Study on Direct Synthesis of Energy Efficient Multifunctional Polyaniline–Graphene Oxide Nanocomposite and Its Application in Aqueous Symmetric Supercapacitor Devices
Abstract
1. Introduction
2. Material and Methods
2.1. Materials
2.2. Synthesis of Graphene Oxide Sheets
2.3. Synthesis of PANI–GO Composites
2.4. Characterization
3. Results and Discussion
3.1. Fourier-Transmission Infrared Spectroscopy
3.2. Scanning Electron Microscopy
3.3. Elemental Analysis and Mapping of Phases
3.4. Thermogravimetry Analysis
3.5. Electrochemical Study
3.5.1. Cyclic Voltammetry
3.5.2. Galvanostatic Charge Discharge Analysis
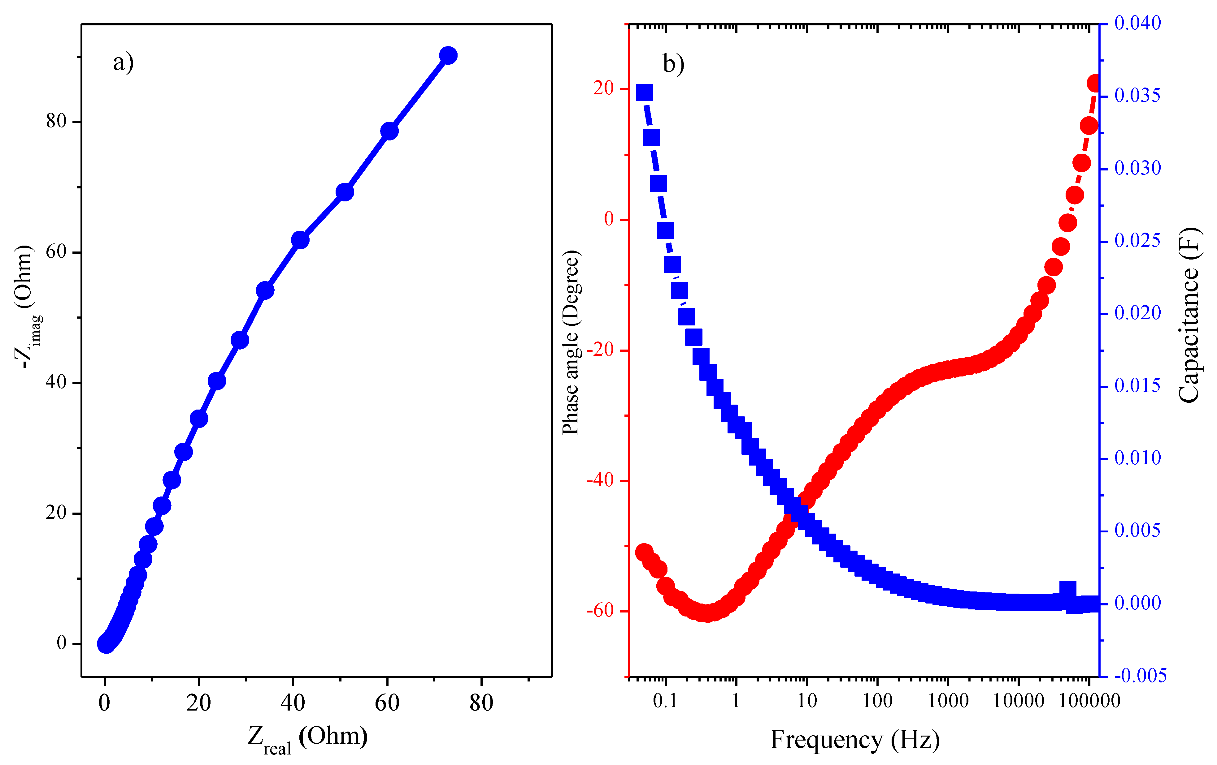
3.5.3. Electrochemical Impedance Spectroscopy (EIS)
3.6. Aqueous Symmetric Supercapacitor Device Using Gold as the Current Collector
3.6.1. Cyclic Voltammetry
3.6.2. Galvanostatic Charge Discharge Analysis
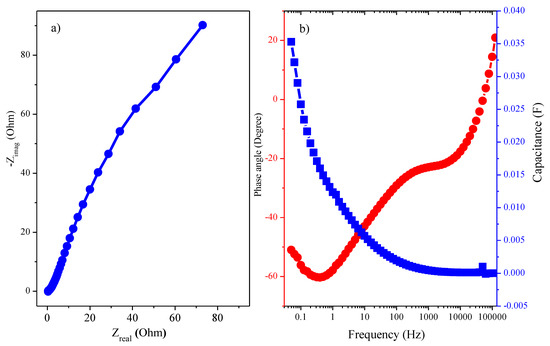
3.6.3. Electrochemical Impedance Spectroscopy
3.6.4. Cycling Stability
3.7. Aqueous Symmetric Supercapacitor Device Using Copper as the Current Collector
3.7.1. Cyclic Voltammetry
3.7.2. Galvanostatic Charge Discharge Analysis
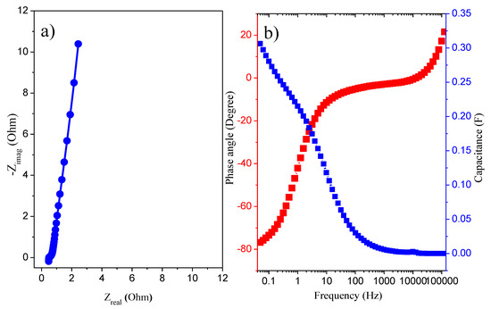
3.7.3. Electrochemical Impedance Spectroscopy of the Symmetric Device Using Copper as Current Collectors
4. Conclusions
Supplementary Materials
Author Contributions
Funding
Acknowledgments
Conflicts of Interest
References
- Sun, J.; Cui, B.; Chu, F.; Yun, C.; He, M.; Li, L.; Song, Y. Printable nanomaterials for the fabrication of high-performance supercapacitors. Nanomaterials 2018, 8, 528. [Google Scholar] [CrossRef] [PubMed]
- Sengottaiyan, C.; Jayavel, R.; Bairi, P.; Shrestha, R.G.; Ariga, K.; Shrestha, L.K. Cobalt oxide/reduced graphene oxide composite with enhanced electrochemical supercapacitance performance. Bull. Chem. Soc. Jpn. 2017, 90, 955–962. [Google Scholar] [CrossRef]
- Du, W.; Wang, X.; Zhan, J.; Sun, X.; Kang, L.; Jiang, F.; Zhang, X.; Shao, Q.; Dong, M.; Liu, H.; et al. Biological cell template synthesis of nitrogen-doped porous hollow carbon spheres/MnO2 composites for high-performance asymmetric supercapacitors. Electrochim. Acta 2019, 296, 907–915. [Google Scholar] [CrossRef]
- Gupta, S.; Price, C. Investigating graphene/conducting polymer hybrid layered composites as pseudocapacitors: Interplay of heterogeneous electron transfer, electric double layers and mechanical stability. Compos. B Eng. 2016, 105, 46–59. [Google Scholar] [CrossRef]
- Liu, C.; Yu, Z.; Neff, D.; Zhamu, A.; Jang, B.Z. Graphene-based supercapacitor with an ultrahigh energy density. Nano Lett. 2010, 10, 4863–4868. [Google Scholar] [CrossRef]
- Tadyszak, K.; Wychowaniec, J.K.; Litowczenko, J. Biomedical Applications of Graphene-Based Structures. Nanomaterials 2018, 8, 944. [Google Scholar] [CrossRef]
- Zheming, G.; Ling, Z.; Chunzhong, L. Emulsion polymerization: A new approach to prepare graphite oxide coated with polyaniline. J. Macromol. Sci. Part B Phys. 2009, 48, 226–237. [Google Scholar] [CrossRef]
