Sensitivity of Storm Response to Antecedent Topography in the XBeach Model
Abstract
1. Introduction
2. Materials and Methods
2.1. Study Area and LiDAR Analysis
2.2. Generation of Baseline and Varied Idealized Profiles
2.3. Synthetic Storms for Simulation
2.4. Numerical Model Setup: 1D and 2D XBeach
2.5. Profile Change Metrics
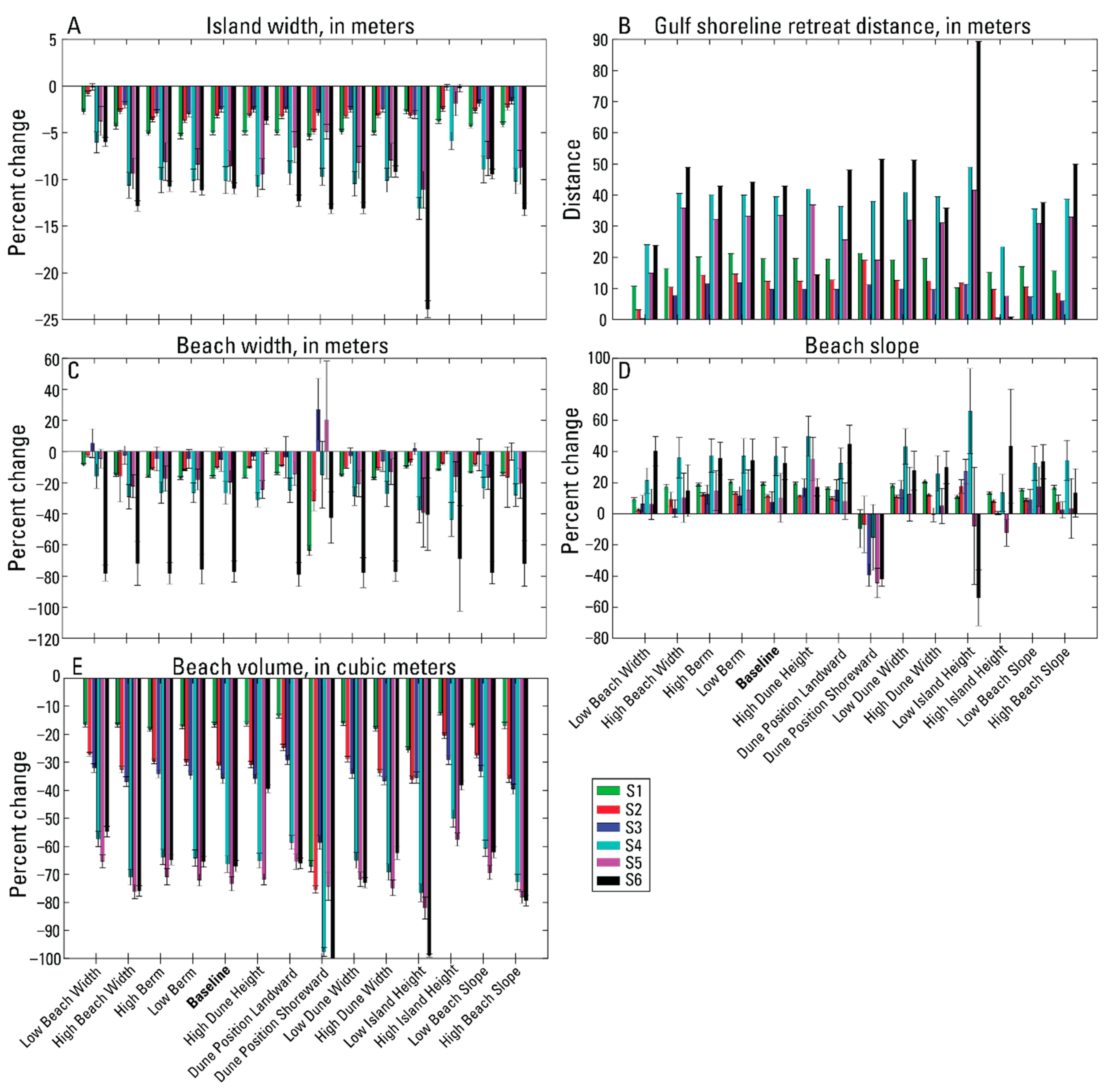
3. Results
3.1. Morphologic Response
3.2. Baseline Deviations and Uncertainty
4. Discussion
5. Conclusions and Future Work
Supplementary Materials
Author Contributions
Funding
Acknowledgments
Conflicts of Interest
References
- Cañizares, R.; Irish, J.L. Simulation of storm-induced barrier island morphodynamics and flooding. Coast. Eng. 2008, 55, 1089–1101. [Google Scholar] [CrossRef]
- Sallenger, A.H. Storm impact scale for barrier islands. J. Coast. Res. 2000, 16, 890–895. [Google Scholar]
- Morton, R.A. Factors Controlling Storm Impacts on Coastal Barriers and Beaches: A Preliminary Basis for near Real-Time Forecasting. J. Coast. Res. 2002, 18, 486–501. [Google Scholar]
- Larson, M.; Kraus, N.C. SBEACH: Numerical Model for Simulating Storm-Induced Beach Change Report 1: Empirical Foundation and Model Development; Technical Report CERC-89-9; Coastal Engineering Research Center, Water-ways Experiment Station: Vicksburg, MS, USA, 1989. [Google Scholar]
- Stockdon, H.F.; Holman, R.A.; Howd, P.A.; Sallenger, A.H. Empirical parameterization of setup, swash, and runup. Coast. Eng. 2006, 53, 573–588. [Google Scholar] [CrossRef]
- Roelvink, D.; Reniers, A.; van Dongeren, A.; van Thiel de Vries, J.; McCall, R.; Lescinski, J. Modelling storm impacts on beaches, dunes and barrier islands. Coast. Eng. 2009, 56, 1133–1152. [Google Scholar] [CrossRef]
- Plant, N.G.; Stockdon, H.F. Probabilistic prediction of barrier-island response to hurricanes. J. Geophys. Res. Earth Surf. 2012, 117, F03015. [Google Scholar] [CrossRef]
