Site Suitability Assessment and Grid-Forming Battery Energy Storage System Configuration for Hybrid Offshore Wind-Wave Energy Systems
Abstract
1. Introduction
2. Power Calculation of Wind and Wave
2.1. Wind Power Calculation
2.2. Wave Energy Power Calculation
3. Marine Site Suitability Assessment
3.1. Comprehensive Energy Output Index
3.2. Time-Shifted Cross-Covariance Index
3.3. Energy Penetration Balance Index
3.4. Comprehensive Assessment
4. Frequency Dynamic Characteristics of Power Systems with Grid-Forming BESS Participation
4.1. Frequency Response Process of Power Systems with Grid-Forming BESS Participation
4.2. System Frequency Security Constraints with Grid-Forming BESS
- (1)
- RoCoF constraint
- (2)
- Quasi-steady-state constraint
- (3)
- Frequency zenith constraint
5. Configuration Model for Energy Storage Systems
5.1. Modeling of Grid-Forming BESS
5.2. Modeling of Gas Turbine Generator
5.3. Modeling of Hybrid Offshore Wind-Wave Energy Systems
5.4. Optimization Objectives
5.5. System Operation Safety Constraints
6. Case Study
6.1. Parameters
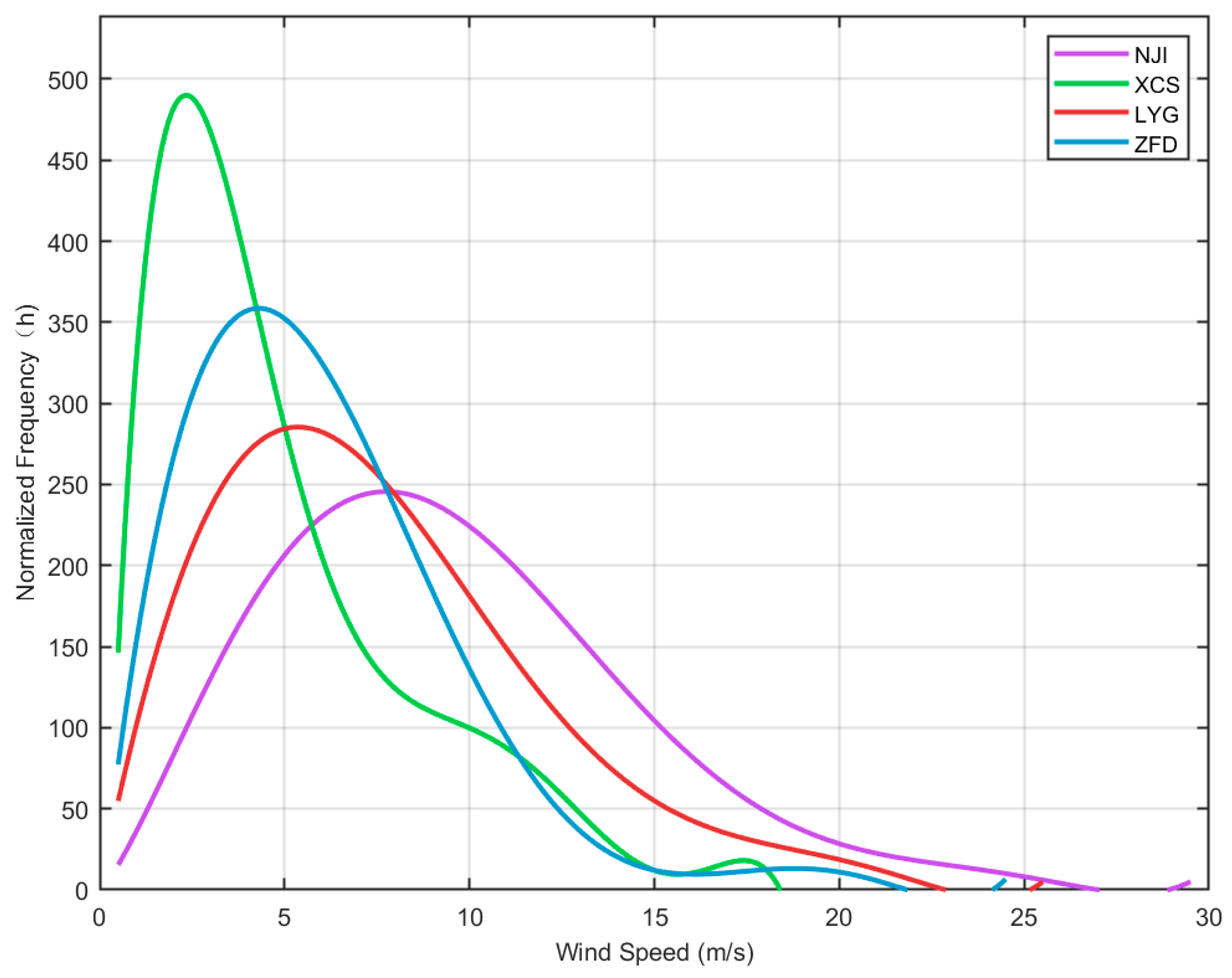
6.2. Suitability Analysis
6.3. Results and Analysis of Configuration Method
- Case 1 (Baseline case): the original microgrid system without a configured BESS;
- Case 2 (Optimized configuration case): a grid-forming BESS is configured to participate in new energy accommodation and frequency regulation simultaneously.
- Case 3: Microgrid with updated gas turbine generators, 100% renewable energy utilization rate and without BESS support;
- Case 4: Microgrid with updated gas turbine generators, hybrid wind-wave generation system (without limiting utilization rate as 100%), and without BESS support;
- Case 5: Microgrid with updated gas turbine generators, hybrid wind-wave generation system (without limiting utilization rate as 100%), and a grid-forming BESS.
7. Conclusions
Author Contributions
Funding
Data Availability Statement
Conflicts of Interest
Appendix A
| Variable | Definition | Description |
|---|---|---|
| Z | △Pe − RE | Linear difference |
| U | z2 | Quadratic term |
| Q | RG·TW | Linear term |
| v | RE·RG·TW | Bilinear term |
| r | H·RG | Bilinear term |
- (1)
- Variable bounds
- (2)
- McCormick envelope (bilinear term)
- (3)
- SOS2 piecewise approximation for u = z2
- (4)
- Substitute the values of z and u into (A2) to derive the final constraint.
Appendix B
Appendix B.1
Appendix B.2
| Unit | Pmax (MW) | Pmin (MW) | a ($·MW−2) | b ($·MW−1) | c ($) | MUT (h) | MDT (h) | std ($) | spd ($) | bus | Rup | Rdown | H | |
|---|---|---|---|---|---|---|---|---|---|---|---|---|---|---|