- Navarro-Suárez, A.M.; Van Aken, K.L.; Mathis, T.; Makaryan, T.; Yan, J.; Carretero-González, J.; Rojo, T.; Gogotsi, Y. Development of asymmetric supercapacitors with titanium carbide-reduced graphene oxide couples as electrodes. Electrochim. Acta 2018, 259, 752–761. [Google Scholar] [CrossRef]
- Purkait, T.; Singh, G.; Kumar, D.; Singh, M.; Dey, R.S. High-performance flexible supercapacitors based on electrochemically tailored three-dimensional reduced graphene oxide networks. Sci. Rep. 2018, 8, 640. [Google Scholar] [CrossRef]
- Le, L.T.; Ervin, M.H.; Qiu, H.; Fuchs, B.E.; Lee, W.Y. Graphene supercapacitor electrodes fabricated by inkjet printing and thermal reduction of graphene oxide. Electrochem. Commun. 2011, 13, 355–358. [Google Scholar] [CrossRef]
- Fan, X.; Phebus, B.D.; Li, L.; Chen, S. Graphene-based composites for supercapacitor electrodes. Sci. Adv. Mater. 2015, 7, 1916–1944. [Google Scholar] [CrossRef]
- Wang, X.; Wu, D.; Song, X.; Du, W.; Zhao, X.; Zhang, D. Review on Carbon/Polyaniline Hybrids: Design and Synthesis for Supercapacitor. Molecules 2019, 24, 2263. [Google Scholar] [CrossRef] [PubMed]
- Karbownik, I.; Rac-Rumijowska, O.; Fiedot-Toboła, M.; Rybicki, T.; Teterycz, H. The Preparation and Characterization of Polyacrylonitrile-Polyaniline (PAN/PANI) Fibers. Materials 2019, 12, 664. [Google Scholar] [CrossRef] [PubMed]
- Sade, H.; Lellouche, J.P. Preparation and Characterization of WS2@ SiO2 and WS2@ PANI Core-Shell Nanocomposites. Nanomaterials 2018, 8, 156. [Google Scholar] [CrossRef]
- Wang, L.; Lu, X.; Lei, S.; Song, Y. Graphene-based polyaniline nanocomposites: Preparation, properties and applications. J. Mater. Chem. A 2014, 2, 4491–4509. [Google Scholar] [CrossRef]
- Zhang, Y.; Si, L.; Zhou, B.; Zhao, B.; Zhu, Y.; Zhu, L.; Jiang, X. Synthesis of novel graphene oxide/pristine graphene/polyaniline ternary composites and application to supercapacitor. Chem. Eng. J. 2016, 288, 689–700. [Google Scholar] [CrossRef]
- Gui, D.; Liu, C.; Chen, F.; Liu, J. Preparation of polyaniline/graphene oxide nanocomposite for the application of supercapacitor. Appl. Surf. Sci. 2014, 307, 172–177. [Google Scholar] [CrossRef]
- He, W.; Zhao, G.; Sun, P.; Hou, P.; Zhu, L.; Wang, T.; Li, L.; Xu, X.; Zhai, T. Construction of Longan–like hybrid structures by anchoring nickel hydroxide on yolk–shell polypyrrole for asymmetric supercapacitors. Nano Energy 2019, 56, 207–215. [Google Scholar] [CrossRef]
- Rana, U.; Malik, S. Graphene oxide/polyaniline nanostructures: Transformation of 2D sheet to 1D nanotube and in situ reduction. Chem. Commun. 2012, 48, 10862–10864. [Google Scholar] [CrossRef]
- Yu, P.; Li, Y.; Zhao, X.; Wu, L.; Zhang, Q. Graphene-wrapped polyaniline nanowire arrays on nitrogen-doped carbon fabric as novel flexible hybrid electrode materials for high-performance supercapacitor. Langmuir 2014, 30, 5306–5313. [Google Scholar] [CrossRef]
