Abstract
The impact of global climate change on coral reefs is expected to be most profound at the sea surface, where fertilization and embryonic development of broadcast-spawning corals takes place. We examined the effect of increased temperature and elevated CO2 levels on the in vitro fertilization success and initial embryonic development of broadcast-spawning corals using a single male:female cross of three different species from mid- and high-latitude locations: Lyudao, Taiwan (22° N) and Kochi, Japan (32° N). Eggs were fertilized under ambient conditions (27 °C and 500 μatm CO2) and under conditions predicted for 2100 (IPCC worst case scenario, 31 °C and 1000 μatm CO2). Fertilization success, abnormal development and early developmental success were determined for each sample. Increased temperature had a more profound influence than elevated CO2. In most cases, near-future warming caused a significant drop in early developmental success as a result of decreased fertilization success and/or increased abnormal development. The embryonic development of the male:female cross of A. hyacinthus from the high-latitude location was more sensitive to the increased temperature (+4 °C) than the male:female cross of A. hyacinthus from the mid-latitude location. The response to the elevated CO2 level was small and highly variable, ranging from positive to negative responses. These results suggest that global warming is a more significant and universal stressor than ocean acidification on the early embryonic development of corals from mid- and high-latitude locations.
1. Introduction
Ocean acidification and increased seawater temperatures will continue to have an impact on coral reefs in the near future [1]. The effects are expected to be most profound at the sea surface, where fertilization and subsequent embryonic development of broadcast-spawning reef coral species takes place (reviewed in [2,3]). Broadcast-spawning is a reproductive mode whereby gametes are released into the water column and fertilization and embryonic development occurs externally. More than 80% of all reef coral species practice this mode of sexual reproduction, as opposed to brooding coral species, which produce larvae through internal fertilization [4]. Most broadcast-spawners release egg-sperm bundles that float to the water surface, where fertilization occurs and embryonic development proceeds for several days after the bundles are broken up. Since fertilization is the fundamental first step in the life cycle of corals, information about the influence of climate change on reproductive success is essential to predict the dynamics of reef coral assemblages in the future.
Although the study of coral reproductive biology has a long history, studies focusing on the effects of increased seawater temperatures and, especially, ocean acidification on reproduction and recruitment processes of reef corals, have only recently begun. Most of these studies involved single-factor experiments, studying either the effect of increasing seawater temperatures (e.g., [5,6,7,8,9]) or decreased pH (i.e., acidified water) [10,11,12,13,14,15,16,17,18,19,20,21]. With respect to coral fertilization, increased seawater temperatures have been reported to reduce fertilization success [7] and increase abnormal development [6,7], while increased CO2 or decreased pH levels (relative to ambient) have been reported to reduce sperm flagellar motility [14,21] and fertilization success [15,17].
However, in the real world, the effects of increasing seawater temperature and decreased pH will not occur separately but together and, hence, their interactive effects need to be examined for the better understanding of the impact of future climate change on coral reefs. Few studies have investigated the interactive effects of increased temperature and ocean acidification coral reproduction processes [19,22,23,24,25]. In larvae of brooding corals, combined stressors either did not have an effect ([19], T: +1 °C, pH: −0.2–0.25 unit or +400 μatm CO2) or resulted in a temperature-driven metabolic depression ([25], T: +4 °C, CO2: +220 μatm CO2). With regards to broad-cast spawning corals, no effect of increased temperature and CO2 level were observed on the fertilization success, larval survivorship and metamorphosis of A. tenuis and A. millepora [23], T: +2 °C, CO2: +200 μatm CO2. However, larger increases in temperature and CO2 level synergistically decreased fertilization success of A. tenuis ([22], T: +3 °C, CO2: +400 μatm CO2) and fertilization rate in A. digitifera ([24], T: +4 °C, CO2: +500 μatm CO2), although the decrease in fertilization rate in A. digitifera is fully attributed to the increased temperature.
The response to climate stressors could be affected by the habitat or geographical location a coral lives in. Byrne et al. [26,27] and [28] found that marine invertebrates living in the intertidal zone were quite robust to climate change stressors, which could reflect an adaptation to the marked daily fluctuations in temperature and pH that characterize their shallow water coastal habitat. Similarly, with latitude, seasonal fluctuations in temperature could also affect the response of coral populations to increased temperatures with climate change. However, the broadening of physiological tolerance expected for corals at high-latitudes [29] is possibly more aimed at coping with lower thermal limits than upper thermal limits [30], potentially making these corals more vulnerable to increased temperatures than their low-latitude counterparts (e.g., [31,32,33], although [34]).
In this study, a 2 × 2 factorial design was used to study the influence of elevated CO2 and temperature conditions (500 μatm CO2 vs. 1000 μatm CO2; 27 °C vs. 31 °C) on the fertilization success, abnormal development and early developmental success of broadcast-spawning reef corals at both a mid- and a high-latitude location in Southeast Asia (Lyduao, Taiwan (22° N) and Kochi, Japan (32° N)). The experimental temperature and CO2 conditions were based on local ambient averages during coral spawning and the atmospheric conditions predicted for 2100 in the worst-case scenario (A1FI) by the Intergovernmental Panel on Climate Change [35]. Mean atmospheric warming (+4 °C) and atmospheric CO2 levels (1000 μatm) were used, since the process of fertilization occurs in the upper sea surface layer of the ocean, which will be approximating the predicted atmospheric temperature and CO2 levels. The null hypothesis of no effect was tested for the response of fertilization success, abnormal development and early developmental success to temperature, CO2 level, coral species (or: single male:female cross), and latitudinal location.
2. Material and Methods
2.1. Study Locations
Experiments were performed at two locations in Southeast Asia that had different periods of spawning: in May 2011 at the Green Island Marine Research Station, Lyudao (Green Island), Taiwan (22°40′ N, 121°30′ E) and in July 2011 at the Biological Institute on Kuroshio, Otuki, Kochi, southwestern Japan (32°47′ N, 132°44′ E) (Figure 1). Figure 2 illustrates the difference in the annual variation of temperature between the two locations. The annual seawater temperature at the mid-latitude location Lyudao in 2010 ranged from 24.6 °C in winter to 29.9 °C in summer, with the temperature during the May spawning ranging from 27.2 °C to 28.2 °C ([36], weekly averages). The annual seawater temperature at the high-latitude location Kochi between 2005 and 2009 ranged from 18 °C in winter to 28 °C in summer, with the temperature during the July spawning ranging from 23.7 °C to 29.5 °C ([37]: weekly averages) (see Figure 2 for 2011 data). The ambient local temperature that was used for our experiments was estimated at 27 °C for both locations in 2011. Four reef coral species that release egg-sperm bundles during the annual spawning event were examined in this study: Acropora hyacinthus and Favites abdita in Lyudao, (respectively 6 and 8 days after full moon: May 23 at 10:00 p.m. and May 25 at 12:00 a.m.) and A. hyacinthus and Platygyra contorta in Kochi (resp. 6 and 8 days after full moon: July 21 at 10:00 p.m. and July 23 at 9:00 a.m.). A. hyacinthus was examined both in Lyudao and in Kochi, permitting comparison in response between latitudinal location. Recent information, however, suggests that A. hyacinthus from different geographically locations might actually be genetically different cryptic species [38]. In the following, the different experiments (i.e., male:female crosses) are referred to by the name of the coral species that was used.
Figure 1.
Map of the study region in Southeast Asia, including the two study locations: Lyudao (Taiwan) and Kochi (Japan). The black dots indicate the collection sites Da-Bai-Sa and Chai-Kou in Lyudao (resp. the southwest and the north) and in front of the Biological Institute on Kuroshio in Nishidomari, Kochi.
Figure 1.
Map of the study region in Southeast Asia, including the two study locations: Lyudao (Taiwan) and Kochi (Japan). The black dots indicate the collection sites Da-Bai-Sa and Chai-Kou in Lyudao (resp. the southwest and the north) and in front of the Biological Institute on Kuroshio in Nishidomari, Kochi.

Figure 2.
Seawater temperature (weekly averages ± SD) in 2011 at the study locations in Lyudao (Guei-wan 5 m depth) and Kochi (Nishidomari 5 m depth). The light grey zones indicate the spawning periods in May (for Lyudao) and July (for Kochi). The dark grey zone accentuates the temperature during the main spawning period at each location (April–June in Lyudao; July–August in Kochi).
Figure 2.
Seawater temperature (weekly averages ± SD) in 2011 at the study locations in Lyudao (Guei-wan 5 m depth) and Kochi (Nishidomari 5 m depth). The light grey zones indicate the spawning periods in May (for Lyudao) and July (for Kochi). The dark grey zone accentuates the temperature during the main spawning period at each location (April–June in Lyudao; July–August in Kochi).

2.2. Gamete Collection
From all coral species, except P. contorta in Kochi, fragments of 6 gravid coral colonies (ca. 100 cm2 each) were collected from the reef at 3–5 m depth a few days before the predicted spawning event. This number of fragments was chosen to increase the chance of synchronous spawning (i.e., asynchronous spawning occurs more frequently in corals at high-latitude and in the laboratory) and to decrease the impact on the reef. They were kept in large containers (400 L) with fresh aerated seawater that was changed every day (in Lyudao) or running seawater (in Kochi) in the laboratory and spawned between 3 and 5 days after collection. Collection sites of the corals were Da-Bai-Sa and Chai-Kou in Lyudao and in front of the Biological Institute on Kuroshio in Kochi (Figure 1).
