You are currently viewing a new version of our website. To view the old version click .
Journal of Marine Science and Engineering
  • Article
  • Open Access

1 February 2020

Levels of Diatom Minor Sterols Respond to Changes in Temperature and Salinity

,
and
Climate Change Cluster, University of Technology Sydney, Sydney, NSW 2007, Australia
*
Author to whom correspondence should be addressed.
This article belongs to the Special Issue Selected Papers from the 3rd Australian New Zealand Marine Biotechnology (ANZMBS) Conference

Abstract

Diatoms are a broadly distributed and evolutionarily diversified group of microalgae that produce a diverse range of sterol compounds. Sterols are triterpenoids that play essential roles in membrane-related processes in eukaryotic cells. Some sterol compounds possess bioactivities that promote human health and are currently used as nutraceuticals. The relationship between sterol diversity in diatoms and their acclimation to different environments is not well understood. In this study, we investigated the occurrence of different sterol types across twelve diatom species, as well as the effect of temperature reduction and changes in salinity on the sterol contents of three model diatom species. In the diatoms Thalassiosira pseudonana, Phaeodactylum tricornutum and Chaetoceros muelleri, we found that changes in the relative contents of minor sterols accompanied shifts in temperature and salinity. This may be indicative of acquired adaptive traits in diatom metabolism.

1. Introduction

Sterols are essential triterpenoids present in all eukaryotes [1]. They contribute to the maintenance of important cellular dynamics such as membrane permeability, signaling and modulation of membrane-bound protein functions [2]. Besides their importance in signaling, sterol metabolism has been reported to function as a “molecular fossil” to track important evolutionary events such as oxygen availability in the ocean–atmosphere system [3]. Plant sterols, known as phytosterols, have beneficial effects on human health including demonstrated cholesterol-lowering [4] properties, anti-inflammatory [5] and anti-diabetic activities [6]. Phytosterols are currently commercialized as nutraceuticals in many food products such as spread, cream cheese, yoghurt and milk [7]. The Board of Food Standards Australia New Zealand (Federal Register of Legislative Instruments F2015L00440) and The European Atherosclerosis Society Consensus Panel have classified sterols as safe compounds to use in foods, as well as in the administration to patients for the treatment of hypercholesterolemia [8].
In animals and higher plants, sterols are involved in the synthesis of secondary metabolites such as steroid hormones [9]. Unlike animals and fungi, which mostly contain a single sterol, plants and algae contain a diverse range of sterols [10,11]. Diatoms (Bacillariophyceae), in particular, produce a high diversity of unique and rare sterols: at least twenty-five different sterols have been empirically identified in over one hundred diatom species [12]. Diatoms are unicellular phytoplankton that serve as primary photosynthetic engines in the global carbon cycle [13]. They are evolutionarily diversified microalgae that are broadly distributed in different aquatic environments [14]. Diatoms are an important source of sterols in the marine ecosystem due to their predominance in the ocean [12]. Although the sterol profiles of diverse diatom species have been studied, the influence of environmental conditions on the abundance and identities of species-specific sterol repertoires is not fully known [15]. Environmental conditions such as salinity [16] and the availability of nutrients including nitrogen, phosphate and silicate appear to affect sterol production in some microalgae [17,18].
Since sterols are involved in cellular processes that interact with environmental conditions, such as cellular signaling and membrane fluidity [2], the regulation of sterol content by diatom species might be sensitive to changes in the environment and growth conditions. It is not known whether the wide diversity of sterols compounds in diatoms respond to changes in temperature, as in plants, or whether they are involved in complex signaling functions such as cell death [19]. The presence of 23-methyl sterols, cyclopropyl sterols and 27-norsterols is thought to provide a defence mechanism against grazers, potentially interfering with the sterol metabolism of predatory organisms [20]. Furthermore, conditions like salinity have been reported to affect important cellular processes in diatoms such as biosilicification [21].
In this study, we surveyed the sterol contents of twelve diatoms representing multiple clades and environments. We then evaluated the effects of a reduction in temperature and changes in salinity on the cell growth and sterol profiles of three commonly cultured mesophilic model diatoms: the centric diatom Thalassiosira pseudonana, the pennate diatom Phaeodactylum tricornutum and the chaetocerid diatom Chaetoceros muelleri.

2. Results

The sterol contents of twelve diatom species evaluated here agreed with earlier studies [12]. Each diatom has shown a unique sterol profile that differs significantly between closely related species (Figure 1). The most commonly found sterol was 24-methylcholesta-5,24(24’)-dien-3β-ol, which was present in all but three species: C. curvisetus, P. tricornutum and the polar diatom Pseudonitzshia sp. The occurrence of various sterol types across different diatoms did not appear to clearly segregate by clade or environment (Figure 1) [12,22], suggesting a more complex route to evolutionary diversification of sterol production in diatoms.
Figure 1. Sterol distribution among 12 different diatom species. Diatom species were grown at 18 °C except by polar diatoms cultivated at 3 °C.
To investigate dynamic responses of diatom sterol production to changes in their environment, the diatom species C. muelleri, T. pseudonana and P. tricornutum were separately subjected to i) a reduction in temperature and ii) changes in salinity.