- Liu, H.; Wang, Y.; Gou, X.; Qi, T.; Yang, J.; Ding, Y. Three-dimensional graphene/polyaniline composite material for high-performance supercapacitor applications. Mater. Sci. Eng. B 2013, 178, 293–298. [Google Scholar] [CrossRef]
- Kim, J.; Kim, J.H.; Ariga, K. Redox-active polymers for energy storage nanoarchitectonics. Joule 2017, 1, 739–768. [Google Scholar] [CrossRef]
- Gupta, A.; Akhtar, A.J.; Saha, S.K. In-situ growth of P3HT/graphene composites for supercapacitor application. Mater. Chem. Phys. 2013, 140, 616–621. [Google Scholar] [CrossRef]
- Wang, J.; Wu, Z.; Hu, K.; Chen, X.; Yin, H. High conductivity graphene-like MoS2/polyaniline nanocomposites and its application in supercapacitor. J. Alloys Compd. 2015, 619, 38–43. [Google Scholar] [CrossRef]
- Shah, A.-U.-H.A.; Kamran, M.; Bilal, S.; Ullah, R. Cost effective chemical oxidative synthesis of soluble and electroactive polyaniline salt and its application as anticorrosive agent for steel. Materials 2019, 12, 1527. [Google Scholar] [CrossRef]
- Zhang, K.; Zhang, L.L.; Zhao, X.S.; Wu, J. Graphene/polyaniline nanofiber composites as supercapacitor electrodes. Chem. Mater. 2010, 22, 1392–1401. [Google Scholar] [CrossRef]
- Hummers, W.S., Jr.; Offeman, R.E. Preparation of graphitic oxide. J. Am. Chem. Soc. 1958, 80, 1339. [Google Scholar] [CrossRef]
- Tabrizi, A.G.; Arsalani, N.; Namazi, H.; Ahadzadeh, I. Vanadium oxide assisted synthesis of polyaniline nanoarrays on graphene oxide sheets and its application in supercapacitors. J. Electroanal. Chem. 2017, 798, 34–41. [Google Scholar] [CrossRef]
- Feng, X.M.; Li, R.M.; Ma, Y.W.; Chen, R.F.; Shi, N.E.; Fan, Q.L.; Huang, W. One-step electrochemical synthesis of graphene/polyaniline composite film and its applications. Adv. Funct. Mater. 2011, 21, 2989–2996. [Google Scholar] [CrossRef]
- Harfouche, N.; Gospodinova, N.; Nessark, B.; Perrin, F.X. Electrodeposition of composite films of reduced graphene oxide/polyaniline in neutral aqueous solution on inert and oxidizable metal. J. Electroanal. Chem. 2017, 786, 135–144. [Google Scholar] [CrossRef]
- Sovizi, M.R.; Gheshlaghi, Z.F.H. Enhancement in electrochemical performances of Li–S batteries by electrodeposition of sulfur on polyaniline–dodecyl benzene sulfonic acid–sulfuric acid (PANI–DBSA–H2O4) honeycomb structure film. New J. Chem. 2018, 42, 2711–2717. [Google Scholar] [CrossRef]
- Mousavi, M.F.; Hashemi, M.; Rahmanifar, M.S.; Noori, A. Synergistic effect between redox additive electrolyte and PANI-rGO nanocomposite electrode for high energy and high power supercapacitor. Electrochim. Acta 2017, 228, 290–298. [Google Scholar] [CrossRef]
- Sengottaiyan, C.; Kalam, N.A.; Jayavel, R.; Shrestha, R.G.; Subramani, T.; Sankar, S.; Hill, J.P.; Shrestha, L.K.; Ariga, K. BiVO4/RGO hybrid nanostructure for high performance electrochemical supercapacitor. J. Solid State Chem. 2019, 269, 409–418. [Google Scholar] [CrossRef]
