Sign in to use this feature.

Years

Between: -

Subjects

remove_circle_outline
remove_circle_outline
remove_circle_outline
remove_circle_outline
remove_circle_outline
remove_circle_outline
remove_circle_outline
remove_circle_outline
remove_circle_outline

Journals

remove_circle_outline
remove_circle_outline
remove_circle_outline
remove_circle_outline
remove_circle_outline
remove_circle_outline
remove_circle_outline
remove_circle_outline
remove_circle_outline
remove_circle_outline
remove_circle_outline
remove_circle_outline
remove_circle_outline
remove_circle_outline
remove_circle_outline
remove_circle_outline
remove_circle_outline
remove_circle_outline
remove_circle_outline
remove_circle_outline
remove_circle_outline
remove_circle_outline
remove_circle_outline
remove_circle_outline

Article Types

Countries / Regions

remove_circle_outline
remove_circle_outline
remove_circle_outline
remove_circle_outline
remove_circle_outline
remove_circle_outline
remove_circle_outline
remove_circle_outline
remove_circle_outline
remove_circle_outline
remove_circle_outline

Search Results (6,713)

Search Parameters:
Keywords = marine environment

Order results
Result details
Results per page
Select all
Export citation of selected articles as:
24 pages, 7986 KB  
Article
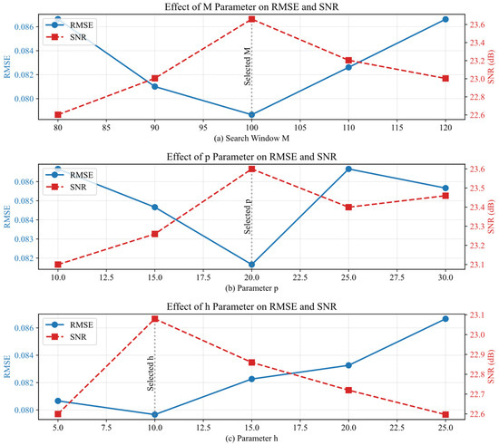
GVMD-NLM: A Hybrid Denoising Method for GNSS Buoy Elevation Time Series Using Optimized VMD and Non-Local Means Filtering
by Huanghuang Zhang, Shengping Wang, Chao Dong, Guangyu Xu and Xiaobo Cai
Sensors 2026, 26(2), 522; https://doi.org/10.3390/s26020522 (registering DOI) - 13 Jan 2026
Abstract
GNSS buoys are essential for real-time elevation monitoring in coastal waterways, yet the vertical coordinate time series are frequently contaminated by complex non-stationary noise, and existing denoising methods often rely on empirical parameter settings that compromise reliability. This paper proposes GVMD-NLM, a hybrid [...] Read more.
GNSS buoys are essential for real-time elevation monitoring in coastal waterways, yet the vertical coordinate time series are frequently contaminated by complex non-stationary noise, and existing denoising methods often rely on empirical parameter settings that compromise reliability. This paper proposes GVMD-NLM, a hybrid denoising framework optimized by an improved Grey Wolf Optimizer (GWO). The method introduces an adaptive convergence factor decay function derived from the Sigmoid function to automatically determine the optimal parameters (K and α) for Variational Mode Decomposition (VMD). Sample Entropy (SE) is then employed to identify low-frequency effective signals, while the remaining high-frequency noise components are processed via Non-Local Means (NLM) filtering to recover residual information while suppressing stochastic disturbances. Experimental results from two datasets at the Dongguan Waterway Wharf demonstrate that GVMD-NLM consistently outperforms SSA, CEEMDAN, VMD, and GWO-VMD. In Dataset One, GVMD-NLM reduced the RMSE by 26.04% (vs. SSA), 17.87% (vs. CEEMDAN), 24.28% (vs. VMD), and 13.47% (vs. GWO-VMD), with corresponding SNR improvements of 11.13%, 7.00%, 10.18%, and 5.05%. In Dataset Two, the method achieved RMSE reductions of 28.87% (vs. SSA), 17.12% (vs. CEEMDAN), 18.45% (vs. VMD), and 10.26% (vs. GWO-VMD), with SNR improvements of 10.48%, 5.52%, 6.02%, and 3.11%, respectively. The denoised signal maintains high fidelity, with correlation coefficients (R) reaching 0.9798. This approach provides an objective and automated solution for GNSS data denoising, offering a more accurate data foundation for waterway hydrodynamics research and water level monitoring. Full article
(This article belongs to the Special Issue Advances in GNSS Signal Processing and Navigation—Second Edition)
Show Figures

