Numerical Investigations on the Resistance and Longitudinal Motion Stability of a High-Speed Planing Trimaran
Abstract
1. Introduction
2. Hull Geometry Specification
3. Numerical Setup
3.1. Numerical Model of Motion Solver
3.2. Mesh Generation and Boundary Condition
3.3. Mesh Convergence Study
4. Results and Analysis
4.1. Resistance and Hull Behavior
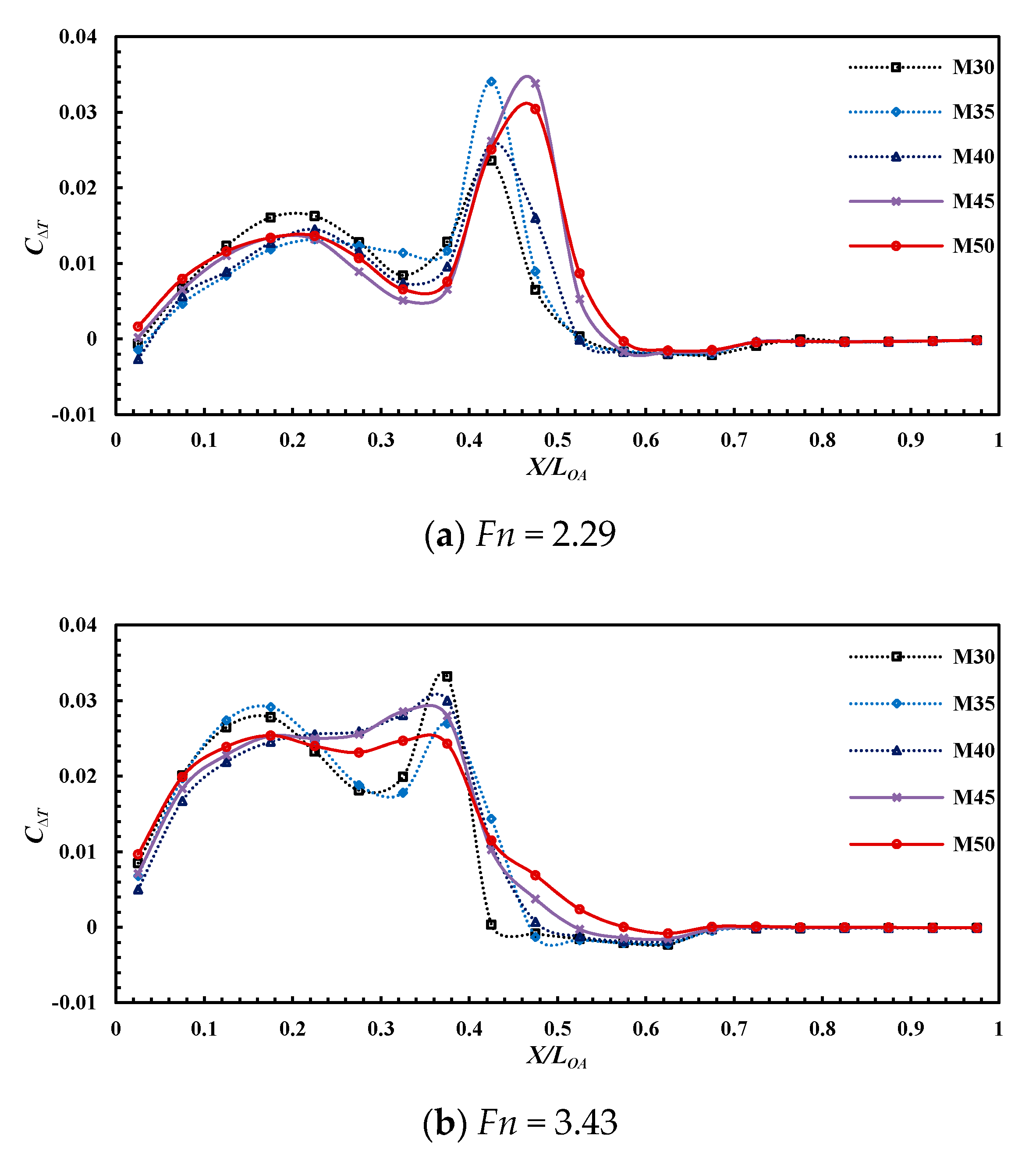
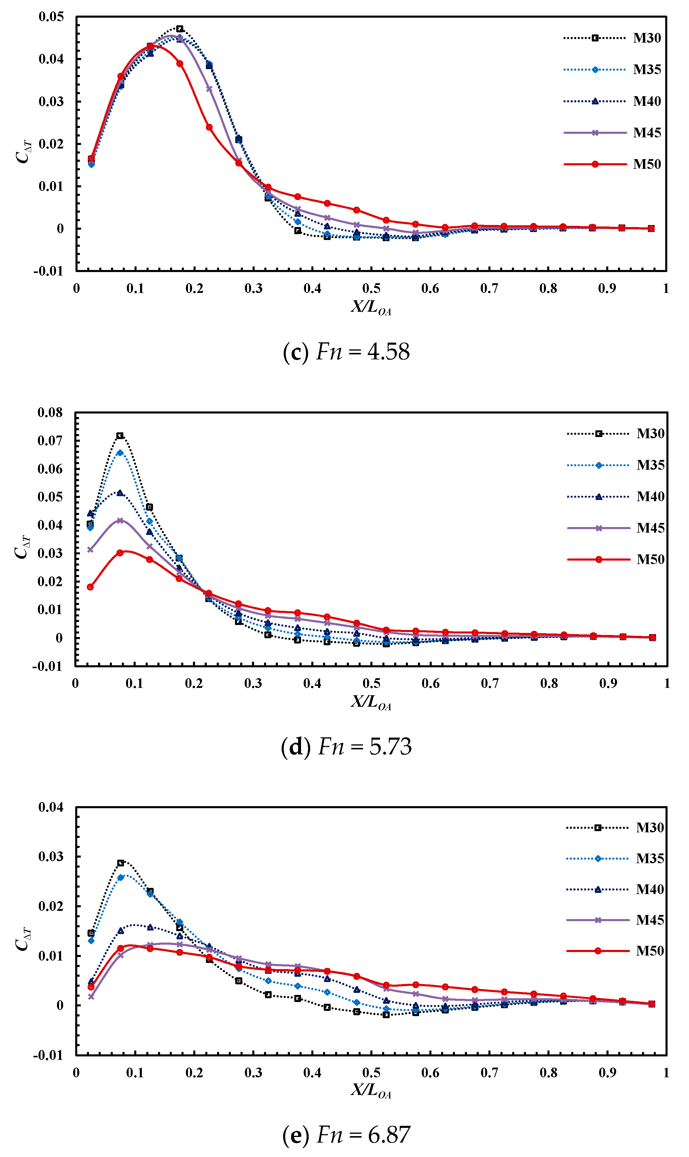
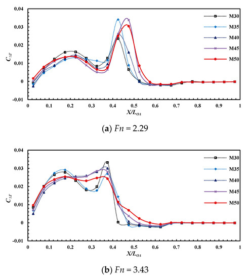
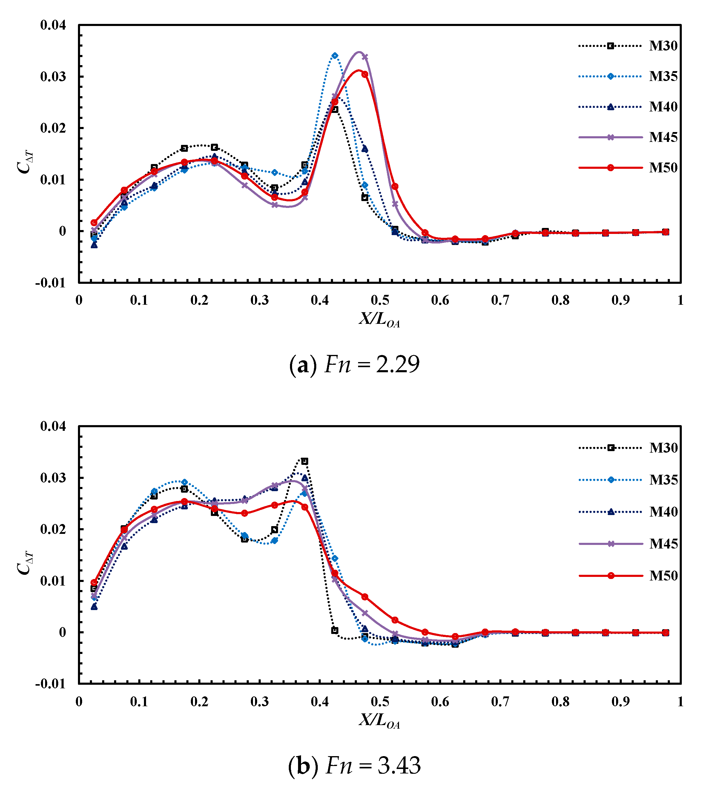
4.2. Flow Evolution in the Tunnel Region
4.3. The Influence of Tunnel on the Stepped Main Hull
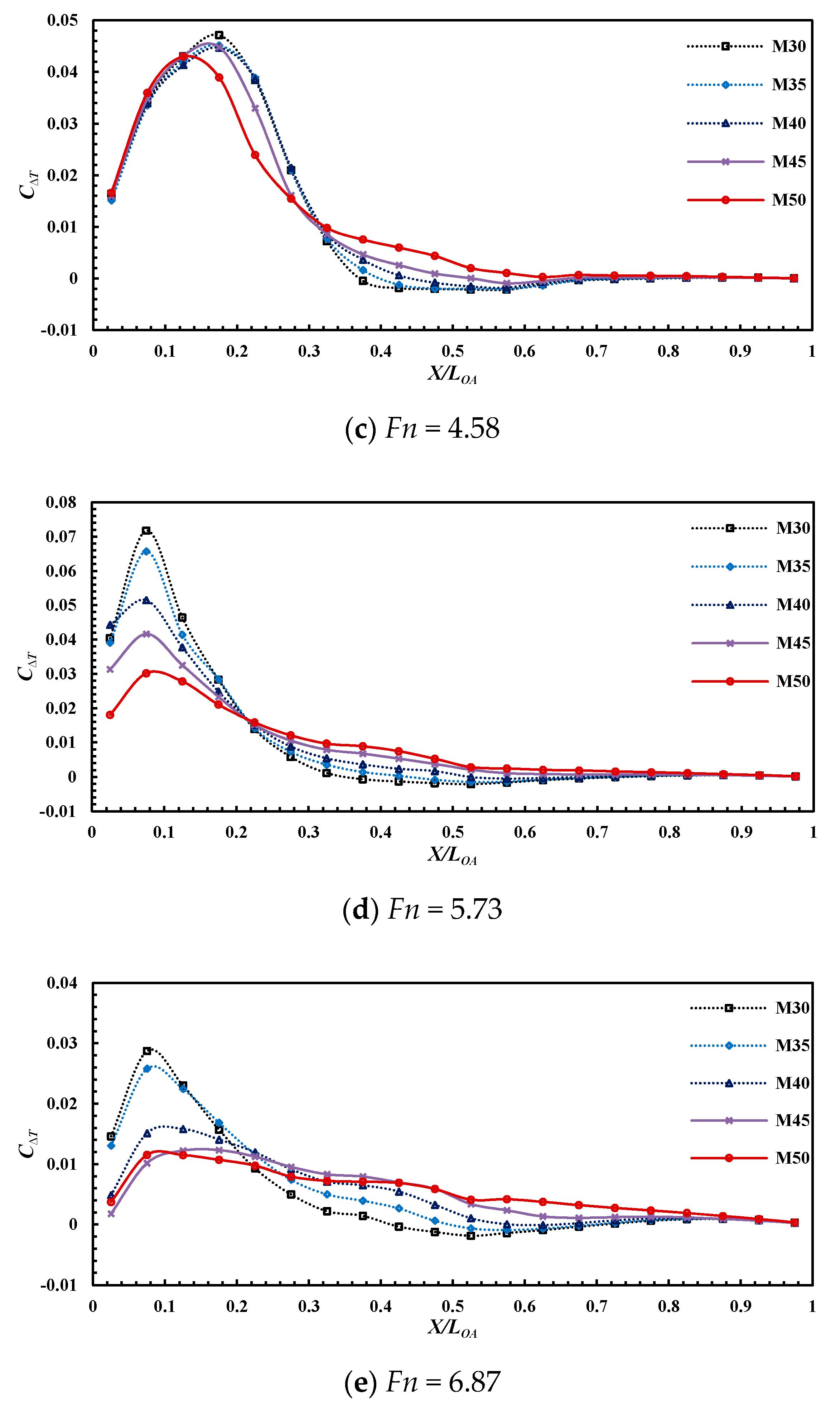
4.4. Incremental Research on Demihull Length
5. Conclusions
Author Contributions
Funding
Conflicts of Interest
References
- James, D.; Collu, M. Aerodynamically alleviated marine vehicle (AAMV): Bridging the maritime to air domain. In Proceedings of the 13th International Conference on Fast Sea Transportation (FAST), Washington, DC, USA, 1 September 2015. [Google Scholar]
- Collu, M.; Williams, W.A.G.; Patel, M.H.; Trarieux, F. Aerodynamically alleviated marine vehicles (AAMV): Development of a mathematical framework to design high speed marine vehicle with aerodynamic surfaces. In Proceedings of the International Conference on High Performance Marine Vehicles (HPMV09), Shanghai, China, 1 April 2009. [Google Scholar]