- Stockdon, H.F.; Sallenger, A.H.; Holman, R.A.; Howd, P. A simple model for the spatially-variable coastal response to hurricanes. Mar. Geol. 2007, 238, 1–20. [Google Scholar] [CrossRef]
- Lindemer, C.A.; Plant, N.G.; Puleo, J.A.; Thompson, D.M.; Wamsley, T.V. Numerical simulation of a low-lying barrier island’s morphological response to Hurricane Katrina. Coast. Eng. 2010, 57, 985–995. [Google Scholar] [CrossRef]
- Vousdoukas, M.I.; Ferreira, O.; Almeida, L.P.; Pacheco, A. Toward reliable storm-hazard forecasts: XBeach calibration and its potential application in an operational early-warning system. Ocean Dyn. 2012, 62, 1001–1015. [Google Scholar] [CrossRef]
- Phillips, B.T.; Brown, J.M.; Bidlot, J.; Plater, A.J. Role of Beach Morphology in Wave Overtopping Hazard Assessment. J. Mar. Sci. Eng. 2017, 5, 1. [Google Scholar] [CrossRef]
- Houser, C.; Hamilton, S. Sensitivity of post-hurricane beach and dune recovery to event frequency. Earth Surf. Process. Landf. 2009, 34, 613–628. [Google Scholar] [CrossRef]
- Houser, C.; Wernette, P.; Rentschlar, E.; Jones, H.; Hammond, B.; Trimble, S. Post-storm beach and dune recovery: Implications for barrier island resilience. Geomorphology 2015, 234, 54–63. [Google Scholar] [CrossRef]
- Thompson, D.M.; Dalyander, P.S.; Long, J.W.; Plant, N.G. Correction of Elevation Offsets in Multiple Co-Located LiDAR Datasets; Open File Report 2017-1031; U.S. Geological Survey: Reston, VA, USA, 2017; 10p. [CrossRef]
- Doran, K.S.; Stockdon, H.F.; Sopkin, K.L.; Thompson, D.M.; Plant, N.G. National Assessment of Hurricane-Induced Coastal Erosion Hazards: Mid-Atlantic Coast; Open-File Report 2013-1131; U.S. Geological Survey: Reston, VA, USA, 2013; 28p. Available online: http://pubs.usgs.gov/of/2013/1131 (accessed on 24 March 2018).