Figure 1

29 pages, 6013 KB  
Article
Data-Driven Multidecadal Reconstruction and Nowcasting of Coastal and Offshore 3-D Sea Temperature Fields from Satellite Observations: A Case Study in the East/Japan Sea
by Eun-Joo Lee, Yerin Hwang, Young-Taeg Kim, SungHyun Nam and Jae-Hun Park
Remote Sens. 2026, 18(2), 246; https://doi.org/10.3390/rs18020246 (registering DOI) - 13 Jan 2026
Abstract
Understanding ocean temperature structure and its spatiotemporal variability is essential for studying ocean circulation, climate, and marine ecosystems. While previous approaches using observations and numerical models have advanced our understanding, they face limitations such as sparse data coverage and computational bias. To address [...] Read more.
Understanding ocean temperature structure and its spatiotemporal variability is essential for studying ocean circulation, climate, and marine ecosystems. While previous approaches using observations and numerical models have advanced our understanding, they face limitations such as sparse data coverage and computational bias. To address these issues, we developed an ensemble of data-driven neural network models trained with in situ vertical profiles and daily remote sensing inputs. Unlike previous studies that were limited to open-ocean regions, our model explicitly included coastal areas with complex bathymetry. The model was applied to the East/Japan Sea and reconstructed 31 years (1993–2023) of daily three-dimensional ocean temperature fields at 13 standard depths. The predictions were validated against observations, showing RMSE < 1.33 °C and bias < 0.10 °C. Comparisons with previous studies confirmed the model’s ability to capture short- to mid-term temperature variations. This data-driven approach demonstrates a robust alternative to traditional methods and offers an applicable and reliable tool for understanding long-term ocean variability in marginal seas. Full article
Show Figures