- Shipps, P. Hybrid ram-wing planing craft-Today’s raceboats, tomorrow’s outlook. In Proceedings of the Advanced Marine Vehicles Conference, Arlington, TX, USA, 20 September 1976; pp. 607–634. [Google Scholar]
- Jiang, Y.; Sun, H.; Zou, J.; Hu, A.; Yang, J. Analysis of tunnel hydrodynamic characteristics for planing trimaran by model tests and numerical simulations. Ocean Eng. 2016, 113, 101–110. [Google Scholar] [CrossRef]
- Jiang, Y.; Sun, H.; Zou, J.; Hu, A.; Yang, J. Experimental and numerical investigations on hydrodynamic and aerodynamic characteristics of the tunnel of planing trimaran. Appl. Ocean Res. 2017, 63, 1–10. [Google Scholar] [CrossRef]
- Du, L.; Sun, H.; Jiang, Y.; Li, P. Numerical Research on the Resistance Reduction of Air Intake. Water 2019, 11, 280. [Google Scholar] [CrossRef]
- Yousefi, R.; Shafaghat, R.; Shakeri, M. High-speed planing hull drag reduction using tunnels. Ocean Eng. 2014, 84, 54–60. [Google Scholar] [CrossRef]
- Moghadam, H.K.; Shafaghat, R.; Yousefi, R. Numerical investigation of the tunnel aperture on drag reduction in a high-speed tunneled planing hull. J. Braz. Soc. Mech. Sci. Eng. 2015, 37, 1719–1730. [Google Scholar] [CrossRef]
- Ghassabzadeh, M.; Ghassemi, H. An innovative method for parametric design of planing tunnel vessel Hull form. Ocean Eng. 2013, 60, 14–27. [Google Scholar] [CrossRef]
- Ghassabzadeh, M.; Ghassemi, H. Determining of the hydrodynamic forces on the multi-hull tunnel vessel in steady motion. J. Braz. Soc. Mech. Sci. Eng. 2013, 36, 697–708. [Google Scholar] [CrossRef]
