Working Smarter: Work-Related Emotional Intelligence and the Family-Work Interface
Abstract
1. Introduction
2. Study 1
3. Method
3.1. Sample and Its Recruitment
3.2. Work-Related Emotional Intelligence
3.3. Work-Family and Family-Work Conflict
3.4. Counterproductive Work Behavior
3.5. Work-Related Burnout
4. Results
4.1. Zero-Order Correlations
4.2. Mediation Through Family-Work Conflict
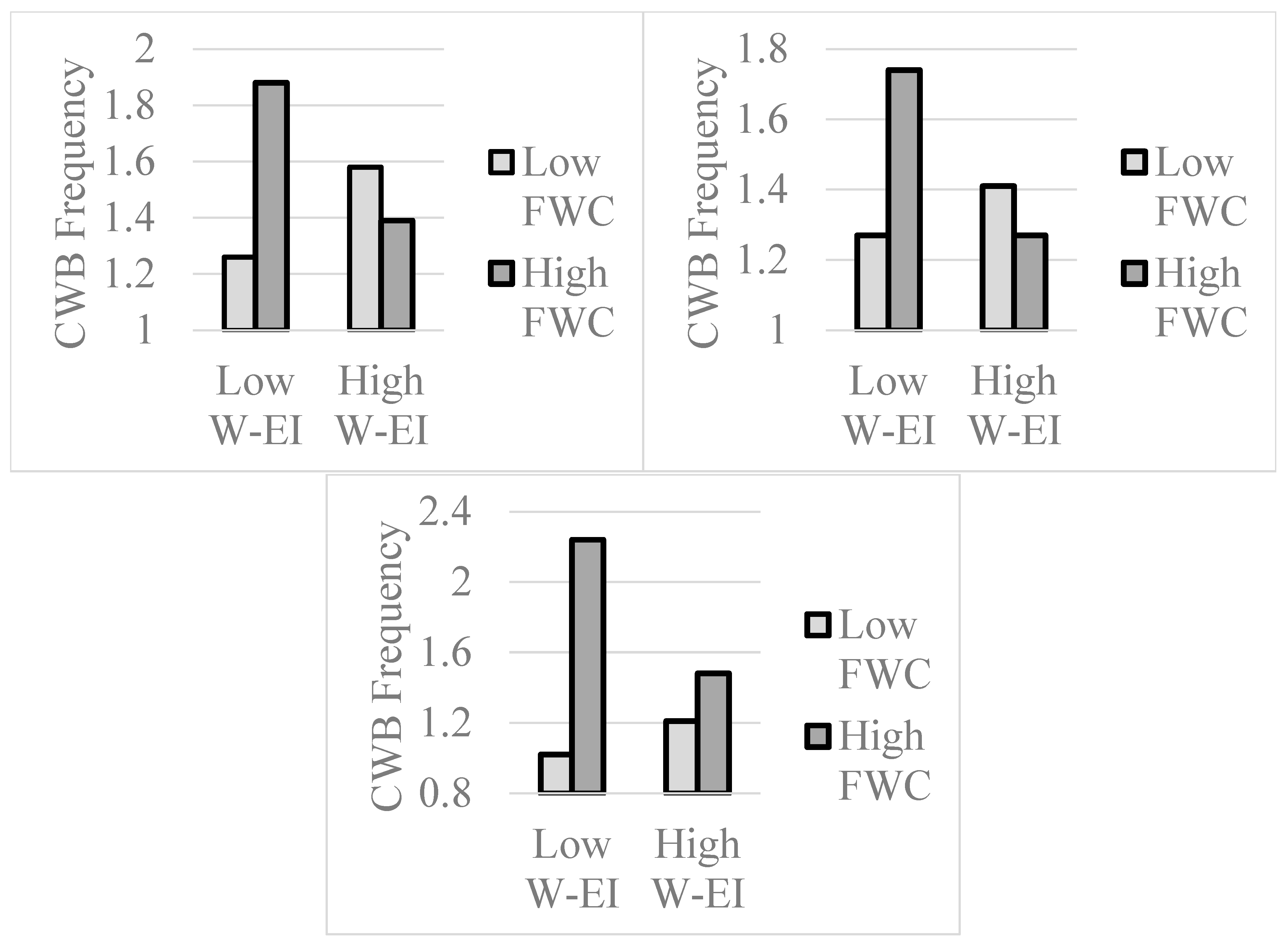
4.3. Results Involving Moderation
5. Discussion and Study 2
6. Method
6.1. Sample and Its Recruitment
6.2. Work-Related Emotional Intelligence
6.3. Work-Family and Family-Work Conflict
6.4. Counterproductive Work Behavior
6.5. Work-Related Burnout
7. Results
7.1. Zero-Order Correlations
7.2. Mediation Through Family-Work Conflict
7.3. Results Involving Moderation
8. Discussion and Study 3
9. Method
9.1. Sample and Its Recruitment
9.2. Work-Related Emotional Intelligence
9.3. Family-Work Conflict
9.4. Counterproductive Work Behavior
9.5. Work-Related Burnout
10. Results
10.1. Zero-Order Correlations
10.2. Mediation Through Family-Work Conflict
10.3. Results Involving Moderation
11. Discussion
12. General Discussion
12.1. Further Implications
12.2. Questions, Limitations, and Future Directions
12.3. Conclusions
Author Contributions
Funding
Institutional Review Board Statement
Informed Consent Statement
Data Availability Statement
Conflicts of Interest
References
- Aiken, Leona S., and Stephen G. West. 1991. Multiple Regression: Testing and Interpreting Interactions. Thousand Oaks: Sage Publications. [Google Scholar]
- Allen, Tammy D., Eunae Cho, and Laurenz L. Meier. 2014. Work-family boundary dynamics. Annual Review of Organizational Psychology and Organizational Behavior 1: 99–121. [Google Scholar] [CrossRef]
- Allen, Tammy D., Ryan C. Johnson, Kristin N. Saboe, Eunae Cho, Soner Dumani, and Sarah Evans. 2012. Dispositional variables and work-family conflict: A meta-analysis. Journal of Vocational Behavior 80: 17–26. [Google Scholar] [CrossRef]
- Åkerlind, Gerlese S. 2005. Postdoctoral researchers: Roles, functions and career prospects. Higher Education Research & Development 24: 21–40. [Google Scholar] [CrossRef]
- Balducci, Cristian, Wilmar B. Schaufeli, and Franco Fraccaroli. 2011. The job demands-resources model and counterproductive work behaviour: The role of job-related affect. European Journal of Work and Organizational Psychology 20: 467–96. [Google Scholar] [CrossRef]
- Berkowitz, Leonard. 1983. Aversively stimulated aggression: Some parallels and differences in research with animals and humans. American Psychologist 38: 1135–44. [Google Scholar] [CrossRef]
- Berry, Christopher M., Nichelle C. Carpenter, and Clare L. Barratt. 2012. Do other-reports of counterproductive work behavior provide an incremental contribution over self-reports? A meta-analytic comparison. Journal of Applied Psychology 97: 613–36. [Google Scholar] [CrossRef]
- Bowling, Nathan A., and Gary N. Burns. 2010. A comparison of work-specific and general personality measures as predictors of work and non-work criteria. Personality and Individual Differences 49: 95–101. [Google Scholar] [CrossRef]