Figure 1

30 pages, 1125 KB  
Article
Analysis of Technological Readiness Indexes for Offshore Renewable Energies in Ibero-American Countries
by Claudio Moscoloni, Emiliano Gorr-Pozzi, Manuel Corrales-González, Adriana García-Mendoza, Héctor García-Nava, Isabel Villalba, Giuseppe Giorgi, Gustavo Guarniz-Avalos, Rodrigo Rojas and Marcos Lafoz
Energies 2026, 19(2), 370; https://doi.org/10.3390/en19020370 - 12 Jan 2026
Abstract
The energy transition in Ibero-American countries demands significant diversification, yet the vast potential of offshore renewable energies (ORE) remains largely untapped. Slow adoption is often attributed to the hostile marine environment, high investment costs, and a lack of institutional, regulatory, and industrial readiness. [...] Read more.
The energy transition in Ibero-American countries demands significant diversification, yet the vast potential of offshore renewable energies (ORE) remains largely untapped. Slow adoption is often attributed to the hostile marine environment, high investment costs, and a lack of institutional, regulatory, and industrial readiness. A critical barrier for policymakers is the absence of methodologically robust tools to assess national preparedness. Existing indices typically rely on simplistic weighting schemes or are susceptible to known flaws, such as the rank reversal phenomenon, which undermines their credibility for strategic decision-making. This study addresses this gap by developing a multi-criteria decision-making (MCDM) framework based on a problem-specific synthesis of established optimization principles to construct a comprehensive Offshore Readiness Index (ORI) for 13 Ibero-American countries. The framework moves beyond traditional methods by employing an advanced weight-elicitation model rooted in the Robust Ordinal Regression (ROR) paradigm to analyze 42 sub-criteria across five domains: Regulation, Planning, Resource, Industry, and Grid. Its methodological core is a non-linear objective function that synergistically combines a Shannon entropy term to promote a maximally unbiased weight distribution and to prevent criterion exclusion, with an epistemic regularization penalty that anchors the solution to expert-derived priorities within each domain. The model is guided by high-level hierarchical constraints that reflect overarching policy assumptions, such as the primacy of Regulation and Planning, thereby ensuring strategic alignment. The resulting ORI ranks Spain first, followed by Mexico and Costa Rica. Spain’s leadership is underpinned by its exceptional performance in key domains, supported by specific enablers, such as a dedicated renewable energy roadmap. The optimized block weights validate the model’s structure, with Regulation (0.272) and Electric Grid (0.272) receiving the highest importance. In contrast, lower-ranked countries exhibit systemic deficiencies across multiple domains. This research offers a dual contribution: methodological innovation in readiness assessment and an actionable tool for policy instruments. The primary policy conclusion is clear: robust regulatory frameworks and strategic planning are the pivotal enabling conditions for ORE development, while industrial capacity and infrastructure are consequent steps that must follow, not precede, a solid policy foundation. Full article
(This article belongs to the Special Issue Advanced Technologies for the Integration of Marine Energies)
34 pages, 3942 KB  
Article
Microplastics Across Interconnected Aquatic Matrices: A Comparative Study of Marine, Riverine, and Wastewater Matrices in Northern Greece
by Nina Maria Ainali, Dimitrios N. Bikiaris and Dimitra A. Lambropoulou
Appl. Sci. 2026, 16(2), 772; https://doi.org/10.3390/app16020772 - 12 Jan 2026
Abstract
Microplastics (MPs) and nanoplastics (NPs) have emerged as pervasive pollutants across different aquatic systems on a global basis, yet integrated assessments linking wastewater, riverine, and marine environments remain scarce. The present study provides the first comprehensive evaluation of MPs in three interconnected aquatic [...] Read more.
Microplastics (MPs) and nanoplastics (NPs) have emerged as pervasive pollutants across different aquatic systems on a global basis, yet integrated assessments linking wastewater, riverine, and marine environments remain scarce. The present study provides the first comprehensive evaluation of MPs in three interconnected aquatic matrices of Northern Greece, namely surface seawater from the Thermaic Gulf, surface freshwater from the Axios River, and influent and effluent wastewaters from the Thessaloniki WWTP (Sindos). During two sampling periods spanning late 2023 and spring 2024, suspected MPs were isolated, morphologically classified by stereomicroscopy, and chemically characterized through pyrolysis–gas chromatography/mass spectrometry (Py–GC/MS). MPs were ubiquitously detected in all substrates, exhibiting distinct spatial and compositional patterns. Seawater samples displayed moderate concentrations (1.5–4.8 items m−3) dominated by fibers and fragments, while riverine samples contained slightly higher levels (0.5–2.5 items m−3), enriched in fibrous forms and polyolefins (PE, PP). Wastewater influents showed the highest MP abundance (78–200 items L−1; 155.6–392.3 µg L−1), decreasing significantly in effluents (11–44 items L−1; 27.8–74.3 µg L−1), corresponding to a removal efficiency of 81–87.5%, being the first indicative removal efficiencies in a Greek WWTP. Among the different polymers detected, polyethylene, polypropylene, and poly(ethylene terephthalate) were identified as the most prevalent polymers across all matrices. Interestingly, a shift toward smaller size classes (125–500 µm) in effluents indicated in-plant fragmentation processes, while increased concentrations during December coincided with increased rainfall, highlighting the influence of hydrological conditions on MP fluxes. The combined morphological and polymer-specific approach provides a holistic zunderstanding of MP transport from inland to marine systems, establishing essential baseline data for Mediterranean environments and reinforcing the need for integrated monitoring and mitigation strategies. Full article
Show Figures

Figure 1

21 pages, 5664 KB  
Article
M2S-YOLOv8: Multi-Scale and Asymmetry-Aware Ship Detection for Marine Environments
by Peizheng Li, Dayong Qiao, Jianyi Mu and Linlin Qi
Sensors 2026, 26(2), 502; https://doi.org/10.3390/s26020502 - 12 Jan 2026
Abstract
Ship detection serves as a core foundational task for marine environmental perception. However, in real marine scenarios, dense vessel traffic often causes severe target occlusion while multi-scale targets, asymmetric vessel geometries, and harsh conditions (e.g., haze, low illumination) further degrade image quality. These [...] Read more.
Ship detection serves as a core foundational task for marine environmental perception. However, in real marine scenarios, dense vessel traffic often causes severe target occlusion while multi-scale targets, asymmetric vessel geometries, and harsh conditions (e.g., haze, low illumination) further degrade image quality. These factors pose significant challenges to vision-based ship detection methods. To address these issues, we propose M2S-YOLOv8, an improved framework based on YOLOv8, which integrates three key enhancements: First, a Multi-Scale Asymmetry-aware Parallelized Patch-wise Attention (MSA-PPA) module is designed in the backbone to strengthen the perception of multi-scale and geometrically asymmetric vessel targets. Second, a Deformable Convolutional Upsampling (DCNUpsample) operator is introduced in the Neck network to enable adaptive feature fusion with high computational efficiency. Third, a Wasserstein-Distance-Based Weighted Normalized CIoU (WA-CIoU) loss function is developed to alleviate gradient imbalance in small-target regression, thereby improving localization stability. Experimental results on the Unmanned Vessel Zhoushan Perception Dataset (UZPD) and the open-source Singapore Maritime Dataset (SMD) demonstrate that M2S-YOLOv8 achieves a balanced performance between lightweight design and real-time inference, showcasing strong potential for reliable deployment on edge devices of unmanned marine platforms. Full article
(This article belongs to the Section Environmental Sensing)
Show Figures