- Afzali, M.; Mostafavi, A.; Shamspur, T. Square wave voltammetric determination of anticancer drug flutamide using carbon paste electrode modified by CuO/GO/PANI nanocomposite. Arabian J. Chem. 2020, 13, 3255–3265. [Google Scholar] [CrossRef]
- Misoon, O.; Seok, K. Effect of dodecyl benzene sulfonic acid on the preparation of polyaniline/activated carbon composites by in situ emulsion polymerization. Electrochim. Acta 2012, 59, 196–201. [Google Scholar] [CrossRef]
- Tabrizi, A.G.; Arsalani, N.; Mohammadi, A.; Ghadimi, L.S.; Ahadzadeh, I.; Namazi, H. A new route for the synthesis of polyaniline nanoarrays on graphene oxide for high-performance supercapacitors. Electrochim. Acta 2018, 265, 379–390. [Google Scholar] [CrossRef]
- Singh, K.; Ohlan, A.; Pham, V.H.; Balasubramaniyan, R.; Varshney, S.; Jang, J.; Hur, S.H.; Choi, W.M.; Kumar, M.; Dhawan, S.K.; et al. Nanostructured graphene/Fe3O4 incorporated polyaniline as a high performance shield against electromagnetic pollution. Nanoscale 2013, 5, 2411–2420. [Google Scholar] [CrossRef]
- Vargas, L.R.; Poli, A.K.; Dutra, R.D.C.L.; Souza, C.B.D.; Baldan, M.R.; Gonçalves, E.S. Formation of Composite Polyaniline and Graphene Oxide by Physical Mixture Method. J. Aerosp. Technol. Manag. 2017, 9, 29–38. [Google Scholar] [CrossRef]
- Zhao, Y.; Tang, G.S.; Yu, Z.Z.; Qi, J.S. The effect of graphite oxide on the thermoelectric properties of polyaniline. Carbon 2012, 50, 3064–3073. [Google Scholar] [CrossRef]
- Zhang, Y.S.; Xu, W.H.; Yao, W.T.; Yu, S.H. Oxidation− reduction reaction driven approach for hydrothermal synthesis of polyaniline hollow spheres with controllable size and shell thickness. J. Phys. Chem. C 2009, 113, 8588–8594. [Google Scholar] [CrossRef]
- Li, S.; Gao, A.; Yi, F.; Shu, D.; Cheng, H.; Zhou, X.; He, C.; Zeng, D.; Zhang, F. Preparation of carbon dots decorated graphene/polyaniline composites by supramolecular in-situ self-assembly for high-performance supercapacitors. Electrochim. Acta 2019, 297, 1094–1103. [Google Scholar] [CrossRef]
- Asen, P.; Shahrokhian, S. Ternary nanostructures of Cr2O3/graphene oxide/conducting polymers for supercapacitor application. J. Electroanal. Chem. 2018, 823, 505–516. [Google Scholar] [CrossRef]
- Wang, H.; Hao, Q.; Yang, X.; Lu, L.; Wang, X. Effect of graphene oxide on the properties of its composite with polyaniline. ACS Appl. Mater. Interfaces 2010, 2, 821–828. [Google Scholar] [CrossRef] [PubMed]
- Chaudhary, R.G.; Ali, P.; Gandhare, N.V.; Tanna, J.A.; Juneja, H.D. Thermal decomposition kinetics of some transition metal coordination polymers of fumaroyl bis (paramethoxyphenylcarbamide) using DTG/DTA techniques. Arab. J. Chem. 2019, 12, 1070–1082. [Google Scholar] [CrossRef]
- Li, Z.F.; Zhang, H.; Liu, Q.; Liu, Y.; Stanciu, L.; Xie, J. Covalently-grafted polyaniline on graphene oxide sheets for high performance electrochemical supercapacitors. Carbon 2014, 71, 257–267. [Google Scholar] [CrossRef]