- Burke, Ronald J., and Esther R. Greenglass. 2001. Hospital restructuring, work-family conflict and psychological burnout among nursing staff. Psychology & Health 16: 583–94. [Google Scholar] [CrossRef]
- Byron, Kristin. 2005. A meta-analytic review of work-family conflict and its antecedents. Journal of Vocational Behavior 67: 169–98. [Google Scholar] [CrossRef]
- Campbell, Donald J., and Orly Ben-Yoav Nobel. 2009. Occupational stressors in military service: A review and framework. Military Psychology 21: S47–S67. [Google Scholar] [CrossRef]
- Carpenter, Nichelle C., Bertha Rangel, Gahyun Jeon, and Jonathan Cottrell. 2017. Are supervisors and coworkers likely to witness employee counterproductive work behavior? An investigation of observability and self-observer convergence. Personnnel Psychology 70: 843–89. [Google Scholar] [CrossRef]
- Caruso, David R., Hemangi Bhalerao, and Shailaja Karve. 2016. Special issue on emotional intelligence. Business Perspectives and Research 4: ix–xii. [Google Scholar] [CrossRef]
- Carver, Charles S., and Sheri L. Johnson. 2018. Impulsive reactivity to emotion and vulnerability to psychopathology. American Psychologist 73: 1067–78. [Google Scholar] [CrossRef]
- Carver, Charles S., Sheri L. Johnson, and Jutta Joormann. 2009. Two-mode models of self-regulation as a tool for conceptualizing effects of the serotonin system in normal behavior and diverse disorders. Current Directions in Psychological Science 18: 195–99. [Google Scholar] [CrossRef]
- Chen, Shuhua, Lynn McAlpine, and Cheryl Amundsen. 2015. Postdoctoral positions as preparation for desired careers: A narrative approach to understanding postdoctoral experience. Higher Education Research & Development 34: 1083–96. [Google Scholar] [CrossRef]
- Corstjens, Jan, Filip Lievens, and Stefan Krumm. 2017. Situational judgement tests for selection. In The Wiley Blackwell Handbook of Recruitment, Selection and Employee Retention. Edited by Harold W. Goldstein, Elaine D. Pulakos, Jonathan Passmore and Carla Semedo. Hoboken: Wiley-Blackwell, pp. 226–46. [Google Scholar] [CrossRef]
- Côté, Stéphane. 2014. Emotional intelligence in organizations. Annual Review of Organizational Psychology and Organizational Behavior 1: 459–88. [Google Scholar] [CrossRef]
- Cyders, Melissa A., and Gregory T. Smith. 2008. Emotion-based dispositions to rash action: Positive and negative urgency. Psychological Bulletin 134: 807–28. [Google Scholar] [CrossRef]
- Dalal, Reeshad S., Balca Alaybek, and Filip Lievens. 2020. Within-person job performance variability over short timeframes: Theory, empirical research, and practice. Annual Review of Organizational Psychology and Organizational Behavior 7: 421–49. [Google Scholar] [CrossRef]
- Dasborough, Marie T., Neal M. Ashkanasy, Ronald H. Humphrey, Peter D. Harms, Marcus Crede, and Dustin Wood. 2022. Does leadership still not need emotional intelligence? Continuing “the great EI debate”. The Leadership Quarterly 33: 101539. [Google Scholar] [CrossRef]