Figure 1

31 pages, 5199 KB  
Article
A Comparison of Self-Supervised and Supervised Deep Learning Approaches in Floating Marine Litter and Other Types of Sea-Surface Anomalies Detection
by Olga Bilousova, Mikhail Krinitskiy, Maria Pogojeva, Viktoriia Spirina and Polina Krivoshlyk
Remote Sens. 2026, 18(2), 241; https://doi.org/10.3390/rs18020241 - 12 Jan 2026
Abstract
Monitoring marine litter in the Arctic is crucial for environmental assessment, yet automated methods are needed to process large volumes of visual data. This study develops and compares two distinct machine learning approaches to automatically detect floating marine litter, birds, and other anomalies [...] Read more.
Monitoring marine litter in the Arctic is crucial for environmental assessment, yet automated methods are needed to process large volumes of visual data. This study develops and compares two distinct machine learning approaches to automatically detect floating marine litter, birds, and other anomalies from ship-based optical imagery captured in the Barents and Kara seas. We evaluated a supervised Visual Object Detection (VOD) model (YOLOv11) against a self-supervised classification approach that combines a Momentum Contrast (MoCo) framework with a ResNet50 backbone and a CatBoost classifier. Both methods were trained and tested on a dataset of approximately 10,000 manually annotated sea surface images. Our findings reveal a significant performance trade-off between the two techniques. The YOLOv11 model excelled in detecting clearly visible objects like birds with an F1-score of 73%, compared to 67% for the classification method. However, for the primary and more challenging task of identifying marine litter, which demonstrates less clear visual representation in optical imagery, the self-supervised approach was substantially more effective, achieving a 40% F1-score, versus the 10% obtained for the VOD model. This study demonstrates that, while standard object detectors are effective for distinct objects, self-supervised learning strategies can offer a more robust solution for detecting less-defined targets like marine litter in complex sea-surface imagery. Full article
(This article belongs to the Section Ocean Remote Sensing)
17 pages, 826 KB  
Review
Fungal Degradation of Microplastics—An Environmental Need
by Rachel R. West, Mason T. MacDonald and Chijioke U. Emenike
Toxics 2026, 14(1), 70; https://doi.org/10.3390/toxics14010070 - 12 Jan 2026
Abstract
Plastic waste is a global issue due to the popularity of the product. Over time, plastic degrades into smaller particles known as microplastics and becomes harder to deal with as it easily disperses and can be missed by physical catches. Conventional degradation involves [...] Read more.
Plastic waste is a global issue due to the popularity of the product. Over time, plastic degrades into smaller particles known as microplastics and becomes harder to deal with as it easily disperses and can be missed by physical catches. Conventional degradation involves environmental forces like ultraviolet (UV) light, water, temperature, and physical abrasion. However, there is increasing interest in microbial plastic degradation, which could positively impact the transformation of (micro)plastics in various environmental matrices. Most of the available research has focused on bacterial degradation, but there is mounting evidence on the impact of fungal degradation. This review discusses conventional and bacterial degradation, then discusses the advantages of fungal involvement in the degradation of microplastics. Biodegradation enhanced by fungal enzymes is a valuable tool that could greatly improve the removal of these microplastic pollutants from the environment. Due to some biochemical complexities, fungi are naturally omnipresent in marine and terrestrial environments under all sorts of climates. Fungi could thrive by themselves or in association with other microorganisms, which could also be applied in non-biotic plastic degradation processes as an alternative to other forms of plastic management in the environment. Full article
Show Figures