Each night at sunset, coral fragments were transferred to separate containers with seawater and monitored for spawning every 20–30 min until midnight. When spawning occurred, egg-sperm bundles were collected from colonies by carefully pipetting the bundles from the water surface. For P. contorta in Kochi, gametes were collected directly from spawning corals in the field by night scuba diving. The timing of spawning of these species could be well-predicted using previous spawning records [39]. For both species, several isolated colonies inhabiting the sea floor were selected for gamete collection. Inverted containers with fishing weights were directly placed on the surfaces of several colonies inhabiting the sea floor at 3–5 m depth just before the predicted spawning time to collect sperm-egg bundles of each individual colony and prevent mixing with sperm-egg bundles from other species. After spawning, the inverted containers with spawned gametes were closed and brought back to the laboratory. Coral species were identified by examining polyps, colony morphology, and coloration [40]. Skeleton samples were collected for verification of species identity at a later stage.
As soon as the bundles were collected, egg and sperm were carefully separated using plankton mesh sieves (100 μm) and transferred into sperm-free ambient filtered seawater (1 μm) (FSW) that was freshly collected during the day. The eggs were washed several times to remove residual sperm. Single male:female crosses were performed using two conspecific colonies that spawned on the same night. The response to climate stressors was measured in 5 replicate vials per treatment using the same single male:female cross. This single-cross design allows us to focus on the response of sibling eggs and sperm to the experimental conditions and ignore variance related to differences in gamete quality, gamete compatibility and/or maternal effects that may obscure the diversity of responses when doing polyandric crossings [41,42]. Therefore, we expect validation from replication of the single-cross design to explore the response to the experimental conditions.
2.3. Experimental Treatments and Seawater Chemistry
Four different conditions of experimental seawater (2 temperature × 2 CO2) were prepared using the following method: 20 L filtered seawater (1 μm) that was freshly collected every day was divided into 4 beakers (5L). Two of these beakers were submerged in a water-bath (90 L) whose temperature was adjusted to the estimated average atmospheric temperature during spawning (27 °C) and the other two beakers were submerged in a water-bath (90L) maintained at 31 °C (+4 °C above ambient, according to scenario A1FI; [42]). Seawater temperature was adjusted using an aquarium controller (AT Control system, AB Aqua Medic GmbH, Bissendorf, Germany, ± 0.1 °C precision) connected to two temperature sensors (AB Aqua Medic GmbH, Bissendorf, Germany) and 2 submersible heaters that were assigned to each of the 2 water baths. Coolers (Teco TR20 cooler, Ravenna, Italy) were only used in Lyudao, where we did not have access to a temperature-controlled room. Seawater CO2 was manipulated by bubbling CO2 and controlled by measuring seawater pH using an aquarium controller (AT Control system, AB Aqua Medic GmbH, Bissendorf, Germany, ± 0.01 pH precision) connected to 4 solenoid valves and 4 pH electrodes (Orion ROSS Ultra pH electrode, Thermo Scientific, Waltham, MA, USA, ±0.03 pH accuracy) that were assigned to each of 4 beakers. The seawater pH was targeted to pH 8.15 (ambient CO2) or pH 7.85 (corresponding to 1000 μAtm CO2, the atmospheric CO2 level predicted to occur by the end of this century based on scenario A1FI; [42]). The manipulation of seawater CO2 was initiated a couple of hours before starting the experiments to ensure stabilized pH conditions. All treatments were also aerated with ambient air at a flow rate of ~120–140 cc min−1, whose rate was controlled by an air flow meter (FGT, Tainan, Taiwan) to maintain saturation with oxygen.
Seawater chemistry was measured just before and after the 3 h fertilization assay. Temperature and pH were measured using a TM-907A precision thermometer (Lutron, Taipei, Taiwan) with a TP-100 platinum sensor (Pt-100 Ω, Lutron, Taipei, Taiwan, accuracy ± 0.2 °C) and pH electrode (Orion ROSS Ultra pH/ATC Triode, Thermo Scientific, Waltham, MA, USA, ±0.03 pH accuracy) connected to pH meter (Orion 5-star meter, Thermo Scientific, Waltham, MA, USA), respectively. Salinity was measured using a 4-electrode conductivity cell (013605MD, DuraProbe™, Thermo Scientific, Waltham, MA, USA) and total alkalinity (TA) of 2 replicate samples was determined by automated open-cell titration (100 mL, ATT-05, Kimoto Electric Co., Ltd, Osaka, Japan) using a pH sensor (Radiometer analytical, Lyon, France) calibrated at Total Scale. Accuracy and precision of titrations was checked against a certified seawater reference standard (Dickson Standard, Batch 109, A. Dickson, Scripps Institute of Oceanography, San Diego, CA, USA) and maintained within <1% of certified values. Oxygen saturation (Orion RDO® Optical Dissolved Oxygen Probe, Thermo Scientific, Waltham, MA, USA) was measured in Kochi to verify whether oxygen saturation was limiting during the experiment (>70% sat). The concentration of CO2 was calculated from measured TA, pH (NBS scale), temperature, and salinity using the CO2SYS program [43], Brookhaven National Laboratory; parameters: K1, K2 from Mehrbach et al. [44] refit by Dickson and Millero [45]); KHSO4, Dickson; pH: NBS scale mol·kg-H2O−1] (Supplementary Data, Table S1).
2.4. Fertilization Assays
For each experiment (or coral species), five replicate vials (50 mL Falcon tubes) were filled with 50 mL experimental seawater for each treatment (27 °C × ambient CO2, 27 °C × high CO2, 31 °C × ambient CO2 and 31 °C × high CO2). Sperm stock density was determined using a bright-line hemacytometer under an optical light microscope (magnification 200×) and the volume of sperm needed to achieve a concentration of 105 sperm·mL−1 in experimental vials was calculated. Optimal sperm concentrations for broadcast-spawning corals have been reported to range between 105 and 106 sperm mL−1 [46]. Coral sperm was kept at high density in the sperm stock to suppress energy expenditure and increase longevity of the sperm [46]. Eggs were counted under an Olympus stereo-microscope and the concentration was adjusted with ambient seawater so that each 500 μL of egg solution would contain ca. 100 eggs. In this study, a separate assay was also performed to examine the optimal sperm concentrations of coral species under a wide range of sperm densities (103–107 sperm mL−1) in ambient conditions (Supplementary Data, Figure S1). The same combination of gametes was used for F. abdita, A. hyacinthus (in Kochi) and P. contorta as in the experiment. For A. hyacinthus (in Lyudao) different gametes were used. The assays confirmed that the sperm density used in this study (105 sperm·mL−1) was optimal for all species.
Experiments were initiated within 2 h after spawning to avoid negative side effects of gamete age on fertilization success [46]. Although some studies pre-treat sperm and/or eggs in experimental seawater prior to fertilization (e.g., [26,47], as would occur in the water column, this may not be necessary for detecting general trends [48]. Therefore we chose to avoid further delay in gamete contact and associated gamete aging and combine sperm and eggs without pre-exposure time.
After preparation of egg and sperm stocks, first 50–200 μL sperm stock and then 500 μL egg stock was transferred into 5 replicate 50 mL Falcon tubes per treatment (~100 eggs and 1 × 105 sperm mL−1). Each vial was swirled and placed in the appropriate water bath. To each vial, the same combination of egg and sperm was added. Three hours after incubation, embryos were sampled and fixed in 10% formaldehyde for later analysis of fertilization success and abnormal development. To evaluate the possibility of sperm contamination and self-fertilization due to insufficient washing of the egg stock, 100 eggs from the egg stock were also examined 3 h after the initiation of the experiment.
The CO2 of seawater was verified at the start of the experiment by measuring TA, pH, temperature and salinity of the experimental water in the 5L beakers before transfer to the experimental vials (in Lyudao, n = 1). Each experiment was done with a fresh batch of seawater that had slightly different TA values. To increase the accuracy of measurements in Kochi, the number of replicate measurements was increased and 5 replicate control vials (i.e., without eggs and sperm) were used to verify the CO2 of seawater by measuring TA, pH, temperature and salinity at the start of the experiments. At the end of each experiment (t = 3 h), the CO2 of seawater was verified by measuring TA, pH, temperature and salinity of the experimental vials (n = 1 in Lyudao, n = 5 in Kochi) and control vials (n = 5 in Kochi) and taking 2 replicate water samples for TA analysis (Supplementary Data, Table S1).
2.5. Analysis of Fertilization and Embryonic Development
Digital images of each embryo sample were taken under a stereo microscope (magnification, 20× or more) and assessed for the number of unfertilized eggs, the number of normal embryos and the number of abnormal embryos using Image J 1.46r in combination with the Cell Counter plugin. Fertilization success was defined as the percentage of eggs that were fertilized (normal and abnormal embryos) divided by total number of eggs and embryos. As such, fertilization per se was not measured, rather the number of eggs developing to very early stages. Abnormal development was defined as the percentage of abnormal embryos divided by the total number of embryos (i.e., fertilized eggs). Early developmental success (i.e., 3 h post-fertilization) was defined as the percentage of normal embryos divided by the total number of eggs and embryos. Embryos were counted as abnormal when their development deviated from the normal path of developmental (e.g., [49,50,51]), i.e., having unequal-sized blastomeres and developmental aberrations due to asynchronous (i.e., irregular and disproportional) cell division [6,7,51,52]. See Figure 3 for representative pictures of different stages of embryonic development and abnormal development of each species studied.
Figure 3.
Representative pictures showing different stages of embryonic development and abnormal development of each coral species studied.
Figure 3.
Representative pictures showing different stages of embryonic development and abnormal development of each coral species studied.

