3D FE-Informed Laboratory Soil Testing for the Design of Offshore Wind Turbine Monopiles
Abstract
1. Introduction
2. 3D Finite Element Investigation
2.1. Numerical Modelling
2.2. 3D FE Simulation Results
2.2.1. General Features of Cyclic Pile Response
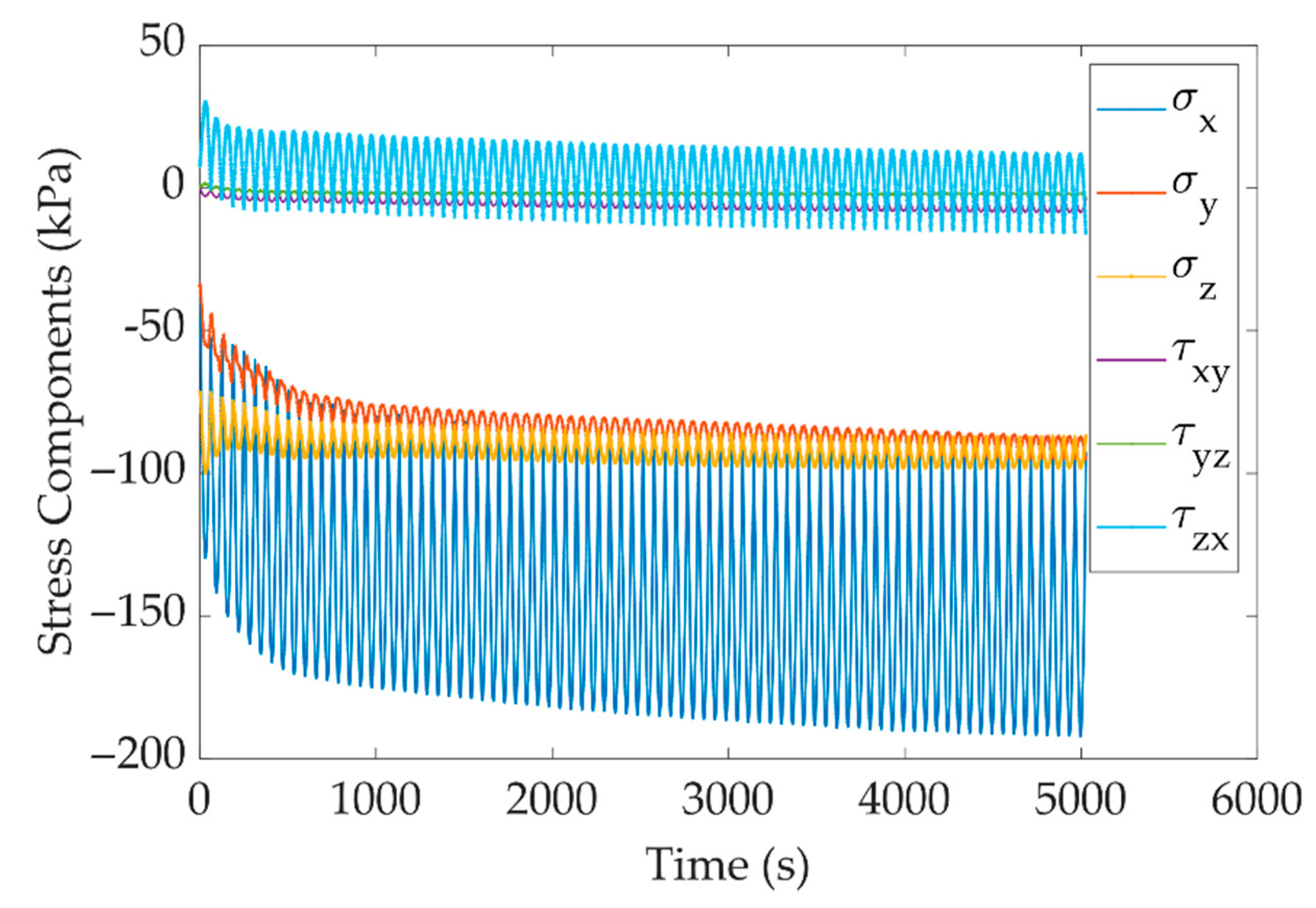
2.2.2. Stress Paths for the Investigated Soil Elements
3. Investigation through Element Testing
3.1. Hollow Cylinder Testing and Stress Notation
3.2. Material and Specimen Preparation