- Ma, W.; Sun, D.H.; Sun, D.H.; Zou, D.J.; Zhuang, J. Test studies of the resistance and sea keeping performance of trimaran planing hull. Pol. Marit. Res. 2015, 22, 22–27. [Google Scholar] [CrossRef]
- Ma, W.; Sun, H.; Zou, J.; Yang, H. Test research on the resistance performance of high-speed trimaran planing hull. Pol. Marit. Res. 2013, 20, 45–51. [Google Scholar] [CrossRef][Green Version]
- Su, Y.; Wang, S.; Shen, H.-L.; Du, X. Numerical and experimental analyses of hydrodynamic performance of a channel type planing trimaran. J. Hydrodyn. 2014, 26, 549–557. [Google Scholar] [CrossRef]
- Lotfi, P.; Ashrafizaadeh, M.; Esfahan, R.K. Numerical investigation of a stepped planing hull in calm water. Ocean Eng. 2015, 94, 103–110. [Google Scholar] [CrossRef]
- Veysi, S.T.G.; Bakhtiari, M.; Ghassemi, H.; Ghiasi, M. Toward numerical modeling of the stepped and non-stepped planing hull. J. Braz. Soc. Mech. Sci. Eng. 2014, 37, 1635–1645. [Google Scholar] [CrossRef]
- De Marco, A.; Mancini, S.; Miranda, S.; Scognamiglio, R.; Vitiello, L. Experimental and numerical hydrodynamic analysis of a stepped planing hull. Appl. Ocean Res. 2017, 64, 135–154. [Google Scholar] [CrossRef]
- Dashtimanesh, A.; Esfandiari, A.; Mancini, S. Performance Prediction of Two-Stepped Planing Hulls Using Morphing Mesh Approach. J. Ship Prod. Des. 2018, 34, 236–248. [Google Scholar] [CrossRef]