| 1 | 15 | 4 | 0 | 100 | 625 | 3 | 1 | 150 | 150 | 22 | 20 | 20 | 6 | 0.85 |
| 2 | 13 | 1 | 0 | 325 | 83 | 2 | 1 | 100 | 100 | 27 | 22 | 22 | 6 | 0.76 |
| Bus | Type | Pd (MW) | Qd (MVar) | Bus | Type | Pd (MW) | Qd (MVar) |
|---|---|---|---|---|---|---|---|
| 1 | PV | 0 | 0 | 16 | PQ | 0.35 | 0.18 |
| 2 | PV | 2.17 | 1.27 | 17 | PQ | 0.9 | 0.58 |
| 3 | PQ | 0.24 | 0.12 | 18 | PQ | 0.32 | 0.09 |
| 4 | PQ | 0.76 | 0.16 | 19 | PQ | 0.95 | 0.34 |
| 5 | PQ | 0 | 0 | 20 | PQ | 0.22 | 0.07 |
| 6 | PQ | 0 | 0 | 21 | PQ | 1.75 | 1.12 |
| 7 | PQ | 2.28 | 1.09 | 22 | Slack | 0 | 0 |
| 8 | PQ | 3 | 0.3 | 23 | PV | 0.32 | 0.16 |
| 9 | PQ | 0 | 0 | 24 | PQ | 0.87 | 0.67 |
| 10 | PQ | 0.58 | 0.2 | 25 | PQ | 0 | 0 |
| 11 | PQ | 0 | 0 | 26 | PQ | 0.35 | 0.23 |
| 12 | PQ | 1.12 | 0.75 | 27 | PV | 0 | 0 |
| 13 | PV | 0 | 0 | 28 | PQ | 0 | 0 |
| 14 | PQ | 0.62 | 0.16 | 29 | PQ | 0.24 | 0.09 |
| 15 | PQ | 0.82 | 0.25 | 30 | PQ | 1.06 | 0.19 |
| Parameters | Value |
|---|---|
| Cost of BESS Unit Capacity Investment/($·(MW·h)−1) | 300 |
| Cost of BESS Unit Power Investment/($·(MW)−1) | 500 |
| Charging and Discharging Efficiency | 0.9 |
| Discount Rate/% | 8 |
| SOC Minimum Percentage% | 10 |
| SOC Maximum Percentage% | 90 |
| service life (years) | 20 |
| operation and maintenance cost coefficient% | 30 |
| Unit | Pmax (MW) | Pmin (MW) | a ($·MW−2) | b ($·MW−1) | c ($) | MUT (h) | MDT (h) | std ($) | spd ($) | bus | Rup | Rdown | H | |
|---|---|---|---|---|---|---|---|---|---|---|---|---|---|---|
| 1 | 10 | 4 | 0 | 100 | 625 | 3 | 1 | 150 | 150 | 22 | 20 | 20 | 6 | 0.85 |
| 2 | 6.5 | 1 | 0 | 325 | 83 | 2 | 1 | 100 | 100 | 27 | 22 | 22 | 6 | 0.76 |
Appendix B.3

References
- Sergiienko, N.Y.; da Silva, L.S.P.; Bachynski-Polić, E.E.; Cazzolato, B.S.; Arjomandi, M.; Ding, B. Review of scaling laws applied to floating offshore wind turbines. Renew. Sustain. Energy Rev. 2022, 162, 112477. [Google Scholar] [CrossRef]
- Global Wind Energy Council. GWEC Global Wind Report 2021; Global Wind Energy Council: Brussels, Belgium, 2021; pp. 53, 80–90. [Google Scholar]
- Arrosyid, W.A.; Waskito, K.T.; Yanuar; Nasruddin; Sholahudin; Geraldi, A.; Zhao, Y. Hydrodynamic performance and multi-objective optimization of multi-cylinder floating point absorber wave energy converter. Ocean Eng. 2025, 317, 120040. [Google Scholar] [CrossRef]
- Guo, B.; Wang, T.; Jin, S.; Duan, S.; Yang, K.; Zhao, Y. A Review of Point Absorber Wave Energy Converters. J. Mar. Sci. Eng. 2022, 10, 1534. [Google Scholar] [CrossRef]