Graphical abstract

18 pages, 4145 KB  
Article
A Hydrodynamic Model of the Subsea Christmas Trees in the Drill Pipes Retrieval Process at 2000-Meter Water Depth
by Xudong Wu, Jianyi Chen, Ming Luo, Chunming Zeng, Heng Wang, Yingying Wang and Qi Wei
Processes 2026, 14(2), 256; https://doi.org/10.3390/pr14020256 - 12 Jan 2026
Abstract
Subsea Christmas trees serve as key technical equipment for subsea oil and gas development, as they regulate the flow of oil and gas at subsea wellheads. Most deep-water subsea Christmas trees deployed in China depend on imports, resulting in high procurement costs. Post-operation, [...] Read more.
Subsea Christmas trees serve as key technical equipment for subsea oil and gas development, as they regulate the flow of oil and gas at subsea wellheads. Most deep-water subsea Christmas trees deployed in China depend on imports, resulting in high procurement costs. Post-operation, these systems are typically hoisted and recovered using drill pipes and steel wire ropes. However, the harsh and dynamic deep-sea environment complicates the prediction of the tree movement posture in seawater, making safe retrieval an urgent challenge in marine oil and gas resource exploitation. Focusing on 2000 m water depth subsea Christmas tree installation and retrieval, with a specific sea area in the South China Sea as the case study, this paper applies OrcaFlex software version 11.4 to analyze drill pipe stress during retrieval and investigate movement posture changes of the tree body across different stages. Meanwhile, targeting varied operational sea conditions and integrating orthogonal test analysis, this paper quantifies the influence of parameters (wave height, ocean current velocity, and retrieval speed) on the retrieval process. The findings provide theoretical guidance and technical support for China’s deep-water subsea Christmas tree installation and retrieval operations. Full article
Show Figures

Figure 1

28 pages, 1060 KB  
Review
Application of Reproductive Toxicity Caused by Endocrine Disruptors in Rotifers: A Review
by Guangyan Liang, Shenyu Liu, Shan Wang and Yuxue Qin
Biology 2026, 15(2), 128; https://doi.org/10.3390/biology15020128 - 11 Jan 2026
Viewed by 54
Abstract
Endocrine-disrupting chemicals (EDCs), widespread in aquatic environments, interfere with endocrine function in organisms and threaten ecosystem stability. Rotifers, critical live feed for marine fish, shrimp, and crab larvae, link EDC-induced reproductive impairment to marine ecosystem stability and aquaculture sustainability. This PRISMA-compliant review synthesizes [...] Read more.
Endocrine-disrupting chemicals (EDCs), widespread in aquatic environments, interfere with endocrine function in organisms and threaten ecosystem stability. Rotifers, critical live feed for marine fish, shrimp, and crab larvae, link EDC-induced reproductive impairment to marine ecosystem stability and aquaculture sustainability. This PRISMA-compliant review synthesizes key findings, consequences, and gaps in EDC–rotifer reproductive toxicity research. Traditional EDCs (heavy metals, per- and polyfluoroalkyl substances (PFASs), phenols, phthalate esters, polybrominated diphenyl ethers (PBDEs), and steroid hormones) and emerging EDCs (disinfection byproducts, microplastics, pharmaceutical metabolites) induce distinct reproductive harm—e.g., Hg2+ shows extreme toxicity (24 h LC50 = 4.51 μg L−1 in Brachionus plicatilis), BDE-47 damages ovaries, and microplastics cause transgenerational delays. Rotifer species and exposure duration affect sensitivity (e.g., BDE-47: 96 h LC50 = 0.163 mg L−1 vs. 24 h LC50 > 22 mg L−1 in B. plicatilis). Oxidative stress is a universal mechanism, and combined EDC exposure produces context-dependent synergistic/antagonistic effects. EDC-induced impairment reduces rotifer population density, alters structure, and propagates through food webs, threatening aquaculture and biodiversity; transgenerational toxicity (e.g., 4-nonylphenol: F1 inhibition 28% vs. 12% in F0) weakens resilience. This review supports EDC risk assessment, with gaps including long-term low-concentration data, transgenerational mechanisms, EDC–microbiome interactions, and emerging PFAS toxicity—priorities for future research. Full article
(This article belongs to the Special Issue Global Fisheries Resources, Fisheries, and Carbon-Sink Fisheries)
39 pages, 1731 KB  
Review
Analysis of Major Global Oil Spill Incidents: Part 1—Environmental and Ecological Impacts
by Panagiota Keramea, George Zodiatis and Georgios Sylaios
J. Mar. Sci. Eng. 2026, 14(2), 153; https://doi.org/10.3390/jmse14020153 - 11 Jan 2026
Viewed by 83
Abstract
Oil spills remain among the most severe anthropogenic threats to marine ecosystems, with consequences that span ecological, socio-economic, and human health domains. While numerous studies have investigated individual accidents such as Exxon Valdez, Prestige, and Deepwater Horizon, systematic comparative analyses across multiple large-scale [...] Read more.
Oil spills remain among the most severe anthropogenic threats to marine ecosystems, with consequences that span ecological, socio-economic, and human health domains. While numerous studies have investigated individual accidents such as Exxon Valdez, Prestige, and Deepwater Horizon, systematic comparative analyses across multiple large-scale incidents remain limited. This review addresses this critical gap by synthesizing findings from fourteen major oil spills worldwide. It examines the roles of oil type and environmental conditions, emphasizing impacts on fish, seabirds, shoreline habitats, and benthic organisms, as well as on long-term ecosystem recovery. Across cases, coastal waters, shorelines, and benthic communities consistently emerged as the most impacted habitats, reflecting both the persistence of oil in nearshore environments and the challenges of long-term restoration. Biologically, all trophic levels were affected: plankton, fish, seabirds, and benthic invertebrates were highly vulnerable, while marine mammals and reptiles suffered population-level effects. By integrating cross-case evidence, this review highlights recurring patterns, key uncertainties, and long-lasting ecosystem disruptions that persist decades after acute events. The Deepwater Horizon spill stands out as the most ecologically severe incident, whereas earlier spills such as Exxon Valdez, Erika, and Prestige remain benchmarks for ecological damage. Thus, this state-of-the-art review provides the most comprehensive comparative assessment of oil spill impacts to date and offers technical recommendations for enhancing preparedness, response, and resilience in the face of future spills. Full article
(This article belongs to the Section Marine Environmental Science)
Show Figures