- Menter, F.R.; Kuntz, M.; Langtry, R. Ten years of industrial experience with the SST turbulence model. Heat Mass Transf. 2003, 4, 625–632. [Google Scholar]
- De Luca, F.; Mancini, S.; Miranda, S.; Pensa, C. An Extended Verification and Validation Study of CFD Simulations for Planing Hulls. J. Ship Res. 2016, 60, 101–118. [Google Scholar] [CrossRef]





















| Main Feature | Symbol | Value |
|---|---|---|
| Displacement (t) | 3.75 | |
| Length overall (m) | 10 | |
| Beam overall (m) | 2.85 | |
| Main hull beam (m) | 1.5 | |
| Longitudinal center of gravity (m) | 3.5 | |
| Tunnel beam (m) | 0.6 | |
| Tunnel height (m) | 0.2 | |
| Longitudinal location of step (m) | 3.5 | |
| Step height (m) | 0.1 | |
| Demihull length (m) | 4 | |
| Overall length of demihull (m) | 5 | |
| Demihull beam (m) | 0.075 | |
| Demihull height (m) | 0.345 | |
| Declination angle of demihull (°) | 2 | |
| Deadrise angle (°) | 20 | |
| Draft at transom (m) | 0.565 | |
| Hydrostatic trim angle (°) | 0.75 | |
| Static wetted area (m2) | 22.2 |
| Main Feature | Symbol | Value |
|---|---|---|
| Displacement (t) | 3.75 | |
| Length overall (m) | 10 | |
| Beam overall (m) | 2.0 | |
| Chine beam (m) | 1.5 | |
| Longitudinal center of gravity (m) | 3.5 | |
| Longitudinal location of step (m) | 3.5 | |
| Step height (m) | 0.1 | |
| Declination angle of demihull (°) | 2 | |
| Deadrise angle (°) | 20 | |
| Draft at transom (m) | 0.595 | |
