduction
2. Materials and Methods
2.1. Reactive Pulsed Laser Deposition and Posttreatment
2.2. Structural and Chemical Characterization Techniques
2.3. Energy Band Structure Measurements
2.4. Photoelectrochemical Measurements of HER for MoSx/WOy Heterostructures
2.5. Preparation and Characterization of MoOz(S)/WOy Photoanodes
3. Results
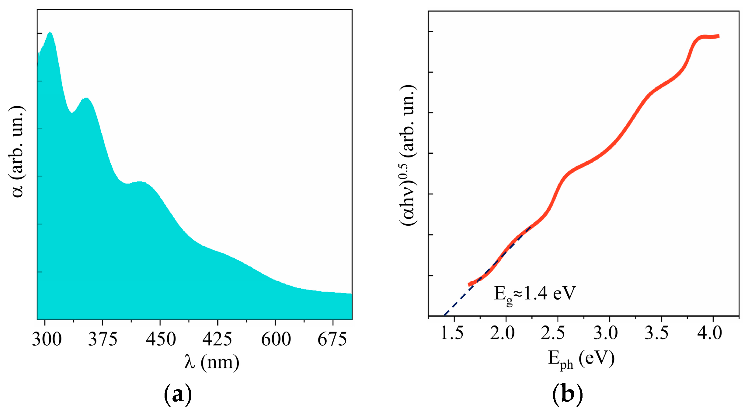
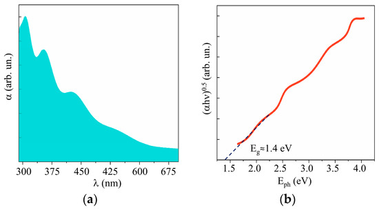
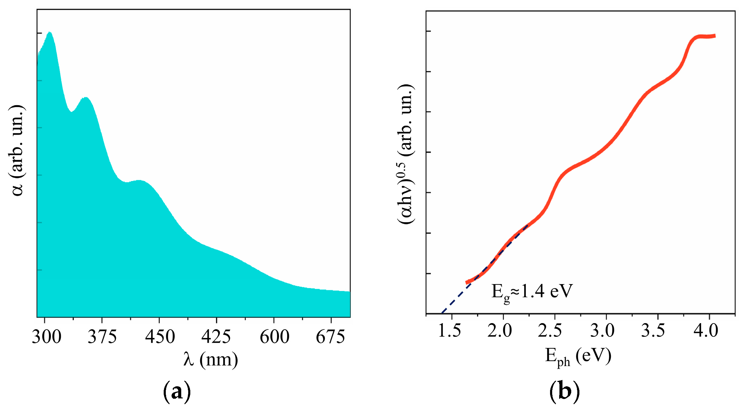
3.1. The Structure and Composition of WOy Films
3.2. The Structure and Composition of MoSx Films
3.3. Electrochemical Posttreatment of MoSx Films
3.4. The Photoelectrocatalytical HER Performance of MoSx/WO3/FTO Samples
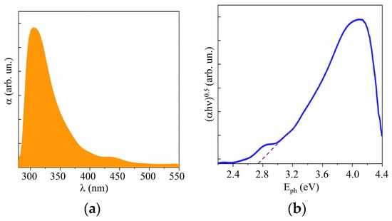
3.5. The Photoelectrocatalytical OER Performance of MoOz(S)/WO3/FTO Samples
4. Discussion
5. Conclusions
Supplementary Materials
Author Contributions
Funding
Conflicts of Interest
References
- Haque, F.; Daeneke, T.; Kalantar-zadeh, K.; Zhen-Ou, J. Two-Dimensional Transition Metal Oxide and Chalcogenide-Based Photocatalysts. Nano Micro Lett. 2018, 10, 23. [Google Scholar] [CrossRef] [PubMed]
- Ouyang, T.; Ye, Y.; Wu, C.; Xiao, K.; Liu, Z. Heterostructures Composed of N-Doped Carbon Nanotubes Encapsulating Cobalt and β-Mo2C Nanoparticles as Bifunctional Electrodes for Water Splitting. Angew. Chem. Int. Ed. 2018, 58, 15. [Google Scholar] [CrossRef]
- Di, L.; Yang, H.; Xian, T.; Liu, X.; Chen, X. Photocatalytic and Photo-Fenton Catalytic Degradation Activities of Z-Scheme Ag2S/BiFeO3 Heterojunction Composites under Visible-Light Irradiation. Nanomaterials 2019, 9, 399. [Google Scholar] [CrossRef] [PubMed]
- Shi, C.; Zhou, X.; Li, W.; Guo, H.; Zhao, Y.; Ruan, L.; Xu, C.; Zeng, W.; Liang, D. Synergistic enhancing photoelectrochemical response of Bi10O6S9 with WO3 optical heterojunction in wide wavelength range. Appl. Surf. Sci. 2020, 509, 144697. [Google Scholar] [CrossRef]
- Jiaa, J.; Jiangb, C.; Zhanga, X.; Lia, P.; Xionga, J.; Zhanga, Z.; Wua, T.; Wang, Y. Urea-modified carbon quantum dots as electron mediator decorated g-C3N4/WO3 with enhanced visible-light photocatalytic activity and mechanism insight. Appl. Surf. Sci. 2019, 495, 143524. [Google Scholar] [CrossRef]
- Zhang, H.; Ding, Q.; He, D.; Liu, H.; Liu, W.; Li, Z.; Yang, B.; Zhang, X.; Lei, L.; Jin, S. A p-Si/NiCoSex core/shell nanopillar array photocathode for enhanced photoelectrochemical hydrogen production. Energy Environ. Sci. 2016, 9, 3113–3119. [Google Scholar] [CrossRef]
- Zhu, D.; Wang, X.; An, H.; Zhong, Y.; Wang, D.; Tang, C.; Hu, C. Facile One-Step Hydrothermal Fabrication of (Sr0.6Bi0.305)2Bi2O7/SnO2 Heterojunction with Excellent Photocatalytic Activity. Nanomaterials 2020, 10, 321. [Google Scholar] [CrossRef]
- He, F.; Meng, A.; Chengm, B.; Hob, W.; Yu, J. Enhanced photocatalytic H2-production activity of WO3/TiO2 step-scheme heterojunction by graphene modification. Chin. J. Catal. 2020, 41, 9–20. [Google Scholar] [CrossRef]
