Fabrication of Low Cost and Low Temperature Poly-Silicon Nanowire Sensor Arrays for Monolithic Three-Dimensional Integrated Circuits Applications
Abstract
1. Introduction
2. Materials and Methods
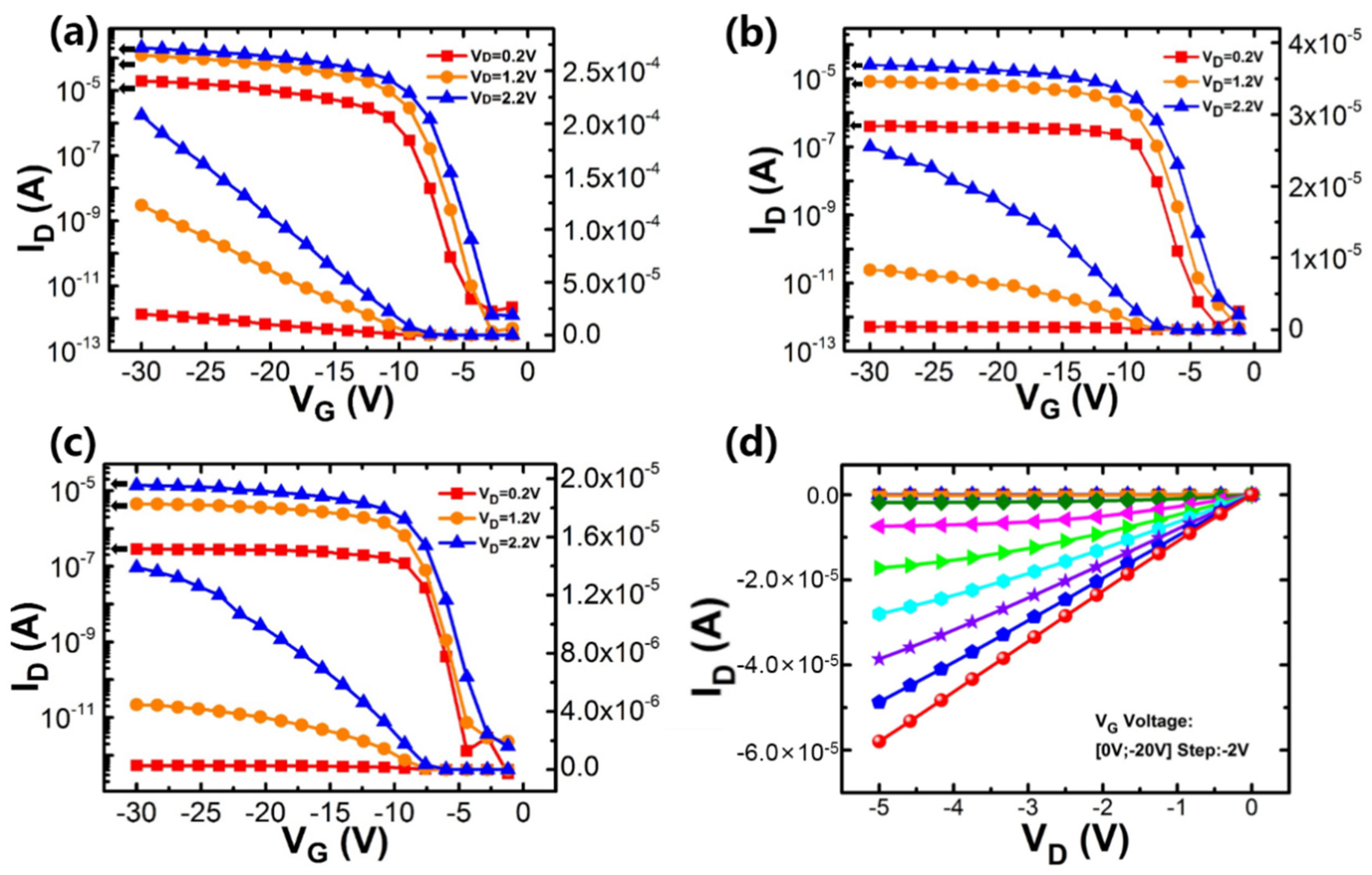
3. Results and Discussion
4. Conclusions
Author Contributions
Funding
Acknowledgments
Conflicts of Interest
References
- Qin, Y.; Liu, D.; Zhang, T. Ultrasensitive Silicon Nanowire Sensor Developed by a Special Ag Modification Process for Rapid NH3 Detection. ACS Appl. Mater. Interfaces 2017, 9, 28766–28773. [Google Scholar] [CrossRef]
- Jin, Y.; Gao, A.; Jin, Q.H.; Li, T.; Wang, Y.; Zhao, J.-L. Ultra-sensitive and selective Detection of Mercury Ion (Hg2+) using free-standing Silicon Nanowire Sensors. Nanotechnology 2018, 29, 135501. [Google Scholar] [CrossRef]
- Yu, X.G.; Li, Y.Q.; Zhu, W.B.; Huang, P.; Wang, T.; Hu, N.; Fu, S.-Y. A wearable strain sensor based on a carbonized nano-sponge/silicone composite for human motion detection. Nanoscale 2017, 9, 6680–6685. [Google Scholar] [CrossRef]
- Römhildt, L.; Zörgiebel, F.; Ibarlucea, B.; Vahdatzadeh, M.; Baraban, L.; Cuniberti, G.; Pregl, S.; Weber, W.M.; Mikolajick, T.; Opitz, J. Human α-thrombin detection platform using aptamers on a silicon nanowire field-effect transistor. In Proceedings of the Power and Timing Modeling, Optimization and Simulation (PATMOS), 2017 27th International Symposium on IEEE, Thessaloniki, Greece, 25–27 September 2017; pp. 1–4. [Google Scholar]
- Besteman, K.; Lee, J.; Wiertz, F.G.M.; Heering, H.A.; Dekker, C. Enzyme-Coated Carbon Nanotubes as Single-Molecule Biosensors. Nano Lett. 2003, 3, 727–730. [Google Scholar] [CrossRef]
- Cui, Y.; Wei, Q.; Park, H.; Lieber, C.M. Nanowire nanosensors for highly sensitive and selective detection of biological and chemical species. Science 2001, 293, 1289–1292. [Google Scholar] [CrossRef]
- Hahm, J.; Lieber, C.M. Direct Ultrasensitive Electrical Detection of DNA and DNA Sequence Variations Using Nanowire Nanosensors. Nano Lett. 2004, 4, 51–54. [Google Scholar] [CrossRef]
- Patolsky, F.; Zheng, G.; Hayden, O.; Lakadamyali, M.; Zhuang, X.; Lieber, C.M. Electrical detection of single viruses. Proc. Natl. Acad. Sci. USA 2004, 101, 14017–14022. [Google Scholar] [CrossRef]
- Lee, J.K.; Wang, I.; Huang, C.H.; Chen, Y.-F.; Huang, N.-T.; Lin, C.-T. Pre-Clinical Tests of an Integrated CMOS Biomolecular Sensor for Cardiac Diseases Diagnosis. Sensors 2017, 17, 2733. [Google Scholar] [CrossRef]
- D’Andrea, C.; Lo Faro, M.J.; Bertino, G.; Ossi, P.M.; Neri, F.; Trusso, S.; Musumeci, P.; Galli, M.; Cioffi, N.; Irrera, A.; et al. Decoration of silicon nanowires with silver nanoparticles for ultrasensitive surface enhanced Raman scattering. Nanotechnology 2016, 27, 375603. [Google Scholar] [CrossRef]