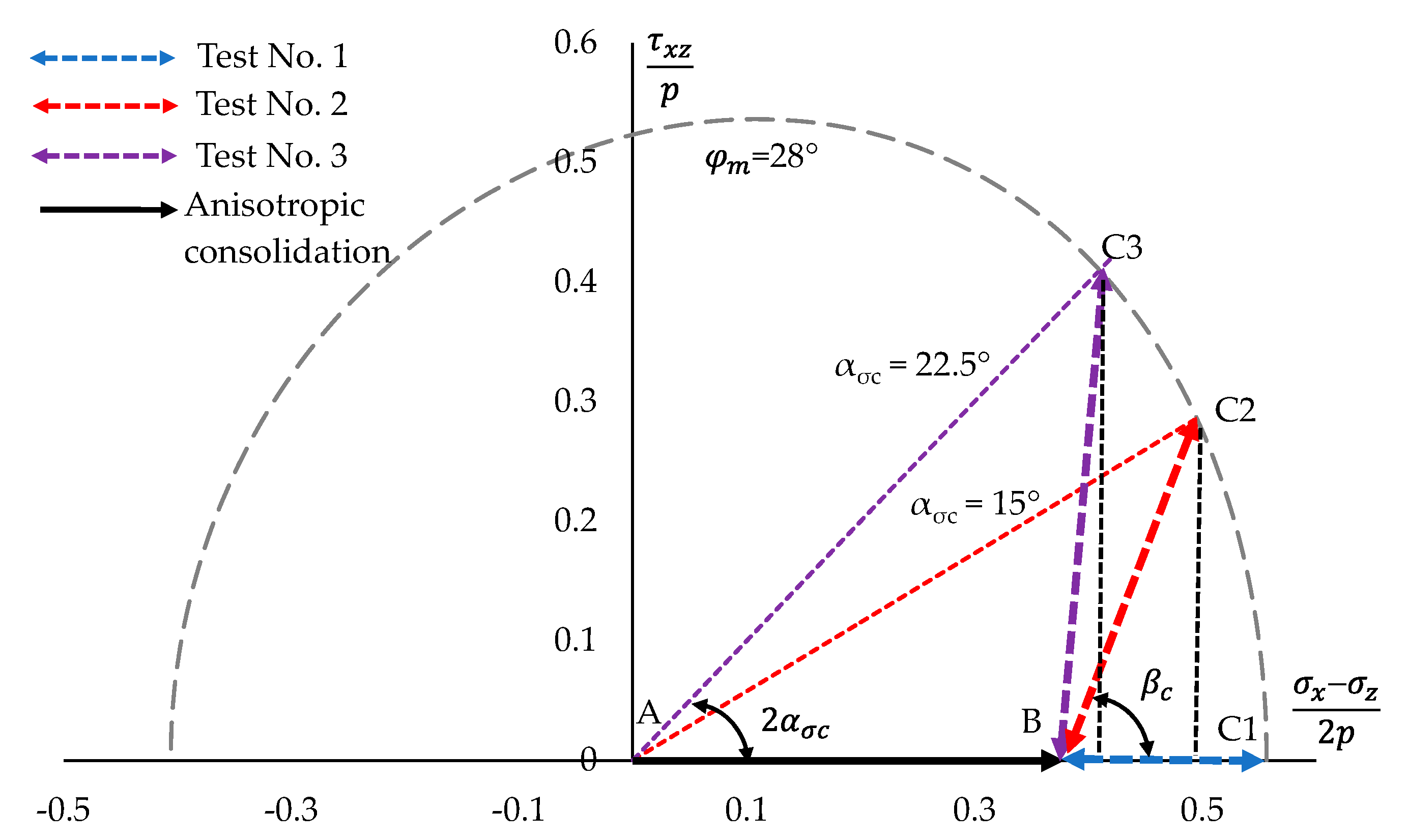
3.3. Testing Programme
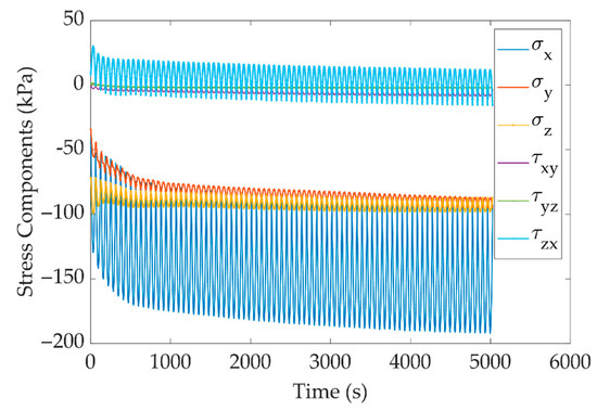
3.4. Experimental Results
4. Conclusions
- The 3D finite element analysis has shown that soil elements in front of the pile undergo complex stress paths involving the cyclic variation of four stress components (three normal stress and one shear stress). The variation of the four stress components is compatible with capability of laboratory testing using the HCTA.