2.1. A Shift to Cold Temperature (4 °C) Caused Species-Specific Growth Effects and Changes in Minor Sterols

Under normal conditions, P. tricornutum produced brassicasterol as its principal sterol type, as well as minor amounts of campesterol and cholesterol (Figure 2). C. muelleri principally produced cholesterol and fucosterol, as well as minor amounts of 24-methylcholesta-5,24(24’)-dien-3β-ol, isofucosterol and traces of an unknown sterol. T. pseudonana produced mainly 24-methylcholesta-5,24(24’)-dien-3β-ol, as well as smaller amounts of campesterol, fucosterol, isofucosterol and cholesterol. Cholesterol was the only common sterol detected in all the three diatom species (Figure 2).
Figure 2. Sterol abundance and distribution in the diatoms Chaetoceros muelleri, Phaeodactylum tricornutum and Thalassiosira pseudonana growing under standard conditions: L1 medium at 18 °C under cool white continuous light (100 µmol photons m−2 s−1; n = 6).
In response to a shift to cold temperature (4 °C), the diatoms C. muelleri, P. tricornutum and T. pseudonana exhibited different growth effects (Figure 3). The cell density of C. muelleri, which was isolated in 24 °C seas near Hawaii, decreased after 24 h at 4 °C. T. pseudonana, which was isolated from a temperate seasonal environment (10–20 °C), maintained cell density at 4 °C but did not multiply further. In contrast, P. tricornutum continued to grow at 4 °C, despite a reported optimal temperature range of 11–21 °C (Figure 3) [23].
Figure 3. Growth curves of diatoms under 4 °C. Time 0 represents the beginning of the temperature shock (n = 3).
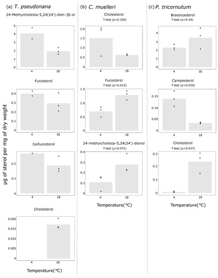
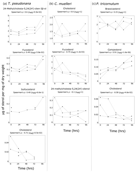
Changes in sterol content during the shift to lower temperature appeared to correlate with survival. In C. muelleri, sterol content did not change significantly, with the exception of a marginal decrease in fucosterol (Spearman’s ρ: −0.75, p < 0.0012; Figure 4, t-test, p = 0.015; Figure 5). In T. pseudonana, multiple sterols appeared to shift in relative abundance, but with insufficient replicates to provide confident conclusions. In P. tricornutum, campesterol increased (Spearman’s ρ: 0.91, p < 0.0000016, t-test, p = 0.03), while cholesterol decreased (Spearman’s ρ: −0.58, p < 0.0046, t-test, p = 0.037; Figure 4 and Figure 5).
Figure 4. Sterol levels in diatoms growing at 4 °C. Abundance is given in terms of µg of sterol per mg of biomass dry weight (n = 3).
Figure 5. Sterol levels in diatoms growing at 4 °C and 18 °C after 96 h of temperature shock. Abundance is given in terms of µg of sterol per mg of biomass dry weight (n = 3). A t-test is provided for samples with n = 3.

2.2. Species-Specific Tolerance to Different Salinities

To determine ranges of salinity in which each diatom species was able to grow, we performed a screening of eight different salt concentrations in amended L1 medium, including the standard salinity level of 30 ppt that was used for the cultivation of marine diatoms. The diatoms C. muelleri and T. pseudonana were tolerant to salinities between 17 and 39 ppt (Figure 6). At 47 ppt and above, impairment in growth was observed, especially for T. pseudonana. At low salinity levels (10 and 17 ppt), the growth of C. muelleri and T. pseudonana was affected. P. tricornutum continued to grow well at low salinity, which is consistent with brackish marine environments from which it was isolated [23] (Figure 6).
Figure 6. Screening of growth yield and growth rate versus the salinity level in the diatoms C. muelleri (Cm), P. tricornutum (Pt) and T. pseudonana (Tp; n = 3). Screening was performed in 96-well plates. Growth was estimated using fluorescence with excitation at 485 nm and emission at 680 nm.

2.3. Salinity Affects the Relative Contents of Non-Principal Sterols in Diatoms

To measure the effect of salinity on the sterol content of diatoms, we grew C. muelleri and P. tricornutum in medium containing salt at concentrations of 10 ppt, 30 ppt and 61 ppt, and T. pseudonana in medium containing salt at concentrations of 10 ppt, 30 ppt and 53 ppt. The amount of the principal sterol found in C. muelleri, cholesterol, was not affected by changes in salinity. 24-Methylcholesta-5,24(24’)-dien-3β-ol decreased at 61 ppt (Spearman’s ρ: −0.9, p < 0.001; Figure 7). In T. pseudonana, levels of its principal sterol 24-methylcholesta-5,24(24’)-dien-3β-ol were not affected by changes in salinity, but fucosterol and isofucosterol increased in proportion to salinity concentration (Figure 7). At low salinity (10 ppt), fucosterol was reduced by 50% compared to standard salinity (30 ppt), and increased by 20% at high salinity (53 ppt; Spearman’s ρ: 0.9, p < 0.001). In P. tricornutum, brassicasterol and campesterol levels were negatively correlated with salinity concentration: at low salinity (10 ppt) both sterols increased relative to standard salinity (30 ppt) and decreased at high salinity (61 ppt; Spearman’s ρ: −0.74, p < 0.02). Traces of cholesterol were detected in T. pseudonana and P. tricornutum only under standard salinity conditions (30 ppt; Figure 7).
Figure 7. Sterol levels in diatoms growing at different salinity levels. Abundance is given in terms of µg of sterol per mg of biomass dry weight (n = 3).

