A Novel Double Layered Hybrid Multi-Robot Framework for Guidance and Navigation of Unmanned Surface Vehicles in a Practical Maritime Environment †
Abstract
1. Introduction
- The practical maritime environment of Portsmouth harbour in the existing framework, where an open sea environment has been considered comprising of non-static obstacles.
- The feature of external collision avoidance with shoreline by modelling shoreline as a set of repulsive points using a repulsive potential function.
- An optimal and computationally efficient path within the existing framework for navigating the swarm of USVs.
2. Multi Vehicle System and Formation
2.1. Multi Vehicle System Architecture

2.2. Approaches Associated with Cooperative Behaviour of Multi Vehicle Systems
2.3. Formation Control Strategies
2.3.1. Behaviour Based Approach
2.3.2. Leader-Follower Approach
2.3.3. Virtual Structure (VS) Approach
- Define the dynamics of the VS and align the VS with the initial positions of the robot.
- Define the heading of the VS.
- Compute the individual trajectory for each robot from the start to the goal point as the corresponding robot contribute to an error of as shown in Figure 7.
- Adjust the velocity of each robot to follow the desired trajectory closely, in addition to, maintaining the geometry of the VS.
2.3.4. Artificial Potential Function
2.3.5. Graph Theory Based Approach
3. Methodology
3.1. Preliminaries Related to Multi Vehicle Path Following
- Onboard Global Positioning System (GPS) is continuously measuring position of each USV in the swarm with reference to a common reference frame.
- WiFi systems are providing a reliable data exchange needed to support inter-robot decentralised communication for position data sharing.
3.2. Path Following Algorithm
3.3. Vehicle Coordination
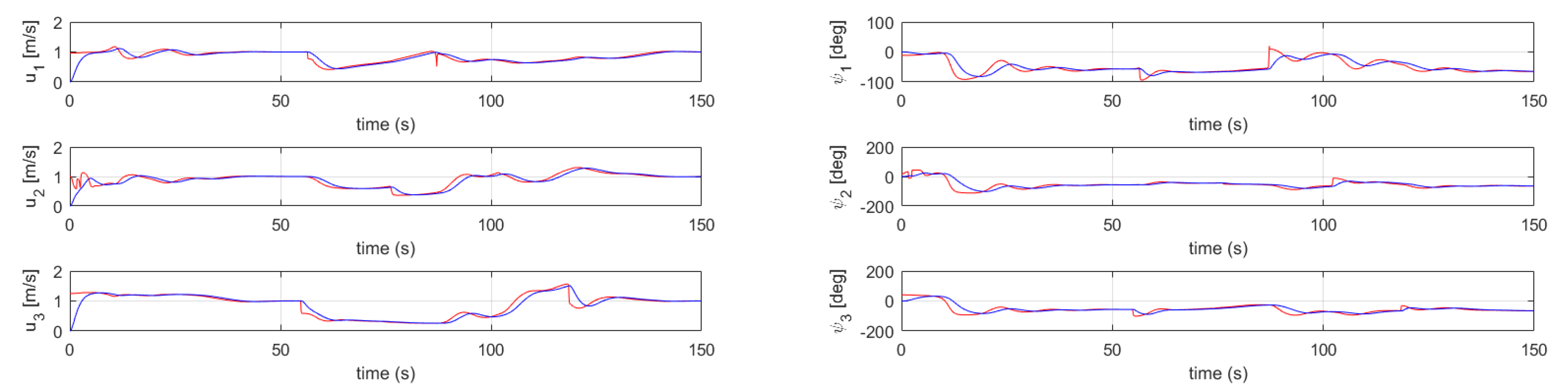
4. Results and Discussion
- The oscillations in the required velocity of each USVs were due to the swarm aggregation functions; the oscillatory behaviour could be reshaped by different definition of attraction/repulsion functions.
- The overall guidance system took into account the physical limits of the vehicle i.e., in the current study the maximum and minimum manoeuvring speeds of scientific USVs were considered by setting the value of = 0.5.
