Finite Element Analysis of Occupant Risk in Vehicular Impacts into Cluster Mailboxes
Abstract
1. Introduction
2. Finite Element Modeling of Vehicles and CMs
2.1. MASH-Compliant Test Vehicles
2.2. Airbags and Seatbelts
2.3. Hybrid III Crash Test Dummy
2.4. Cluster Mailboxes (CMs)
2.5. Road Surfaces
2.6. Contact Modeling
3. Simulation Setups
3.1. Vehicular Impact Conditions
3.2. Simulation Matrix of Various Impact Scenarios
3.3. Occupant Risk Assessment Criteria
- -
- Criterion D: no intrusion into the occupant compartment from detached fragments or debris;
- -
- Criterion F: the maximum roll and pitch angles of the vehicle do not exceed 75°;
- -
- Criterion G: the longitudinal or lateral occupant impact velocities (OIVs) do not exceed 12.2 m/s (40 ft/s), with preferred values under 9.1 m/s (30 ft/s);
- -
- Criterion I: the longitudinal or lateral occupant ride-down accelerations (ORAs) do not exceed 20.49 G, with preferred values under 15.0 G, where G is the gravitational acceleration.
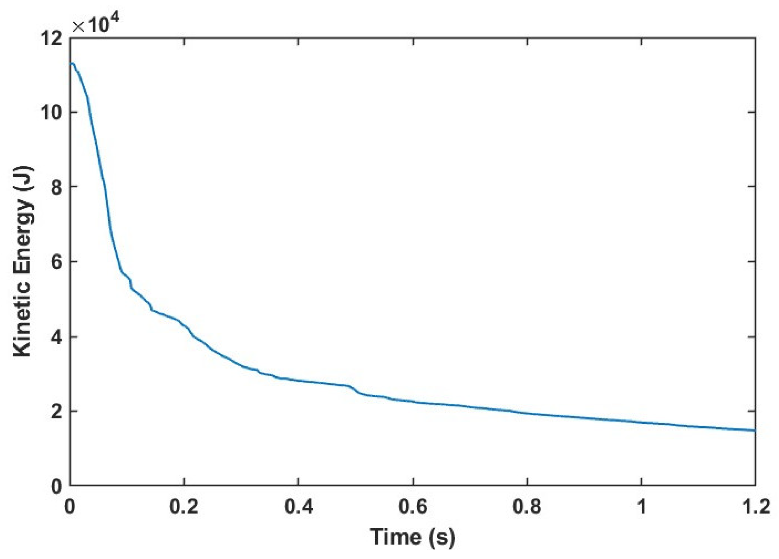
4. Results and Discussions
4.1. Single-Unit CMs (Type I and Type IV)
4.1.1. Impact Condition S1
4.1.2. Impact Condition S2
4.1.3. Impact Condition S3
4.2. Dual-Unit CMs (Type I and Type IV)
4.2.1. Impact Condition D1
4.2.2. Impact Conditions D2 and D3
4.2.3. Impact Conditions D4 and D5
5. Concluding Remarks
- -
- Two test vehicles: 2010 Toyota Yaris (model 1100C) and 2006 Ford F250 (model 2270P);
- -
- Two CM configurations: single- and dual-unit CMs;
- -
- Two road surface types: a flat road with and without a curb;
- -
- Two impact angles: 0° and 25°;
- -
- Two impact locations for the 25° impacts on the dual-unit CMs: at the nearest corner and at the midpoint.