- Pearson, S.G.; Storlazzi, C.D.; van Dongeren, A.R.; Tissier, M.F.S.; Reniers, A.J.H.M. A Bayesian based system to assess wave-driven flooding hazards on coral reef-lined coasts. J. Geophys. Res. Ocean. 2017, 122, 10099–10117. [Google Scholar] [CrossRef]
- Sanuy, M.; Jimenez, J.A.; Plant, N. A Bayesian Network methodology for coastal hazard assessments on a regional scale: The BN-CRAF. Coast. Eng. 2020, 157. [Google Scholar] [CrossRef]
- De Groot, A.V.; De Vries, S.; Keijsers, J.G.S.; Riksen, M.J.P.M.; Ye, Q.; Poortinga, A.; Arens, S.M.; Van der Bochev-Burgh, L.M.; Wijnberg, K.M.; Schretlen, J.L.; et al. Measuring and modeling coastal dune development in The Netherlands. In NCKDays, Crossing Borders in Coastal Research; Kranenburg, W.M., Horstman, E.M., Wijnberg, K.M., Eds.; NCK: Enschede, The Netherlands, 2012; pp. 105–110. [Google Scholar]
- Pender, D.; Karunarathna, H. A statistical-process based approach for modelling beach profile variability. Coast. Eng. 2013, 81, 19–29. [Google Scholar] [CrossRef]
- Roelvink, D.; Costas, S. Coupling nearshore and aeolian processes: XBeach and duna process-based models. Environ. Model. Softw. 2019, 115, 98–112. [Google Scholar] [CrossRef]
- Mickey, R.C.; Long, J.W.; Dalyander, P.S.; Jenkins, R.L., III; Thompson, D.M.; Passeri, D.L.; Plant, N.G. Development of a Modeling Framework for Predicting Decadal Barrier Island Evolution; Open-File Report 2019-1139; U.S. Geological Survey: Reston, VA, USA, 2020; 61p. [CrossRef]
- McCall, R.T.; Van Thiel de Vries, J.S.M.; Plant, N.G.; Van Dongeren, A.R.; Roelvink, J.A.; Thompson, D.M.; Reniers, A.J.H.M. Two-dimensional time dependent hurricane overwash and erosion modeling at Santa Rosa Island. Coast. Eng. 2010, 57, 668–683. [Google Scholar] [CrossRef]
- Sherwood, C.R.; Long, J.W.; Dickhudt, P.J.; Dalyander, P.S.; Thompson, D.M.; Plant, N.G. Inundation of a barrier island (Chandeleur Islands, Louisiana, USA) during a hurricane: Observed water-level gradients and modeled seaward sand transport. J. Geophys. Res. Earth Surf. 2014, 119, 18. [Google Scholar] [CrossRef]
- Passeri, D.L.; Long, J.W.; Plant, N.G.; Bilskie, M.V.; Hagen, S.C. XBeach Bottom Friction Scenarios: Model Inputs and Results; U.S. Geological Survey Data Release: Reston, VA, USA, 2017. [CrossRef]
- van der Lugt, M.A.; Quataert, E.; van Dongeren, A.; van Ormondt, M.; Sherwood, C.R. Morphodynamic modeling of the response of two barrier islands to Atlantic hurricane forcing, Estuarine. Coast. Shelf Sci. 2019, 229. [Google Scholar] [CrossRef]
- Watkins, A.D. A Synthesis of Alabama Beach States and Nourishment Histories; University of Alabama: Tuscaloosa, AL, USA, 2011; Available online: http://acumen.lib.ua.edu/u0015/0000001/0000723/u0015_0000001_0000723.pdf (accessed on 11 February 2018).