- Daus, Catherine S., and Mary Sue Love. 2020. Advancing the field: Reviewing the status of emotional intelligence in the workplace. In The Cambridge Handbook of Workplace Affect. Edited by Liu-Qin Yang, Russell Cropanzano, Catherine S. Daus and Vicente Martinez-Tur. New York: Cambridge University Press, pp. 160–73. [Google Scholar] [CrossRef]
- Fong, Ted C. T., Rainbow T. H. Ho, and S. M. Ng. 2014. Psychometric properties of the Copenhagen Burnout Inventory-Chinese version. The Journal of Psychology: Interdisciplinary and Applied 148: 255–66. [Google Scholar] [CrossRef]
- Ford, Michael T., Beth A. Heinen, and Krista L. Langkamer. 2007. Work and family satisfaction and conflict: A meta-analysis of cross-domain relations. Journal of Applied Psychology 92: 57–80. [Google Scholar] [CrossRef] [PubMed]
- Ford, Michael T., Russell A. Matthews, Jessica D. Wooldridge, Vipanchi Mishra, Urszula M. Kakar, and Sarah R. Strahan. 2014. How do occupational stressor-strain effects vary with time? A review and meta-analysis of the relevance of time lags in longitudinal studies. Work & Stress 28: 9–30. [Google Scholar] [CrossRef]
- Fox, Suzy, Paul E. Spector, and Don Miles. 2001. Counterproductive work behavior (CWB) in response to job stressors and organizational justice: Some mediator and moderator tests for autonomy and emotions. Journal of Vocational Behavior 59: 291–309. [Google Scholar] [CrossRef]
- Frijda, Nico H. 2010. Impulsive action and motivation. Biological Psychology 84: 570–79. [Google Scholar] [CrossRef]
- Gratz, Kim L., and Matthew T. Tull. 2010. Emotion regulation as a mechanism of change in acceptance- and mindfulness-based treatments. In Assessing Mindfulness and Acceptance Processes in Clients: Illuminating the Theory and Practice of Change. Edited by R. A. Baer. Oakland: Context Press, pp. 107–33. [Google Scholar]
- Greenhaus, Jeffrey H., and Nicholas J. Beutell. 1985. Sources and conflict between work and family roles. The Academy of Management Review 10: 76–88. [Google Scholar] [CrossRef]
- Greenidge, Dion, and Iain Coyne. 2014. Job stressors and voluntary work behaviours: Mediating effect of emotion and moderating roles of personality and emotional intelligence. Human Resource Management Journal 24: 479–95. [Google Scholar] [CrossRef]
- Hayes, Andrew F. 2013. Introduction to Mediation, Moderation, and Conditional Process Analysis: A Regression-Based Approach. New York: Guilford Press. [Google Scholar]
- Hodzic, Sabina, Jana Scharfen, Pilar Ripoll, Heinz Holling, and Franck Zenasni. 2018. How efficient are emotional intelligence trainings: A meta-analysis. Emotion Review 10: 138–48. [Google Scholar] [CrossRef]
- Kelloway, E. Kevin, Benjamin H. Gottlieb, and Lisa Barham. 1999. The source, nature, and direction of work and family conflict: A longitudinal investigation. Journal of Occupational Health Psychology 4: 337–46. [Google Scholar] [CrossRef]
- Kossek, Ellen E., and Brenda A. Lautsch. 2012. Work-family boundary management styles in organizations: A cross-level model. Organizational Psychology Review 2: 152–71. [Google Scholar] [CrossRef]