Author Contributions
Funding
Data Availability Statement
Conflicts of Interest
References
- AASHTO. Manual for Assessing Safety Hardware (MASH), 2nd ed.; American Association of State Highway Transportation Officials: Washington, DC, USA, 2016. [Google Scholar]
- Ross, H.E.; Walker, K.C. Crash Tests of Rural Mailbox Installations; Report No. 3254-6; Texas Transportation Institute, Texas A & M University: College Station, TX, USA, 1979. [Google Scholar]
- Hall, P.R.; Ross, H.E. Test and Evaluation of Rural Mailbox Supports; Report No. 370-1F; Texas Transportation Institute, Texas A & M University: College Station, TX, USA, 1983. [Google Scholar]
- Campise, W.L.; Ross, H.E. Test and Evaluation of Neighborhood Mailbox; Report No. FHWA/TX-84; Texas Transportation Institute, Texas A & M University: College Station, TX, USA, 1984. [Google Scholar]
- Faller, R.K.; Magdaleno, J.A.; Warlick, B.A.; Wendling, W.H.; Post, E.R. Full-Scale Vehicle Crash Tests on Nebraska Rural Mailbox Designs. Transp. Res. Rec. 1987, 1198, 31–44. [Google Scholar]
- Ross, H.E.; Bullard, L.; Alberson, D. Mailbox Bracket Crash Test; Report No. TX-94/1945-2F; Texas Transportation Institute, Texas A & M University: College Station, TX, USA, 1993. [Google Scholar]
- Atahan, A.O. Development of a Heavy Containment Level Bridge Rail for Istanbul. Lat. Am. J. Solids Struct. 2018, 15, e81. [Google Scholar] [CrossRef]
- Gutowski, M.; Palta, E.; Fang, H. Crash Analysis and Evaluation of Vehicular Impacts on W-beam Guardrails Placed Behind Curbs Using Finite Element Simulations. Adv. Eng. Softw. 2017, 114, 85–97. [Google Scholar] [CrossRef]
- Gutowski, M.; Palta, E.; Fang, H. Crash Analysis and Evaluation of Vehicular Impacts on W-beam Guardrails Placed on Sloped Medians Using Finite Element Simulations. Adv. Eng. Softw. 2017, 112, 88–100. [Google Scholar] [CrossRef]
- Hou, S.; Tan, W.; Zheng, Y.; Han, X.; Li, Q. Optimization Design of Corrugated Beam Guardrail Based on RBF-MQ Surrogate Model and Collision Safety Consideration. Adv. Eng. Softw. 2014, 78, 28–40. [Google Scholar] [CrossRef]
- Yin, H.; Xiao, Y.; Wen, G.; Fang, H. Design Optimization of a New W-Beam Guardrail for Enhanced Highway Safety Performance. Adv. Eng. Softw. 2017, 112, 154–164. [Google Scholar] [CrossRef]
- Ozcanan, S.; Atahan, A.O. Minimization of Accident Severity Index in Concrete Barrier Designs Using an Ensemble of Radial Basis Function Metamodel-Based Optimization. Optim. Eng. 2021, 22, 485–519. [Google Scholar] [CrossRef]
- Paulsen, G.W.; Faller, R.K.; Reid, J.D. Design and Testing of a Breakaway Base for a Cluster Box Unit and a Neighborhood Delivery & Collection Unit; Midwest Roadside Safety Facility, University of Nebraska-Lincoln: Lincoln, NE, USA, 1996. [Google Scholar]
- LS-DYNA, Keyword User’s Manual. Vol. II. Material Models. 2015. Available online: https://lsdyna.ansys.com/manuals/ (accessed on 2 January 2025).
- LS-DYNA, Keyword User’s Manual. Vol. I. 2015. Available online: https://lsdyna.ansys.com/manuals/ (accessed on 2 January 2025).
- Vogel, J.C.; Faller, R.K.; Reid, J.D.; Sicking, D.L. A Review of Breakaway Supports for Small Signs and Mailbox Installations; Report No. TRP-03-68-98; Texas Transportation Institute: College Station, TX, USA, 1998. [Google Scholar]
- Tahan, F.; Marzougui, D.; Zaouk, A.; Bedewi, N.; Eskandarian, A.; Meczkowski, L. Safety Performance Evaluation of Secure Mailboxes Using Finite Element Simulations and Crash Testing. Int. J. Crashworthiness 2005, 10, 341–349. [Google Scholar] [CrossRef]
- Sheikh, N.M.; Bligh, R.P.; Menges, W.L.; Haug, R.R. Crash Testing and Evaluation of the Shur-Tite® Multiple-Mailbox Mount; Report No. FHWA/TX-06/0-5210-2; Texas Transportation Institute: College Station, TX, USA, 2006. [Google Scholar]