2.6. Data Analysis
Factorial logistic regression analysis of binomial data (failure, success) was performed using the Generalized Linear Model (GLM) with the logit link function in R-studio 3.0.1 (R Development Core Team, 2013). For this analysis, data for each parameter were transformed into a 2-vector response variable by combining the number of failures and number of successes using the cbind command. Since the data of all three parameters were over-dispersed (i.e., residual deviance was significantly higher than the residual degrees of freedom, which is often the case when a dataset contains many low and many high values), the quasibinomial family was used with the logit link function to correct for over-dispersion of the data. Species, location, temperature, CO2 and their interactions were used as model terms. The significance of each model term was determined by analysis of deviance using the function anova(model, test = “F”): a significant decrease in deviance indicates that a model term explains the data well.
The GLM model was first run on the complete dataset and then followed by regression analysis per species and then used to compare A. hyacinthus from Lyudao and Kochi. Multiple comparisons of means were made for each species that had significant interaction by applying user-defined linear orthogonal contrasts using the multcomp package [53] in R. Due to the presence of many zero counts in the dataset for P. contorta, the multiple comparison test could not be computed. However, this was fixed by adjusting the dataset and adding 1 count to each category (failure, success).
3. Results
3.1. Seawater Chemistry
The chemical and physical conditions at the start and at the end of each experiment are summarized in Supplementary Data (Table S1). The seawater temperature varied between 26.7 °C and 27.1 °C for ambient temperature and 30.5 °C and 31.0 °C for increased temperature conditions. The pH varied between 7.96 pH and 8.18 pH for ambient CO2 and between 7.73 pH and 7.93 pH for high CO2 conditions. As expected, the CO2 levels in each vial increased during the three-hour incubation (ca. 100 μatm CO2 or 0.1 pH units at most) as a result of respiration of the eggs and sperm. However, there was generally not much difference (ca. 50 μatm CO2 or 0.05 pH units) between the vials that contained eggs and sperm (“log5”, Table S1) and the control vials (i.e., without egg and sperm) at the start of the experiment. Only in our first experiment, with A. hyacinthus (in Lyudao), much larger changes in CO2 were measured between the vials containing eggs and sperm and the control vials. Since the same methods and equipment were used to measure seawater chemistry in Lyudao and Kochi, the precision of the measurements in Lyudao (n = 1) is likely comparable to the precision in Kochi (n = 5).
3.2. Ambient Fertilization Success
Ambient fertilization success of each coral species studied was verified using a separate assay in which fertilization success was determined under ambient conditions and a wide range of sperm densities (103–107 sperm·mL−1) (see Supplementary Data, Figure S1). These assays confirmed that: 1) the sperm density used in this study (105 sperm·mL−1) was optimal for fertilization and 2) fertilization success in these assays was comparable to the ambient fertilization success measured in the experiments of this study for F. abdita (86.7% ± 3.5 vs. 83.6% ± 1.9 ), A. hyacinthus in Kochi (98.7% ± 0.9 vs. 97.2% ± 1.9) and for P. contorta (97.5% ± 1.2 vs. 93.9% ± 3.7). Different gametes were used for the fertilization assay of A. hyacinthus in Lyudao. Fertilization success was optimal at 105 sperm/mL, but ambient fertilization success in the experiments was much lower (41.9% ± 5.6 vs. 72.1% ± 3.9). Differences in genetic compatibility in gametes are known to influence fertilization success [41,42,54].
3.3. Fertilization Success in Response to Climate Change
Fertilization success, abnormal development and early developmental success were compared between the different climate change scenarios for each species (see Table 1 and Table 2 for statistical summary and Table S2 for details). Additionally, the response to climate change stressors of A. hyacinthus in Lyudao was compared with the response of A. hyacinthus in Kochi (see Table 3 for statistical summary and Table S3 for details) Average values are given as X ± SD, n = 5.
3.3.1. Response to Climate Change for Each Coral Species
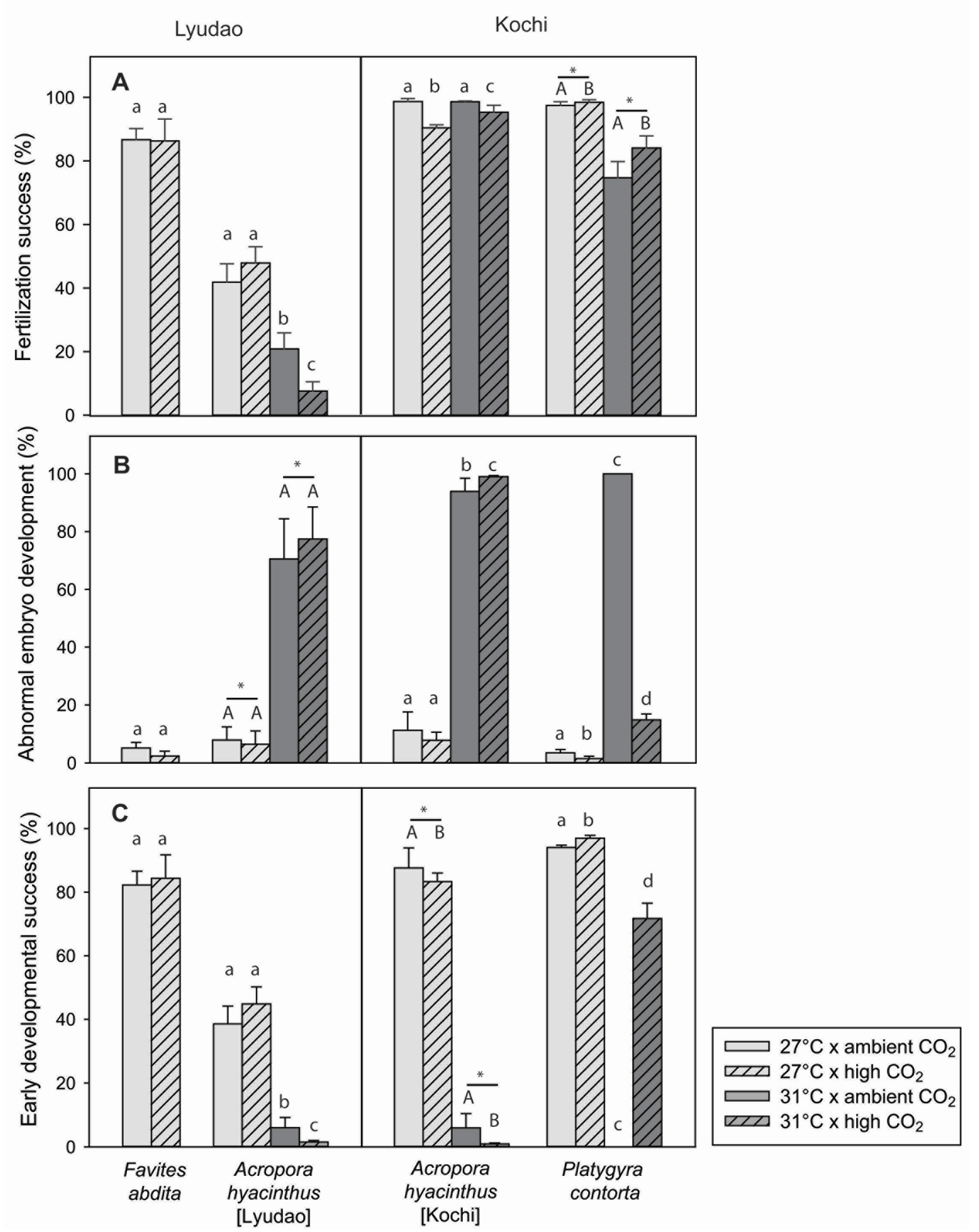
Fertilization success (Figure 4A, Table 1 and Table 2, Table S2): Fertilization success was significantly enhanced by the 4 °C increase in temperature in A. hyacinthus (Kochi) when comparing fertilization at high CO2 levels. However, the 4 °C increase in temperature significantly decreased fertilization success in A. hyacinthus (Lyudao) at both CO2 levels and P. contorta (main effect). No data are available for the 31 °C treatments of F. abdita, since distinction between normal and abnormal embryos was not possible due to their high vulnerability to fragmentation while handling the samples.
Figure 4.
The effect of temperature (27 °C vs. 31 °C) and CO2 level (400 vs. 1000 μatm CO2) on (a) the fertilization success, (b) abnormal development, and (c) early developmental success of different species in Lyudao and Kochi. Values are mean ± SD. Means lacking a common superscript differ significantly (p < 0.05). Asterisks with bars mark significant main effects of temperature, whereas different capital letters mark significant main effects of CO2 level. In those cases where a significant interaction between temperature and CO2 level was detected, individual significant effects are marked by different lower case letters (p < 0.05). See Table 1, Table 2, Table S2 and S3 for an overview of the statistics.
Figure 4.
The effect of temperature (27 °C vs. 31 °C) and CO2 level (400 vs. 1000 μatm CO2) on (a) the fertilization success, (b) abnormal development, and (c) early developmental success of different species in Lyudao and Kochi. Values are mean ± SD. Means lacking a common superscript differ significantly (p < 0.05). Asterisks with bars mark significant main effects of temperature, whereas different capital letters mark significant main effects of CO2 level. In those cases where a significant interaction between temperature and CO2 level was detected, individual significant effects are marked by different lower case letters (p < 0.05). See Table 1, Table 2, Table S2 and S3 for an overview of the statistics.

Table 1.