5. Conclusions and Future Work
- Integration of a constrained A* approach with a decentralised VT guidance approach combined with a potential field based swarm aggregation technique for the cooperative navigation of multi USVs.
- Combining the important features of optimal path, computational time and external collision avoidance with shoreline within the initial approach proposed by [2].
- A constrained practical maritime environment is being considered to guide and navigate the swarm of USVs through a narrow channel on Portsmouth harbour which has not been studied till now in the literature.
- Towards the collision avoidance with the external shoreline, a shore profile as a set of repulsive fixed points is being included in the existing approach proposed by [2] and a modified approach is proposed.
Author Contributions
Funding
Conflicts of Interest
Abbreviations
| ACTRESS | ACTor-based robots and equipment synthetic system |
| AOSN II | Autonomous ocean sampling network II |
| COLREGs | International regulations for collision avoidance |
| DoD | Department of defence |
| FM | Fast Marching |
| GPS | Global positioning system |
| IMO | International maritime organisation |
| NSB | Null-Space-Based behavioural control |
| SOM | Self organising map |
| USVs | Unmanned surface vehicles |
| VT | Virtual target |
| VS | Virtual structure |
References
- Liu, Y.; Bucknall, R. A survey of formation control and motion planning of multiple unmanned vehicles. Robotica 2018, 36, 1–29. [Google Scholar] [CrossRef]
- Bibuli, M.; Bruzzone, G.; Caccia, M.; Gasparri, A.; Priolo, A.; Zereik, E. Swarm based path-following for cooperative unmanned surface vehicles. Proc. Inst. Mech. Eng. Part M J. Eng. Marit. Environ. 2014, 228, 192–207. [Google Scholar] [CrossRef]
- Dorigo, M.; Gambardella, L.M. Ant colony system: A cooperative learning approach to the travelling salesman problem. IEEE Trans. Evol. Comput. 1997, 1, 53–66. [Google Scholar] [CrossRef]
- Pham, D.T.; Ghanbarzadeh, A.; Koç, E.; Otri, S.; Rahim, S.; Zaidi, M. The Bees Algorithm—A Novel Tool for Complex Optimisation Problems. In Intelligent Production Machines and Systems; Elsevier: Amsterdam, The Netherlands, 2006; pp. 454–459. [Google Scholar]
- Parker, L.E. Current state of the art in distributed autonomous mobile robotics. In Distributed Autonomous Robotic Systems 4; Springer: Berlin/Heidelberg, Germany, 2000; pp. 3–12. [Google Scholar]
- Nagatani, K.; Okada, Y.; Tokunaga, N.; Kiribayashi, S.; Yoshida, K.; Ohno, K.; Takeuchi, E.; Tadokoro, S.; Akiyama, H.; Noda, I.; et al. Multirobot exploration for search and rescue missions: A report on map building in RoboCupRescue 2009. J. Field Robot. 2011, 28, 373–387. [Google Scholar] [CrossRef]
- Fox, D.; Ko, J.; Konolige, K.; Limketkai, B.; Schulz, D.; Stewart, B. Distributed multirobot exploration and mapping. Proc. IEEE 2006, 94, 1325–1339. [Google Scholar] [CrossRef]
- Huntsberger, T.; Pirjanian, P.; Trebi-Ollennu, A.; Nayar, H.D.; Aghazarian, H.; Ganino, A.J.; Garrett, M.; Joshi, S.S.; Schenker, P.S. CAMPOUT: A control architecture for tightly coupled coordination of multirobot systems for planetary surface exploration. IEEE Trans. Syst. Man Cybernet. Part A Syst. Hum. 2003, 33, 550–559. [Google Scholar] [CrossRef]