- Bligh, R.P.; Menges, W.L. NCHRP Report 350 Crash Testing and Evaluation of the S-Square Mailbox System; Texas Transportation Institute: College Station, TX, USA, 2010. [Google Scholar]
- Bligh, R.P.; Menges, W.L.; Sanders, S.K. Testing and Evaluation of Molded Plastic Mailboxes; Report No. FHWA/TX-01/1792-6; Texas Transportation Institute, Texas A & M University System: College Station, TX, USA, 2001. [Google Scholar]
- Silvestri Dobrovolny, C.; Bligh, R.P.; Obinna, J.; McDaniel, M.; Odell, W. Manual for Assessing Safety Hardware Crash Testing and Evaluation of Multiple Mailbox Supports for Use with Locking Architectural Mailboxes. Transp. Res. Rec. 2019, 2673, 684–695. [Google Scholar] [CrossRef]
- Noureddine, A.; Eskandarian, A.; Digges, K. Computer Modeling and Validation of a Hybrid III Dummy for Crashworthiness Simulation. Math. Comput. Model. 2002, 35, 885–893. [Google Scholar] [CrossRef]
- Deng, X.; Potula, S.; Grewal, H.; Solanki, K.N.; Tschopp, M.A.; Horstemeyer, M.F. Finite Element Analysis of Occupant Head Injuries: Parametric Effects of the Side Curtain Airbag Deployment Interaction with a Dummy Head in a Side Impact Crash. Accid. Anal. Prev. 2013, 55, 232–241. [Google Scholar] [CrossRef] [PubMed]
- Teng, T.L.; Chang, F.A.; Liu, Y.S.; Peng, C.P. Analysis of Dynamic Response of Vehicle Occupant in Frontal Crash Using Multibody Dynamics Method. Math. Comput. Model. 2008, 48, 1724–1736. [Google Scholar] [CrossRef]
- Fang, H.; Li, Z.; Fatoki, O.; Palta, E. Risk Assessment of Roadside Utility Structures Under Vehicular Impacts. Tech Report NCDOT 2018-24. Available online: https://rosap.ntl.bts.gov/view/dot/56016/dot_56016_DS1.pdf (accessed on 30 October 2024).
- NCAC. Technical Summary—Extended Validation of the Finite Element Model for the 2010 Toyota Yaris Passenger Sedan. Available online: https://media.ccsa.gmu.edu/cache/NCAC-2012-W-005.pdf (accessed on 30 October 2024).
- NCAC. Technical Summary—Development & Validation of a Finite Element Model for the 2010 Toyota Yaris Passenger Sedan. Available online: https://media.ccsa.gmu.edu/cache/NCAC-2011-T-001.pdf (accessed on 30 October 2024).
- Li, Z.; Fang, H.; Fatoki, J.; Gutowski, M.; Wang, Q. A Numerical Study of Strong-Post Double-Faced W-Beam and Thrie-Beam Guardrails Under Impacts of Vehicles of Multiple Size Classes. Accid. Anal. Prev. 2021, 159, 106286. [Google Scholar] [CrossRef]
- Wang, Q.; Palta, E.; Fang, H. Numerical Modeling and Simulation of Cable Barriers Under Vehicular Impacts on a Sloped Median. Int. J. Protect. Struct. 2024, in press. [CrossRef]
- Fang, H.; Jaus, C.; Wang, Q.; Palta, E.; Pachocki, Ł.; Bruski, D. Numerical Modeling and Simulation of Vehicular Crashes into Three-Bar Metal Bridge Rail. Computation 2024, 12, 165. [Google Scholar] [CrossRef]
- NHTSA. Available online: https://www.nhtsa.gov/crash-simulation-vehicle-models (accessed on 30 October 2024).
- Li, N.; Fang, H.; Zhang, C.; Gutowski, M.; Palta, E.; Wang, Q. A Numerical Study of Occupant Responses and Injuries in Vehicular Crashes into Roadside Barriers Based on Finite Element Simulations. Adv. Eng. Softw. 2015, 90, 22–40. [Google Scholar] [CrossRef]
- Wang, J.; Nefske, D. A New CAL3D Airbag Inflation Model. SAE Tech. Pap. 1988, 880654, 697–706. [Google Scholar] [CrossRef]
- Hallquist, J. LS-DYNA, Theory Manual. 2006. Available online: https://lsdyna.ansys.com/manuals/ (accessed on 2 January 2025).
- Florence Corporation. Vital Cluster Box Unit—Type I. Available online: https://www.florencemailboxes.com/sites/default/files/2017-02/1570-8.pdf (accessed on 30 October 2024).
- Florence Corporation. Vital Cluster Box Unit—Type IV. Available online: https://www.florencemailboxes.com/sites/default/files/2017-02/1570-13.pdf (accessed on 30 October 2024).