- Wan, Y.; Zheng, C.; Li, L.; Dai, Y.; Esteban, M.D.; López-Gutiérrez, J.-S.; Qu, X.; Zhang, X. Wave energy assessment related to wave energy convertors in the coastal waters of China. Energy 2020, 202, 117741. [Google Scholar] [CrossRef]
- Kamranzad, B.; Lin, P. Sustainability of wave energy resources in the South China Sea based on five decades of changing climate. Energy 2020, 210, 118604. [Google Scholar] [CrossRef]
- Mahmoodi, K.; Ghassemi, H.; Razminia, A. Temporal and spatial characteristics of wave energy in the Persian Gulf based on the ERA5 reanalysis dataset. Energy 2019, 187, 115991. [Google Scholar] [CrossRef]
- Wan, L.; Moan, T.; Gao, Z.; Shi, W. A review on the technical development of combined wind and wave energy conversion systems. Energy 2024, 294, 130885. [Google Scholar] [CrossRef]
- Gao, Q.; Khan, S.S.; Sergiienko, N.; Ertugrul, N.; Hemer, M.; Negnevitsky, M.; Ding, B. Assessment of wind and wave power characteristic and potential for hybrid exploration in Australia. Renew. Sustain. Energy Rev. 2022, 168, 112747. [Google Scholar] [CrossRef]
- Shah, K.A.; Meng, F.; Li, Y.; Nagamune, R.; Zhou, Y.; Ren, Z.; Jiang, Z. A synthesis of feasible control methods for floating offshore wind turbine system dynamics. Renew. Sustain. Energy Rev. 2021, 151, 111525. [Google Scholar] [CrossRef]
- Kluger, J.M.; Haji, M.N.; Slocum, A.H. The power balancing benefits of wave energy converters in offshore wind-wave farms with energy storage. Appl. Energy 2023, 331, 120389. [Google Scholar] [CrossRef]
- Gao, Q.; Ding, B.; Ertugrul, N. Techno-Economic Assessment of Developing Combined Offshore Wind and Wave Energy in Australia. In Proceedings of the ASME 2023 42nd International Conference on Ocean, Offshore and Arctic Engineering, Melbourne, Australia, 11–16 June 2023; ASME: New York, NY, USA, 2023; Volume 10, p. V010T13A013. [Google Scholar]
- Astariz, S.; Iglesias, G. Output power smoothing and reduced downtime period by combined wind and wave energy farms. Energy 2016, 97, 69–81. [Google Scholar] [CrossRef]
- Ferrari, F.; Besio, G.; Cassola, F.; Mazzino, A. Optimized wind and wave energy resource assessment and offshore exploitability in the Mediterranean Sea. Energy 2020, 190, 116447. [Google Scholar] [CrossRef]
- Abaei, M.M.; Kumar, S.; Arzaghi, E.; Golestani, N.; Abdussamie, N.; Garaniya, V.; Salehi, F.; Asadnia, M.; Hunter, T.S.; Pichard, A.; et al. Developing offshore renewable energy systems in Australia: Existing regulatory challenges and requirements for reliability assurance. Ocean Coast. Manag. 2024, 257, 107316. [Google Scholar] [CrossRef]