- Bilal, S.; Gul, H.; Gul, S.; Shah, A.A. One Pot Synthesis of Highly Thermally Stable Poly (2-Methylaniline) for Corrosion Protection of Stainless Steel. Iran. J. Sci. Technol. Trans. Sci. 2018, 42, 1915–1922. [Google Scholar] [CrossRef]
- Wang, L.; Ye, Y.; Lu, X.; Wen, Z.; Li, Z.; Hou, H.; Song, Y. Hierarchical nanocomposites of polyaniline nanowire arrays on reduced graphene oxide sheets for supercapacitors. Sci. Rep. 2013, 3, 3568. [Google Scholar] [CrossRef]
- Tang, X.Z.; Li, W.; Yu, Z.Z.; Rafiee, M.A.; Rafiee, J.; Yavari, F.; Koratkar, N. Enhanced thermal stability in graphene oxide covalently functionalized with 2-amino-4,6-didodecylamino-1,3,5-triazine. Carbon 2011, 49, 1258–1265. [Google Scholar] [CrossRef]
- Luo, J.; Jiang, S.; Wu, Y.; Chen, M.; Liu, X. Synthesis of stable aqueous dispersion of graphene/polyaniline composite mediated by polystyrene sulfonic acid. J. Polym. Sci. Part A Polym. Chem. 2011, 50, 4888–4894. [Google Scholar] [CrossRef]
- Wang, J.; Wu, J.; Bai, H. Degradation-induced capacitance: A new insight into the superior capacitive performance of polyaniline/graphene composites. Energy Environ. Sci. 2017, 10, 2372–2382. [Google Scholar]
- Li, J.; Xie, H.; Li, Y. Electrochemical Performance of Graphene Oxide/Polyaniline Composite for Supercapacitor Electrode. J. Nanosci. Nanotechnol. 2015, 15, 3280–3283. [Google Scholar] [CrossRef] [PubMed]
- Zhang, L.; Huang, D.; Hu, N.; Yang, C.; Li, M.; Wei, H.; Yang, Z.; Su, Y.; Zhang, Y. Three-dimensional structures of graphene/polyaniline hybrid films constructed by steamed water for high-performance supercapacitors. J. Power Sources 2017, 342, 1–8. [Google Scholar] [CrossRef]
- Li, X.; Zhang, C.; Xin, S.; Yang, Z.; Li, Y.; Zhang, D.; Yao, P. Facile synthesis of MoS2/reduced graphene oxide@ polyaniline for high-performance supercapacitors. ACS Appl. Mater. Interfaces 2016, 8, 21373–21380. [Google Scholar] [CrossRef] [PubMed]
- Wu, J.; Wang, J.; Huang, X.; Bai, H. A self-assembly route to porous polyaniline/reduced graphene oxide composite materials with molecular-level uniformity for high-performance supercapacitors. Energy Environ. Sci. 2018, 11, 1280–1286. [Google Scholar] [CrossRef]
- Lee, J.W.; Lee, J.U.; Jo, J.W.; Bae, S.; Kim, K.T.; Jo, W.H. In-situ preparation of graphene/poly (styrenesulfonic acid-graft-polyaniline) nanocomposite via direct exfoliation of graphite for supercapacitor application. Carbon 2016, 105, 191–198. [Google Scholar] [CrossRef]
- Zhang, Q.; Li, Y.; Feng, Y.; Feng, W. Electropolymerization of graphene oxide/polyaniline composite for high-performance supercapacitor. Electrochim. Acta 2013, 90, 95–100. [Google Scholar] [CrossRef]
- Ates, M.; El-Kady, M.; Kaner, R.B. Three-dimensional design and fabrication of reduced graphene oxide/polyaniline composite hydrogel electrodes for high performance electrochemical supercapacitors. Nanotechnology 2018, 29, 175402. [Google Scholar] [CrossRef]