- Zhang, L.; Hao, X.; Li, Y.; Jin, Z. Performance of WO3/g-C3N4 heterojunction composite boosting with NiS for photocatalytic hydrogen evolution. Appl. Surf. Sci. 2020, 499, 143862. [Google Scholar] [CrossRef]
- Gao, C.; Yu, H.; Zhang, L.; Zhao, Y.; Xie, J.; Li, C.; Cui, K.; Yu, J. Ultrasensitive Paper-Based Photoelectrochemical Sensing Platform Enabled by the Polar Charge Carriers-Created Electric Field. Anal. Chem. 2020, 92, 2902–2906. [Google Scholar] [CrossRef]
- Jadwiszczak, M.; Jakubow-Piotrowska, K.; Kedzierzawski, P.; Bienkowski, K.; Augustynski, J. Highly Efficient Sunlight-Driven Seawater Splitting in a Photoelectrochemical Cell with Chlorine Evolved at Nanostructured WO3 Photoanode and Hydrogen Stored as Hydride within Metallic Cathode. Adv. Energy Mater. 2019, 10, 3. [Google Scholar] [CrossRef]
- Rassoolkhani, A.; Cheng, W.; Lee, J.; McKee, A.; Koonce, J.; Coffel, J.; Ghanim, A.; Aurand, G.; Kim, C.; Park, W.; et al. Nanostructured bismuth vanadate/tungsten oxide photoanode for chlorine production with hydrogen generation at the dark cathode. Commun. Chem. 2019, 2, 57. [Google Scholar] [CrossRef]
- Coridan, R.; Shaner, M.; Wiggenhorn, C.; Brunschwig, D.; Lewis, N. Electrical and Photoelectrochemical Properties of WO3/Si Tandem Photoelectrodes. J. Phys. Chem. 2013, 117, 14–6949. [Google Scholar] [CrossRef]
- Liu, X.; Zhou, H.; Pei, S.; Xiea, S.; You, S. Oxygen-deficient WO3−x nanoplate array film photoanode for efficient photoelectrocatalytic water decontamination. Chem. Eng. J. 2020, 381, 122740. [Google Scholar] [CrossRef]
- Shina, S.; Hana, H.S.; Kim, J.S.; Park, I.K.; Lee, M.H.; Hong, K.S.; Cho, I.S. Tree-like Nanoporous WO3 Photoanode with Enhanced Charge Transport Efficiency for Photoelectrochemical Water Oxidation. J. Mater. Chem. A 2015, 3, 12920–12926. [Google Scholar] [CrossRef]
- Murcia-López, S.; Fàbrega, C.; Monllor-Satoca, D.; Hernández-Alonso, M.D.; Penelas-Pérez, G.; Morata, A.; Morante, J.R.; Andreu, T. Tailoring Multilayered BiVO4 Photoanodes by Pulsed Laser Deposition for Water Splitting. ACS Appl. Mater. Interfaces 2016, 8, 4076–4085. [Google Scholar] [CrossRef]
- Kölbach, M.; Harbauer, K.; Ellmer, K.; Krol, R. Elucidating the Pulsed Laser Deposition Process of BiVO4 Photoelectrodes for Solar Water Splitting. J. Phys. Chem. C 2020, 124, 4438–4447. [Google Scholar] [CrossRef]
- Liu, Y.; Wygant, B.; Mabayoje, O.; Lin, J.; Kawashima, K.; Kim, J.; Li, W.; Li, J.; Mullins, C. Interface Engineering and its Effect on WO3-Based Photoanode and Tandem Cell. ACS Appl. Mater. Interfaces 2018, 10, 12639–12650. [Google Scholar] [CrossRef]
- Hu, G.; Li, J.; Liu, P.; Zhu, X.; Li, X.; Nauman Ali, R.; Xiang, B. Enhanced electrocatalytic activity of WO3@NPRGO composite in a hydrogen evolution reaction. Appl. Surf. Sci. 2019, 463, 275–282. [Google Scholar] [CrossRef]