- Ulazia, A.; Penalba, M.; Ibarra-Berastegui, G.; Ringwood, J.; Sáenz, J. Reduction of the capture width of wave energy converters due to long-term seasonal wave energy trends. Renew. Sustain. Energy Rev. 2019, 113, 109267. [Google Scholar] [CrossRef]
- Farrok, O.; Ahmed, K.; Tahlil, A.D.; Farah, M.M.; Kiran, M.R.; Islam, M.R. Electrical Power Generation from the Oceanic Wave for Sustainable Advancement in Renewable Energy Technologies. Sustainability 2020, 12, 2178. [Google Scholar] [CrossRef]
- Geng, D.; Zheng, Y.; Chen, Q.; Yue, X.; Yan, D. Novel hydraulic mechanism-based output power regulation for the wave energy converter. Appl. Ocean Res. 2021, 110, 102587. [Google Scholar] [CrossRef]
- Archer, C.L.; Simão, H.P.; Kempton, W.; Powell, W.B.; Dvorak, M.J. The challenge of integrating offshore wind power in the U.S. electric grid. Part I: Wind forecast error. Renew. Energy 2017, 103, 346–360. [Google Scholar] [CrossRef]
- Ku, T.-T.; Li, C.-S. Implementation of Battery Energy Storage System for an Island Microgrid with High PV Penetration. IEEE Trans. Ind. Appl. 2021, 57, 3416–3424. [Google Scholar] [CrossRef]
- Zuo, Y.; Yuan, Z.; Sossan, F.; Zecchino, A.; Cherkaoui, R.; Paolone, M. Performance assessment of grid-forming and grid-following converter-interfaced battery energy storage systems on frequency regulation in low-inertia power grids. Sustain. Energy Grids Netw. 2021, 27, 100496. [Google Scholar] [CrossRef]
- Knap, V.; Chaudhary, S.K.; Stroe, D.I.; Swierczynski, M.J.; Craciun, B.-I.; Teodorescu, R. Sizing of an energy storage system for grid inertial response and primary frequency reserve. IEEE Trans. Power Syst. 2015, 31, 3447–3456. [Google Scholar] [CrossRef]
- Zhang, Y.J.A.; Zhao, C.; Tang, W.; Low, S.H. Profit-maximizing planning and control of battery energy storage systems for primary frequency control. IEEE Trans. Smart Grid 2016, 9, 712–723. [Google Scholar] [CrossRef]
- Badesa, L.; Matamala, C.; Zhou, Y.; Strbac, G. Assigning shadow prices to synthetic inertia and frequency response reserves from renewable energy sources. IEEE Trans. Sustain. Energy 2022, 14, 12–26. [Google Scholar] [CrossRef]
- Gao, Q.; Bechlenberg, A.; Jayawardhana, B.; Ertugrul, N.; Vakis, A.I.; Ding, B. Techno-economic assessment of offshore wind and hybrid wind–wave farms with energy storage systems. Renew. Sustain. Energy Rev. 2024, 192, 114263. [Google Scholar] [CrossRef]
- Zhang, Y.; Li, Y.; Zhang, G. Short-term wind power forecasting approach based on Seq2Seq model using NWP data. Energy 2020, 213, 118371. [Google Scholar] [CrossRef]
- Gamesa G128-5.0MW Wind Turbine. Available online: https://en.wind-turbine-models.com/turbines/767-gamesa-g128-5.0mw (accessed on 10 July 2025).