- Analysis of the stress paths in the torsional versus deviatoric stress plane (typically used for HCTA testing) has revealed a quite complex evolution of the stress paths to reach an asymptotic final cyclic stress condition. The amplitude, location and inclination of the asymptotic stress conditions depends on the location (distance and depth) of the inspected element with respect to the pile.
- The stress path experienced by soil elements in front of cyclic laterally loaded pile may be simulated through cyclic HCTA tests employing stress conditions starting from an initial anisotropic purely deviatoric state and featuring stress cycles characterised by simultaneous variation of axial and torsional stress. This would result in a cyclic reorientation of principal stress axes.
- Comparison of HCTA tests imposing different amounts of cyclic rotation of principal stress axes (including the case of no rotation, typically of conventional triaxial testing) has revealed an important influence of this rotation on the magnitude and direction of accumulated plastic strains.
- In the context of analysis of cyclic laterally loaded piles, it appears that the accurate prediction of magnitude and direction of accumulated plastic strains is necessary to achieve a reliable estimate of the pile–soil interaction mechanism and pile performances. This will require both a constitutive model able to capture such features as well as its calibration with appropriate laboratory soil testing to account for the effect of rotation of the principal stress axes.
Author Contributions
Funding
Institutional Review Board Statement
Informed Consent Statement
Data Availability Statement
Acknowledgments
Conflicts of Interest
References
- Ramírez, L.; Fraile, D.; Brindley, G. Offshore Wind in Europe: Key Trends and Statistics 2019; WindEurope: Brussels, Belgium, 2020. [Google Scholar]
- Burd, H.J.; Taborda, D.M.; Zdravković, L.; Abadie, C.N.; Byrne, B.W.; Houlsby, G.T.; Gavin, K.G.; Igoe, D.J.; Jardine, R.J.; Martin, C.M.; et al. PISA design model for monopiles for offshore wind turbines: Application to a marine sand. Géotechnique 2020, 70, 1048–1066. [Google Scholar] [CrossRef]
- Byrne, B.W.; Houlsby, G.T.; Burd, H.J.; Gavin, K.G.; Igoe, D.J.; Jardine, R.J.; Martin, C.M.; McAdam, R.A.; Potts, D.M.; Taborda, D.M.; et al. PISA design model for monopiles for offshore wind turbines: Application to a stiff glacial clay till. Géotechnique 2020, 70, 1030–1047. [Google Scholar] [CrossRef]
- Randolph, M.F.; Houlsby, G.T. The limiting pressure on a circular pile loaded laterally in cohesive soil. Geotechnique 1984, 34, 613–623. [Google Scholar] [CrossRef]
- Fan, C.-C.; Long, J.H. Assessment of existing methods for predicting soil response of laterally loaded piles in sand. Comput. Geotech. 2005, 32, 274–289. [Google Scholar] [CrossRef]
- Won, J.Y.; Suroor, H.; Jang, S.; Seo, H. Strain ε50 and stiffness ratio (E50/Su) for Gulf of Mexico clays. In Frontiers in Offshore Geotechnics, III: Proceedings of the 3rd International Symposium on Frontiers in Offshore Geotechnics (ISFOG 2015), Oslo, Norway, 10–12 June 2015; CRC Press: Boca Raton, FL, USA, 2015; Volume 1, pp. 1121–1126. [Google Scholar]
- Ahmed, S.S.; Hawlader, B. Numerical analysis of large-diameter monopiles in dense sand supporting offshore wind turbines. Int. J. Geomech. 2016, 16, 04016018. [Google Scholar] [CrossRef]
- Andersen, K.H.; Puech, A.A.; Jardine, R.J. Cyclic resistant geotechnical design and parameter selection for offshore engineering and other applications. In Design for Cyclic Loading: Piles and Other Foundations, Proceedings of the TC-209 Workshop, Paris, France, 4 September 2013; Presses des Ponts: Paris, France, 2013; pp. 9–44. [Google Scholar]