- Fominski, V.; Gnedovets, A.; Fominski, D.; Romanov, R.; Kartsev, P.; Rubinkovskaya, O.; Novikov, S. Pulsed Laser Deposition of Nanostructured MoS3/np-Mo//WO3−y Hybrid Catalyst for Enhanced (Photo) Electrochemical Hydrogen Evolution. Nanomaterials 2019, 9, 1395. [Google Scholar] [CrossRef]
- Yao, J.; Zhang, M.; Yin, H.; Luo, Y.; Liu, X. Improved photocatalytic activity of WO3/C3N4: By constructing an anchoring morphology with a Z-scheme band structure. Solid State Sci. 2019, 95, 105926. [Google Scholar] [CrossRef]
- Nevolin, V.N.; Grigoriev, S.N.; Fominski, V.Yu.; Romanov, R.I.; Volosova, M.A.; Fominski, D.V.; Dzhumaev, P.S. Application of pulsed laser deposition in reactive gaseous media to fabricate an effective hybrid MoSx/WOy catalyst for the reaction of hydrogen evolution. Inorg. Mater. Appl. Res. 2018, 9, 297–304. [Google Scholar] [CrossRef]
- He, K.; Xie, J.; Luo, X.; Wen, J.; Ma, S.; Li, X.; Fang, Y.; Zhang, X. Enhanced visible light photocatalytic H2 production over Z-scheme g-C3N4 nansheets/WO3 nanorods nanocomposites loaded with Ni(OH)x cocatalysts. Chin. J. Catal. 2017, 38, 240–252. [Google Scholar] [CrossRef]
- Hou, Y.; Zuo, F.; Dagg, A.P.; Liu, J.; Feng, P. Branched WO3 nanosheet array with layered C3N4 heterojunctions and CoOx nanoparticles as a flexible photoanode for efficient photoelectrochemical water oxidation. Adv. Mater. 2014, 26, 5043–5049. [Google Scholar] [CrossRef] [PubMed]
- Chai, B.; Liu, C.; Yan, J.; Ren, Z.; Wang, Z.J. In-situ synthesis of WO3 nanoplates anchored on g-C3N4 Z-scheme photocatalysts for significantly enhanced photocatalytic activity. Appl. Surf. Sci. 2018, 448, 1–8. [Google Scholar] [CrossRef]
- Fominski, V.; Romanov, R.; Fominski, D.; Shelyakov, A. Regulated growth of quasi-amorphous MoSx thin-film hydrogen evolution catalysts by pulsed laser deposition of Mo in reactive H2S gas. Thin Solid Films 2017, 642, 58–68. [Google Scholar] [CrossRef]
- Zafir, M.; Nasir, M.; Sofer, Z.; Ambrosia, A.; Pumera, M. A limited anodic and cathodic potential window of MoS2: Limitations in electrochemical applications. Nanoscale 2015, 7, 3126–3129. [Google Scholar] [CrossRef]
- Inzani, K.; Nematollahi, M.; Vullum-Bruer, F.; Grande, T.; Reenaas, T.; Selbach, S. Electronic properties of reduced molybdenum oxides. Phys. Chem. Chem. Phys. 2017, 19, 9232–9245. [Google Scholar] [CrossRef]
- Ohtsuka, H.; Sakurai, Y. Characterization of MoO3−x Thin Films. Jpn. J. Appl. Phys. 2001, 40, 4680–4683. [Google Scholar] [CrossRef]
- Schmidt, E.; Sourisseau, C.; Meunier, G.; Levasseur, A. Amorphous molybdenum oxysulfide thin films and their physical characterization. Thin Solid Films 1995, 260, 21–25. [Google Scholar] [CrossRef]