- Hertz, E. A Note on the Head Injury Criterion (HIC) as a Predictor of the Risk of Skull Fracture. In Proceedings of the Association for the Advancement of Automotive Medicine Annual Conference, San Antonio, TX, USA, 4–6 November 1993; Volume 37, pp. 303–312. [Google Scholar]
























| Impact Condition S: Single; D: Double | Road Surface | Impact Angle | Impact Point | Impact Vehicle |
|---|---|---|---|---|
| S1 | No curb | 0° | Side | Toyota Yaris |
| Ford F250 | ||||
| S2 | No curb | 25° | Corner | Toyota Yaris |
| Ford F250 | ||||
| S3 | With curb | 25° | Corner | Toyota Yaris |
| Ford F250 | ||||
| D1 | No curb | 0° | Side | Toyota Yaris |
| Ford F250 | ||||
| D2 | No curb | 25° | Corner | Toyota Yaris |
| Ford F250 | ||||
| D3 | No curb | 25° | Midpoint | Toyota Yaris |
| Ford F250 | ||||
| D4 | With curb | 25° | Corner | Toyota Yaris |
| Ford F250 | ||||
| D5 | With curb | 25° | Midpoint | Toyota Yaris |
| Ford F250 |
| Impact Condition | Test Vehicle | OIV (m/s) | ORA (G) | Vehicular Angular Motion | Occupant Injury | ||||
|---|---|---|---|---|---|---|---|---|---|
| OIVx | OIVy | ORAx | ORAy | Max. θroll | Max. θpitch | HIC15 | p(HIC15) | ||
| S1 | Yaris | 3.45 | 0.02 | 3.53 | 4.06 | 0.57° | 0.60° | 2.90 | 0% |
| F250 | 1.45 | 0.20 | 1.88 | 0.90 | 1.03° | 0.72° | 1.38 | 0% | |
| S2 | Yaris | 3.45 | 0.08 | 0.81 | 1.03 | 0.68° | 1.47° | 3.72 | 0% |
| F250 | 1.60 | 0.17 | 1.02 | 0.96 | 2.87° | 0.92° | 0.73 | 0% | |
| S3 | Yaris | 1.69 | 0.47 | 5.09 | 3.11 | 4.24° | 1.81° | 0.91 | 0% |
| F250 | 1.09 | 0.27 | 4.03 | 3.00 | 5.96° | 1.73° | 8.98 | 0% | |
| Impact Condition | Test Vehicle | OIV (m/s) | ORA (G) | Vehicular Angular Motion | Occupant Injury | ||||
|---|---|---|---|---|---|---|---|---|---|
| OIVx | OIVy | ORAx | ORAy | Max. θroll | Max. θpitch | HIC15 | p(HIC15) | ||
| S1 | Yaris | 3.52 | 0.08 | 1.05 | 1.84 | 0.57° | 1.05° | 1.52 | 0% |
| F250 | 1.63 | 0.04 | 2.46 | 0.69 | 1.16° | 0.52° | 1.44 | 0% | |
| S2 | Yaris | 3.69 | 0.24 | 1.09 | 1.41 | 0.51° | 0.75° | 2.99 | 0% |
| F250 | 1.83 | 0.26 | 0.93 | 1.00 | 0.71° | 0.64° | 0.66 | 0% | |
| S3 | Yaris | 1.87 | 0.52 | 5.52 | 3.78 | 7.74° | 7.34° | 3.09 | 0% |
| F250 | 1.09 | 0.30 | 4.10 | 3.16 | 6.13° | 2.52° | 1.53 | 0% | |
| Impact Condition | Test Vehicle | OIV (m/s) | ORA (G) | Vehicular Angular Motion | Occupant Injury | ||||
|---|---|---|---|---|---|---|---|---|---|
| OIVx | OIVy | ORAx | ORAy | Max. θroll | Max. θpitch | HIC15 | p(HIC15) | ||
| D1 | Yaris | 5.14 | 0.07 | 1.70 | 4.17 | 0.69° | 1.91° | 9.02 | 0% |
| F250 | 2.20 | 0.22 | 1.51 | 0.85 | 1.19° | 0.81° | 1.08 | 0% | |
| D2 | Yaris | 5.11 | 0.37 | 3.04 | 1.82 | 1.57° | 0.58° | 7.64 | 0% |
| F250 | 2.64 | 0.13 | 1.63 | 1.13 | 1.27° | 0.95° | 1.20 | 0% | |
| D3 | Yaris | 3.53 | 0.10 | 0.99 | 1.05 | 0.46° | 0.85° | 2.65 | 0% |