- Kossek, Ellen E., Marian N. Ruderman, Phillip W. Braddy, and Kelly M. Hannum. 2012. Work-nonwork boundary management profiles: A person-centered approach. Journal of Vocational Behavior 81: 112–28. [Google Scholar] [CrossRef]
- Kotsou, Ilios, Moîra Mikolajczak, Alexandre Heeren, Jacques Grégoire, and Christophe Leys. 2019. Improving emotional intelligence: A systematic review of existing work and future challenges. Emotion Review 11: 151–65. [Google Scholar] [CrossRef]
- Krishnakumar, Sukumarakurup, and Michael D. Robinson. 2015. Maintaining an even keel: An affect-mediated model of mindfulness and hostile work behavior. Emotion 15: 579–89. [Google Scholar] [CrossRef]
- Krishnakumar, Sukumarakurup, Buddhika Perera, Kay Hopkins, and Michael D. Robinson. 2019b. On being nice and effective: Work-related emotional intelligence and its role in conflict resolution and interpersonal problem-solving. Conflict Resolution Quarterly 37: 147–67. [Google Scholar] [CrossRef]
- Krishnakumar, Sukumarakurup, Buddhika Perera, Michelle R. Persich, and Michael D. Robinson. 2019a. Affective and effective: Military job performance as a function of work-related emotional intelligence. International Journal of Selection and Assessment 27: 203–15. [Google Scholar] [CrossRef]
- Krishnakumar, Sukumarakurup, Kay Hopkins, and Michael D. Robinson. 2017. When feeling poorly at work does not mean acting poorly at work: The moderating role of work-related emotional intelligence. Motivation and Emotion 41: 122–34. [Google Scholar] [CrossRef]
- Krishnakumar, Sukumarakurup, Kay Hopkins, Joseph G. Szmerekovsky, and Michael D. Robinson. 2016. Assessing workplace emotional intelligence: Development and validation of an ability-based measure. The Journal of Psychology: Interdisciplinary and Applied 150: 371–404. [Google Scholar] [CrossRef]
- Kristensen, Tage S., Marianne Borritz, Ebbe Villadsen, and Karl B. Chirstensen. 2005. The Copenhagen Burnout Inventory: A new tool for the assessment of burnout. Work & Stress 19: 192–207. [Google Scholar] [CrossRef]
- Libbrecht, Nele, and Filip Lievens. 2012. Validity evidence for the situational judgment test paradigm in emotional intelligence measurement. International Journal of Psychology 47: 438–47. [Google Scholar] [CrossRef]
- MacKinnon, David P., and Amanda J. Fairchild. 2009. Current directions in mediation analysis. Current Directions in Psychological Science 18: 16–20. [Google Scholar] [CrossRef]
- Maslach, Christina. 2003. Job burnout: New directions in research and intervention. Current Directions in Psychological Science 12: 189–92. [Google Scholar] [CrossRef]
- Maslach, Christina, Wilmar B. Schaufeli, and Michael P. Leiter. 2001. Job burnout. Annual Review of Psychology 52: 397–422. [Google Scholar] [CrossRef] [PubMed]
- Mayer, John D., David R. Caruso, and Peter Salovey. 2016. The ability model of emotional intelligence: Principles and updates. Emotion Review 8: 290–300. [Google Scholar] [CrossRef]