3. Discussion

3.1. The Composition of Sterol Types in Different Diatoms Is Not Simply Explained by Clade or Environment

In this study, profiling of sterol compounds in 12 broadly distributed, evolutionarily divergent diatom species resulted in a wide distribution of sterol compositions that could not be explained simply by diatom clade or environmental niche (Figure 1). This lack of a general relationship between diatom clades and sterol patterns has been noted previously, and precludes the use of sterol profiling as a means of unambiguous phylogenetic assignment [12]. Species-specific differences in sterol composition are likely related to evolution and diversification of sterol biosynthesis. Diatoms share a common core of early sterol biosynthetic enzymes that is unique to diatoms [15,24], and lineage-specific divergence likely occurs in downstream reactions (Jaramillo-Madrid et al., unpublished data). Typical C-22 desaturated sterols such as brassicasterol have been found in P. tricornutum, consistent with the presence of sterol 22-desaturase enzymes, whereas the same desaturases have not been detected in the centric diatoms T. pseudonana and C. muelleri (Jaramillo-Madrid et al., unpublished data).
The relative proportions of sterol types produced by each species also appear to be a specifically evolved property, and the abundance of sterol compounds is different in each diatom (Figure 2). Similarly, in plants, the balance between 24-methylsterols and 24-ethylsterols varies by individual species [9]. Moreover, different plant sterols play particular functions within the cell, such as precursors of plant hormones that regulate growth and development in different tissues [9]. Besides sterols occurring in free forms, conjugated sterols such as esterified and glycosylated sterols have been found in diatoms, but their biological role is still unclear [25,26]. Sterol sulphates are involved in signaling to induce cell death in the marine diatom Skeletonema marinoi often present in blooms [19]. Additional specific functional roles of different sterol types in diatoms beyond are not yet known.

3.2. P. tricornutum Thrives and Shifts Its Sterol Content at a Reduced Temperature

In laboratory experiments, we found a correlation between changes in the sterol profile of the diatom P. tricornutum and a significative reduction of culture temperature. In plants, phytosterols regulate membrane cohesion to sustain the functional state of membranes during temperature shifts [9]. This is achieved by the presence of phytosterols with additional ethyl groups branched on C-24, unlike cholesterol, which is the main sterol found in mammals, which reinforces attractive van der Waals interactions resulting in increased membrane cohesion [27]. We found that in the diatom P. tricornutum the amount of campesterol, a C-24 methyl branched sterol, increased gradually during the temperature shock unlike cholesterol that was significantly reduced after 96 h of low temperature growth (Figure 4 and Figure 5). However, brassicasterol, the most abundant sterol found in P. tricornutum, levels remain unchanged (Figure 4 and Figure 5). These results suggest that a similar strategy used by plants for fine tuning of non-principal sterols [27] may also operate in diatoms.
Further research is required to describe to what extent different temperatures affect sterols composition in diatoms, how this is regulated, and whether general trends can be reliably detected. It was reported that the sterol content in P. tricornutum at 13 °C increased by more than 50% compared to sterols produced at 23 °C [25], but an increase of this magnitude was not observed in our study. In contrast, Piepho et al. (2012) showed that the freshwater diatom Cyclotella meneghiniana produced lower amounts of sterols at 10 °C than at 25 °C, and that this also depended on the supply of phosphorus [18].
The effect of a shift to cold temperature on the relative contents of sterols in T. pseudonana and C. muelleri was less conclusive than for P. tricornutum (Figure 3). It is possible that the temperatures chosen were too low for these species to effectively re-acclimate, or that sterol regulation is not involved in the tolerance or sensitivity of these diatoms to low temperature.