| F250 | 1.98 | 0.42 | 1.38 | 1.68 | 3.55° | 0.80° | 5.16 | 0% | |
| D4 | Yaris | 1.86 | 0.43 | 6.56 | 2.82 | 4.35° | 5.18° | 2.37 | 0% |
| F250 | 2.31 | 0.49 | 3.08 | 1.75 | 6.36° | 1.44° | 1.36 | 0% | |
| D5 | Yaris | 1.65 | 0.86 | 2.59 | 2.77 | 4.35° | 1.82° | 0.30 | 0% |
| F250 | 1.11 | 0.29 | 5.03 | 3.27 | 6.36° | 2.19° | 2.55 | 0% | |
| Impact Condition | Test Vehicle | OIV (m/s) | ORA (G) | Vehicular Angular Motion | Occupant Injury | ||||
|---|---|---|---|---|---|---|---|---|---|
| OIVx | OIVy | ORAx | ORAy | Max. θroll | Max. θpitch | HIC15 | p(HIC15) | ||
| D1 | Yaris | 6.36 | 0.18 | 3.59 | 3.22 | 0.89° | 3.13° | 9.70 | 0% |
| F250 | 3.12 | 0.02 | 2.28 | 2.04 | 1.01° | 0.73° | 1.95 | 0% | |
| D2 | Yaris | 5.99 | 0.45 | 6.09 | 4.96 | 3.24° | 2.38° | 15.89 | 0% |
| F250 | 2.81 | 0.19 | 4.10 | 3.54 | 1.22° | 0.57° | 1.27 | 0% | |
| D3 | Yaris | 3.75 | 0.63 | 1.39 | 2.44 | 2.87° | 0.89° | 4.63 | 0% |
| F250 | 1.74 | 0.46 | 1.44 | 0.96 | 1.17° | 0.66° | 2.89 | 0% | |
| D4 | Yaris | 1.81 | 0.85 | 7.74 | 5.20 | 6.19° | 7.57° | 7.88 | 0% |
| F250 | 2.67 | 0.48 | 3.24 | 3.73 | 6.31° | 2.53° | 2.51 | 0% | |
| D5 | Yaris | 1.68 | 0.86 | 4.41 | 2.28 | 4.41° | 1.80° | 2.68 | 0% |
| F250 | 2.12 | 1.18 | 3.80 | 3.21 | 6.08° | 2.92° | 5.04 | 0% | |
Disclaimer/Publisher’s Note: The statements, opinions and data contained in all publications are solely those of the individual author(s) and contributor(s) and not of MDPI and/or the editor(s). MDPI and/or the editor(s) disclaim responsibility for any injury to people or property resulting from any ideas, methods, instructions or products referred to in the content. |
© 2025 by the authors. Licensee MDPI, Basel, Switzerland. This article is an open access article distributed under the terms and conditions of the Creative Commons Attribution (CC BY) license (https://creativecommons.org/licenses/by/4.0/).
Share and Cite
Palta, E.; Pachocki, L.; Bruski, D.; Wang, Q.; Jaus, C.; Fang, H. Finite Element Analysis of Occupant Risk in Vehicular Impacts into Cluster Mailboxes. Computation 2025, 13, 12. https://doi.org/10.3390/computation13010012
Palta E, Pachocki L, Bruski D, Wang Q, Jaus C, Fang H. Finite Element Analysis of Occupant Risk in Vehicular Impacts into Cluster Mailboxes. Computation. 2025; 13(1):12. https://doi.org/10.3390/computation13010012
Chicago/Turabian StylePalta, Emre, Lukasz Pachocki, Dawid Bruski, Qian Wang, Christopher Jaus, and Howie Fang. 2025. "Finite Element Analysis of Occupant Risk in Vehicular Impacts into Cluster Mailboxes" Computation 13, no. 1: 12. https://doi.org/10.3390/computation13010012
APA StylePalta, E., Pachocki, L., Bruski, D., Wang, Q., Jaus, C., & Fang, H. (2025). Finite Element Analysis of Occupant Risk in Vehicular Impacts into Cluster Mailboxes. Computation, 13(1), 12. https://doi.org/10.3390/computation13010012