- Wavestar Energy. Wavestar Prototype at Roshage: Performance Data for ForskVE Project no 2009-1-10305 Phase 1 & 2. 2013. Available online: https://wavestarenergy.com/about/ (accessed on 10 July 2025).
- Hiles, C.E.; Beatty, S.J.; De Andres, A. Wave Energy Converter Annual Energy Production Uncertainty Using Simulations. J. Mar. Sci. Eng. 2016, 4, 53. [Google Scholar] [CrossRef]
- Zhang, Y.; Yuan, C.; Du, X.; Chen, T.; Hu, Q.; Wang, Z.; Lu, J. Capacity configuration of hybrid energy storage system for ocean renewables. J. Energy Storage 2025, 116, 116090. [Google Scholar] [CrossRef]
- He, W.; Feng, Z.; Lin, X.; Wei, F.; Gu, B. Grid-Connected Optimization Dispatch of Mobile Wave Energy Power Generation Platform Considering the Coordination of Source, Network and Storage. Diangong Jishu Xuebao/Trans. China Electrotech. Soc. 2024, 39, 6502–6516. [Google Scholar] [CrossRef]
- Badesa, L.; Teng, F.; Strbac, G. Optimal Portfolio of Distinct Frequency Response Services in Low-Inertia Systems. IEEE Trans. Power Syst. 2020, 35, 4459–4469. [Google Scholar] [CrossRef]
- Zhang, Z.; Zhou, M.; Wu, Z.Y. Energy storage location and capacity planning method considering dynamic frequency support. Proc. CSEE 2023, 43, 2708–2721. [Google Scholar] [CrossRef]
- Trovato, V.; Bialecki, A.; Dallagi, A. Unit commitment with inertia-dependent and multispeed allocation of frequency response services. IEEE Trans. Power Syst. 2019, 34, 1537–1548. [Google Scholar] [CrossRef]
- Zhang, Z.; Chen, Y.; Liu, F.; Qian, M.; Dai, S.; Liu, X. Two-stage robust unit commitment model considering operation risk and demand response. Proc. CSEE 2021, 41, 961–972. [Google Scholar] [CrossRef]
- Yan, K.; Li, G.; Zhang, R.; Xu, Y.; Jiang, T.; Li, X. Frequency Control and Optimal Operation of Low-Inertia Power Systems with HVDC and Renewable Energy: A Review. IEEE Trans. Power Syst. 2024, 39, 4279–4295. [Google Scholar] [CrossRef]
- National Marine Data and Information Service Center. Available online: https://mds.nmdis.org.cn/ (accessed on 10 July 2025).