- Bao, X.-Q.; Petroykh, D.; Alpuim, P.; Stroppa, D.G.; Guldris, N.; Fonseca, H.; Costa, M.; Gaspar, J.; Jin, C.; Liu, L. Amorphous oxygen-rich molybdenum oxysulfide Decorated p-type silicon microwire arrays for efficient photoelectrochemical water reduction. Nano Energy 2015, 16, 130–142. [Google Scholar] [CrossRef]
- Kraut, E.A.; Grant, R.W.; Waldrop, J.R.; Kowalczuk, S.P. Precise Determination of the Valence-Band Edge in X-Ray Photoemission Spectra: Application to Measurement of Semiconductors Interface Potentials. Phys. Rev. Lett. 1980, 44, 1620. [Google Scholar] [CrossRef]
- Chiu, M.-H.; Zhang, C.; Shiu, H.-W.; Chuu, C.-P.; Chen, C.-H.; Chang, C.-Y.S.; Chen, C.-H.; Chou, M.-Y.; Shih, C.-K.; Li, L.-J. Determination of band alignment in the single-layer MoS2/WSe2 heterojunction. Nat. Commun. 2015, 6, 7666. [Google Scholar] [CrossRef] [PubMed]
- Romanov, R.I.; Slavich, A.S.; Kozodaev, M.G.; Myakota, D.I.; Lebedinskii, Yu. Yu.; Novikov, S.M.; Markeev, A.M. Band alignment in as-transferred and annealed graphene/MoS2 heterostructures. Phys. Status Solidi RRL 2019. [Google Scholar] [CrossRef]
- Pierucci, D.; Henck, H.; Avila, J.; Balan, A.; Naylor, C.H.; Patriarche, G.; Dappe, Y.J.; Silly, M.G.; Sirotti, F.; Johnson, A.T.C.; et al. Band Alignment and Minigaps in Monolayer MoS2-Graphene van der Waals Heterostructures. Nano Lett. 2016, 16, 4054. [Google Scholar] [CrossRef]
- Xu, L.; Yin, M.L.; Liu, S.F. Agx@WO3 core-shell nanostructure for LSP enhanced chemical sensors. Sci. Rep. 2014, 4, 45. [Google Scholar] [CrossRef]
- Chen, S.; Xiao, Y.; Xie, W.; Wang, Y.; Hu, Z.; Zhang, W.; Zhao, H. Facile Strategy for Synthesizing Non-Stoichiometric Monoclinic Structured Tungsten Trioxide (WO3−x) with Plasma Resonance Absorption and Enhanced Photocatalytic Activity. Nanomaterials 2018, 8, 553. [Google Scholar] [CrossRef]
- Mai, M.; Ma, X.; Zhou, H.; Ye, M.; Li, T.; Ke, S.; Lin, P.; Zeng, X. Effect of oxygen pressure on pulsed laser deposited WO3 thin films for photoelectrochemical water splitting. J. Alloys Compd. 2017, 722, 913–919. [Google Scholar] [CrossRef]
- Zhan, F.; Liu, Y.; Wang, K.; Liu, Y.; Yang, X.; Yang, Y.; Qiu, X.; Li, W.; Li, J. In Situ Formation of WO3-Based Heterojunction Photoanodes with Abundant Oxygen Vacancies via a Novel Microbattery Method. ACS Appl. Mater. Interfaces 2019, 11, 15467–15477. [Google Scholar] [CrossRef]
- Fominski, V.; Romanov, R.; Zuev, V.; Soloviev, A.; Goikhman, A.; Maksimova, K.; Shvets, P.; Demin, M. Comparison of hydrogen detection by WOx/SiC and Pt/WOx/SiC structures using amperometric and potentiometric modes of measurement. Thin Sold Films 2019, 669, 461–470. [Google Scholar] [CrossRef]
- Fominski, V.Y.; Grigoriev, S.N.; Romanov, R.I.; Volosova, M.A.; Fominski, D.V.; Irzhak, A.V. Structure, morphology and electrocatalytic properties of WOx thin films prepared by reactive pulsed laser deposition. J. Phys. Conf. Ser. 2017, 941, 012062. [Google Scholar] [CrossRef]