Table showing a summary of the results of logistic regression using GLM for fertilization rate, abnormal development and early developmental success of (1) the full model and (2) the different coral species. NS = not significant, * means p < 0.05, ** means <0.01 and *** means <0.001. See Table S2 for the Analysis of Deviance tables.
| Fertilization Success | Abnormal Development | Early Developmental Success | ||||
|---|---|---|---|---|---|---|
| p-value | p-value | p-value | ||||
| GLM Per Coral Species | ||||||
| A. hyacinthus (Kochi) | ||||||
| CO2 | 0.49 | NS | 2.10 × 10−3 | ** | 0.19 | NS |
| T | 5.60 × 10−10 | *** | 5.00 × 10−10 | *** | 1.30 × 10−12 | *** |
| CO2:T | 9.40 × 10−5 | *** | 0.25 | NS | 1.20 × 10−3 | ** |
| F. abdita | ||||||
| CO2 | 0.86 | NS | 0.05 | NS | 0.66 | NS |
| A. hyacinthus (Kochi) | ||||||
| CO2 | 4.50 × 10−8 | *** | 0.72 | NS | 0.24 | NS |
| T | 9.30 × 10−4 | *** | 3.30 × 10−15 | *** | 3.20 × 10−15 | *** |
| CO2:T | 0.06 | NS | 4.80 × 10−3 | ** | 0.03 | * |
| P. contorta | ||||||
| CO2 | 3.70 × 10−4 | *** | 2.20 × 10−16 | *** | 9.70 × 10−16 | *** |
| T | 5.60 × 10−11 | *** | 2.20 × 10−16 | *** | 2.20 × 10−16 | *** |
| CO2:T | 0.7 | NS | 1.10 × 10−10 | *** | 4.10 × 10−11 | *** |
Table 2.
Table showing the results (p-values) of the multiple comparison test of interactive effects for fertilization rate, abnormal development and early developmental success of the different coral species. Additionally, in the case of a significant difference, it is indicated whether there is a positive (+) or negative (-) effect. NS = not significant. (n = 5 per species).
| Effect of Temperature | Effect of CO2 | |||||||
|---|---|---|---|---|---|---|---|---|
| At Ambient CO2 | At High CO2 | At 27 °C | At 31 °C | |||||
| Fertilization Success | ||||||||
| A. hyacynthus (Lyudao) | <0.001 | - | <0.001 | - | 0.287 | NS | <0.001 | - |
| F.abdita | ||||||||
| A. hyacynthus (Kochi) | 0.998 | NS | <0.001 | + | <0.001 | - | <0.001 | - |
| P. contorta | ||||||||
| Abnormal Development | ||||||||
| A. hyacynthus (Lyudao) | ||||||||
| F.abdita | ||||||||
| A. hyacynthus (Kochi) | <0.001 | + | <0.001 | + | 0.5816 | NS | <0.05 | + |
| P. contorta | <0.001 | + | <0.001 | + | <0.001 | - | <0.001 | - |
| Early Developmental Success | ||||||||
| A. hyacynthus (Lyudao) | <0.001 | - | <0.001 | - | 0.16 | NS | <0.05 | - |
| F. abdita | ||||||||
| A. hyacynthus (Kochi) | <0.001 | + | <0.001 | + | 0.4791 | NS | <0.05 | + |
| P. contorta | <0.001 | + | <0.001 | + | <0.01 | - | <0.001 | - |
Elevated CO2 levels (1000 μatm CO2) had no significant effect on the fertilization success of F. abdita at 27 °C and A. hyacinthus (in Lyudao) at 27 °C. However, elevated CO2 levels significantly enhanced fertilization success in P. contorta (main effect) and significantly decreased fertilization success of A. hyacinthus at 31 °C in Lyudao and in Kochi.
Abnormal development (Figure 4B, Table 1 and Table 2, Table S2): The increased temperature significantly increased abnormal development in all coral species studied: A. hyacinthus in Lyudao (main effect), A. hyacinthus in Kochi (main effect) and P. contorta (main effect). No data are available for F. abdita. Elevated CO2 levels had a variable effect on abnormal development. While the elevated CO2 level did not affect abnormal development in most cases, it slightly, but significantly, increased abnormal development in A. hyacinthus (in Kochi) at 31 °C and a significantly decreased abnormal development in P. contorta at both temperatures.
Early developmental success (Figure 4C, Table 1 and Table 2, Table S2): Early developmental success was significantly reduced by the 4 °C increase in temperature in all species examined: A. hyacinthus in Lyudao at both CO2 levels, (<10%) A. hyacinthus in Kochi (main effect, <10%) and P. contorta at both CO2 levels (0% at ambient CO2, but 71.7% at high CO2).
Elevated CO2 levels had a variable effect on early developmental success. While the elevated CO2 level had no significant effect on early developmental success of F. abdita and A. hyacinthus (Lyudao) at 27 °C, it decreased early developmental success in A. hyacinthus from Lyudao at 31 °C and A. hyacinthus from Kochi (main effect) and significantly enhanced early developmental success of P. contorta at both temperatures. The large increase in early developmental success of P. contorta at 31 °C (0.0 ± 0.0 vs. 71.7 ± 4.8, n = 5) coincided with a significant decrease in abnormality of embryos with increasing CO2 level (100 ± 0.0 vs. 14.8 ± 2.0, n = 5).
3.3.2. Comparison of A. hyacinthus from Lyudao and Kochi
The effect of different climate change scenarios on the fertilization success, abnormal development and early developmental success was compared between latitudinal location for A. hyacinthus from Lyudao and from Kochi. Average values are given as x ± SD. See Table 3 and Table S5 for statistics overview.
Fertilization success (Figure 4A, Table 3, Table S3): A significant interaction was detected between the effect of location and temperature on fertilization success. Fertilization success significantly increased with temperature in Kochi, but decreased with temperature in Lyudao. CO2 level had no significant main effect on fertilization success at either location.
Abnormal development (Figure 4B, Table 3, Table S3): A significant interaction was detected between the effect of location and temperature on abnormal development. Abnormal development was not significantly different between locations at ambient temperature, but Kochi had a significantly higher percentage of abnormal development at high temperature (31 °C) compared to Lyudao.
Early developmental success (Figure 4C, Table 3, Table S3): No significant effect of location was detected on the response of early developmental success to climate stressors. In general, taking the data from both locations together, temperature significantly decreased early developmental success.
Table 3.
Table showing a summary of the results of logistic regression using GLM for fertilization rate, abnormal development and early developmental success of the comparison between A. hyacinthus in Lyudao and Kochi. NS = not significant, * means p < 0.05, ** means <0.01 and *** means <0.001. See Table S3 for the Analysis of Deviance tables.
| Fertilization Success | Abnormal Development | Early Developmental Success | ||||
|---|---|---|---|---|---|---|
| p-Value | p-Value | p-Value | ||||
| GLM comparing A. hyacinthus from Lyudao with Kochi | ||||||
| location | 2.2 × 10−16 | *** | 3.1 × 10−12 | *** | 2.6 × 10−12 | *** |
| T | 2.2 × 10−14 | *** | 2.2 × 10−16 | *** | 2.2 × 10−16 | *** |
| CO2 | 2.6 × 10−4 | *** | 0.30 | NS | 0.20 | NS |
| location:T | 9.8 × 10−11 | *** | 7.5 × 10−5 | *** | 2.1 × 10−7 | *** |
| location:CO2 | 1.5 × 10−6 | *** | 0.75 | NS | 0.01 | ** |
| T:CO2 | 7.8 × 10−6 | *** | 1.2 × 10−3 | ** | 1.6 × 10−4 | *** |
| location:T:CO2 | 1.2 × 10−3 | ** | 0.16 | NS | 0.89 | NS |
4. Discussion
The data presented here on fertilization success, abnormal development and early developmental success demonstrate that the response to elevated temperature and CO2 levels varies between different species (i.e., single male:female crosses) and latitudinal location. The predicted atmospheric warming for the year 2100 under the A1FI scenario (+4 °C) had a much stronger effect on these three parameters than the predicted atmospheric increase in CO2 level for the year 2100 under the A1FI scenario (1000 μatm CO2).
In this paper, we first attempt to interpret the responses by developing hypotheses about differences in sensitivity to climate stressors and/or differences in the physiological mechanisms governing the reproductive ecology of corals. Then, we discuss the ecological implications of our results and the future prospects of broadcast-spawning corals under the predicted future hostile environment.
4.1. Temperature Effect: Physiological Mechanisms
The 4 °C increase in temperature (from 27 °C to 31 °C) significantly affected early developmental success as a result of a decreased fertilization success (A. hyacinthus (Lyudao) and P. contorta) and/or an increased abnormal development (all species examined).
The different responses to temperature are consistent with the hypothesis that there are species-specific differences in temperature tolerance [55,56], i.e., that temperature optima for fertilization and successful embryonic development differ between species. Negri et al. [7] reported a negative effect of a 4 °C temperature increase (from 28 °C to 32 °C) on the fertilization success and early development of A. millepora, while F. chinensis, F. abdita and Mycedium elephantotus were not affected. Chua et al. [23] reported that a smaller increase in temperature (+2 °C) only increased developmental rate in A. millepora and A. tenuis and did not affect abnormal development.
Temperature optima also differed between fertilization and embryonic development within the same species. For example, in A. hyacinthus (in Kochi) fertilization success was not compromised at 31 °C, but >90% of embryos developed abnormally at this temperature. However, in A. hyacinthus (in Lyudao) and P. contorta the optimum temperature for both fertilization and for development was exceeded, since fertilization was compromised at 31 °C and >70% of embryos developed abnormally.