- Fazio, B.; D′Andrea, C.; Foti, A.; Messina, E.; Irrera, A.; Donato, M.G.; Villari, V.; Micali, N.; Maragò, O.M.; Gucciardi, P.G. SERS detection of Biomolecules at Physiological pH via aggregation of Gold Nanorods mediated by Optical Forces and Plasmonic Heating. Science 2016, 6, 26952. [Google Scholar] [CrossRef]
- Gogoi, P. Thermally deposited Ag-doped CdS thin film transistors with high-k rare-earth oxide Nd2O3 as gate dielectric. Semiconductors 2013, 47, 341–344. [Google Scholar] [CrossRef]
- Zhu, W.J.; Tamagawa, T.; Gibson, M.; Furukawa, T. Effect of Al inclusion in HfO2 on the physical and electrical properties of the dielectrics. IEEE Electr. Device L 2002, 23, 649–651. [Google Scholar] [CrossRef]
- Serena, R.B.; Dipti, R.; Wouter, O.; César, P.G. High performance Fin-FET electrochemical sensor with high-k dielectric materials. Sens. Actuators B Chem. 2020, 303, 127215. [Google Scholar]
- Chiou, Y.K.; Chang, C.H.; Wang, C.C.; Lee, K.Y.; Wu, T.B.; Kwo, R.; Hong, M. Effect of Al incorporation in the thermal stability of atomic-layer-deposited HfO2 for gate dielectric applications. J. Electrochem. Soc. 2007, 154, G99–G102. [Google Scholar] [CrossRef]
- Li, X.F.; Liu, X.J.; Zhang, W.Q.; Fu, Y.Y.; Li, A.D.; Li, H.; Wu, D. Comparison of the interfacial and electrical properties of HfAlO films on Ge with S and GeO2 passivation. Appl. Phys. Lett. 2011, 98, 162903. [Google Scholar] [CrossRef]
- Song, Z.R.; Cheng, X.H.; Zhang, E.X.; Xing, Y.; Yu, Y.; Zhang, Z.; Wang, X.; Shen, D. Influence of preparing process on total-dose radiation response of high-k Hf-based gate dielectrics. Thin. Solid Film. 2008, 517, 465–467. [Google Scholar] [CrossRef]
- Dalapati, G.K.; Sridhara, A.; Wong, A.S.W.; Chia, C.K. Plasma nitridation of HfO2 gate dielectric on p-GaAs substrates. ECS Trans. 2008, 16, 387–392. [Google Scholar] [CrossRef]
- McNeill, D.W.; Bhattacharya, S.; Wadsworth, H.; Ruddell, F.H.; Mitchell, S.J.N.; Armstrong, B.M.; Gamble, H.S. Atomic layer deposition of hafnium oxide dielectrics on silicon and germanium substrates. J. Mater. Sci. Mater. Electron. 2007, 19, 119–123. [Google Scholar] [CrossRef]
- Tomida, K.; Popovici, M.; Opsomer, K.; Menou, N. Non-linear dielectric constant increase with Ti composition in high-k ALD-HfTiOx films after O2 crystallization annealing. Iop Conf. Ser. Mater. Sci. Eng. 2010, 8, 012023. [Google Scholar] [CrossRef]
- Ahn, J.-H.; Kim, J.-Y.; Seol, M.-L.; Baek, D.J.; Guo, Z.; Kim, C.-H.; Choi, S.-J.; Choi, Y.-K. A pH sensor with a double-gate silicon nanowire field-effect transistor. Appl. Phys. Lett. 2013, 102, 083701. [Google Scholar] [CrossRef]
- Vu, X.T.; Eschermann, J.F.; Stockmann, R.; GhoshMoulick, R.; Offenhäusser, A.; Ingebrandt, S. Top-down processed silicon nanowire transistor arrays for biosensing. Phys. Status Solidi A Appl. Res. 2009, 206, 426–434. [Google Scholar] [CrossRef]