3.3. Minor Sterols Respond to Changes in Salinity and Temperature

L1 medium and seawater salinity is about 30 ppt and 32 ppt respectively [28]. Thus, the best growth for the three marine diatom species tested was expected in this salinity range. We found that the diatoms C. muelleri and T. pseudonana grew well within in a range of sodium chloride between 25 and 39 ppt (Figure 6). Sensitivity to high salinity observed in T. pseudonana may agree with the theory that this species is an ancestrally freshwater diatom [29]. Surprisingly, P. tricornutum appeared to have a better growth rate under low salinity levels, rather than at 30 ppt or higher. This species is commonly reported to grow well in a range of salinities between 20 and 30 ppt [30], but its tolerance to lower salinities is consistent with the near-shore, brackish and urban environments from this species is commonly isolated [23]. Other diatoms such as Chaetoceros gracilis and six different species of Skeletonema were reported to be tolerant to a wide range of salinities [31,32].
The principal sterols of C. muelleri, P. tricornutum and T. pseudonana were not significantly affected by salt concentration. However, significant variations were observed for sterols constituting a minor portion of the total sterols (Figure 7). This suggests that less abundant sterols might be involved in mechanisms of response to osmotic shock, as it was previously reported for Pavlova lutheri [16]. The diatom sterols that were responsive to changes in salinity, such as 24-methylcholesta-5,24(24’) -dien-3β-ol, campesterol and fucosterol are also intermediaries in the sterol biosynthetic pathways of the diatoms C. muelleri, P. tricornutum and T. pseudonana respectively (Jaramillo-Madrid et al., unpublished data). The concentrations of accessory sterols could be controlled through regulation of the activities of C-24 alkyl transferases that catalyse terminal reactions in sterol biosynthesis. The detection of cholesterol in T. pseudonana and P. tricornutum only under normal salinity conditions (30 ppt) suggests that sterols with methylene, methyl and ethylidene groups on C-24, such as 24-methylcholesta-5,24(24’)-dien-3β-ol, campesterol and fucosterol, respectively, may play a more potent role in adaptive changes to osmotic and temperature stresses. An alternative theory for observed changes in these non-principal sterols is a simple loss in metabolic turnover of sterol intermediates; however, the apparent ease with which P. tricornutum thrived in low temperature and low salinity conditions disagrees with that interpretation. Some of the sterol compounds accumulated under temperature and salinity shock, campesterol and fucosterol have been confirmed to have cholesterol-lowering and anti-cancer activities [33]. This capacity of regulation might represent an advantage when selecting a microalga species for large scale production of sterol compounds.
Other important membrane components such as fatty acids have been reported to fluctuate under different conditions of temperature and salinity. Total fatty acids content decreases in the diatom P. tricornutum after a temperature shift from 25 to 10 °C, whereas eicosapentaenoic acid and polyunsaturated fatty acids considerably increased [34]. Moreover, the diatoms P. tricornutum and Haslea ostrearia seem to have a similar mechanism of adaptation to high temperatures by adjusting length and number of unsaturation in their fatty acids compounds [35]. In the same way, salinity plays an important role in lipid accumulation. A transcriptomics analysis of the oleaginous diatom Nitzschia sp. revealed that genes involved in lipid biosynthesis were up-regulated under salinity stress [36]. Similarly, triacylglycerol content decreased under high salinity levels in the diatom C. gracilis [32]. The levels of pigments, which are catalysed from the same precursors as sterols [37], were reported to remain steady under different salinity conditions in the diatom Pseudo-nitzschia australis. However, secondary metabolites like toxic domoic acid was reported to increase under low salinity levels [38]. This indicates that diatoms possess mechanisms to adapt to changes in environmental conditions by modifying contents of primary metabolites such as sterols.

4. Materials and Methods

4.1. Diatom Species

The species Phaeodactylum tricornutum (CCMP632), Thalassiosira pseudonana (CCMP1335), Thalassiosira oceanica (CCMP1005) and Chaetoceros muelleri (CCMP1316) were obtained from the National Centre for Marine Algae and Microbiota. Lauderia annulata, Thalassiosira rotula and Chaetoceros curvisetus were isolated from Sydney harbour and further identified by 18S sequencing. The cells were maintained in L1 medium at 18 °C under cool white continuous light (100 µmol photons m-2 s-1). Polar diatoms Eucampia sp., Fragilariopsis sp., Pseudonitzshia sp. and Nitzshia sp. were first isolated from Prydz Bay, Davis Station, Antarctica (66°S, 77°E) during the Austral Spring (November 2014) and maintained in 0.2 µm filtered seawater (salinity 35 ppt) enriched with an adjusted L1 stock medium for all Antarctic cultures. Cultures were maintained under 50 µmol photons m−2 s−1 (14:10 hour light: dark cycle) at 3 °C.

4.2. L1 Medium Composition

To prepare 1 L of L1 medium, 1 mL of NaNO3 (75 g L−1), NaH2PO4· H2O (5 g L−1), Na2SiO3 · 9 H2O (30 g L−1), trace element solution (see composition below) and 0.5 mL of vitamin solution (see composition below) were added to 1 L of artificial seawater (see composition below), as described by NCMA in the algal media recipes section (http://ncma.bigelow.org/).
Artificial seawater: NaCl (21 g L−1), Na2SO4 (4.09 g L−1), KCl (0.7 g L−1), NaHCO3 (0.2 g L−1), KBr (0.1 g L−1), H3BO3 (0.03 g L−1), NaF (0.003 g L−1), MgCl2 · 6H20 (11.1 g L−1) and CaCl2 · 2H2O (1.54 g L−1).
Trace element solution: Na2EDTA · 2H2O (1.17 × 10−5 M), FeCl3 · 6H2O (1.17 × 10−5 M), MnCl2·4 H2O (9.1 × 10−7 M), ZnSO4 · 7H2O (8 × 10−8 M), CoCl2 · 6H2O (5 × 10−8 M), CuSO4 · 5H2O (1 × 10−8 M), Na2MoO4 · 2H2O (8.22 × 10−8 M), H2SeO3 (1 × 10−8 M), NiSO4 · 6H2O (1 × 10−8 M), Na3VO4 (1 × 10−8 M) and K2CrO4 (1 × 10−8 M).
Vitamin solution: Thiamine · HCl (2.96 × 10−7 M), biotin (2.05 × 10−9 M) and cyanocobalamin (3.69 × 10−10 M).