| Hydrostatic trim angle (°) | 1.05 | |
| Static wetted area (m2) | 16.4 |
Publisher’s Note: MDPI stays neutral with regard to jurisdictional claims in published maps and institutional affiliations. |
© 2020 by the authors. Licensee MDPI, Basel, Switzerland. This article is an open access article distributed under the terms and conditions of the Creative Commons Attribution (CC BY) license (http://creativecommons.org/licenses/by/4.0/).
Share and Cite
Sun, H.; Zou, J.; Sun, Z.; Lu, S. Numerical Investigations on the Resistance and Longitudinal Motion Stability of a High-Speed Planing Trimaran. J. Mar. Sci. Eng. 2020, 8, 830. https://doi.org/10.3390/jmse8110830
Sun H, Zou J, Sun Z, Lu S. Numerical Investigations on the Resistance and Longitudinal Motion Stability of a High-Speed Planing Trimaran. Journal of Marine Science and Engineering. 2020; 8(11):830. https://doi.org/10.3390/jmse8110830
Chicago/Turabian StyleSun, Hanbing, Jin Zou, Zhiyuan Sun, and Shijie Lu. 2020. "Numerical Investigations on the Resistance and Longitudinal Motion Stability of a High-Speed Planing Trimaran" Journal of Marine Science and Engineering 8, no. 11: 830. https://doi.org/10.3390/jmse8110830
APA StyleSun, H., Zou, J., Sun, Z., & Lu, S. (2020). Numerical Investigations on the Resistance and Longitudinal Motion Stability of a High-Speed Planing Trimaran. Journal of Marine Science and Engineering, 8(11), 830. https://doi.org/10.3390/jmse8110830