- Hayat, S.; Yanmaz, E.; Muzaffar, R. Survey on Unmanned Aerial Vehicle Networks for Civil Applications: A Communications Viewpoint. IEEE Commun. Surv. Tutor. 2016, 18, 2624–2661. [Google Scholar] [CrossRef]
- Yanmaz, E.; Yahyanejad, S.; Rinner, B.; Hellwagner, H.; Bettstetter, C. Drone networks: Communications, coordination, and sensing. Ad. Hoc. Netw. 2018, 68, 1–15. [Google Scholar] [CrossRef]
- Fiorelli, E.; Leonard, N.E.; Bhatta, P.; Paley, D.A.; Bachmayer, R.; Fratantoni, D.M. Multi-AUV control and adaptive sampling in Monterey Bay. IEEE J. Ocean. Eng. 2006, 31, 935–948. [Google Scholar] [CrossRef]
- Cao, X.; Zhu, D.; Yang, S.X. Multi-AUV target search based on bioinspired neurodynamics model in 3-D underwater environments. IEEE Trans. Neural Netw. Learn. Syst. 2016, 27, 2364–2374. [Google Scholar] [CrossRef]
- Peng, Z.; Wang, D.; Chen, Z.; Hu, X.; Lan, W. Adaptive Dynamic Surface Control for Formations of Autonomous Surface Vehicles With Uncertain Dynamics. IEEE Trans. Control. Syst. Technol. 2013, 2, 513–520. [Google Scholar] [CrossRef]
- Panagou, D.; Kyriakopoulos, K.J. Cooperative formation control of underactuated marine vehicles for target surveillance under sensing and communication constraints. In Proceedings of the 2013 IEEE International Conference on Robotics and Automation (ICRA), Karlsruhe, Germany, 6–10 May 2013; pp. 1871–1876. [Google Scholar]
- US Military. Unmanned System Integrated Roadmap; Technical Report; US Department of Defense (DoD): Washington, DC, USA, 2010. [Google Scholar]
- Royal Navy. Unmanned Warrior. 2016. Available online: https://www.royalnavy.mod.uk/news-and-latest-activity/operations/uk-home-waters/unmanned-warrior (accessed on 23 August 2018).
- Liu, Y.; Bucknall, R. Path planning algorithm for unmanned surface vehicle formations in a practical maritime environment. Ocean. Eng. 2015, 97, 126–144. [Google Scholar] [CrossRef]
- Zhu, D.; Huang, H.; Yang, S.X. Dynamic task assignment and path planning of multi-AUV system based on an improved self-organizing map and velocity synthesis method in three-dimensional underwater workspace. IEEE Trans. Cybern. 2013, 43, 504–514. [Google Scholar] [PubMed]
- Huang, H.; Zhu, D.; Ding, F. Dynamic task assignment and path planning for multi-AUV system in variable ocean current environment. J. Intell. Robot. Syst. 2014, 74, 999–1012. [Google Scholar] [CrossRef]
- Liu, Y.; Bucknall, R. Efficient Multi-task Allocation and Path Planning for Unmanned Surface Vehicle in Support of Ocean Operations. Neurocomputing 2018, 275, 1550–1566. [Google Scholar] [CrossRef]
- Ma, Y.; Zhao, Y.; Qi, X.; Zheng, Y.; Gan, R. Cooperative communication framework design for the unmanned aerial vehicles-unmanned surface vehicles formation. Adv. Mech. Eng. 2018, 10, 1–9. [Google Scholar] [CrossRef]
- Singh, Y.; Sharma, S.; Hatton, D.; Sutton, R. Optimal path planning of unmanned surface vehicles. Indian J. Geo-Mar. Sci. 2018, 47, 1325–1334. [Google Scholar]
- Rajendran, P.; Moscicki, T.; Wampler, J.; Shah, B.C.; von Ellenrieder, K.; Gupta, S.K. Wave-Aware Trajectory Planning for Unmanned Surface Vehicles Operating in Congested Environments. In Proceedings of the 2018 IEEE International Symposium on Safety, Security, and Rescue Robotics (SSRR), Philadelphia, PA, USA, 6–8 August 2018; pp. 1–7. [Google Scholar]