- Wichtmann, T.; Niemunis, A.; Triantafyllidis, T. On the influence of the polarization and the shape of the strain loop on strain accumulation in sand under high-cyclic loading. Soil Dyn. Earthq. Eng. 2007, 27, 14–28. [Google Scholar] [CrossRef]
- Tong, Z.X.; Zhang, J.M.; Yu, Y.L.; Zhang, G. Drained deformation 635 behavior of anisotropic sands during cyclic rotation of principal stress axes. J. Geotech. Geoenviron. Eng. 2010, 136, 1509–1518. [Google Scholar] [CrossRef]
- Mandolini, A.; Diambra, A.; Ibraim, E. Stiffness of granular soils under long-term multiaxial cyclic loading. Géotechnique 2020, 1–17. [Google Scholar] [CrossRef]
- Liu, H.Y.; Abell, J.A.; Diambra, A.; Pisanò, F. Modelling the cyclic ratcheting of sands through memory-enhanced bounding surface plasticity. Géotechnique 2019, 69, 783–800. [Google Scholar] [CrossRef]
- Corti, R.; Diambra, A.; Wood, D.M.; Escribano, D.E.; Nash, D.F. Memory surface hardening model for granular soils under repeated loading conditions. J. Eng. Mech. 2016, 142, 04016102. [Google Scholar] [CrossRef]
- Kementzetzidis, E.; Corciulo, S.; Versteijlen, W.G.; Pisanò, F. Geotechnical aspects of offshore wind turbine dynamics from 3D non-linear soil-structure simulations. Soil Dyn. Earthq. Eng. 2019, 120, 181–199. [Google Scholar] [CrossRef]
- Mckenna, F.T. Object-Oriented Finite Element Programming: Frameworks For Analysis, Algorithms And Parallel Computing. Ph.D. Thesis, University of California, Berkeley, CA, USA, 1997. [Google Scholar]
- McGann, C.R.; Arduino, P.; Mackenzie-Helnwein, P. A stabilized single-point finite element formulation for three-dimensional dynamic analysis of saturated soils. Comput. Geotech. 2015, 66, 126–141. [Google Scholar] [CrossRef]
- Griffiths, D.V. Numerical modeling of interfaces using conventional finite elements. In Proceedings of the 5th International Conference on Numerical Methods in Geomechanics, Nagoya, Japan, 1–5 April 1985; pp. 837–844. [Google Scholar]
- Dafalias, Y.F.; Manzari, M.T. Simple plasticity sand model accounting for fabric change effects. J. Eng. Mech. 2004, 130, 622–634. [Google Scholar] [CrossRef]
- Fan, S.; Bienen, B.; Randolph, M.F. Centrifuge study on effect of installation method on lateral response of monopiles in sand. Int. J. Phys. Model. Geotech. 2019, 1–13. [Google Scholar] [CrossRef]
- Heins, E.; Bienen, B.; Randolph, M.F.; Grabe, J. Effect of installation method on static and dynamic load test response for piles in sand. Int. J. Phys. Model. Geotech. 2020, 20, 1–23. [Google Scholar] [CrossRef]
- Staubach, P.; Machaček, J.; Moscoso, M.C.; Wichtmann, T. Impact of the installation on the long-term cyclic behaviour of piles in sand: A numerical study. Soil Dyn. Earthq. Eng. 2020, 138, 106223. [Google Scholar] [CrossRef]
- LeBlanc, C.; Houlsby, G.T.; Byrne, B.W. Response of stiff piles in sand to long-term cyclic lateral loading. Géotechnique 2010, 60, 79–90. [Google Scholar] [CrossRef]
- Roesen, H.R.; Ibsen, L.B.; Andersen, L.V. Experimental testing of monopiles in sand subjected to one-way long-term cyclic lateral loading. In Proceedings of the 18th International Conference on Soil Mechanics and Geotechnical Engineering, Paris, France, 2–6 September 2013; pp. 2391–2394. [Google Scholar]
- Liu, H.Y.; Diambra, A.; Abell, J.A.; Pisanò, F. Memory-Enhanced plasticity modeling of sand behavior under undrained cyclic loading. J. Geotech. Geoenviron. Eng. 2020, 146, 04020122. [Google Scholar] [CrossRef]
- Corti, R.; Gourvenec, S.M.; Randolph, M.F.; Diambra, A. Application of a memory surface model to predict whole-life settlements of a sliding foundation. Comput. Geotech. 2017, 88, 152–163. [Google Scholar] [CrossRef]
- Ishihara, K.; Towhata, I. Sand response to cyclic rotation of principal stress directions as induced by wave loads. Soils Found. 1983, 23, 11–26. [Google Scholar] [CrossRef]