4.3. Growth and Harvesting of Diatoms

All diatom species were grown in flasks containing 500 mL of L1 medium at the specified light and temperature conditions. Cells were harvested during the late exponential growth phase by centrifuging at 4000× g for 10 min. Diatom pellets were washed with Milli-Q water to eliminate salt excess, freeze-dried to determine dry matter weight and kept at −20 °C until sterol extraction.

4.4. Reduced Temperature Experiments

The diatom species were cultured in flasks containing 1 L of L1 medium at 18 °C under continuous light with an intensity of 100 μmol photons m−2 s−1. When the cultures reached exponential growth phase, they were transferred to 4 °C to test the effect of rapid cooling on growth and sterol content. To track changes in the sterol profile, 100 mL of culture was sampled immediately before the transition to 4 °C, and then every 24 h until 96 h elapsed. Control cultures remained at 18 °C and were harvested after 96 h. Samples were used for cell counting and sterols extraction. The experiments were performed in triplicate. Biomass was harvested by centrifuging at 4000× g for 10 min. Diatom pellets were washed with Milli-Q water to eliminate salt excess, freeze-dried to determine dry matter weight and kept at −20 °C until sterol extraction.

4.5. Assay for Salinity Tolerances of Diatom Species

To determine the tolerance of different levels of salinity on the growth of diatoms species, screening was carried out in 96-well plates. To adjust salinity of L1 medium different amounts of sodium chloride in artificial seawater were added: 0, 8, 16, 24, 32, 40, 48 and 56 g L−1. Other trace salts components remained the same. Total salt concentrations for amended L1 medium evaluated were 10, 17, 25, 30, 39, 47, 53 and 61 parts per thousand (ppt). The diatoms P. tricornutum, T. pseudonana and C. muelleri were inoculated in triplicate in 96-well plates for each salinity level. Changes in relative growth rates were estimated using a fluorescence plate reader (Infinite M100 pro, Tecan Austria GmbH, Austria), with excitation at 485 nm and emission at 680 nm [39].

4.6. Cultivation at Altered Salinities

The diatoms T. pseudonana, P. tricornutum and C. muelleri were inoculated in triplicate 1 L-flasks with L1 medium 10 ppt, normal salinity conditions (30 ppt), and high salinity content of 61 ppt. For T. pseudonana, the highest salinity was 53 ppt. After five days, 100 mL of culture was harvested by centrifuging at 4000× g for 10 min. Diatom pellets were washed with Milli-Q water to eliminate salt excess, freeze-dried to determine dry matter weight and stored at −20 °C until sterol extraction.

4.7. Extraction and Analysis of Sterols by GC–MS

For sterol extraction, dry cell matter was heated in 1 mL of 10% KOH ethanolic solution at 90 °C for one hour. Sterols were extracted from cooled material in three volumes of 400 µL of hexane. An internal standard, 5-α-cholestane, was added to each sample. Hexane fractions were dried under a gentle N2 stream, and derivatized with 50 µL of 99% BSTFA + 1% TMCS at 70 °C for one hour. The resulting extractions were re-suspended in 50 µL of fresh hexane prior to GC–MS injection.
Gas chromatography/mass spectrometry (GC–MS Agilent 7890, Agilent Technologies, Inc., Santa Clara, CA, USA) analysis was performed using an instrument equipped with a HP-5 capillary column (30 m; 0.25 mm inner diameter, film thickness 0.25 μm) coupled to an Agilent quadrupole MS (5975 N) instrument. The following settings were used: oven temperature initially set to 50 °C, with a gradient from 50 to 250 °C (15.0 °C min−1), and then from 250 to 310 °C (8 °C min−1, hold 10 min); injector temperature = 250 °C; carrier gas helium flow = 0.9 ml min−1. A split-less mode of injection was used, with a purge time of 1 min and an injection volume of 2 μL. Mass spectrometer operating conditions were as follows: ion source temperature 230 °C; quadrupole temperature 150 °C; accelerating voltage 200 eV higher than the manual tune and ionization voltage 70 eV. Full scanning mode with a range from 50 to 650 Dalton was used.
Sterol peaks were identified based on the retention time, mass spectra and representative fragment ions compared to the retention times and mass spectra of authentic standards. The NIST (National Institute of Standards and Technology) library was also used as a reference. The area of the peaks and deconvolution analysis was carried out using the default settings of the Automated Mass Spectral Deconvolution and Identification System AMDIS software (v2.6, NIST). Peak area measurements were normalized by both the weight of dry matter prior to extraction, and the within-sample peak area of the internal standard 5a-cholestane. Sterol standards used to calibrate and identify GC–MS results in this study included: cholest-5-en-3-β-ol (cholesterol); (22E)-stigmasta-5,22-dien-3β-ol (stigmasterol); stigmast-5-en-3-β-ol (sitosterol); 24-methylcholest-5-en-3b-ol (campesterol); (22E)-ergosta-5,22-dien-3-β-ol (brassicasterol); (24E)-stigmasta-5,24-dien-3β-ol (fucosterol); 9,19-cyclo-24-lanosten-3β-ol (cycloartenol); 5-α-cholestane and the derivatization reagent bis(trimethyl-silyl) trifluoroacetamide and trimethylchlorosilane (99% BSTFA + 1% TMCS) and were obtained from Sigma-Aldrich, Australia. Sterol levels in terms of µg of sterol per mg of dry weight were calculated using calibration curves. Due to the lack of standards, 24-methylcholesta-5,24(24’)-dien-3β-ol and (24Z)-stigmasta-5,24-dien-3β-ol (isofucosterol) were quantified using the calibration curve of cholesterol and fucosterol, respectively, supposing that they have similar responses.