In all species examined, the optimum temperature for abnormal development was exceeded at 31 °C. Nevertheless, increased temperature had a greater impact on the abnormal development of A. hyacinthus from the high-latitude location Kochi compared to the mid-latitude location Lyudao. Although abnormal development was not significantly different between locations at ambient temperature, the increased temperature (31 °C) resulted in a significantly higher percentage of abnormal development in A. hyacinthus in Kochi (>90%) compared to A. hyacinthus in Lyudao (70%). Nevertheless, early developmental success was significantly decreased at both locations (≤10%) due to differences in fertilization success. Higher vulnerability of the development of coral species from high-latitude locations to increased temperature could be explained by differences in thermal tolerance due to variation in annual temperature variation between the locations (see Figure 1). High-latitude corals have been reported to be more sensitive to temperature stress than low-latitude corals (e.g., [31,32,33]), presumably because their upper thermal limits are lower than those of low-latitude corals. Additionally, corals in Lyudao are living closer and for a longer period of time near the 31 °C experimental temperature, which might allow them to adapt to these temperatures. However, it remains to be determined whether the measured effect is truly an effect of latitudinal location or possibly due to variability between genetic crosses [41,42] or the use of genetically different cryptic species of a Acropora syngameon [38]. Woolsey et al. [34] were able to compare abnormal development of A. spathulata between a low-latitude and mid-latitude location along the Great Barrier Reef (resp. Lizard Island (14.7° S) and One Tree Island (23.5° S)). In their study, a 4 °C temperature increase resulted in a significant increase in abnormal development compared to ambient at both locations (low lat.: 90% vs. mid lat.: 70%). However, a 2 °C temperature increase only increased abnormal development at the low-latitude location, presumably because corals from these low-latitude reefs are living closer to their upper thermal limit. Possibly, the discrepancy between studies may be attributed to: (1) differences in temperature at the time of spawning and therefore differences in absolute experimental temperatures; (2) differences in seasonal temperature variation, the minimum temperature during winter and the potential for acclimation to high temperatures [57]; and/or (3) differences between species. More research is needed to detect patterns of thermal thresholds of a single reef coral species living at different locations along a latitudinal gradient (i.e., having different seasonality).
4.2. Effect of CO2 Level: Physiological Mechanisms
The response of fertilization and development to elevated CO2 levels was variable, ranging from negative to neutral and even positive effects. The negative effect on fertilization success and early developmental success is in agreement with results obtained for other coral species using comparable sperm densities: A. palmata ([15]; 3.20 × 105 and 6.41 × 105 sperm·mL−1), O. faveolata ([17]; sperm density unknown) and A. tenuis ([22]; up to 5.84 × 104 sperm·mL−1). A negative effect of the elevated CO2 level on fertilization success is likely the consequence of the inhibiting effect of elevated CO2 on sperm motility [14,21] and the consequential decrease in effective sperm density. On the other hand, a positive effect of elevated CO2 level on fertilization success and early developmental success, as observed for P. contorta at high temperature, is hypothetically possible when elevated CO2 levels offset mechanisms that otherwise decrease fertilization success ([58]; first scenario). For example, by decreasing the amount of active sperm, elevated CO2 levels could potentially increase fertilization success by decreasing polyspermic fertilization.
In most species, abnormal development was not affected by the elevated CO2 level and even decreased in P. contorta at 31 °C (Figure 4B). In other broadcast spawning marine invertebrates, elevated CO2 levels increased abnormal development (mollusk, pH 7.4, [59]; sea urchin, 1800 μatm, [58]; scallop, pH <7.5, [60]; brittlestar, <7.9, [61]; mollusk, pH 7.7, [62]). In sea urchins, increasing CO2 levels increased polyspermic fertilization and the proportion of abnormal embryos by interfering with the fast block to polyspermy [58]. In corals, the existence of mechanisms to prevent polyspermy (e.g., egg block to polyspermy, fertilization membrane) has not yet been confirmed [63]. However, the absence of a negative effect of elevated CO2 neither denies nor supports the existence of a fast block to polyspermy in corals. Nevertheless, no abnormal development has been reported as a result of exposure to increased CO2 levels in of A. palmata ([15]: +200 μatm CO2), Orbicella faveolata ([17]: +114 μatm CO2), Oculina patagonica and Madracis pharensis ([10]: −1 pH), A. tenuis and A. millepora ([23]: +200 μatm CO2), A. tenuis ([22]: +400 μatm CO2) or A. digitifera ([24]: +500 μatm CO2).
It should be noted that ambient CO2 values in this study were higher than 380 μatm CO2 (indicated as “ambient CO2 today” for open oceanic waters [35]) because of diurnal fluctuations in atmospheric CO2 due to the photosynthetic uptake of CO2 and respiratory release of CO2 of the surrounding vegetation respectively during the day and at night [64]. As a result, the ambient CO2 values in this study reflect the CO2 values during the night when coral spawning and fertilization take place [17]. In the future, therefore, the CO2 values at night are expected to be higher than the predicted 1000 μatm CO2 as well, although we did not correct for that. In addition, it is interesting to note that the decrease in pH in each vial during the three hour incubation (at most −0.1 pH or +100 μatm CO2) was much higher compared to diurnal oscillations of pH as measured on two reefs in the Florida Keys by Albright [17]: 0.05–0.06 pH. Despite these higher changes in pH under experimental conditions, we did not find any correlation between the extent of decrease in pH during incubation and the intensity of the treatment response. Changes in pH during fertilization assays have not been commonly measured, however Albright and Mason [22] measured a 0.6 pH decrease during a 3 h incubation with a sperm density of 107 sperm/mL without a noticeable effect on fertilization.
4.3. Synergistic Effect of Temperature and CO2 Level
Combined exposure to the elevated temperature and CO2 level significantly reduced early developmental success compared to ambient conditions in all species studied. The contribution of each factor (i.e., interactive effect) and the processes affected (i.e., fertilization vs. developmental processes) varied between species and also between A. hyacinthus from Kochi and A. hyacinthus from Lyudao.
Interactions resulted from distinct effects of elevated CO2 at ambient and high temperature. These effects could be related to its effects on sperm motility and the different mechanisms of response to increased temperature: enhancement of sperm motility and enzyme impairment [7]. It is postulated that elevated CO2 levels could either decrease or increase fertilization success and early developmental success depending on whether sperm is limiting or in excess. In the case of P. contorta, the elevated CO2 level increased fertilization success and early developmental success and reduced abnormal development at 31 °C, possibly due to the narcotic effect of CO2 on sperm motility [14,65,66]. However, when increased temperatures have impaired enzymes and/or proteins involved in fertilization and/or development, no additional effect is expected due to changes in sperm motility. This is a possible scenario for A. hyacinthus (Lyudao and Kochi) at increased temperature. Besides sperm motility, other processes that are susceptible to ocean acidification could play a role in this response to elevated CO2, including the initiation of sperm motility [67], sperm chemo taxis [68] and/or sperm attraction by the egg [67,69]. All these processes are controlled by an increase in intracellular pH and therefore susceptible to ocean acidification. Sperm chemotaxis of Acropora spp. has been demonstrated to be susceptible to low pH [68].
To provide more insight into the mechanisms behind the response to increased temperature and CO2 levels, future studies should measure the response of fertilization success to climate change under a range of sperm densities (e.g., 102 to 107 sperm mL−1), similar to Reuter et al. [58] and Albright and Mason [22]. Reuter et al. [58] postulated different scenarios for the effect of pH on the fertilization of sea urchins that should be reflected by changes in the shape of the fertilization curve. Such scenarios can also be postulated for coral fertilization and tested by observing changes in the fertilization curve.
4.4. Ecological Consequences
Climate change will likely affect multiple stages of the life cycle of broadcast-spawning marine invertebrates such as corals. Once sperm-egg bundles break and sperm and eggs are exposed to the surrounding seawater, the process of fertilization is the first bottleneck in the life cycle and therefore critical to the reproductive success of broad-cast spawning corals in the future hostile environment.
Increased temperature had a much stronger effect on fertilization success and early development than elevated CO2 levels. Possibly, corals are more robust to changes in pH, since coral cells undergo daily changes in external pH as a result of photosynthesis and dark respiration [70,71,72] that can be larger than those expected for 2100. Although the sperm densities used in this study are likely not representative of natural sperm densities during a spawning event, the results of this study did indicate that high temperature significantly decreases early development success, while increased CO2 levels have a variable effect and can sometimes even off-set the negative effect of high temperature. Nevertheless, the combined exposure to elevated temperature (+ 4 °C) and elevated CO2 levels (1000 μatm CO2) will have a net negative effect on fertilization success and early development, regardless of the mechanisms that play a role. The extent of the effect is expected to exacerbate under natural oligospermic conditions (i.e., lower sperm densities). Nevertheless, the experimental outcome for P. contorta seems promising, since the cross of P. contorta still had an early developmental success of >70% after combined exposure to elevated temperature and CO2 levels. However, future studies should confirm whether this is a true species-specific response using polyandric crosses (i.e., using a gamete mixture from multiple colonies) or a larger number of different single male:female crosses. Comparison of responses at species level was not the aim of this study. In addition, it is very difficult to meet the requirements of such a study (i.e., synchronous, abundant spawning of multiple colonies) when working at high-latitude locations and depending on spawning of corals in the laboratory. No differences in the number of successfully developing embryos are expected between our latitudinal locations in the near future, since the net effect on early developmental success was comparable despite differing sensitivities of fertilization and development to temperature. Differences in reproductive success between low- and high-latitude coral populations might, however, arise due to limited genetic and genotypic diversity in marginal coral populations, such as at high-latitudes [73]. Limited genetic compatibility might act as an additional factor decreasing reproductive success by further decreasing fertilization success. However, as mentioned before, the differences found between A. hyacinthus from Kochi and Lyudao could be a result of latitudinal location, but also variability between genetic crosses [41,42] and/or the use of genetically different cryptic species of a Acropora syngameon [38]. Nevertheless, data on the response of broad-casting corals from mid-and high-latitude locations to climate stressors are crucial for comparison with their low-latitudes counterparts.