- Hinostroza, M.; Soares, C.G.; Xu, H. Motion Planning, Guidance and Control System for Autonomous Surface Vessel. In Proceedings of the ASME 2018 37th International Conference on Ocean, Offshore and Arctic Engineering, American Society of Mechanical Engineers, Madrid, Spain, 17–22 June 2018; p. V11BT12A016. [Google Scholar]
- Wang, N.; Gao, Y.; Zheng, Z.; Zhao, H.; Yin, J. A Hybrid Path-Planning Scheme for an Unmanned Surface Vehicle. In Proceedings of the 2018 Eighth International Conference on Information Science and Technology (ICIST), Cordoba, Spain, 30 June–6 July 2018; pp. 231–236. [Google Scholar]
- Wang, Y.; Yu, X.; Liang, X. Design and implementation of global path planning system for unmanned surface vehicle among multiple task points. Int. J. Veh. Auton. Syst. 2018, 14, 82–105. [Google Scholar] [CrossRef]
- Singh, Y.; Sharma, S.; Sutton, R.; Hatton, D.; Khan, A. Feasibility study of a constrained Dijkstra approach for optimal path planning of an unmanned surface vehicle in a dynamic maritime environment. In Proceedings of the 2018 IEEE International Conference on Autonomous Robot Systems and Competitions (ICARSC), Torres Vedras, Portugal, 25–27 April 2018; pp. 117–122. [Google Scholar]
- Sharma, S.K.; Sutton, R.; Motwani, A.; Annamalai, A. Non-linear control algorithms for an unmanned surface vehicle. Proc. Inst. Mech. Eng. Part J. Eng. Marit. Environ. 2014, 228, 146–155. [Google Scholar] [CrossRef]
- Chen, Y.Q.; Wang, Z. Formation control: A review and a new consideration. In Proceedings of the 2005 IEEE/RSJ International Conference on Intelligent Robots and Systems, Edmonton, AB, Canada, 2–6 August 2005; pp. 3181–3186. [Google Scholar]
- Kanjanawanishkul, K. Formation control of mobile robots: Survey. UBU Eng. J. 2016, 4, 50–64. [Google Scholar]
- Guanghua, W.; Deyi, L.; Wenyan, G.; Peng, J. Study on formation control of multi-robot systems. In Proceedings of the 2013 Third International Conference on Intelligent System Design and Engineering Applications (ISDEA), Hong Kong, China, 16–18 January 2013; pp. 1335–1339. [Google Scholar]
- Willcox, S.; Goldberg, D.; Vaganay, J.; Curcio, J. Multi-vehicle cooperative navigation and autonomy with the bluefin CADRE system. In Proceedings of the IFAC (International Federation of Automatic Control) Conference, Prishtina, Kosovo, 15–17 June 2006; pp. 20–22. [Google Scholar]
- Bellingham, J.G.; Chandler, P. Autonomous Ocean Sampling Networks II (AOSN-II): System Engineering and Project Coordination; Technical Report; Monterey Bay Aquarium Research Institute: Moss Landing, CA, USA, 2003. [Google Scholar]
- Aguiar, A.P.; Almeida, J.; Bayat, M.; Cardeira, B.; Cunha, R.; Häusler, A.; Maurya, P.; Oliveira, A.; Pascoal, A.; Pereira, A.; et al. Cooperative control of multiple marine vehicles theoretical challenges and practical issues. IFAC Proc. Vol. 2009, 42, 412–417. [Google Scholar] [CrossRef]
- Kalwa, J.; Pascoal, A.; Ridao, P.; Birk, A.; Glotzbach, T.; Brignone, L.; Bibuli, M.; Alves, J.; Silva, M. EU project MORPH: Current Status After 3 Years of Cooperation Under and Above Water. IFAC-PapersOnLine 2015, 48, 119–124. [Google Scholar] [CrossRef]