4.8. Statistical Analysis

All plots were generated using R: A language and environment for statistical computing, version 3.3.2 [40]. All experiments were conducted in triplicate. The analyses performed were a Student’s t-test and Spearman’s rank correlation (ρ). p values were adjusted using Bonferroni correction for multiple comparisons. Differences were considered significant at p < 0.05.

5. Conclusions

In this study, we found that while the sterol types produced by different diatom species were not simply explained by the environment or clade, changes in the relative contents of minor sterols accompanied shifts in temperature and salinity in three commonly cultivated diatoms. This study provided insight into the role that sterol and sterol diversity might play in the capabilities of diatoms to adapt and survive under changing environmental conditions. The augmentation of less abundant sterols with different physical effects on membrane cohesion might provide a simple means of tuning membrane dynamics, in contrast to bulk shifts in the levels of principal sterols. Thus diatoms might join halotolerant microalgae Dunaliella salina [41] and Halocafeteria seosinensis [42] as microalgal species whose regulation of sterols is included in adaptation and acclimations to new and dynamic environments. Further metabolic characterization of these new and species-specific reactions may help to clarify the relationship between metabolic evolution and the environment.

Author Contributions

A.C.J.-M. designed and performed all experiments, and wrote the manuscript. J.A. designed, advised and materially supported experiments and assisted in writing. P.J.R. advised and materially supported experiments and assisted in writing. All authors have read and agreed to the published version of the manuscript.

Funding

A.C.J.-M. was supported by the UTS International Research Scholarship and President’s Scholarship, as well as a Scholarship from the non-profit Colfuturo Foundation of Colombia. J.A. is the recipient of an Australian Research Council Discovery Early Career Award (DE160100615) funded by the Australian Government.

Acknowledgments

We wish to thank Katherina Petrou, Cristin Sheehan, Unnikrishnan Kuzhiumparambil, Taya Lapshina for methodological guidance.

Conflicts of Interest

The authors declare no conflict of interest.