The response of the earliest life stages of broad-cast spawning corals to climate change stressors (i.e., fertilization and embryonic development, measured only 3 h after fertilization) is important, since these processes represent one of the first bottlenecks of starting a new life cycle. After overcoming these bottlenecks, successful sexual recruitment of corals relies on the completion of three other important phases in the life history of corals: the larval phase, the settlement phase and the post-settlement phase [15]. Until now, several studies have identified the effects of increased temperature or elevated CO2 levels on different stages in the early life cycle of corals that occur after fertilization, including (in chronological order) embryonic development (Temp.: [6,7], Temp. and CO2: [23]), larval survivorship (Temp.: [5,8,9,74,75], CO2: [16,20], Temp. and CO2: [23]), settlement (Temp.: [8,9,76,77,78], CO2: [11,18,79,80,81]), metamorphosis (CO2: [20], Temp. and CO2 : [22,23]), establishment of symbiosis (CO2: [16]), post-settlement survivorship and recruitment (Temp.: [9,78], CO2: [12]) and early post-settlement growth (CO2: [11,15,16,18,80,82]). Although the extent of these effects depends on treatment level and exposure time, both temperature and CO2 level predicted for the year 2100 in the worst case scenario (A1FI) [35] negatively affected many of these early life history stages. Therefore, due to their cumulative effect (i.e., by impacting multiple sequential life history stages), increasing seawater temperature and CO2 levels together have the potential to significantly affect the sexual recruitment of broad-cast spawning corals in the future (e.g., see Albright et al. [15] for cumulative effects of CO2).
There is a need to investigate the potential of corals to acclimatize and/or adapt to elevated temperature and CO2. Most experiments so far have been done using corals with mature gonads growing under ambient conditions, only exposing their gametes or larvae to stressful conditions (i.e., exposing them to “acute stress”). The results of these experiments might therefore be more extreme than would occur if the spawning adult colonies would already have been adapted or acclimatized to higher temperature and/or CO2 levels—as could occur in the near-future. In fact, Jokiel et al. [12] studied the effect of prolonged exposure of corals to elevated CO2 levels (ambient vs. +365 μatm CO2) on gamete production and recruitment in a mesocosm experiment. No effects were found. Additionally, a more recent study by Putnam [83] suggests that prior exposure of adult brooding corals to climate change conditions may have played a role in shaping the physiology of larvae and their subsequent success under climate change conditions. Similarly, adult broadcast-spawning corals might invest more in their sperm and eggs when exposed to climate change conditions and spawning season might occur earlier in the year in the future due to higher average sea temperatures [37,84]. Theoretically, if a specific temperature threshold would exist for each species, the response to increased temperature (ambient +4 °C) could be different depending on the average ambient temperature during the month of spawning [51]. Future studies should evaluate this possibility for acclimatization and evaluate the effect on fertilization success of broadcast-spawning corals.
5. Conclusion
Our results suggest that increased seawater temperatures will have detrimental effects on the initial development and early developmental success of broadcast spawning corals from mid- and high-latitude locations. Although elevated CO2 levels did not produce a strong effect in this study, the inhibiting effect of elevated CO2 levels on sperm motility [14,21] is expected to exacerbate under natural oligospermic conditions. Together, these environmental stressors will have significant ecological ramifications for sexual recruitment of broadcast spawning corals and the maintenance of genetic diversity of reef coral assemblages in the near future.
Supplementary Materials
Supplementary File 1Supplementary File 1Acknowledgments
We would like to thank three anonymous reviewers for their constructive comments on our manuscript. Also we would like to thank our research assistants Ai-Chi Chung, Che-Hung Lin and Dan-Yi Huang and for their help and assistance throughout the experimental period and we would like to thank the staff of Lyudao Marine Research Station (Lyudao, Taiwan) and the Biological Institute on Kuroshio (Kochi, Japan) for their support. The authors also thank T. Mezaki for the supply of the yearly temperature data in Kochi. This research was funded by the thematic research grant of Academia Sinica (23-2g). A general postdoctoral fellowship from Academia Sinica was awarded to M.S.
Author Contributions
M.S. and Y.N. conceived and designed the experiments; M.S. and Y.N performed fieldwork and gamete collection; M.S. performed the experimental fertilization assays; Y.N performed ambient fertilization assays; M.S. analyzed the data; Y.N. and H.K. contributed reagents/materials/analysis tools; M.S. wrote the paper.
Conflicts of Interest
The authors declare no conflict of interest.
References
- Hoegh-Guldberg, O.; Mumby, P.J.; Hooten, A.J.; Steneck, R.S.; Greenfield, P.; Gomez, E.; Harvell, C.D.; Sale, P.F.; Edwards, A.J.; Caldeira, K.; et al. Coral reefs under rapid climate change and ocean acidification. Science 2007, 318, 1737–1742. [Google Scholar] [CrossRef] [PubMed]
- Baird, A.H.; Guest, J.R.; Willis, B.L. Systematic and Biogeographical Patterns in the Reproductive Biology of Scleractinian Corals. Annu. Rev. Ecol. Evol. Syst. 2009, 40, 551–571. [Google Scholar] [CrossRef]
- Gleason, D.F.; Hofmann, D.K. Coral larvae: From gametes to recruits. J. Exp. Mar. Bio. Ecol. 2011, 408, 42–57. [Google Scholar] [CrossRef]
- Harrison, P.L. Sexual Reproduction of Scleractinian Corals. In Coral Reefs: An Ecosystem in Transition; Dubinsky, Z., Stambler, N., Eds.; Springer: Dordrecht, The Netherlands, 2011. [Google Scholar]
- Edmunds, P.J.; Gates, R.D.; Gleason, D.F. The biology of larvae from the reef coral Porites. astreoides, and their response to temperature disturbances. Mar. Biol. 2001, 139, 981–989. [Google Scholar] [CrossRef]
- Bassim, K.M.; Sammarco, P.W.; Snell, T.L. Effects of temperature on success of (self and non-self) fertilization and embryogenesis in Diploria strigosa (Cnidaria, Scleractinia). Mar. Biol. 2002, 140, 479–488. [Google Scholar] [CrossRef]
- Negri, A.P.; Marshall, P.A.; Heyward, A.J. Differing effects of thermal stress on coral fertilization and early embryogenesis in four Indo Pacific species. Coral Reefs 2007, 26, 759–763. [Google Scholar] [CrossRef]
- Randall, C.J.; Szmant, A.M. Elevated temperature affects development, survivorship, and settlement of the elkhorn coral, Acropora palmata (Lamarck 1816). Biol. Bull. 2009, 217, 269–282. [Google Scholar] [PubMed]
- Randall, C.J.; Szmant, A.M. Elevated temperature reduces survivorship and settlement of the larvae of the Caribbean scleractinian coral, Favia fragum (Esper). Coral Reefs 2009, 28, 537–545. [Google Scholar] [CrossRef]
- Fine, M.; Tchernov, D. Scleractinian coral species survive and recover from decalcification. Science 2007, 315, 1811. [Google Scholar] [CrossRef] [PubMed]
- Albright, R.; Mason, B.; Langdon, C. Effect of aragonite saturation state on settlement and post-settlement growth of Porites astreoides larvae. Coral Reefs 2008, 27, 485–490. [Google Scholar] [CrossRef]
- Jokiel, P.L.; Rodgers, K.S.; Kuffner, I.B.; Andersson, A.J.; Cox, E.F.; Mackenzie, F.T. Ocean acidification and calcifying reef organisms: A mesocosm investigation. Coral Reefs 2008, 27, 473–483. [Google Scholar] [CrossRef]
- Kurihara, H. Effects of CO2-driven ocean acidification on the early developmental stages of invertebrates. Mar. Ecol. Prog. Ser. 2008, 373, 275–284. [Google Scholar] [CrossRef]
- Morita, M.; Suwa, R.; Iguchi, A.; Nakamura, M.; Shimada, K.; Sakai, K.; Suzuki, A. Ocean acidification reduces sperm flagellar motility in broadcast spawning reef invertebrates. Zygote 2010, 18, 103–107. [Google Scholar] [CrossRef] [PubMed]