Figure 1

24 pages, 7954 KB  
Article
Machine Learning-Based Prediction of Maximum Stress in Observation Windows of HOV
by Dewei Li, Zhijie Wang, Zhongjun Ding and Xi An
J. Mar. Sci. Eng. 2026, 14(2), 151; https://doi.org/10.3390/jmse14020151 - 10 Jan 2026
Viewed by 140
Abstract
With advances in deep-sea exploration technologies, utilizing human-occupied vehicles (HOV) in marine science has become widespread. The observation window is a critical component, as its structural strength affects submersible safety and performance. Under load, it experiences stress concentration, deformation, cracking, and catastrophic failure. [...] Read more.
With advances in deep-sea exploration technologies, utilizing human-occupied vehicles (HOV) in marine science has become widespread. The observation window is a critical component, as its structural strength affects submersible safety and performance. Under load, it experiences stress concentration, deformation, cracking, and catastrophic failure. The observation window will experience different stress distributions in high-pressure environments. The maximum principal stress is the most significant phenomenon that determines the most likely failure of materials in windows of HOV. This study proposes an artificial intelligence-based method to predict the maximum principal stress of observation windows in HOV for rapid safety assessment. Samples were designed, while strain data with corresponding maximum principal stress values were collected under different loading conditions. Three machine learning algorithms—transformer–CNN-BiLSTM, CNN-LSTM, and Gaussian process regression (GP)—were employed for analysis. Results show that the transformer–CNN-BiLSTM model achieved the highest accuracy, particularly at the point exhibiting the maximum the principal stress value. Evaluation metrics, including mean squared error (MSE), mean absolute error (MAE), and root squared residual (RSR), confirmed its superior performance. The proposed hybrid model incorporates a positional encoding layer to enrich input data with locational information and combines the strengths of bidirectional long short-term memory (LSTM), one-dimensional CNN, and transformer–CNN-BiLSTM encoders. This approach effectively captures local and global stress features, offering a reliable predictive tool for health monitoring of submersible observation windows. Full article
(This article belongs to the Section Ocean Engineering)
Show Figures