References

  1. Volkman, J.K. Sterols and other triterpenoids: Source specificity and evolution of biosynthetic pathways. Org. Geochem. 2005, 36, 139–159. [Google Scholar] [CrossRef]
  2. Dufourc, E.J. Sterols and membrane dynamics. J. Chem. Biol. 2008, 1, 63–77. [Google Scholar] [CrossRef] [PubMed]
  3. Gold, D.A.; Caron, A.; Fournier, G.P.; Summons, R.E. Paleoproterozoic sterol biosynthesis and the rise of oxygen. Nature 2017, 543, 420–423. [Google Scholar] [CrossRef] [PubMed]
  4. Ras, R.T.; Geleijnse, J.M.; Trautwein, E.A. LDL-cholesterol-lowering effect of plant sterols and stanols across different dose ranges: A meta-analysis of randomised controlled studies. Br. J. Nutr. 2014, 112, 214–219. [Google Scholar] [CrossRef]
  5. Aldini, R.; Micucci, M.; Cevenini, M.; Fato, R.; Bergamini, C.; Nanni, C.; Cont, M.; Camborata, C.; Spinozzi, S.; Montagnani, M.; et al. Antiinflammatory effect of phytosterols in experimental murine colitis model: prevention, induction, remission study. PLoS ONE 2014, 9, e108112. [Google Scholar] [CrossRef]
  6. Wang, J.; Huang, M.; Yang, J.; Ma, X.; Zheng, S.; Deng, S.; Huang, Y.; Yang, X. Anti-diabetic activity of stigmasterol from soybean oil by targeting the GLUT4 glucose transporter. Food Nutr. Res. 2017, 61, 1–13. [Google Scholar] [CrossRef]
  7. Lin, Y.; Knol, D.; Trautwein, E.A. Phytosterol oxidation products (POP) in foods with added phytosterols and estimation of their daily intake: A literature review. Eur. J. Lipid Sci. Technol. 2016, 118, 1423–1438. [Google Scholar] [CrossRef]
  8. Zampelas, A. From the Maastricht meeting to the European Atherosclerosis Society Consensus on phytosterols/phytostanols: What is new of an old story? Atherosclerosis 2014, 233, 357–358. [Google Scholar] [CrossRef]
  9. Valitova, J.N.; Sulkarnayeva, A.G.; Minibayeva, F.V. Plant sterols: Diversity, biosynthesis, and physiological functions. Biochemistry 2016, 81, 819–834. [Google Scholar] [CrossRef]
  10. Desmond, E.; Gribaldo, S. Phylogenomics of sterol synthesis: insights into the origin, evolution, and diversity of a key eukaryotic feature. Genome Biol. Evol. 2009, 1, 364–381. [Google Scholar] [CrossRef]
  11. Hannich, J.T.; Umebayashi, K.; Riezman, H. Distribution and Functions of Sterols and Sphingolipids. CSH Perspect. 2011, 3, 1–14. [Google Scholar] [CrossRef] [PubMed]
  12. Rampen, S.W.; Abbas, B.A.; Schouten, S.; Damste, J.S.S. A comprehensive study of sterols in marine diatoms (Bacillariophyta): Implications for their use as tracers for diatom productivity. Limnol. Oceanogr. 2010, 55, 91–105. [Google Scholar] [CrossRef]
  13. Benoiston, A.-S.; Ibarbalz, F.M.; Bittner, L.; Guidi, L.; Jahn, O.; Dutkiewicz, S.; Bowler, C. The evolution of diatoms and their biogeochemical functions. Philos. Trans. R. Soc. B Biol. Sci. 2017, 372, 1728. [Google Scholar] [CrossRef] [PubMed]
  14. Armbrust, E.V. The life of diatoms in the world’s oceans. Nature 2009, 459, 185–192. [Google Scholar] [CrossRef]
  15. Jaramillo-Madrid, A.C.; Ashworth, J.; Fabris, M.; Ralph, P.J. Phytosterol biosynthesis and production by diatoms (Bacillariophyceae). Phytochemistry 2019, 163, 46–57. [Google Scholar] [CrossRef]
  16. Ahmed, F.; Zhou, W.; Schenk, P.M. Pavlova lutheri is a high-level producer of phytosterols. Algal Res. 2015, 10, 210–217. [Google Scholar] [CrossRef]
  17. Breteler, W.C.M.K.; Schogt, N.; Rampen, S. Effect of diatom nutrient limitation on copepod development: Role of essential lipids. Mar. Ecol. Prog. Ser. 2005, 291, 125–133. [Google Scholar] [CrossRef]
  18. Piepho, M.; Martin-Creuzburg, D.; Wacker, A. Phytoplankton sterol contents vary with temperature, phosphorus and silicate supply: A study on three freshwater species. Eur. J. Phycol. 2012, 47, 138–145. [Google Scholar] [CrossRef]
  19. Gallo, C.; Ippolito, G.; Nuzzo, G.; Sardo, A.; Fontana, A. Autoinhibitory sterol sulfates mediate programmed cell death in a bloom-forming marine diatom. Nat. Commun. 2017, 8, 1–11. [Google Scholar] [CrossRef]
  20. Giner, J.L.; Wikfors, G.H. “Dinoflagellate Sterols” in marine diatoms. Phytochemistry 2011, 72, 1896–1901. [Google Scholar] [CrossRef]
  21. Vrieling, E.G.; Sun, Q.; Tian, M.; Kooyman, P.J.; Gieskes, W.W.C.; Van Santen, R.A.; Sommerdijk, N.A.J.M. Salinity-dependent diatom biosilicification implies an important role of external ionic strength. Proc. Natl. Acad. Sci. USA 2007, 104, 10441–10446. [Google Scholar] [CrossRef]
  22. Medlin, L.K.; Kaczmarska, I. Evolution of the diatoms: V. Morphological and cytological support for the major clades and a taxonomic revision. Phycologia 2004, 43, 245–270. [Google Scholar] [CrossRef]