- Froede, C.R. Constructed Sand Dunes on the Developed Barrier-Spit Portion of Dauphin Island, Alabama (U.S.A). J. Coast. Res. 2010, 26, 699–703. [Google Scholar] [CrossRef]
- Otvos, E.G. Coastal Barriers, Gulf of Mexico: Holocene Evolution and Chronology. J. Coast. Res. 2005, 42, 141–163. [Google Scholar]
- Morton, R.A. Historical Changes in the Mississippi-Alabama Barrier-Island Chain and the Roles of Extreme Storms, Sea Level, and Human Activities. J. Coast. Res. 2008, 24, 1587–1600. [Google Scholar] [CrossRef]
- Doran, K.S.; Long, J.W.; Birchler, J.J.; Brenner, O.T.; Hardy, M.W.; Morgan, K.L.M.; Stockdon, H.F.; Torres, M.L. LiDAR-Derived Beach Morphology (Dune Crest, Dune Toe, and Shoreline) for U.S. Sandy Coastlines; U.S. Geological Survey Data Release: Reston, VA, USA, 2017. [CrossRef]
- Dalyander, P.S.; Mickey, R.C.; Passeri, D.L.; Plant, N.G. Development of an Empirical Dune Growth Model and Use in Evaluating Barrier Island Recovery from Storms. Coast. Eng. under review.
- Stockdon, H.F.; Doran, K.J.; Thompson, D.M.; Sopkin, K.L.; Plant, N.G.; Sallenger, A.H. National Assessment of Hurricane-INDUCED Coastal Erosion Hazards: Gulf of Mexico; Open-File Report 2012-1084; U.S. Geological Survey: Reston, VA, USA, 2012. Available online: http://pubs.usgs.gov/of/2012/1084 (accessed on 24 March 2018).
- Doran, K.S.; Long, J.W.; Overbeck, J.R. A Method for Determining Average Beach Slope and Beach Slope Variability for U.S. Sandy Coastlines; Open-File Report 2015-1053; U.S. Geological Survey: Reston, VA, USA, 2015. [CrossRef]
- Mickey, R.C.; Long, J.W.; Plant, N.G.; Thompson, D.M.; Dalyander, P.S. A Methodology for Modeling Barrier Island Storm-Impact Scenarios; Open-File Report 2017-1009; U.S. Geological Survey: Reston, VA, USA, 2017. [CrossRef]
- Federal Emergency Management Agency [FEMA]. Comparisons of FEMA Coastal Model Data with Data from Other Coastal Models and Long-Term Tidal Gauges: FEMA. 2014. Available online: http://www.southeastcoastalmaps.com/PublicDocs/Fact%20Sheet_Comparisons%20of%20Coastal%20Models%20and%20Gage%20Analyses_Info%20for%20 Engineers_Aug%202014.pdf (accessed on 18 August 2018).