- Mayer, John D., Peter Salovey, and David R. Caruso. 2008. Emotional intelligence: New ability or eclectic traits? American Psychologist 63: 503–17. [Google Scholar] [CrossRef] [PubMed]
- Mayer, John D., Peter Salovey, David R. Caruso, and Gill Sitarenios. 2003. Measuring emotional intelligence with the MSCEIT V2.0. Emotion 3: 97–105. [Google Scholar] [CrossRef]
- McDaniel, Michael A., Nathan S. Hartman, Deborah L. Whetzel, and W. Lee Grubb. 2007. Situational judgment tests, response instructions, and validity: A meta-analysis. Personnel Psychology 60: 63–91. [Google Scholar] [CrossRef]
- Miao, Chao, Ronald H. Humphrey, and Shanshan Qian. 2017a. A meta-analysis of emotional intelligence effects on job satisfaction mediated by job resources, and a test of moderators. Personality and Individual Differences 116: 281–88. [Google Scholar] [CrossRef]
- Miao, Chao, Ronald H. Humphrey, and Shanshan Qian. 2017b. Are the emotionally intelligent good citizens or counterproductive? A meta-analysis of emotional intelligence and its relationships with organizational citizenship behavior and counterproductive work behavior. Personality and Individual Differences 116: 144–56. [Google Scholar] [CrossRef]
- Michel, Jesse S., Lindsey M. Kotrba, Jacqueline K. Mitchelson, Malissa A. Clark, and Boris B. Baltes. 2011. Antecedents of work-family conflict: A meta-analytic review. Journal of Organizational Behavior 32: 689–725. [Google Scholar] [CrossRef]
- Miners, Christopher T.H., Stephane Cote, and Filip Lievens. 2018. Assessing the validity of emotional intelligence measures. Emotion Review 10: 87–95. [Google Scholar] [CrossRef]
- Netemeyer, Richard G., James S. Boles, and Robert McMurrian. 1996. Development and validation of work-family conflict and family-work conflict scales. Journal of Applied Psychology 81: 400–10. [Google Scholar] [CrossRef]
- Nohe, Christoph, Alexandra Michel, and Karlheinz Sonntag. 2014. Family-work conflict and job performance: A diary study of boundary conditions and mechanisms. Journal of Organizational Behavior 35: 339–57. [Google Scholar] [CrossRef]
- Peña-Sarrionandia, Ainize, Moira Mikolajczak, and James J. Gross. 2015. Integrating emotion regulation and emotional intelligence traditions: A meta-analysis. Frontiers in Psychology 6: 60. [Google Scholar] [CrossRef] [PubMed]
- Radzali, Farah M., Aminah Ahmad, and Zoharah Omar. 2013. Workload, job stress, family-to-work conflict and deviant workplace behavior. International Journal of Academic Research in Business and Social Sciences 3: 109–15. [Google Scholar] [CrossRef] [PubMed]
- Redmond, Sarah A., Sherrie L. Wilcox, Shawna Campbell, Alice Kim, Kimberly Finney, Kaytlin Barr, and Anthony M. Hassan. 2015. A brief introduction to the military workplace culture. Work: Journal of Prevention, Assessment & Rehabilitation 50: 9–20. [Google Scholar] [CrossRef]
- Rich, Bruce Louis, Jeffery A. LePine, and Eean R. Crawford. 2010. Job engagement: Antecedents and effects on job performance. Academy of Management Journal 53: 617–35. [Google Scholar] [CrossRef]