- Albright, R.; Mason, B.; Miller, M.; Langdon, C. Ocean acidification compromises recruitment success of the threatened Caribbean coral Acropora palmata. Proc. Natl. Acad. Sci. USA 2010, 107. [Google Scholar] [CrossRef] [PubMed]
- Suwa, R.; Nakamura, M.; Morita, M.; Shimada, K.; Iguchi, A.; Sakai, K.; Suzuki, A. Effects of acidified seawater on early life stages of scleractinian corals (Genus Acropora). Fish. Sci. 2009, 76, 93–99. [Google Scholar] [CrossRef]
- Albright, R. Effects of Ocean Acidification on Early Life History Stages of Caribbean scleractinian corals. Ph.D. Thesis, Rosenstiel School of Marine and Atmospheric Science, University of Miami, Rickenbacker Causeway, Miami, FL, USA, 7 April 2011. [Google Scholar]
- Albright, R.; Langdon, C. Ocean acidification impacts multiple early life history processes of the Caribbean coral Porites astreoides. Glob. Chang. Biol. 2011, 17, 2478–2487. [Google Scholar] [CrossRef]
- Anlauf, H.; D’Croz, L.; O’Dea, A.A. corrosive concoction: The combined effects of ocean warming and acidification on the early growth of a stony coral are multiplicative. J. Exp. Mar. Bio. Ecol. 2010, 397, 13–20. [Google Scholar] [CrossRef]
- Nakamura, M.; Ohki, S.; Suzuki, A.; Sakai, K. Coral Larvae under Ocean Acidification: Survival, Metabolism, and Metamorphosis. PLoS ONE 2011, 6, e14521. [Google Scholar] [PubMed]
- Nakamura, M.; Morita, M. Sperm motility of the scleractinian coral Acropora. digitifera under preindustrial, current, and predicted ocean acidification regimes. Aquat. Biol. 2012, 15, 299–302. [Google Scholar] [CrossRef]
- Albright, R.; Mason, B. Projected near-future levels of temperature and pCO2 reduce coral fertilization success. PLoS ONE 2013, 8, e56468. [Google Scholar] [CrossRef] [PubMed]
- Chua, C.M.; Leggat, W.; Moya, A.; Baird, A.H. Temperature affects the early life history stages of corals more than near future ocean acidification. Mar. Ecol. Prog. Ser. 2013, 475, 85–92. [Google Scholar] [CrossRef]
- Iguchi, A.; Suzuki, A.; Sakai, K.; Nojiri, Y. Comparison of the effects of thermal stress and CO2-driven acidified seawater on fertilization in coral Acropora digitifera. Zygote 2014, 22. [Google Scholar] [CrossRef] [PubMed]
- Putnam, H.M.; Mayfield, A.B.; Fan, T.Y.; Chen, C.S.; Gates, R.D. The physiological and molecular responses of larvae from the reef-building coral Pocillopora damicornis exposed to near-future increases in temperature and pCO2. Mar. Biol. 2013, 160, 2157–2173. [Google Scholar] [CrossRef]
- Byrne, M.; Soars, N.A.; Ho, M.A.; Wong, E.; McElroy, D.; Selvakumaraswamy, P.; Dworjanyn, S.A.; Davis, A.R. Fertilization in a suite of coastal marine invertebrates from SE Australia is robust to near-future ocean warming and acidification. Mar. Biol. 2010, 157, 2061–2069. [Google Scholar] [CrossRef]
- Byrne, M.; Soars, N.; Selvakumaraswamy, P.; Dworjanyn, S.A.; Davis, A.R. Sea urchin fertilization in a warm, acidified and high pCO2 ocean across a range of sperm densities. Mar. Environ. Res. 2010, 69, 234–239. [Google Scholar] [CrossRef] [PubMed]
- Moulin, L.; Catarino, A.I.; Claessens, T.; Dubois, P. Effects of seawater acidification on early development of the intertidal sea urchin Paracentrotus. lividus (Lamarck 1816). Mar. Pollut. Bull. 2011, 62, 48–54. [Google Scholar] [CrossRef] [PubMed]
- Chown, S.L.; Gaston, K.J.; Robinson, D. Macrophysiology: Large-scale patterns in physiological. Funct. Ecol. 2004, 18, 159–167. [Google Scholar] [CrossRef]
- Addo-Bediako, A.; Chown, S.L.; Gaston, K.J. Thermal tolerance, climatic variability and latitude. Proc. Biol. Sci. 2000, 267, 739–745. [Google Scholar] [CrossRef] [PubMed]
- Coles, S.L.; Jokiel, P.L.; Lewis, C.R. Thermal Tolerance in Tropical Vs Subtropical Pacific Reef Corals. Pac. Sci. 1976, 30, 159–166. [Google Scholar]
- Cook, C.B.; Logan, A.; Ward, J.; Luckhurst, B.E.; Berg, C.J., Jr. Elevated temperatures and bleaching on a high latitude coral reef: The 1998 Bermuda event. Coral Reefs 1990, 9, 45–49. [Google Scholar] [CrossRef]
- Ulstrup, K.; Berkelmans, R.; Ralph, P.; van Oppen, M. Variation in bleaching sensitivity of two coral species across a latitudinal gradient on the Great Barrier Reef: The role of zooxanthellae. Mar. Ecol. Prog. Ser. 2006, 314, 135–148. [Google Scholar] [CrossRef]
- Woolsey, E.S.; Keith, S.A.; Byrne, M.; Schmidt-Roach, S.; Baird, A.H. Latitudinal variation in thermal tolerance thresholds of early life stages of corals. Coral Reefs 2014, 33. [Google Scholar] [CrossRef]
- Meehl, G.A.; Stocker, T.F.; Collins, W.D.; Friedlingstein, P.; Gaye, A.T.; Gregory, J.M.; Kitoh, A.; Knutti, R.; Murphy, J.M.; Noda, A.; et al. Global Climate Projections. In Climate Change 2007: The Physical Science Basis. Contribution of Working Group I to the Fourth Assessment Report of the Intergovernmental Panel on Climate Change; Solomon, S., Qin, D., Manning, M., Chen, Z., Marquis, M., Averyt, K.B., Tignor, M., Miller, H.L., Eds.; Cambridge University Press: Cambridge, New York, NY, USA, 2007; pp. 747–845. [Google Scholar]
- Lin, C-H.; Nozawa, Y. Spawning timing of Scleractinian Corals in Lyudao, Taiwan. Unpublished work. 2015. [Google Scholar]
- Nozawa, Y. Annual variation in the timing of coral spawning in a high-latitude environment: Influence of temperature. Biol. Bull. 2012, 222, 192–202. [Google Scholar] [PubMed]
- Ladner, J.T.; Palumbi, S.R. Extensive sympatry, cryptic diversity and introgression throughout the geographic distribution of two coral species complexes. Mol. Ecol. 2012, 21, 2224–2238. [Google Scholar] [CrossRef] [PubMed]
- Mezaki, T.; Hayashi, T.; Iwase, F.; Nozawa, Y.; Miyamoto, M.; Tominaga, M. Spawning patterns of high latitude scleractinian corals from 2002 to 2006 at Nishidomari, Otsuki, Kochi, Japan. Kuroshio Biosph. 2007, 3, 33–47. [Google Scholar]
- Veron, J.E.N. Corals of the World; Australian Institute of Marine Science: Townsville, Australia, 2000. [Google Scholar]
- Evans, J.P.; Marshall, D.J. Male-by-female interactions influence fertilization success and mediate the benefits of polyandry in the sea urchin Heliocidaris erythrogramma. Evolution 2005, 59, 106–112. [Google Scholar] [CrossRef] [PubMed]
- Schlegel, P.; Havenhand, J.N.; Gillings, M.R.; Williamson, J.E. Individual Variability in Reproductive Success Determines Winners and Losers under Ocean Acidification: A Case Study with Sea Urchins. PLoS ONE 2012, 7, 1–8. [Google Scholar] [CrossRef]
- Lewis, E.; Wallace, D.; Allison, L.J. Program developed for CO2 system calculations. Tennessee: Carbon Dioxide Information Analysis Center; Martin, L., Ed.; Energy Research Corporation for the US Department of Energy: New York, NY, USA, 1998. [Google Scholar]
- Mehrbach, C.; Culberson, C.H.; Hawley, J.E.; Pytkowicz, R.M. Measurement of the apparent dissociation constants of carbonic acid in seawater at atmospheric pressure. Limnol. Oceanogr. 1973, 18, 897–907. [Google Scholar] [CrossRef]
- Dickson, A.G.; Millero, F.J. A comparison of the equilibrium constants for the dissociation of carbonic acid in seawater media. Deep Sea Res. Part. A Oceanogr. Res. Pap. 1987, 34, 1733–1743. [Google Scholar] [CrossRef]
- Oliver, J.; Babcock, R. Aspects of the Fertilization Ecology of Broadcast Spawning Corals: Sperm Dilution Effects and in situ Measurements of Fertilization. Biol. Bull. 1992, 183, 409–417. [Google Scholar] [CrossRef]
- Ho, M.A.; Price, C.; King, C.K.; Virtue, P.; Byrne, M. Effects of ocean warming and acidification on fertilization in the Antarctic echinoid Sterechinus neumayeri across a range of sperm concentrations. Mar. Environ. Res. 2013, 90, 136–141. [Google Scholar] [CrossRef] [PubMed]
- Parker, L.M.; Ross, P.M.; O’Connor, W.A. Comparing the effect of elevated pCO2 and temperature on the fertilization and early development of two species of oysters. Mar. Biol. 2010, 157, 2435–2452. [Google Scholar] [CrossRef]
- Okubo, N.; Motokawa, T. Embryogenesis in the reef-building coral Acropora. spp. Zool. Sci. 2007, 24, 1169–1177. [Google Scholar] [CrossRef] [PubMed]