- Balch, T.; Arkin, R.C. Behavior-based formation control for multirobot teams. IEEE Trans. Robot. Autom. 1998, 14, 926–939. [Google Scholar] [CrossRef]
- Arrichiello, F.; Chiaverini, S.; Fossen, T.I. Formation control of marine surface vessels using the null-space-based behavioral control. In Group Coordination and Cooperative Control; Springer: Berlin/Heidelberg, Germany, 2006; pp. 1–19. [Google Scholar]
- Benjamin, M.; Leonard, J.; Curcio, J.; Newman, P. A Method for Protocol-BasedCollision Avoidance betweenAutonomous Marine SurfaceCraft. J. Field Robot. 2006, 23, 333–346. [Google Scholar] [CrossRef]
- Kumar, R.; Stover, J.A. A behavior-based intelligent control architecture with application to coordination of multiple underwater vehicles. IEEE Trans. Syst. Man Cybern. Part Syst. Hum. 2000, 30, 767–784. [Google Scholar] [CrossRef]
- Rosenblatt, J.; Williams, S.; Durrant-Whyte, H. A behavior-based architecture for autonomous underwater exploration. Inf. Sci. 2002, 145, 69–87. [Google Scholar] [CrossRef]
- Das, A.K.; Fierro, R.; Kumar, R.V.; Ostrowski, J.P.; Spletzer, J.; Taylor, C.J. A vision-based formation control framework. IEEE Trans. Robot. Autom. 2002, 18, 813–825. [Google Scholar] [CrossRef]
- Skjetne, R.; Moi, S.; Fossen, T.I. Nonlinear formation control of marine craft. In Proceedings of the 2002 41st IEEE Conference on Decision and Control, Las Vegas, NV, 10–13 December 2002; Volume 2, pp. 1699–1704. [Google Scholar]
- Breivik, M.; Hovstein, V.E.; Fossen, T.I. Ship formation control: A guided leader-follower approach. IFAC Proc. Vol. 2008, 41, 16008–16014. [Google Scholar] [CrossRef]
- Peng, Z.; Wang, D.; Hu, X. Robust adaptive formation control of underactuated autonomous surface vehicles with uncertain dynamics. IET Control. Theory Appl. 2011, 5, 1378–1387. [Google Scholar] [CrossRef]
- Jin, X. Fault tolerant finite-time leader-follower formation control for autonomous surface vessels with LOS range and angle constraints. Automatica 2016, 68, 228–236. [Google Scholar] [CrossRef]
- Liu, Y.; Bucknall, R. The angle guidance path planning algorithms for unmanned surface vehicle formations by using the fast marching method. Appl. Ocean. Res. 2016, 59, 327–344. [Google Scholar] [CrossRef]
- Edwards, D.; Bean, T.; Odell, D.; Anderson, M. A leader-follower algorithm for multiple AUV formations. In Proceedings of the 2004 IEEE/OES Autonomous Underwater Vehicles, Sebasco, Maine, 17–18 June 2004; pp. 40–46. [Google Scholar]
- Cui, R.; Ge, S.S.; How, B.V.E.; Choo, Y.S. Leader–follower formation control of underactuated autonomous underwater vehicles. Ocean. Eng. 2010, 37, 1491–1502. [Google Scholar] [CrossRef]
- Cui, R.; Ge, S.S.; How, B.V.E.; Choo, Y.S. Leader-follower formation control of underactuated auvs with leader position measurement. In Proceedings of the 2009 ICRA’09 IEEE International Conference on Robotics and Automation, Kobe, Japan, 12–17 May 2009; pp. 979–984. [Google Scholar]
- Li, S.; Wang, X. Finite-time consensus and collision avoidance control algorithms for multiple AUVs. Automatica 2013, 49, 3359–3367. [Google Scholar] [CrossRef]
- Peng, Z.; Wang, D.; Shi, Y.; Wang, H.; Wang, W. Containment control of networked autonomous underwater vehicles with model uncertainty and ocean disturbances guided by multiple leaders. Inf. Sci. 2015, 316, 163–179. [Google Scholar] [CrossRef]