- Faraci, C.; Scandura, P.; Foti, E. Bottom profile evolution of a perched nourished beach. J. Waterw. Portcoastaland Ocean Eng. 2014, 140, 04014021. [Google Scholar] [CrossRef]
- Stockdon, H.F.; Thompson, D.M.; Plant, N.G.; Long, J.W. Evaluation of wave runup predictions from numerical and parametric models. Coast. Eng. 2014, 92, 1–11. [Google Scholar] [CrossRef]
- Winter, R.C.; Ruessink, B.G. Sensitivity analysis of climate change impacts on dune erosion: Case study for the Dutch Holland coast. Clim. Chang. 2017, 141, 685–701. [Google Scholar] [CrossRef]
- Mickey, R.C.; Long, J.W.; Dalyander, P.S.; Plant, N.G.; Thompson, D.M. A framework for modeling scenario-based barrier island storm impacts. Coast. Eng. 2018, 138, 98–112. [Google Scholar] [CrossRef]
- Roelvink, D.; McCall, R.; Seyedabdolhossein, M.; Nederhoff, K.; Dastgheib, A. Improving predictions of swash dynamics in XBeach: The role of groupiness and incident-band runup. Coast. Eng. 2018, 134, 103–123. [Google Scholar] [CrossRef]













| Characteristic | Mean | High | Low |
|---|---|---|---|
| 95th % | 5th % | ||
| Beach Width | 61.03 | 73.33 | 33.68 |
| Beach Slope | 0.022 | 0.028 | 0.017 |
| Fore-Dune Height | 2.06 | 2.61 | 1.24 |
| Fore-Dune Width | 33.93 | 49.41 | 27.11 |
| Fore-Dune Gauss Height | 0.95 | 1.39 | 0.40 |
| Fore-Dune Gauss cross-shore Position | 153.29 | 170.57 | 75.97 |
| Berm Height | 0.25 | 0.50 1 | - |
| Berm Width | 15.8 | - | - |
| Island Gauss Height | 1.33 | 1.74 | 0.94 |
| Island Gauss Width | 274.11 | - | - |
| Island Gauss cross-shore Position | 115.41 | - | - |
| S = Swash | C = Collison | O = Overwash | I = Inundation | |||||||||||||||
|---|---|---|---|---|---|---|---|---|---|---|---|---|---|---|---|---|---|---|
| Sallenger Regime Classifications | ||||||||||||||||||
| S1 | S2 | S3 | S4 | S5 | S6 | |||||||||||||
| Low | Baseline | High | Low | Baseline | High | Low | Baseline | High | Low | Baseline | High | Low | Baseline | High | Low | Baseline | High | |
| Beach Width | S | S | S | S | S | S | C | C | O | O | O | O | O | O | O | O | O | O |
| Beach Slope | S | S | S | S | C | O | O | O | O | O | O | O | ||||||
| Dune Height | ![]() | S | ![]() | S | ![]() | C | ![]() | C | ![]() | C | ![]() | C | ||||||
| Dune Width | S | S | S | S | C | O | O | O | O | O | O | O | ||||||
| Dune Position | S | S | C | S | O | O | O | O | O | O | O | O | ||||||
| Island Height | S | S | C | S | C | O | O | O | O | O | O | O | ||||||
| Berm present | S | S | S | S | C | C | O | O | O | O | O | O | ||||||
Publisher’s Note: MDPI stays neutral with regard to jurisdictional claims in published maps and institutional affiliations. |
© 2020 by The United States Government. Licensee MDPI, Basel, Switzerland. This article is an open access article distributed under the terms and conditions of the Creative Commons Attribution (CC BY) license (http://creativecommons.org/licenses/by/4.0/).
Share and Cite
Mickey, R.C.; Dalyander, P.S.; McCall, R.; Passeri, D.L. Sensitivity of Storm Response to Antecedent Topography in the XBeach Model. J. Mar. Sci. Eng. 2020, 8, 829. https://doi.org/10.3390/jmse8100829
Mickey RC, Dalyander PS, McCall R, Passeri DL. Sensitivity of Storm Response to Antecedent Topography in the XBeach Model. Journal of Marine Science and Engineering. 2020; 8(10):829. https://doi.org/10.3390/jmse8100829
Chicago/Turabian StyleMickey, Rangley C., Patricia S. Dalyander, Robert McCall, and Davina L. Passeri. 2020. "Sensitivity of Storm Response to Antecedent Topography in the XBeach Model" Journal of Marine Science and Engineering 8, no. 10: 829. https://doi.org/10.3390/jmse8100829
APA StyleMickey, R. C., Dalyander, P. S., McCall, R., & Passeri, D. L. (2020). Sensitivity of Storm Response to Antecedent Topography in the XBeach Model. Journal of Marine Science and Engineering, 8(10), 829. https://doi.org/10.3390/jmse8100829