Figure 1

18 pages, 7072 KB  
Article
Enhancing Marine Gravity Anomaly Recovery from Satellite Altimetry Using Differential Marine Geodetic Data
by Yu Han, Fangjun Qin, Jiujiang Yan, Hongwei Wei, Geng Zhang, Yang Li and Yimin Li
Appl. Sci. 2026, 16(2), 726; https://doi.org/10.3390/app16020726 - 9 Jan 2026
Viewed by 129
Abstract
Traditional fusion methods for integrating multi-source gravity data rely on predefined mathematical models that inadequately capture complex nonlinear relationships, particularly at wavelengths shorter than 10 km. We developed a convolutional neural network incorporating differential marine geodetic data (DMGD-CNN) to enhance marine gravity anomaly [...] Read more.
Traditional fusion methods for integrating multi-source gravity data rely on predefined mathematical models that inadequately capture complex nonlinear relationships, particularly at wavelengths shorter than 10 km. We developed a convolutional neural network incorporating differential marine geodetic data (DMGD-CNN) to enhance marine gravity anomaly recovery from HY-2A satellite altimetry. The DMGD-CNN framework encodes spatial gradient information by computing differences between target points and their surrounding neighborhoods, enabling the model to explicitly capture local gravity field variations. This approach transforms absolute parameter values into spatial gradient representations, functioning as a spatial high-pass filter that enhances local gradient information critical for short-wavelength gravity signal recovery while reducing the influence of long-wavelength components. Through systematic ablation studies with eight parameter configurations, we demonstrate that incorporating first- and second-order seabed topography derivatives significantly enhances model performance, reducing the root mean square error (RMSE) from 2.26 mGal to 0.93 mGal, with further reduction to 0.85 mGal achieved by the differential learning strategy. Comprehensive benchmarking against international gravity models (SIO V32.1, DTU17, and SDUST2022) demonstrates that DMGD-CNN achieves 2–10% accuracy improvement over direct CNN predictions in complex topographic regions. Power spectral density analysis reveals enhanced predictive capabilities at wavelengths below 10 km for the direct CNN approach, with DMGD-CNN achieving further precision enhancement at wavelengths below 5 km. Cross-validation with independent shipborne surveys confirms the method’s robustness, showing 47–63% RMSE reduction in shallow water regions (<2000 m depth) compared to HY-2A altimeter-derived results. These findings demonstrate that deep learning with differential marine geodetic features substantially improves marine gravity field modeling accuracy, particularly for capturing fine-scale gravitational features in challenging environments. Full article
18 pages, 5554 KB  
Article
The Assimilation of CFOSAT Wave Heights Using Statistical Background Errors
by Leqiang Sun, Natacha Bernier, Benoit Pouliot, Patrick Timko and Lotfi Aouf
Remote Sens. 2026, 18(2), 217; https://doi.org/10.3390/rs18020217 - 9 Jan 2026
Viewed by 113
Abstract
This paper discusses the assimilation of significant wave height (Hs) observations from the China France Oceanography SATellite (CFOSAT) into the Global Deterministic Wave Prediction System developed by Environment and Climate Change Canada. We focus on the quantification of background errors in an effort [...] Read more.
This paper discusses the assimilation of significant wave height (Hs) observations from the China France Oceanography SATellite (CFOSAT) into the Global Deterministic Wave Prediction System developed by Environment and Climate Change Canada. We focus on the quantification of background errors in an effort to address the conventional, simplified, homogeneous assumptions made in previous studies using Optimal Interpolation (OI) to generate Hs analysis. A map of Best Correlation Length, L, is generated to count for the inhomogeneity in the wave field. This map was calculated from pairs of Hs forecasts of two grid points shifted in space and time from which a look-up table is derived and used to infer the spatial extent of correlations within the wave field. The wave spectra are then updated from Hs analysis using a frequency shift scheme. Results reveal significant spatial variance in the distribution of L, with notably high values located in the eastern tropical Pacific Ocean, a pattern that is expected due to the persistent swells dominating in this region. Experiments are conducted with spatially varying correlation lengths and a set correlation length of eight grid points in the analysis step. Forecasts from these analyses are validated independently with the Global Telecommunications System buoys and the Copernicus Marine Environment Monitoring Service (CMEMS) altimetry wave height observations. It is found that the proposed statistical method generally outperforms the conventional method with lower standard deviation and bias for both Hs and peak period forecasts. The conventional method has more drastic corrections on Hs forecasts, but such corrections are not robust, particularly in regions with relatively short spatial correlation length scales. Based on the analysis of the CMEMS comparison, the globally varying correlation length produces a positive increment of the Hs forecast, which is globally associated with forecast error reduction lasting up to 24 h into the forecast. Full article
(This article belongs to the Section Ocean Remote Sensing)
Show Figures