- Xing, W.; Zhao, Y.; Karimi, H.R. Convergence analysis on multi-AUV systems with leader-follower architecture. IEEE Access 2017, 5, 853–868. [Google Scholar] [CrossRef]
- Rout, R.; Subudhi, B. A backstepping approach for the formation control of multiple autonomous underwater vehicles using a leader–follower strategy. J. Mar. Eng. Technol. 2016, 15, 38–46. [Google Scholar] [CrossRef]
- Yang, E.; Gu, D. Nonlinear formation-keeping and mooring control of multiple autonomous underwater vehicles. IEEE/ASME Trans. Mech. 2007, 12, 164–178. [Google Scholar] [CrossRef]
- Tan, K.H.; Lewis, M.A. Virtual structures for high-precision cooperative mobile robotic control. In Proceedings of the IROS 96 1996 IEEE/RSJ International Conference on Intelligent Robots and Systems’ 96, Osaka, Japan, 8 November 1996; Volume 1, pp. 132–139. [Google Scholar]
- Ren, W.; Beard, R. Decentralized scheme for spacecraft formation flying via the virtual structure approach. J. Guid. Control. Dyn. 2004, 27, 73–82. [Google Scholar] [CrossRef]
- Lewis, M.A.; Tan, K.H. High precision formation control of mobile robots using virtual structures. Auton. Robot. 1997, 4, 387–403. [Google Scholar] [CrossRef]
- Mehrjerdi, H.; Ghommam, J.; Saad, M. Nonlinear coordination control for a group of mobile robots using a virtual structure. Mechatronics 2011, 21, 1147–1155. [Google Scholar] [CrossRef]
- Do, K. Formation control of underactuated ships with elliptical shape approximation and limited communication ranges. Automatica 2012, 48, 1380–1388. [Google Scholar] [CrossRef]
- Khatib, O. Real Time Obstacle Avoidance for Manipulators and Mobile Robots. Int. J. Robot. Res. 1986, 5, 90–98. [Google Scholar] [CrossRef]
- Zhang, M.; Shen, Y.; Wang, Q.; Wang, Y. Dynamic artificial potential field based multi-robot formation control. In Proceedings of the Instrumentation and Measurement Technology Conference (I2MTC), Austin, TX, USA, 3–6 May 2010; pp. 1530–1534. [Google Scholar]
- Ge, S.S.; Fua, C.H. Queues and artificial potential trenches for multirobot formations. IEEE Trans. Robot. 2005, 21, 646–656. [Google Scholar] [CrossRef]
- Paul, T.; Krogstad, T.R.; Gravdahl, J.T. Modelling of UAV formation flight using 3D potential field. Simul. Model. Pract. Theory 2008, 16, 1453–1462. [Google Scholar] [CrossRef]
- Wang, J.; Wu, X.B.; Xu, Z.L. Decentralized formation control and obstacles avoidance based on potential field method. In Proceedings of the 2006 International Conference on Machine Learning and Cybernetics, Guangzhou, China, 18–21 August 2006; pp. 803–808. [Google Scholar]
- Huang, H.; Tang, Q.; Zhang, G.; Wan, L.; Qin, H. A novel approach to integrate potential field and interval type-2 fuzzy learning for the formation control of multiple autonomous underwater vehicles. Adv. Mech. Eng. 2017, 9, 1687814017737447. [Google Scholar] [CrossRef]
- Das, B.; Subudhi, B.; Pati, B.B. Co-operative control of a team of autonomous underwater vehicles in an obstacle-rich environment. J. Mar. Eng. Technol. 2016, 15, 135–151. [Google Scholar] [CrossRef]