- Roberts, Richard D., Carolyn MacCann, Gerald Matthews, and Moshe Zeidner. 2010. Emotional intelligence: Toward a consensus of models and measures. Social and Personality Psychology Compass 4: 821–40. [Google Scholar] [CrossRef]
- Robinson, Michael D. 2024. Ability-related emotional intelligence: An introduction. Journal of Intelligence 12: 51. [Google Scholar] [CrossRef]
- Robinson, Michael D., Michelle R. Persich, Cassandra Stawicki, and Sukumarakurup Krishnakumar. 2019. Deviant workplace behavior as emotional action: Discriminant and interactive roles for work-related emotional intelligence. Human Performance 32: 201–19. [Google Scholar] [CrossRef]
- Robinson, Michael D., Roberta L. Irvin, and Sukumarakurup Krishnakumar. 2023. Affectively effective: Work-related emotional intelligence as a predictor of organizational citizenship. Frontiers in Psychology 14: 1092254. [Google Scholar] [CrossRef]
- Robinson, Michael D., Roberta L. Irvin, Michelle R. Persich, and Sukumarakurup Krishnakumar. 2020. Bipolar or independent? Relations between positive and negative affect vary by emotional intelligence. Affective Science 1: 225–36. [Google Scholar] [CrossRef]
- Rothausen, Teresa J. 1999. ‘Family’ in organizational research: A review and comparison of definitions and measures. Journal of Organizational Behavior 20: 817–36. [Google Scholar] [CrossRef]
- Sackett, Paul R., Filip Lievens, Chad H. Van Iddekinge, and Nathan R. Kuncel. 2017. Individual differences and their measurement: A review of 100 years of research. Journal of Applied Psychology 102: 254–73. [Google Scholar] [CrossRef] [PubMed]
- Settles, Regan E., Sarah Fischer, Melissa A. Cyders, Jessica L. Combs, Rachel L. Gunn, and Gregory T. Smith. 2012. Negative urgency: A personality predictor of externalizing behavior characterized by neuroticism, low conscientiousness, and disagreeableness. Journal of Abnormal Psychology 121: 160–72. [Google Scholar] [CrossRef] [PubMed]
- Shaffer, Jonathan A., and Bennett E. Postlethwaite. 2012. A matter of context: A meta-analytic investigation of the relative validity of contextualized and noncontextualized personality measures. Personnel Psychology 65: 445–93. [Google Scholar] [CrossRef]
- Shockley, Kristen M., Dan Ispas, Michael E. Rossi, and Edward L. Levine. 2012. A meta-analytic investigation of the relationship between state affect, discrete emotions, and job performance. Human Performance 25: 377–411. [Google Scholar] [CrossRef]
- Spector, Paul E. 2002. Employee control and occupational stress. Current Directions in Psychological Science 11: 133–36. [Google Scholar] [CrossRef]
- Spector, Paul E. 2011. The relationship of personality to counterproductive work behavior (CWB): An integration of perspectives. Human Resource Management Review 21: 342–52. [Google Scholar] [CrossRef]
- Spector, Paul E., Jeremy A. Bauer, and Suzy Fox. 2010. Measurement artifacts in the assessment of counterproductive work behavior and organizational citizenship behavior: Do we know what we think we know? Journal of Applied Psychology 95: 781–90. [Google Scholar] [CrossRef] [PubMed]