Figure 1

21 pages, 300 KB  
Article
Digital Empowerment of the China’s Marine Fishery for High-Quality Development: A Total Factor Productivity Perspective
by Mengqian Guo, Jintao Ma, Zhengjie Wu and Haohan Wang
Fishes 2026, 11(1), 39; https://doi.org/10.3390/fishes11010039 - 8 Jan 2026
Viewed by 92
Abstract
In the context of the era where the maritime power strategy converges with the wave of the digital economy, the digital economy provides a critical transformational opportunity for marine fisheries to break through the traditional extensive model and achieve high-quality development. Based on [...] Read more.
In the context of the era where the maritime power strategy converges with the wave of the digital economy, the digital economy provides a critical transformational opportunity for marine fisheries to break through the traditional extensive model and achieve high-quality development. Based on panel data from 41 coastal cities in China from 2003 to 2022, this study empirically examines the enabling effect of the digital economy on marine fisheries from the perspective of total factor productivity. The findings are as follows: First, the development of the digital economy promotes the improvement of total factor productivity in marine fisheries, but this is primarily achieved through “innovation-driven” expansion of the production frontier, while its potential in “efficiency catch-up” has not yet been fully realized. Second, the enabling effect exhibits distinct spatial heterogeneity, with its positive impact concentrated in cities in the South China Sea region, where industrial foundations and policy environments are more aligned. Third, the influence of the digital economy demonstrates nonlinear threshold characteristics; when technology promotion and industrial collaboration surpass specific thresholds, the enabling effect significantly strengthens, but as innovation capability improves, its marginal contribution shows a diminishing trend. Accordingly, it is recommended to deepen the application of digital technologies in core processes, transitioning from “isolated applications” to “systematic integration.” Simultaneously, tailored regional development strategies should be formulated to align with the resource endowments and development stages of each maritime region. On this basis, efforts should be made to improve technology promotion and industrial support systems, construct a collaborative and efficient digital fishery ecosystem, and facilitate the sustainable transition of marine fisheries from factor-driven to innovation-driven growth. Full article
(This article belongs to the Special Issue Advances in Fisheries Economics)
23 pages, 5216 KB  
Article
Improvement of the Semi-Analytical Algorithm Integrating Ultraviolet Band and Deep Learning for Inverting the Absorption Coefficient of Chromophoric Dissolved Organic Matter in the Ocean
by Yongchao Wang, Quanbo Xin, Xiaodao Wei, Luoning Xu, Jinqiang Bi, Kexin Bao and Qingjun Song
Remote Sens. 2026, 18(2), 207; https://doi.org/10.3390/rs18020207 - 8 Jan 2026
Viewed by 79
Abstract
As an important component of waters constituent that affects ocean color and the underwater ecological environment, the accurate assessment of Chromophoric Dissolved Organic Matter (CDOM) is crucial for observing the continuous changes in the marine ecosystem. However, remote sensing estimation of CDOM remains [...] Read more.
As an important component of waters constituent that affects ocean color and the underwater ecological environment, the accurate assessment of Chromophoric Dissolved Organic Matter (CDOM) is crucial for observing the continuous changes in the marine ecosystem. However, remote sensing estimation of CDOM remains challenging for both coastal and oceanic waters due to its weak optical signals and complex optical conditions. Therefore, the development of efficient, practical, and robust models for estimating the CDOM absorption coefficient in both coastal and oceanic waters remains an active research focus. This study presents a novel algorithm (denoted as DQAAG) that incorporates ultraviolet bands into the inversion model. The design leverages the distinct spectral absorption characteristics of phytoplankton versus detrital particles in the ultraviolet (UV) region, enabling improved discrimination of water color parameters. Furthermore, the algorithm replaces empirical formulas commonly used in semi-analytical approaches with an artificial intelligence model (deep learning) to achieve enhanced inversion accuracy. Using IOCCG hyperspectral simulation data and NOMAD dataset to evaluates Shanmugam (2011) (S2011), Aurin et al. (2018) (A2018), Zhu et al. (2011) (QAA-CDOM), DQAAG, the results indicate that the ag(443) derived from the DQAAG exhibit good agreement with the validation data, with root mean square deviation (RMSD) < 0.3 m−1, mean absolute relative difference (MARD) < 0.30, mean bias (bias) < 0.028 m−1, coefficient of determination (R2) > 0.78. The DQAAG algorithm was applied to SeaWiFS remote sensing data, and validation was performed through match-up analysis with the NOMAD dataset. The results show the RMSD = 0.14 m−1, MARD = 0.39, and R2 = 0.62. Through a sensitivity analysis of the algorithm, the study reveals that Rrs(670) and Rrs(380) exhibit more significant characteristics. These results demonstrate that UV bands play a crucial role in enhancing the retrieval accuracy of ocean color parameters. In addition, DQAAG, which integrates semi-analytical algorithms with artificial intelligence, presents an encouraging approach for processing ocean color imagery to retrieve ag(443). Full article
(This article belongs to the Special Issue Artificial Intelligence in Hyperspectral Remote Sensing Data Analysis)
Show Figures

Figure 1

Back to TopTop