- Kalanur, S.S. Structural, Optical, Band Edge and Enhanced Photoelectrochemical Water Splitting Properties of Tin-Doped WO3. Catalysts 2019, 9, 456. [Google Scholar] [CrossRef]
- Zhan, F.; Yang, Y.; Li, W.; Li, J.; Liu, W.; Li, Y.; Chena, Q. Preparation of DyVO4/WO3 heterojunction plate array films with enhanced photoelectrochemical activity. RSC Adv. 2016, 6, 1039. [Google Scholar] [CrossRef]
- Grigoriev, S.N.; Fominski, V.Y.; Romanov, R.I.; Gnedovets, A.G.; Volosova, M.A. Shadow masked pulsed laser deposition of WSex films: Experiment and modeling. Appl. Surf. Sci. 2013, 282, 607–614. [Google Scholar] [CrossRef]
- Lee, C.-H.; Lee, S.; Lee, Y.-K.; Jung, Y.C.; Ko, Y.-I.; Lee, D.C.; Joh, H.-I. Understanding on the origin of formation and active sites for thiomolybdate [Mo3S13]2− clusters as hydrogen-evolution catalyst through the selective control of sulfur atoms. ACS Catal. 2018, 8, 5221–5227. [Google Scholar] [CrossRef]
- Deng, Y.; Ting, L.R.L.; Neo, P.H.L.; Zhang, Y.-J.; Peterson, A.A.; Yeo, B.S. Operando Raman spectroscopy of amorphous molybdenum sulfide (MoSx) during the electrochemical hydrogen evolution reaction: Identification of sulfur atoms as catalytically active sites for H+ reduction. ACS Catal. 2016, 6, 7790–7798. [Google Scholar] [CrossRef]
- Lassalle-Kaiser, B.; Merki, D.; Vrubel, H.; Gul, S.; Yachandra, V.K.; Hu, X.; Yano, J. Evidence from in situ X-ray absorption spectroscopy for the involvement of terminal disulfide in the reduction of protons by an amorphous molybdenum sulfide electrocatalyst. J. Am. Chem. Soc. 2015, 137, 314–321. [Google Scholar] [CrossRef]
- Hibble, S.J.; Rice, D.A.; Pickup, D.M.; Beer, M.P. Mo K-edge EXAFS and S K-edge absorption studies of the amorphous molybdenum sulfides MoS4.7, MoS3, and MoS3nH2O (n~2). Inorg. Chem. 1995, 34, 5109–5113. [Google Scholar] [CrossRef]
- Hibble, S.J.; Wood, G.B. Modeling the structure of amorphous MoS3: A neutron diffraction and reverse Monte Carlo study. J. Am. Chem. Soc. 2004, 126, 959–965. [Google Scholar] [CrossRef]
- Xi, F.; Bogdanoff, P.; Harbauer, K.; Plate, P.; Höhn, C.; Rappich, J.; Wang, B.; Han, X.; van de Krol, R.; Fiechter, S. Structural transformation identification of sputtered amorphous MoSx as efficient hydrogen evolving catalyst during electrochemical activation. ACS Catal. 2019, 9, 2368–2380. [Google Scholar] [CrossRef]
- Müller, A.; Jostes, R.; Jaegermann, W.; Bhattacharyya, R. Spectroscopic investigation on the molecular and electronic structure of [Mo3S13]2−, a discrete binary transition metal sulfur cluster. Inorg. Chim. Acta 1980, 41, 259–263. [Google Scholar] [CrossRef]
- Weber, Th.; Muijsers, J.C.; Niemantsverdriet, J.W. Structure of amorphous MoS3. J. Phys. Chem. 1995, 99, 9194–9200. [Google Scholar] [CrossRef]