- Galina, P.; Denis, P.; Vladimir, K.; Vitaly, G. Biosensor based on a silicon nanowire field-effect transistor functionalized by gold nanoparticles for the highly sensitive determination of prostate specific antigen. Biosens. Bioelectron. 2017, 88, 283–289. [Google Scholar]
- Fenouillet-Beranger1, C.; Batude1, P.; Brunet1, L.; Mazzocchi1, V. Recent advances in low temperature process in view of 3D VLSI integration. In Proceedings of the 2016 IEEE SOI-3D-Subthreshold Microelectronics Technology Unified Conference, Burlingame, CA, USA, 10–13 October 2016; pp. 1–3. [Google Scholar]
- Qingzhu, Z.; Hailing, T.; Huaxiang, Y.; Feng, W.; Hongbin, Z.; Qianhui, W.; Zhaohao, Z.; Wenwu, W. Si Nanowire Biosensors Using a FinFET Fabrication Process for Real Time Monitoring Cellular Ion Actitivies. IEDM 2018, 18, 679–682. [Google Scholar]
- Zafar, S.; D’Emic, C.; Jagtiani, A.; Kratschmer, E.; Miao, X.; Zhu, Y.; Mo, R.; Sosa, N.; Hamann, H.F.; Shahidi, G.; et al. Silicon Nanowire Field Effect Transistor Sensors with Minimal Sensor-to-Sensor Variations and Enhanced Sensing Characteristics. ACS Nano 2018, 12, 6577–6587. [Google Scholar] [CrossRef]
- Zhang, N.; Zhang, Z.; Zhang, Q.; Wei, Q.; Zhang, J.; Tang, S.; Lv, C.; Wang, Y.; Zhao, H.; Wei, F.; et al. O2 plasma treated biosensor for enhancing detection sensitivity of sulfadiazine in a high-ĸ HfO2 coated silicon nanowire array. Sens. Actuators B Chem. 2020, 306, 127464. [Google Scholar] [CrossRef]
- Guo-Jun, Z.; Li, Z.; Min, J.H.; Zhan, H.H.L.; Guang, K.I.T.; Eu-Jin, A.L.; Tae, G.K.; Yu, C. Silicon nanowire biosensor for highly sensitive and rapid detection of Dengue virus. Sens. Actuators B Chem. 2010, 146, 138–144. [Google Scholar]
- Guo-Jun, Z.; Kevin, T.C.C.; Henry, Z.H.L.; Joon, M.H.; Ignatius, G.K.T.; Andy, E.-J.L.; Minkyu, J. Multiplexed detection of cardiac biomarkers in serum with nanowire arrays using readout ASIC. Biosens. Bioelectron. 2012, 35, 218–223. [Google Scholar]
- Wong, W.S.; Raychaudhuri, S. Hybrid Si Nanowire/Amorphous Silicon FETs for Large-Area Image Sensor Arrays. Nano Lett. 2011, 11, 2214–2218. [Google Scholar] [CrossRef]
- Hakim, M.M.A.; Lombardini, M.; Sun, K. Thin Film Polycrystalline Silicon Nanowire Biosensors. Nano Lett. 2012, 12, 1868–1872. [Google Scholar] [CrossRef]
- Salaün, A.-C.; Pichon, L.; Wenga, G. Polysilicon nanowires FET as highly-sensitive pH-sensor:modeling and measurements. Procedia Eng. 2014, 87, 911–914. [Google Scholar] [CrossRef]
- Yen, L.C.; Pan, T.M.; Lee, C.H.; Chao, T.S. Label-free and real-time detection of ferritin using a horn-like polycrystalline-silicon nanowire field-effect transistor biosensor. Sens. Actuators B 2016, 230, 398–404. [Google Scholar] [CrossRef]