- Matsuoka, H.; Nakai, T. Stress-Deformation and strength characteristics of soil under three different principal stresses. Proc. JSCE 1974, 59–70. [Google Scholar] [CrossRef]
- Mandolini, A.; Diambra, A.; Ibraim, E. Strength anisotropy of fibre-reinforced sands under multiaxial loading. Géotechnique 2019, 69, 203–216. [Google Scholar] [CrossRef]
- Hight, D.W.; Gens, A.; Symes, M.J. The development of a new hollow cylinder apparatus for investigating the effects of principal stress rotation in soils. Géotechnique 1983, 33, 355–383. [Google Scholar] [CrossRef]
- Tatsuoka, F.; Sonoda, S.; Hara, K.; Fukushima, S.; Pradhan, T.B. Failure and deformation of sand in torsional shear. Soils Found. 1986, 26, 79–97. [Google Scholar] [CrossRef]
- Escribano, D.E.; Nash, D.F.; Diambra, A. Local and global volumetric strain comparison in sand specimens subjected to drained cyclic and monotonic triaxial compression loading. Geotech. Test. J. 2018, 42, 1006–1030. [Google Scholar] [CrossRef]
- Ibraim, E.; Diambra, A.; Russell, A.R.; Wood, D.M. Assessment of laboratory sample preparation for fibre reinforced sands. Geotext. Geomembr. 2012, 34, 69–79. [Google Scholar] [CrossRef]
- Skempton, A.W. The pore-pressure coefficients A and B. Géotechnique 1954, 4, 143–147. [Google Scholar] [CrossRef]
- Petalas, A.L.; Dafalias, Y.F.; Papadimitriou, A.G. SANISAND-F: Sand constitutive model with evolving fabric anisotropy. Int. J. Solids Struct. 2020, 188, 12–31. [Google Scholar] [CrossRef]














| Parameter | Description | Value | Parameter | Description | Value |
|---|---|---|---|---|---|
| G0 | Dimensionless shear modulus | 125 | h0 | Hardening parameter | 7.05 |
| v | Poisson’s ratio | 0.3 | ch | Hardening parameter | 0.968 |
| M | Critical stress ratio | 1.25 | nb | Void ratio dependence parameter | 1.1 |
| c | Compression to extension strength ratio | 0.712 | A0 | ‘Intrinsic’ dilatancy parameter | 0.704 |
| e0 | Reference critical void ratio | 0.934 | nd | Void ratio dependence parameter | 3.5 |
| λc | Critical state line shape parameter | 0.02 | μ0 | Ratcheting parameter | 200 |
| ξ | Critical state line shape parameter | 0.7 | ζ | Memory surface shrinkage parameter | 0.0005 |
| m | Yield locus opening parameter | 0.01 | β | Dilatancy memory parameter | 1 |
| Test No. | Stress Path | e0 | Δσx (kPa) | No. Cycles | ||||
|---|---|---|---|---|---|---|---|---|
| 1 | ABC1 | 0.83 | 35 | 0 | 28 | 0 | 0 | 30,000 |
| 2 | ABC2 | 0.80 | 21 | 20.5 | 15 | 63 | 30,000 | |
| 3 | ABC3 | 0.798 | 7 | 28.5 | 22.5 | 83 | 26,700 |
Publisher’s Note: MDPI stays neutral with regard to jurisdictional claims in published maps and institutional affiliations. |
© 2021 by the authors. Licensee MDPI, Basel, Switzerland. This article is an open access article distributed under the terms and conditions of the Creative Commons Attribution (CC BY) license (http://creativecommons.org/licenses/by/4.0/).
Share and Cite
Cheng, X.; Diambra, A.; Ibraim, E.; Liu, H.; Pisanò, F. 3D FE-Informed Laboratory Soil Testing for the Design of Offshore Wind Turbine Monopiles. J. Mar. Sci. Eng. 2021, 9, 101. https://doi.org/10.3390/jmse9010101
Cheng X, Diambra A, Ibraim E, Liu H, Pisanò F. 3D FE-Informed Laboratory Soil Testing for the Design of Offshore Wind Turbine Monopiles. Journal of Marine Science and Engineering. 2021; 9(1):101. https://doi.org/10.3390/jmse9010101
Chicago/Turabian StyleCheng, Xiaoyang, Andrea Diambra, Erdin Ibraim, Haoyuan Liu, and Federico Pisanò. 2021. "3D FE-Informed Laboratory Soil Testing for the Design of Offshore Wind Turbine Monopiles" Journal of Marine Science and Engineering 9, no. 1: 101. https://doi.org/10.3390/jmse9010101
APA StyleCheng, X., Diambra, A., Ibraim, E., Liu, H., & Pisanò, F. (2021). 3D FE-Informed Laboratory Soil Testing for the Design of Offshore Wind Turbine Monopiles. Journal of Marine Science and Engineering, 9(1), 101. https://doi.org/10.3390/jmse9010101