- Fominski, V. Yu.; Markeev, A.M.; Nevolin, V.N.; Prokopenko, V.B.; Vrublevski, A.R. Pulsed laser deposition of MoSx films in a buffer gas atmosphere. Thin Solid Films 1994, 248, 240–246. [Google Scholar] [CrossRef]
- Cao, Y.; Shin, Y.C. Multi-scale modeling of phase explosion in high fluence nanosecondlaser ablation and clarification of ablation depth prediction criterion. Appl. Surf. Sci. 2015, 357, 74–85. [Google Scholar] [CrossRef]
- Bennett, T.D.; Grigoropoulos, C.P.; Krajnovich, D.J. Near-threshold laser sputtering of gold. J. Appl. Phys. 1995, 77, 849–864. [Google Scholar] [CrossRef]
- Fominski, V.Yu.; Grigoriev, S.N.; Gnedovets, A.G.; Romanov, R.I. On the Mechanism of Encapsulated Particle Formation during Pulsed Laser Deposition of WSex Thin-Film Coatings. Technic. Phys. Lett. 2013, 39, 312–315. [Google Scholar] [CrossRef]
- Fominski, V.Yu.; Romanov, R.I.; Nevolin, V.N.; Fominski, D.V.; Komleva, O.V.; Popov, V.V. Formation of ultrathin MoS2 films using laser-based methods. J. Phys. Conf. Ser. 2019, 1238, 012007. [Google Scholar] [CrossRef]
- Escalera-López, D.; Lou, Z.; Rees, N.V. Benchmarking the activity, stability, and inherent electrochemistry of amorphous molybdenum sulfide for hydrogen production. Adv. Energy Mater. 2019, 9, 1802614. [Google Scholar] [CrossRef]
- Benoist, L.; Gonbeau, D.; Pfister-Guillouze, G.; Schmidt, E.; Meunier, G.; Levasseur, A. X-ray photoelectron spectroscopy characterization of amorphous molybdenum oxysulfide thin films. Thin Solid Films 1995, 258, 110–114. [Google Scholar] [CrossRef]
- Escalera-López, D.; Niu, Y.; Park, S.J.; Isaacs, M.; Wilson, K.; Palmer, R.E.; Rees, N.V. Hydrogen evolution enhancement of ultra-low loading, size-selected molybdenum sulfide nanoclusters by sulfur enrichment. Appl. Catal. B Environ. 2018, 235, 84–91. [Google Scholar] [CrossRef]
- King, L.A.; Hellstern, T.R.; Park, J.; Sinclair, R.; Jaramillo, T.F. Highly Stable Molybdenum Disulfide Protected Silicon Photocathodes for Photoelectrochemical Water Splitting. ACS Appl. Mater. Interfaces 2017, 9, 36792–36798. [Google Scholar] [CrossRef] [PubMed]
- Olofinjana, B.; Egharevba, G.O.; Eleruja, M.A.; Jeynes, C.; Adedeji, A.V.; Akinwunmi, O.O.; Taleatu, B.A.; Mordi, C.U.; Ajayi, E.O.B. Synthesis and Some Properties of Metal Organic Chemical Vapour Deposited Molybdenum Oxysulphide Thin Films. J. Mater. Sci. Technol. 2010, 26, 552–557. [Google Scholar] [CrossRef]
- Butler, K.Y.; Crespo-Otero, R.; Buckeridge, J.; Scanlon, D.O.; Bovill, E.; Lidzey, D.; Walsh, A. Band energy control of molybdenum oxide by surface hydration. Appl. Phys. Lett. 2015, 107, 231605. [Google Scholar] [CrossRef]
- Qin, P.; Fang, G.; Cheng, F.; Ke, W.; Lei, H.; Wang, H.; Zhao, X. Sulfur-Doped Molybdenum Oxide Anode Interface Layer for Organic Solar Cell Application. ACS Appl. Mater. Interfaces 2014, 6, 2963–2973. [Google Scholar] [CrossRef] [PubMed]