  23. Andersen, R.A.; Morton, S.L.; Sexton, J.P. Provasoli-Guillard National Center for Culture of Marine Phytoplankton 1997 list of strains. J. Phycol. 1997, 33, 1–75. [Google Scholar] [CrossRef]
  24. Pollier, J.; Vancaester, E.; Kuzhiumparambil, U.; Vickers, C.; Vandepoele, K.; Goossens, A.; Fabris, M. A widespread alternative squalene epoxidase participates in eukaryote steroid biosynthesis. Nat. Microbiol. 2019, 4, 226. [Google Scholar] [CrossRef] [PubMed]
  25. Veron, B.; Billard, C.; Dauguet, J.C.; Hartmann, M.A. Sterol composition of phaeodactylum tricornutum as influenced by growth temperature and light spectral quality. Lipids 1996, 31, 989–994. [Google Scholar] [CrossRef] [PubMed]
  26. Veron, B.; Dauguet, J.; Billard, C. Sterolic biomarkers in marine phytoplankton. II. Free and conjucated sterols of seven species used in mariculture. J. Phycol. 1998, 34, 273–279. [Google Scholar] [CrossRef]
  27. Beck, J.G.; Mathieu, D.; Loudet, C.; Buchoux, S.; Dufourc, E.J. Plant sterols in “rafts”: A better way to regulate membrane thermal shocks. FASEB J. 2007, 21, 1714–1723. [Google Scholar] [CrossRef]
  28. Guillard, R.R.L.; Hargraves, P.E. Stichochrysis immobilis is a diatom, not a chrysophyte. Phycologia 1993, 32, 234–236. [Google Scholar] [CrossRef]
  29. Alverson, A.J.; Beszteri, B.; Julius, M.L.; Theriot, E.C. The model marine diatom Thalassiosira pseudonana likely descended from a freshwater ancestor in the genus Cyclotella. BMC Evol. Biol. 2011, 11, 125. [Google Scholar] [CrossRef]
  30. Liang, Y.; Sun, M.; Tian, C.; Cao, C.; Li, Z. Effects of salinity stress on the growth and chlorophyll fluorescence of Phaeodactylum tricornutum and Chaetoceros gracilis (Bacillariophyceae). Bot. Mar. 2014, 57, 469–476. [Google Scholar] [CrossRef]
  31. Balzano, S.; Sarno, D.; Kooistra, W.H.C.F. Effects of salinity on the growth rate and morphology of ten Skeletonema strains. J. Plankton Res. 2011, 33, 937–945. [Google Scholar] [CrossRef]
  32. Tokushima, H.; Kashino, N.I.; Nakazato, Y.; Masuda, A.; Ifuku, K. Biotechnology for Biofuels Advantageous characteristics of the diatom Chaetoceros gracilis as a sustainable biofuel producer. Biotechnol. Biofuels 2016, 9, 1–19. [Google Scholar] [CrossRef] [PubMed]
  33. Luo, X.; Su, P.; Zhang, W. Advances in microalgae-derived phytosterols for functional food and pharmaceutical applications. Mar. Drugs 2015, 13, 4231–4254. [Google Scholar] [CrossRef] [PubMed]
  34. Jiang, H.; Gao, K. Effects of lowering temperature during culture on the production of polyunsaturated fatty acids in the marine diatom Phaeodactylum tricornutum (Bacillariophyceae). J. Phycol. 2004, 40, 651–654. [Google Scholar] [CrossRef]
  35. Dodson, V.J.; Mouget, J.; Dahmen, J.L.; Leblond, J.D. The long and short of it: temperature-dependent modifications of fatty acid chain length and unsaturation in the galactolipid profiles of the diatoms Haslea ostrearia and Phaeodactylum tricornutum. Hydrobiologia 2014, 727, 95–107. [Google Scholar] [CrossRef]
  36. Cheng, R.; Feng, J.; Zhang, B.; Huang, Y. Transcriptome and gene expression analysis of an oleaginous diatom under different salinity conditions. Bioenergy Res. 2014, 7, 192–205. [Google Scholar] [CrossRef]
  37. Delgado-Vargas, F.; Jiménez, A.R.; Paredes-López, O. Natural pigments: Carotenoids, anthocyanins, and betalains—Characteristics, biosynthesis, processing, and stability. Crit. Rev. Food Sci. Nutr. 2000, 40, 173–289. [Google Scholar] [CrossRef]
  38. Ayache, N.; Hervé, F.; Lundholm, N.; Amzil, Z.; Caruana, A.M.N. Acclimation of the marine diatom Pseudo-nitzschia australis to different salinity conditions: Effects on growth, photosynthetic activity and domoic acid content. J. Phycol. 2019. [Google Scholar] [CrossRef]
  39. Spilling, K.; Seppälä, J. Measurement of Fluorescence for Monitoring Algal Growth and Health. In Biofuels from Algae—Methods in Molecular Biology; Springer: New York, NY, USA, 2017. [Google Scholar]
  40. R Core Team. R: A Language and Environment for Statistical Computing; R Foundation for Statistical Computing: Vienna, Austria, 2016; Available online: https://www.R-project.org/ (accessed on 1 February 2020).
  41. Zelazny, A.M.; Shaish, A.; Pick, U. Plasma membrane sterols are essential for sensing osmotic changes in the halotolerant alga dunaliella. Plant Physiol. 1992, 1395–1403. [Google Scholar] [CrossRef]
  42. Harding, T.; Roger, A.J.; Simpson, A.G.B. Adaptations to high salt in a halophilic protist: Differential expression and gene acquisitions through duplications and gene transfers. Front. Microbiol. 2017, 8, 944. [Google Scholar] [CrossRef]

Article Metrics

Citations

Article Access Statistics

Multiple requests from the same IP address are counted as one view.