- Mei, J.H.; Arshad, M. A hybrid artificial potential field method for autonomous surface vessel path planning in dynamic riverine environment. Indian J. Geo-Mar. Sci. 2015, 44, 1980–1994. [Google Scholar]
- Zhai, H.; Ji, Z.; Gao, J. Formation control of multiple robot fishes based on artificial potential field and leader-follower framework. In Proceedings of the 2013 25th Chinese, Control and Decision Conference (CCDC), Guiyang, China, 25–27 May 2013; pp. 2616–2620. [Google Scholar]
- Liu, C.L.; Tian, Y.P. Formation control of multi-agent systems with heterogeneous communication delays. Int. J. Syst. Sci. 2009, 40, 627–636. [Google Scholar] [CrossRef]
- Ren, W. Consensus based formation control strategies for multi-vehicle systems. In Proceedings of the 2006 American Control Conference, Minneapolis, MN, USA, 14–16 June 2006; 6p. [Google Scholar]
- Krick, L. Application of gRaph Rigidity in Formation Control of Multi-Robot Networks. Ph.D. Thesis, University of Toronto, Toronto, ON, Canada, 2007. [Google Scholar]
- Singh, Y.; Sharma, S.; Sutton, R.; Hatton, D.; Khan, A. A constrained A* approach towards optimal path planning for an unmanned surface vehicle in a maritime environment containing dynamic obstacles and ocean currents. Ocean. Eng. 2018, 169, 187–201. [Google Scholar] [CrossRef]
- Gazi, V.; Passino, K.M. Stability analysis of swarms. IEEE Trans. Autom. Control. 2003, 48, 692–697. [Google Scholar] [CrossRef]
- Bibuli, M.; Bruzzone, G.; Caccia, M.; Lapierre, L. Path-following algorithms and experiments for an unmanned surface vehicle. J. Field Robot. 2009, 26, 669–688. [Google Scholar] [CrossRef]
















| Start | WP 1 | WP 2 | WP 3 | Goal | |
|---|---|---|---|---|---|
| x (pixels) | 238 | 261 | 272 | 285 | 299 |
| y (pixels) | 212 | 251 | 271 | 284 | 312 |
© 2020 by the authors. Licensee MDPI, Basel, Switzerland. This article is an open access article distributed under the terms and conditions of the Creative Commons Attribution (CC BY) license (http://creativecommons.org/licenses/by/4.0/).
Share and Cite
Singh, Y.; Bibuli, M.; Zereik, E.; Sharma, S.; Khan, A.; Sutton, R. A Novel Double Layered Hybrid Multi-Robot Framework for Guidance and Navigation of Unmanned Surface Vehicles in a Practical Maritime Environment. J. Mar. Sci. Eng. 2020, 8, 624. https://doi.org/10.3390/jmse8090624
Singh Y, Bibuli M, Zereik E, Sharma S, Khan A, Sutton R. A Novel Double Layered Hybrid Multi-Robot Framework for Guidance and Navigation of Unmanned Surface Vehicles in a Practical Maritime Environment. Journal of Marine Science and Engineering. 2020; 8(9):624. https://doi.org/10.3390/jmse8090624
Chicago/Turabian StyleSingh, Yogang, Marco Bibuli, Enrica Zereik, Sanjay Sharma, Asiya Khan, and Robert Sutton. 2020. "A Novel Double Layered Hybrid Multi-Robot Framework for Guidance and Navigation of Unmanned Surface Vehicles in a Practical Maritime Environment" Journal of Marine Science and Engineering 8, no. 9: 624. https://doi.org/10.3390/jmse8090624
APA StyleSingh, Y., Bibuli, M., Zereik, E., Sharma, S., Khan, A., & Sutton, R. (2020). A Novel Double Layered Hybrid Multi-Robot Framework for Guidance and Navigation of Unmanned Surface Vehicles in a Practical Maritime Environment. Journal of Marine Science and Engineering, 8(9), 624. https://doi.org/10.3390/jmse8090624