- Kalanur, S.S.; Duy, L.T.; Seo, H. Recent Progress in Photoelectrochemical Water Splitting Activity of WO3 Photoanodes. Top. Catal. 2018, 61, 1043–1076. [Google Scholar] [CrossRef]
- Saha, B.; Sarkar, K.; Bera, A.; Deb, K.; Thapa, R. Schottky diode behaviour with excellent photoresponse in NiO/FTO heterostructure. Appl. Surf. Sci. 2017, 418, 328–334. [Google Scholar] [CrossRef]
- Lee, J.; Yoon, H.; Kim, S.; Seo, S.; Song, J.; Choi, B.U.; Choi, S.Y.; Park, H.; Ryu, S.; Oh, J.; et al. Long-term stabilized high-density CuBi2O4/NiO heterostructure thin film photocathode grown by pulsed laser deposition. Chem. Commun. 2019, 55, 12447. [Google Scholar] [CrossRef]
- Li, C.; Cao, Q.; Wang, F.; Xiao, Y.; Li, Y.; Delaunay, J.J.; Zhu, H. Engineering graphene and TMDs based van der Waals heterostructures for photovoltaic and photoelectrochemical solar energy conversion. Chem. Soc. Rev. 2018, 47, 4981–5037. [Google Scholar] [CrossRef]
- Hu, S.; Xiang, C.; Haussener, S.; Bergercd, A.D.; Lewis, N.S. An analysis of the optimal band gaps of light absorbers in integrated tandem photoelectrochemical water-splitting systems. Energy Environ. Sci. 2013, 6, 2984–2993. [Google Scholar] [CrossRef]
















© 2020 by the authors. Licensee MDPI, Basel, Switzerland. This article is an open access article distributed under the terms and conditions of the Creative Commons Attribution (CC BY) license (http://creativecommons.org/licenses/by/4.0/).
Share and Cite
Fominski, V.; Romanov, R.; Fominski, D.; Soloviev, A.; Rubinkovskaya, O.; Demin, M.; Maksimova, K.; Shvets, P.; Goikhman, A. Performance and Mechanism of Photoelectrocatalytic Activity of MoSx/WO3 Heterostructures Obtained by Reactive Pulsed Laser Deposition for Water Splitting. Nanomaterials 2020, 10, 871. https://doi.org/10.3390/nano10050871
Fominski V, Romanov R, Fominski D, Soloviev A, Rubinkovskaya O, Demin M, Maksimova K, Shvets P, Goikhman A. Performance and Mechanism of Photoelectrocatalytic Activity of MoSx/WO3 Heterostructures Obtained by Reactive Pulsed Laser Deposition for Water Splitting. Nanomaterials. 2020; 10(5):871. https://doi.org/10.3390/nano10050871
Chicago/Turabian StyleFominski, Vyacheslav, Roman Romanov, Dmitry Fominski, Alexey Soloviev, Oxana Rubinkovskaya, Maxim Demin, Ksenia Maksimova, Pavel Shvets, and Aleksandr Goikhman. 2020. "Performance and Mechanism of Photoelectrocatalytic Activity of MoSx/WO3 Heterostructures Obtained by Reactive Pulsed Laser Deposition for Water Splitting" Nanomaterials 10, no. 5: 871. https://doi.org/10.3390/nano10050871
APA StyleFominski, V., Romanov, R., Fominski, D., Soloviev, A., Rubinkovskaya, O., Demin, M., Maksimova, K., Shvets, P., & Goikhman, A. (2020). Performance and Mechanism of Photoelectrocatalytic Activity of MoSx/WO3 Heterostructures Obtained by Reactive Pulsed Laser Deposition for Water Splitting. Nanomaterials, 10(5), 871. https://doi.org/10.3390/nano10050871