- Li, R.; Dong, X.; He, C.; Liu, Z.; Huang, L.; Yang, Y. Graphene-enabled improved supercapacitor performance of polyaniline nanofiber composites. Int. J. Electrochem. Sci. 2017, 12, 144–154. [Google Scholar] [CrossRef]
- Ma, Y.; Zhao, D.; Chen, Y.; Huang, J.; Zhang, Z.; Zhang, X.; Zhang, B. A novel core-shell polyaniline/graphene oxide/copper nanocomposite for high performance and low-cost supercapacitors. Chem. Pap. 2019, 73, 119–129. [Google Scholar] [CrossRef]
- Moyseowicz, A.; Gryglewicz, G. Hydrothermal-assisted synthesis of a porous polyaniline/reduced graphene oxide composite as a high-performance electrode material for supercapacitors. Compo. Part B Eng. 2019, 159, 4–12. [Google Scholar] [CrossRef]
- Liu, J.; Du, P.; Wang, Q.; Liu, D.; Liu, P. Mild synthesis of holey N-doped reduced graphene oxide and its double-edged effects in polyaniline hybrids for supercapacitor application. Electrochim. Acta 2019, 305, 175–186. [Google Scholar] [CrossRef]
- Bao, C.; He, Q.; Han, J.; Cheng, J.; Zhang, R. Functionalized graphene–polyaniline nanocomposite as electrode material for asymmetric supercapacitors. J. Solid State Electrochem. 2018, 22, 2917–2928. [Google Scholar] [CrossRef]
- Zheng, X.; Yu, H.; Xing, R.; Ge, X.; Sun, H.; Li, R.; Zhang, Q. Multi-growth site graphene/polyaniline composites with highly enhanced specific capacitance and rate capability for supercapacitor application. Electrochim. Acta 2018, 260, 504–513. [Google Scholar] [CrossRef]
- Gao, Z.; Wang, F.; Chang, J.; Wu, D.; Wang, X.; Wang, X.; Xu, F.; Gao, S.; Jiang, K. Chemically grafted graphene-polyaniline composite for application in supercapacitor. Electrochim. Acta 2014, 133, 325–334. [Google Scholar] [CrossRef]
- Ravi, B.; Rajender, B.; Palaniappan, S. Improving the electrochemical performance by sulfonation of polyaniline-graphene-silica composite for high performance supercapacitor. Int. J. Polym. Mater. Polym. Biomater. 2016, 65, 835–840. [Google Scholar] [CrossRef]
- Javed, M.S.; Dai, S.; Wang, M.; Guo, D.; Chen, L.; Wang, X.; Hu, C.; Xi, Y. High performance solid state flexible supercapacitor based on molybdenum sulfide hierarchical nanospheres. J. Power Sources 2015, 285, 63–69. [Google Scholar] [CrossRef]
- Bilal, S.; Fahim, M.; Firdous, I.; Shah, A.H.A. Insight into capacitive performance of polyaniline/graphene oxide composites with ecofriendly binder. Appl. Surf. Sci. 2018, 435, 91–101. [Google Scholar] [CrossRef]
- Xu, H.; Tang, J.; Chen, Y.; Liu, J.; Pu, J.; Li, Q. Zn2+-Doped Polyaniline/Graphene Oxide as Electrode Material for Electrochemical Supercapacitors. J. Electron. Mater. 2017, 46, 6150–6157. [Google Scholar] [CrossRef]
- Lin, Y.; Zhang, H.; Deng, W.; Zhang, D.; Li, N.; Wu, Q.; He, C. In-situ growth of high-performance all-solid-state electrode for flexible supercapacitors based on carbon woven fabric/polyaniline/graphene composite. J. Power Sources 2018, 384, 278–286. [Google Scholar] [CrossRef]