- Okubo, N.; Mezaki, T.; Nozawa, Y.; Nakano, Y.; Lien, Y.-T.; Fukami, H.; Hayward, D.C.; Ball, E.E. Comparative embryology of eleven species of stony corals (Scleractinia). PLoS ONE 2013, 8, e84115. [Google Scholar]
- Keshavmurthy, S.; Fontana, S.; Mezaki, T.; González, L.D.C.; Chen, C.A. Doors are closing on early development in corals facing climate change. Sci. Rep. 2014, 4, 18–23. [Google Scholar] [CrossRef]
- Szmant-Froelich, A.; Yevich, P.; Pilson, M.E.Q. Gametogenesis and early development of the temperate coral Astrangia danae (Anthozoa: Scleractinia). Biol. Bull. 1980, 158, 257–269. [Google Scholar] [CrossRef]
- Hothorn, T.; Bretz, F.; Westfall, P. Simultaneous inference in general parametric models. Biometrical J. 2008, 50, 346–363. [Google Scholar] [CrossRef]
- Iguchi, A.; Morita, M.; Nakajima, Y.; Nishikawa, A.; Miller, D. In vitro fertilization efficiency in coral Acropora digitifera. Zygote 2009, 17, 225–227. [Google Scholar] [CrossRef] [PubMed]
- O’Connor, M.I.; Bruno, J.F.; Gaines, S.D.; Halpern, B.S.; Lester, S.E.; Kinlan, B.P.; Weiss, J.M. Temperature control of larval dispersal and the implications for marine ecology, evolution, and conservation. Proc. Natl. Acad. Sci. USA 2007, 104, 1266–1271. [Google Scholar] [CrossRef] [PubMed]
- Heyward, A.J.; Negri, A.P. Plasticity of larval pre-competency in response to temperature: Observations on multiple broadcast spawning coral species. Coral Reefs 2010, 29, 631–636. [Google Scholar] [CrossRef]
- Oliver, T.A.; Palumbi, S.R. Do fluctuating temperature environments elevate coral thermal tolerance? Coral Reefs 2011, 30, 429–440. [Google Scholar] [CrossRef]
- Reuter, K.E.; Lotterhos, K.E.; Crim, R.N.; Thompson, C.A.; Harley, C.D.G. Elevated pCO2 increases sperm limitation and risk of polyspermy in the red sea urchin Strongylocentrotus franciscanus. Glob. Chang. Biol. 2011, 17, 163–171. [Google Scholar] [CrossRef]
- Kurihara, H.; Kato, S.; Ishimatsu, A. Effects of increased seawater pCO2 on early development of the oyster Crassostrea gigas. Aquat. Biol. 2007, 1, 91–98. [Google Scholar] [CrossRef]
- Desrosiers, R.R.; Désilets, J.; Dubé, F. Early developmental events following fertilization in the giant scallop Placopecten magellanicus. Can. J. Fish. Aquat. Sci. 1996, 53, 1382–1392. [Google Scholar] [CrossRef]
- Dupont, S.; Havenhand, J.; Thorndyke, W.; Peck, L.; Thorndyke, M. Near-future level of CO2-driven ocean acidification radically affects larval survival and development in the brittlestar Ophiothrix fragilis. Mar. Ecol. Prog. Ser. 2008, 373, 285–294. [Google Scholar] [CrossRef]
- Parker, L.M.; Ross, P.M.; O’Connor, W.A. The effect of ocean acidification and temperature on the fertilization and embryonic development of the Sydney rock oyster Saccostrea glomerata (Gould 1850). Glob. Chang. Biol. 2009, 15, 2123–2136. [Google Scholar] [CrossRef]
- Albright, R. Reviewing the Effects of Ocean Acidification on Sexual Reproduction and Early Life History Stages of Reef-Building Corals. J. Mar. Biol. 2011, 2011, 1–14. [Google Scholar] [CrossRef]
- Riebesell, U.; Fabry, V.J.; Hansson, L.; Gattuso, J.-P. (Eds.) Guide to Best Practices for Ocean Acidification Research and Data Reporting; Publications Office of the European Union: Luxembourg, Luxembourg, 2010; p. 258.
- Havenhand, J.; Buttler, F.; Thorndyke, M. Near-future levels of ocean acidification reduce fertilization success in a sea urchin. Curr. Biol. 2008, 18, 651–652. [Google Scholar] [CrossRef]
- Caldwell, G.; Fitzer, S.; Gillespie, C.; Pickavance, G.; Turnbull, E.; Bentley, M. Ocean acidification takes sperm back in time. Invertebr. Reprod. Dev. 2011, 55, 1–5. [Google Scholar] [CrossRef]
- Solzin, J.; Helbig, A.; Van, Q.; Brown, J.E.; Hildebrand, E.; Weyand, I.; Kaupp, U.B. Revisiting the role of H+ in chemotactic signaling of sperm. J. Gen. Physiol. 2004, 124, 115–124. [Google Scholar] [CrossRef] [PubMed]
- Morita, M.; Nishikawa, A.; Nakajima, A.; Iguchi, A.; Sakai, K.; Takemura, A.; Okuno, M. Eggs regulate sperm flagellar motility initiation, chemotaxis and inhibition in the coral Acropora digitifera, A. gemmifera and A. tenuis. J. Exp. Biol. 2006, 209, 4574–4579. [Google Scholar]
- Darszon, A.; Guerrero, A.; Galindo, B.E.; Nishigaki, T.; Wood, C.D. Sperm-activating peptides in the regulation of ion fluxes, signal transduction and motility. Int. J. Dev. Biol. 2008, 52, 595–606. [Google Scholar] [CrossRef] [PubMed]
- Kühl, M.; Cohen, Y.; Dalgaard, T.; JØrgensen, B.B.; Revsbech, N.P. Microenvironment and photosynthesis of zooxanthellae in scleractinian corals studied pH and light with microsensors for O2, pH and light. Mar. Ecol. Prog. Ser. 1995, 117, 159–172. [Google Scholar] [CrossRef]
- Al-Horani, F.A.; Al-Moghrabi, S.M.; de Beer, D. Microsensor study of photosynthesis and calcification in the scleractinian coral, Galaxea fascicularis: Active internal carbon cycle. J. Exp. Mar. Bio. Ecol. 2003, 288, 1–15. [Google Scholar] [CrossRef]
- Al-Horani, F.A.; Ferdelman, T.; Al-Moghrabi, S.M.; De Beer, D. Spatial distribution of calcification and photosynthesis in the scleractinian coral Galaxea fascicularis. Coral Reefs 2005, 24, 173–180. [Google Scholar] [CrossRef]
- Baums, I.B. A restoration genetics guide for coral reef conservation. Mol. Ecol. 2008, 17, 2796–2811. [Google Scholar] [CrossRef] [PubMed]
- Baird, A.H.; Gilmour, J.P.; Kamiki, T.M.; Nonaka, M.; Pratchett, M.S.; Yamamoto, H.; Yamasaki, H. Temperature Tolerance of Symbiotic And Non-Symbiotic Coral Larvae. In Proceedings of the 10th International Coral Reef Symposium, Okinawa, Japan, 28 June–2 July 2006; pp. 38–42.
- Yakovleva, I.; Baird, A.H.; Yamamoto, H.H.; Bhagooli, R.; Nonaka, M.; Hidaka, M. Algal symbionts increase oxidative damage and death in coral larvae at high temperatures. Mar. Ecol. Prog. Ser. 2009, 378, 105–112. [Google Scholar] [CrossRef]
- Coles, S.L. The Effects of Elevated Temperature on Reef Coral Planula Settlement as Related to Power Station Entrainrnent. In Proceedings of the 5th International Coral Reef Symposium, Tahiti, 27 May–1 June 1985; pp. 171–176.
- Nozawa, Y.; Harrison, P.L. Larval settlement patterns, dispersal potential and the effect of temperature on settlement of larvae of the reef coral, Platygyra daedalea, from the Great Barrier Reef. In Proceedings of the 9th International Coral Reef Symposium, Bali Convention Center, Bali, Indonesia, 23–27 October 2000; pp. 409–415.
- Nozawa, Y.; Harrison, P.L. Effects of elevated temperature on larval settlement and post-settlement survival in scleractinian corals, Acropora solitaryensis and Favites chinensis. Mar. Biol. 2007, 152, 1181–1185. [Google Scholar] [CrossRef]
- Muehllehener, N.; Edmunds, P.J. Effects of ocean acidification and increased temperatures on skeletal growth of two scleractinian corals, Pocillopora meandrina and Porites rus. In Proceedings of the 11th International Coral Reef Symposium, Fort Lauderdale, FL, USA, 7–11 July 2008; pp. 57–61.
- Doropoulos, C.; Ward, S.; Diaz-Pulido, G.; Hoegh-Guldberg, O.; Mumby, P.J. Ocean acidification reduces coral recruitment by disrupting intimate larval-algal settlement interactions. Ecol. Lett. 2012, 15, 338–346. [Google Scholar] [CrossRef]
- Doropoulos, C.; Diaz-Pulido, G. High CO2 reduces the settlement of a spawning coral on three common species of crustose coralline algae. Mar. Ecol. Prog. Ser. 2013, 475, 93–99. [Google Scholar] [CrossRef]
- Dufault, A.M.; Cumbo, V.R.; Fan, T.-Y.; Edmunds, P.J. Effects of diurnally oscillating pCO2 on the calcification and survival of coral recruits. Proc. R. Soc. B Biol. Sci. 2012, 279, 2951–2958. [Google Scholar] [CrossRef]
- Putnam, H.M. Resilience and Acclimatization Potential of Reef Corals under Predicted Climate Change Stressors. Ph.D. Thesis, University of Hawai’I, Manoa, HI, USA, December 2012. [Google Scholar]
- Fan, T.; Dai, C. Reproductive plasticity in the reef coral Echinopora lamellosa. Mar. Ecol. Prog. Ser. 1999, 190, 297–301. [Google Scholar] [CrossRef]
© 2015 by the authors; licensee MDPI, Basel, Switzerland. This article is an open access article distributed under the terms and conditions of the Creative Commons Attribution license ( http://creativecommons.org/licenses/by/4.0/).