- Chen, G.; Yu, B.; Li, X.; Dong, X.; Xu, X.; Li, Z.; Huang, R.; Li, M. A photomemory by selective-assembling hybrid porphyrin-silicon nanowire field-effect transistor. Sci. China Inf. Sci. 2020, 63, 169401:1–169401:3. [Google Scholar] [CrossRef]









| 2011 [30] | 2012 [31] | 2014 [32] | 2016 [33] | 2020 [34] | This Work | ||
|---|---|---|---|---|---|---|---|
| Insulation material | SiO2 | SiNx | SiO2 | SiO2/Si3N4 | SiO2/Si3N4/SiO2 | SiO2 | SOI |
| Insulation thickness | 100 nm | - | 80 nm | 50/65 nm | -/150/7 nm | 145 nm | |
| NWs material | Si | Si | poly-Si | poly-Si | poly-Si | poly-Si | Si |
| Si NWs fabrication approach | VLS | RIE | sidewall spacer | RIE | EBL | SIT | SIT |
| Processing temperature | - | - | - | 600 °C | 1050 °C | 600 °C | 600 °C |
| NWs size | ~90 nm | - | - | ~40 nm | 40~50 nm | ~30 nm | ~30 nm |
| LG | - | - | 100 nm | 10 μm | 400 nm | 10 μm | 10 μm |
| Ion/Ioff | ~105 | ~104 | - | 2.03 × 105 | 2.5 × 105 | 2.84 × 106 | 1.29 × 107 |
| SS (mV/dec) | 2500 | 2300–3000 | - | 975 | 1030 | 965 | 767 |
| Vth change (V) | - | - | 0.087 | 0.0437 | - | 0.178 | 0.0688 |
Publisher’s Note: MDPI stays neutral with regard to jurisdictional claims in published maps and institutional affiliations. |
© 2020 by the authors. Licensee MDPI, Basel, Switzerland. This article is an open access article distributed under the terms and conditions of the Creative Commons Attribution (CC BY) license (http://creativecommons.org/licenses/by/4.0/).
Share and Cite
Tang, S.; Yan, J.; Zhang, J.; Wei, S.; Zhang, Q.; Li, J.; Fang, M.; Zhang, S.; Xiong, E.; Wang, Y.; et al. Fabrication of Low Cost and Low Temperature Poly-Silicon Nanowire Sensor Arrays for Monolithic Three-Dimensional Integrated Circuits Applications. Nanomaterials 2020, 10, 2488. https://doi.org/10.3390/nano10122488
Tang S, Yan J, Zhang J, Wei S, Zhang Q, Li J, Fang M, Zhang S, Xiong E, Wang Y, et al. Fabrication of Low Cost and Low Temperature Poly-Silicon Nanowire Sensor Arrays for Monolithic Three-Dimensional Integrated Circuits Applications. Nanomaterials. 2020; 10(12):2488. https://doi.org/10.3390/nano10122488
Chicago/Turabian StyleTang, Siqi, Jiang Yan, Jing Zhang, Shuhua Wei, Qingzhu Zhang, Junjie Li, Min Fang, Shuang Zhang, Enyi Xiong, Yanrong Wang, and et al. 2020. "Fabrication of Low Cost and Low Temperature Poly-Silicon Nanowire Sensor Arrays for Monolithic Three-Dimensional Integrated Circuits Applications" Nanomaterials 10, no. 12: 2488. https://doi.org/10.3390/nano10122488
APA StyleTang, S., Yan, J., Zhang, J., Wei, S., Zhang, Q., Li, J., Fang, M., Zhang, S., Xiong, E., Wang, Y., Yang, J., Zhang, Z., Wei, Q., Yin, H., Wang, W., & Tu, H. (2020). Fabrication of Low Cost and Low Temperature Poly-Silicon Nanowire Sensor Arrays for Monolithic Three-Dimensional Integrated Circuits Applications. Nanomaterials, 10(12), 2488. https://doi.org/10.3390/nano10122488