- Bilal, S.; Begum, B.; Gul, S.; Shah, A.H.A. PANI/DBSA/H2SO4: A promising and highly efficient electrode material for aqueous supercapacitors. Synth. Met. 2018, 235, 1–15. [Google Scholar] [CrossRef]
- Ghenaatian, H.R.; Mousavi, M.F.; Rahmanifar, M.S. High performance hybrid supercapacitor based on two nanostructured conducting polymers: Self-doped polyaniline and polypyrrole nanofibers. Electrochim. Acta 2012, 78, 212–222. [Google Scholar] [CrossRef]
- Girija, T.C.; Sangaranarayanan, M.V. Polyaniline-based nickel electrodes for electrochemical supercapacitors—Influence of Triton X-100. J. Power Sources 2006, 159, 1519–1526. [Google Scholar] [CrossRef]
- Qin, G.; Zhang, H.; Liao, H.; Li, Z.; Tian, J.; Lin, Y.; Zhang, D.; Wu, Q. Novel graphene nanosheet-wrapped polyaniline rectangular-like nanotubes for flexible all-solid-state supercapacitors. J. Mater. Sci. 2017, 52, 10981–10992. [Google Scholar] [CrossRef]
- Rose, A.; Prasad, K.G.; Sakthivel, T.; Gunasekaran, V.; Maiyalagan, T.; Vijayakumar, T. Electrochemical analysis of Graphene Oxide/Polyaniline/Polyvinyl alcohol composite nanofibers for supercapacitor applications. Appl. Surf. Sci. 2018, 449, 551–557. [Google Scholar] [CrossRef]
- Cong, H.P.; Ren, X.C.; Wang, P.; Yu, S.H. Flexible graphene–polyaniline composite paper for high-performance supercapacitor. Energy Environ. Sci. 2013, 6, 1185–1191. [Google Scholar] [CrossRef]
- Zhou, Q.; Li, Y.; Huang, L.; Li, C.; Shi, G. Three-dimensional porous graphene/polyaniline composites for high-rate electrochemical capacitors. J. Mater. Chem. A 2014, 2, 17489–17494. [Google Scholar] [CrossRef]
- Tabrizi, A.G.; Arsalani, N.; Mohammadi, A.; Ghadimi, L.S.; Ahadzadeh, I. High-performance asymmetric supercapacitor based on hierarchical nanocomposites of polyaniline nanoarrays on graphene oxide and its derived N-doped carbon nanoarrays grown on graphene sheets. J. Colloid Interface Sci. 2018, 531, 369–381. [Google Scholar] [CrossRef]
- Pan, C.; Gu, H.; Dong, L. Synthesis and electrochemical performance of polyaniline@ MnO2/graphene ternary composites for electrochemical supercapacitors. J. Power Sources 2016, 303, 175–181. [Google Scholar] [CrossRef]













| S. No | Sample Code | DBSA (mL) | H2SO4 (M) | GO Amount (%) |
|---|---|---|---|---|
| 1 | PANI-GO-1 | 2.3 | 1.1 | 1 |
| 2 | PANI-GO-2 | 2.3 | 1.1 | 2 |
| 3 | PANI-GO-4 | 2.3 | 1.1 | 4 |
| 4 | PANI-GO-6 | 2.3 | 1.1 | 6 |
| 5 | PANI-GO-8 | 2.3 | 1.1 | 8 |
| 6 | PANI-GO-10 | 2.3 | 1.1 | 10 |
| 7 | PANI | 2.3 | 1.1 | 0 |
| S. No | Sample Name | Specific Capacitance Value at 10 A/g (F/g) |
|---|---|---|
| 1 | PANI-GO-1 | 323 |
| 2 | PANI-GO-2 | 345 |
| 3 | PANI-GO-4 | 417 |
| 4 | PANI-GO-nanocomposite | 658 |
| 5 | PANI-GO-8 | 387 |
| 6 | PANI-GO-10 | 355 |
| 7 | PANI | 158 |
| Sample Name | BET Surface Area (m2/g) | Average Pore Volume (cc/g) | Average Pore Radius (Å) |
|---|---|---|---|
| PANI-GO-1 | 9.865 | 0.010 | 21.022 |
| PANI-GO-2 | 19.067 | 0.019 | 19.374 |