- Mohamed, S.A.; Anwer, N.; Mahmoud, M.M. Solving Optimal Power Flow Problem for IEEE-30 Bus System Using a Developed Particle Swarm Optimization Method: Towards Fuel Cost Minimization. Int. J. Model. Simul. 2023, 45, 307–320. [Google Scholar] [CrossRef]















| Station | No. | Station Coordinates | Water Depth/m |
|---|---|---|---|
| XCS | A | 122.7° E, 39.2° N | 31 |
| ZFD | B | 121.4° E, 37.6° N | 10 |
| LYG | C | 119.4° E, 34.8° N | 24 |
| NJI | D | 121.1° E, 27.5° N | 34 |
| F | |||||||
|---|---|---|---|---|---|---|---|
| A | 3.4909 | 0.7603 | 4.9097 | 0.0643 | 0.6452 | 0.6567 | 0.3571 |
| B | 4.2395 | 0.7170 | 4.2222 | 0.0855 | 0.7260 | 0.6693 | 0.3944 |
| C | 5.3196 | 0.5326 | 4.6276 | 0.1488 | 0.6783 | 0.7235 | 0.4226 |
| D | 6.7689 | 1.6596 | 6.3458 | 0.5172 | 0.6703 | 0.6369 | 0.5871 |
| Case | Fuel Cost ($) | Up/Down Cost ($) | Curtail Penalty ($) | Carbon Cost ($) | BESS Construction Cost ($) | BESS Operation Cost ($) | Total Cost ($) | Utilization Rate (%) | BESS Capacity (MW·h) |
|---|---|---|---|---|---|---|---|---|---|
| 1 | 51,672 | 1050 | 206 | 7224 | —— | —— | 60,143 | 96.8 | —— |
| 2 | 48,085 | 350 | 0 | 7136 | 686 | 205 | 56,462 | 100 | 8.2 |
| Case | RoCoF Constraint | Q-S-S Constraint | Frequency Zenith Constraint | Total Cost ($) | Utilization Rate (%) | BESS Capacity (MW·h) |
|---|---|---|---|---|---|---|
| 3 | × | × | × | 67,590 | 100 | —— |
| 4 | √ | √ | √ | 69,069 | 94.4 | —— |
| 5 | √ | √ | √ | 66,577 | 100 | 18 |
Disclaimer/Publisher’s Note: The statements, opinions and data contained in all publications are solely those of the individual author(s) and contributor(s) and not of MDPI and/or the editor(s). MDPI and/or the editor(s) disclaim responsibility for any injury to people or property resulting from any ideas, methods, instructions or products referred to in the content. |
© 2025 by the authors. Licensee MDPI, Basel, Switzerland. This article is an open access article distributed under the terms and conditions of the Creative Commons Attribution (CC BY) license (https://creativecommons.org/licenses/by/4.0/).
Share and Cite
Li, Y.; Zhang, Z.; Wang, J.; Wang, Z.; Xu, W.; Niu, G. Site Suitability Assessment and Grid-Forming Battery Energy Storage System Configuration for Hybrid Offshore Wind-Wave Energy Systems. J. Mar. Sci. Eng. 2025, 13, 1601. https://doi.org/10.3390/jmse13091601
Li Y, Zhang Z, Wang J, Wang Z, Xu W, Niu G. Site Suitability Assessment and Grid-Forming Battery Energy Storage System Configuration for Hybrid Offshore Wind-Wave Energy Systems. Journal of Marine Science and Engineering. 2025; 13(9):1601. https://doi.org/10.3390/jmse13091601
Chicago/Turabian StyleLi, Yijin, Zihao Zhang, Jibo Wang, Zhanqin Wang, Wenhao Xu, and Geng Niu. 2025. "Site Suitability Assessment and Grid-Forming Battery Energy Storage System Configuration for Hybrid Offshore Wind-Wave Energy Systems" Journal of Marine Science and Engineering 13, no. 9: 1601. https://doi.org/10.3390/jmse13091601
APA StyleLi, Y., Zhang, Z., Wang, J., Wang, Z., Xu, W., & Niu, G. (2025). Site Suitability Assessment and Grid-Forming Battery Energy Storage System Configuration for Hybrid Offshore Wind-Wave Energy Systems. Journal of Marine Science and Engineering, 13(9), 1601. https://doi.org/10.3390/jmse13091601