- Vuga, Janja, and Jelena Juvan. 2013. Work-family conflict between two greedy institutions—the family and the military. Current Sociology 61: 1058–77. [Google Scholar] [CrossRef]
- Wiley, Donna L. 1987. The relationship between work/nonwork role conflict and job-related outcomes: Some unanticipated findings. Journal of Management 13: 467–72. [Google Scholar] [CrossRef]
- Ybarra, Oscar, Ethan Kross, and Jeffrey Sanchez-Burks. 2014. The ‘big idea’ that is yet to be: Toward a more motivated, contextual, and dynamic model of emotional intelligence. The Academy of Management Perspectives 28: 93–107. [Google Scholar] [CrossRef]




| Variable | M | SD | 1 | 2 | 3 | 4 | 5 |
|---|---|---|---|---|---|---|---|
| 1. W-EI | 0.33 | 0.05 | — | ||||
| 2. FWC | 2.55 | 1.39 | −0.21 * | — | |||
| 3. WFC | 3.98 | 1.78 | −0.03 | 0.39 ** | — | ||
| 4. CWB | 1.57 | 0.59 | −0.11 | 0.23 ** | 0.20 * | — | |
| 5. Burnout | 2.78 | 0.92 | −0.02 | 0.36 ** | 0.52 ** | 0.41 ** | — |
| Variable | M | SD | 1 | 2 | 3 | 4 | 5 |
|---|---|---|---|---|---|---|---|
| 1. W-EI | 0.32 | 0.04 | — | ||||
| 2. FWC | 2.78 | 1.43 | −0.28 ** | — | |||
| 3. WFC | 4.06 | 1.71 | −0.01 | 0.47 ** | — | ||
| 4. CWB | 1.44 | 0.55 | −0.36 ** | 0.25 ** | 0.17 * | — | |
| 5. Burnout | 2.75 | 0.87 | −0.19 ** | 0.31 ** | 0.52 ** | 0.20 * | — |
| Variable | M | SD | 1 | 2 | 3 | 4 |
|---|---|---|---|---|---|---|
| 1. W-EI | 0.32 | 0.05 | — | |||
| 2. FWC | 2.77 | 1.81 | −0.54 ** | — | ||
| 3. CWB | 1.61 | 0.90 | −0.50 ** | 0.59 ** | — | |
| 4. Burnout | 2.56 | 0.94 | −0.23 ** | 0.41 ** | 0.39 ** | — |
Disclaimer/Publisher’s Note: The statements, opinions and data contained in all publications are solely those of the individual author(s) and contributor(s) and not of MDPI and/or the editor(s). MDPI and/or the editor(s) disclaim responsibility for any injury to people or property resulting from any ideas, methods, instructions or products referred to in the content. |
© 2025 by the authors. Licensee MDPI, Basel, Switzerland. This article is an open access article distributed under the terms and conditions of the Creative Commons Attribution (CC BY) license (https://creativecommons.org/licenses/by/4.0/).
Share and Cite
Robinson, M.D.; Chen, K.X.; Krishnakumar, S.; Irvin, R.L. Working Smarter: Work-Related Emotional Intelligence and the Family-Work Interface. J. Intell. 2025, 13, 58. https://doi.org/10.3390/jintelligence13050058
Robinson MD, Chen KX, Krishnakumar S, Irvin RL. Working Smarter: Work-Related Emotional Intelligence and the Family-Work Interface. Journal of Intelligence. 2025; 13(5):58. https://doi.org/10.3390/jintelligence13050058
Chicago/Turabian StyleRobinson, Michael D., Kelyn X. Chen, Sukumarakurup Krishnakumar, and Roberta L. Irvin. 2025. "Working Smarter: Work-Related Emotional Intelligence and the Family-Work Interface" Journal of Intelligence 13, no. 5: 58. https://doi.org/10.3390/jintelligence13050058
APA StyleRobinson, M. D., Chen, K. X., Krishnakumar, S., & Irvin, R. L. (2025). Working Smarter: Work-Related Emotional Intelligence and the Family-Work Interface. Journal of Intelligence, 13(5), 58. https://doi.org/10.3390/jintelligence13050058