| PANI-GO-4 | 30.664 | 0.027 | 17.387 |
| PANI-GO-nanocomposite | 39.595 | 0.037 | 14.561 |
| PANI-GO-8 | 6.086 | 0.005 | 15.717 |
| PANI-GO-10 | 4.307 | 0.004 | 18.370 |
| PNAI | 1.998 | 0.002 | 15.768 |
| S. No | Material Used | Specific Capacitance (F g−1) | Current Density (A g−1) | Reference |
|---|---|---|---|---|
| 1 | Graphene/polyaniline composite hydrogels | 180 | 10 | [57] |
| 2 | Graphene/PANI nanofiber composites | 645 | 10 | [58] |
| 3 | PANI/GO/Cu composite | 372.1 | 10 | [59] |
| 4 | PANI/rGO-HT | 320 | 10 | [60] |
| 5 | H-NrGO/PANI-10 | 440 | 10 | [61] |
| 6 | PANI/SG | 572.2 | 10 | [62] |
| 7 | PANI-GO-nanocomposite | 658 | 10 | Present work |
| S. No | Current Density (A/g) | Specific Capacitance (F/g) |
|---|---|---|
| 1 | 10 | 658 |
| 2 | 30 | 597 |
| 3 | 50 | 561 |
| S.NO | Sample | Rs/Ohm | Rct/Ohm | ESR/Ohm |
|---|---|---|---|---|
| 1 | PANI-GO-1 | 0.621 | 0.410 | 0.761 |
| 2 | PANI-GO-2 | 0.669 | 0.092 | 0.761 |
| 3 | PANI-GO-4 | 0.540 | 0.129 | 0.669 |
| 4 | PANI-GO-nanocomposite | 0.521 | 0.140 | 0.661 |
| 5 | PANI-GO-8 | 0.542 | 0.182 | 0.724 |
| 6 | PANI-GO-10 | 1.43 | 0.180 | 1.61 |
| 7 | PANI | 0.468 | 4.412 | 4.88 |
| S. No | Sample Name | Frequency (f0), Hz | Time Constant (s) |
|---|---|---|---|
| 1 | PANI-GO-1 | 1.267 | 0.789 |
| 2 | PANI-GO-2 | 0.633 | 1.579 |
| 3 | PANI-GO-4 | 1.267 | 0.789 |
| 4 | PANI-GO-nanocomposite | 1.585 | 0.630 |
| 5 | PANI-GO-8 | 1.267 | 0.789 |
| 6 | PANI-GO-10 | 0.504 | 1.98 |
| 7 | PANI | 0.504 | 1.98 |
© 2020 by the authors. Licensee MDPI, Basel, Switzerland. This article is an open access article distributed under the terms and conditions of the Creative Commons Attribution (CC BY) license (http://creativecommons.org/licenses/by/4.0/).
Share and Cite
Gul, H.; Shah, A.-u.-H.A.; Krewer, U.; Bilal, S. Study on Direct Synthesis of Energy Efficient Multifunctional Polyaniline–Graphene Oxide Nanocomposite and Its Application in Aqueous Symmetric Supercapacitor Devices. Nanomaterials 2020, 10, 118. https://doi.org/10.3390/nano10010118
Gul H, Shah A-u-HA, Krewer U, Bilal S. Study on Direct Synthesis of Energy Efficient Multifunctional Polyaniline–Graphene Oxide Nanocomposite and Its Application in Aqueous Symmetric Supercapacitor Devices. Nanomaterials. 2020; 10(1):118. https://doi.org/10.3390/nano10010118
Chicago/Turabian StyleGul, Hajera, Anwar-ul-Haq Ali Shah, Ulrike Krewer, and Salma Bilal. 2020. "Study on Direct Synthesis of Energy Efficient Multifunctional Polyaniline–Graphene Oxide Nanocomposite and Its Application in Aqueous Symmetric Supercapacitor Devices" Nanomaterials 10, no. 1: 118. https://doi.org/10.3390/nano10010118
APA StyleGul, H., Shah, A.-u.-H. A., Krewer, U., & Bilal, S. (2020). Study on Direct Synthesis of Energy Efficient Multifunctional Polyaniline–Graphene Oxide Nanocomposite and Its Application in Aqueous Symmetric Supercapacitor Devices. Nanomaterials, 10(1), 118. https://doi.org/10.3390/nano10010118

