Influence of Bragg Resonance on the Hydrodynamic Performance of a Fixed-Detached Asymmetric Oscillating Water Column Device
Abstract
1. Introduction
2. Mathematical Model
3. Solution Methodology: Boundary Elementary Method (BEM)
4. Power Takeoff (PTO) Model
5. Numerical Convergence and Model Validation
5.1. Convergence of Solution: Panel Size
5.2. Comparison with Existing Analytical Results of an OWC Positioned on a Flat Bottom Topography (Evans & Porter [2])
5.3. Comparison with Existing Experimental Result (Thomas et al. [33]) and Analytic Result (Rezanejad et al. [13])
5.4. Comparison with Existing Results of a Fixed-Detached OWC Device in the Presence and Absence of a Vertical Wall (Rodríguez et al. [28])
6. Results and Discussion
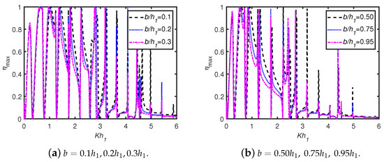
6.1. Effects of a Single Breakwater/Trench: Shapes, Depth, and Width
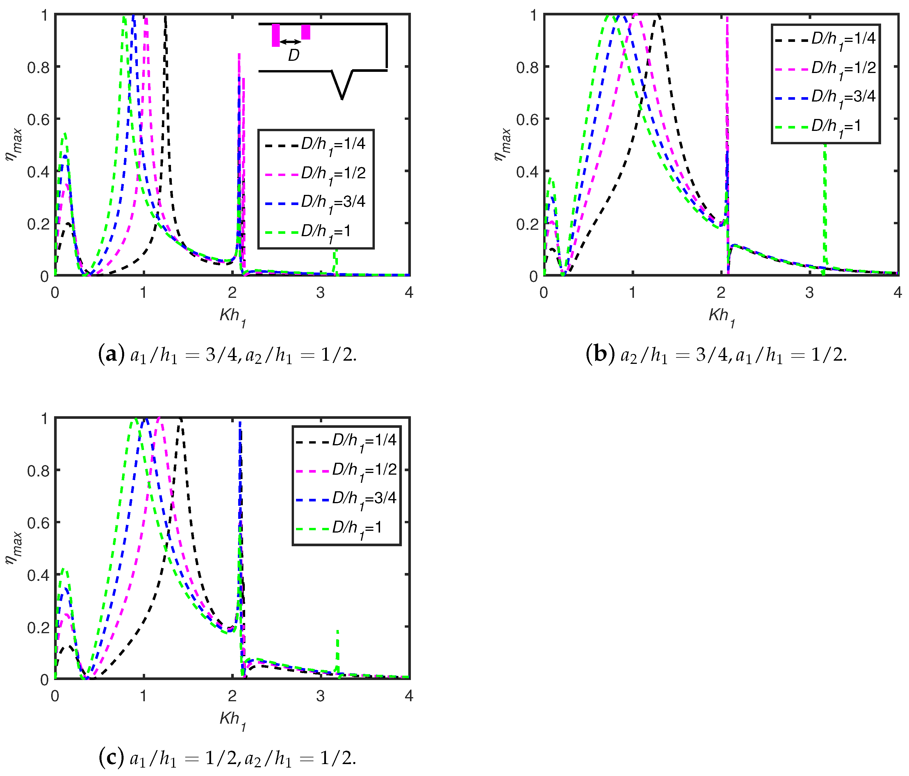
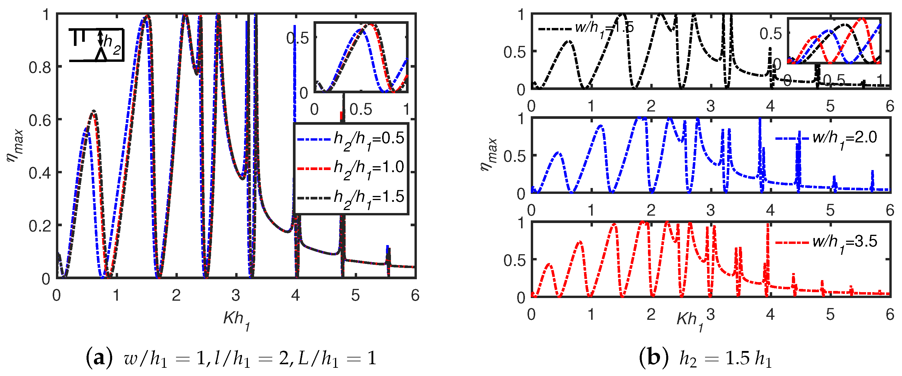
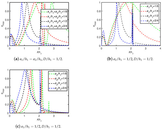
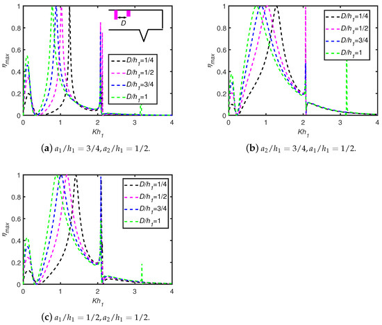
6.2. Effects of Multiple Trenches/Breakwaters
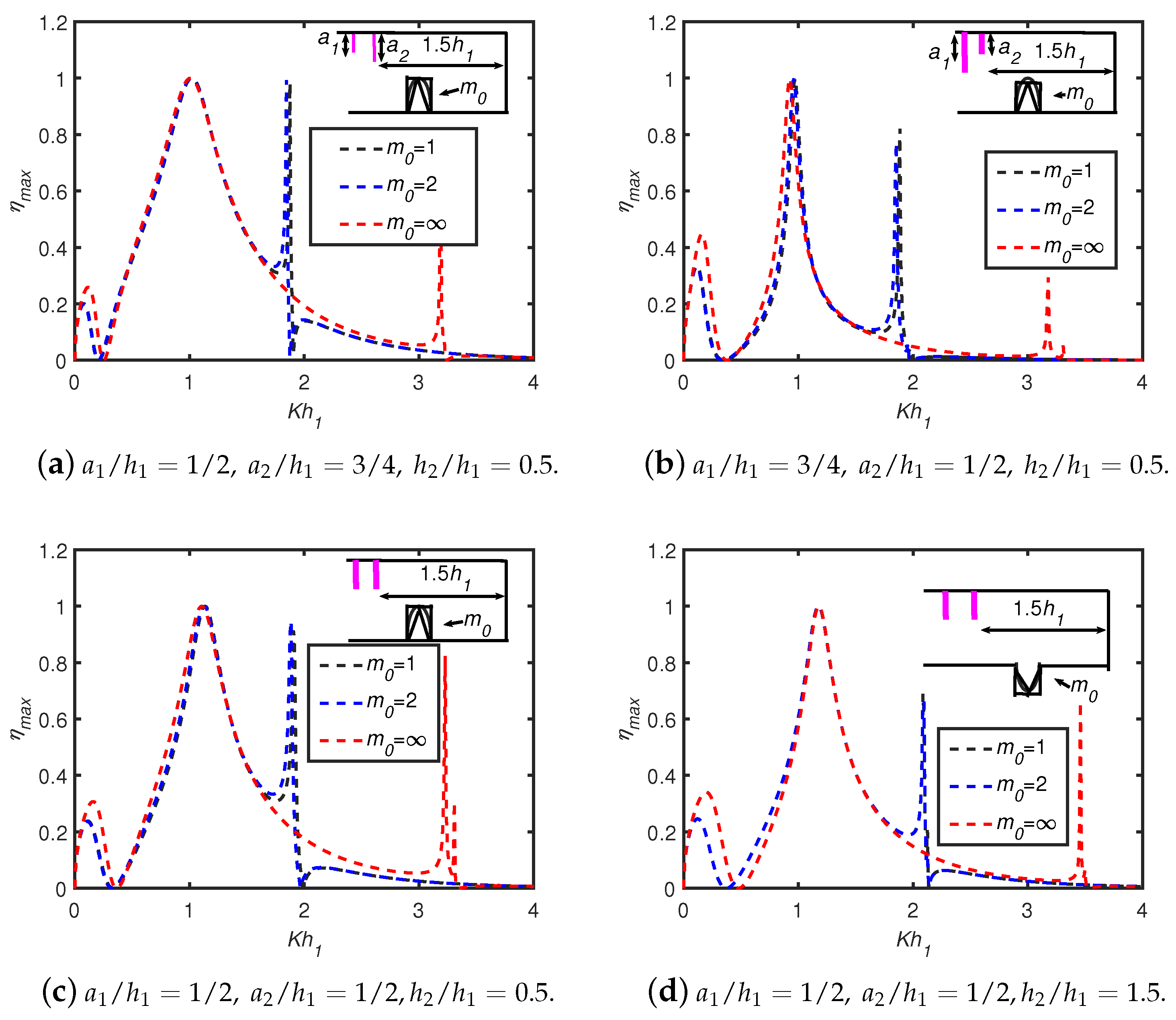
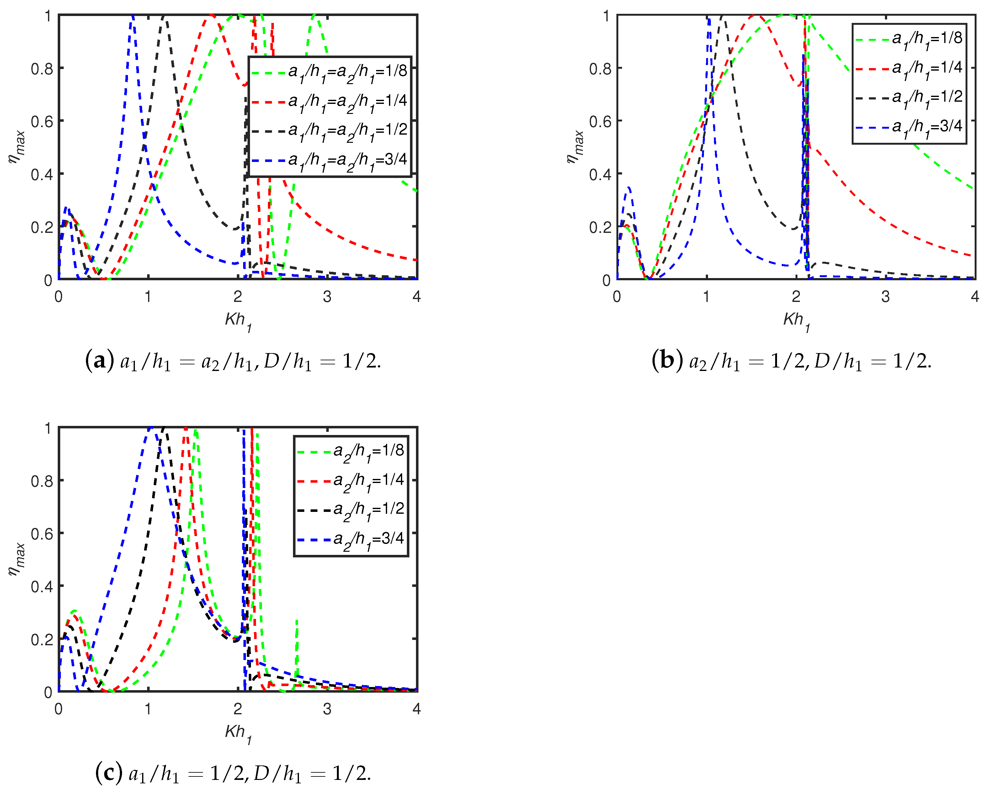
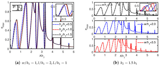
6.3. Effects of OWC Parameters: Front Wall Draft, Chamber Breadth, Wall Thickness
7. Conclusions
- The waves scattered from the trenches/breakwaters and the OWC device undergo periodic oscillations resulting in multiple sharp peaks and dips in the efficiency curves. As the number of breakwaters as well as width of breakwaters/trenches increases, the number of resonant efficiency peaks increases, whilst the peak amplitudes decrease in the case of a long wave-length regime.
- For an OWC device, the wall draft and chamber length are the two critical geometrical factors that improve wave energy absorption.
- The peak efficiency value for lower-frequency wave conditions is observed in the efficiency curves due to trapped waves between the OWC and the vertical wall. When the width of multiple trenches increases, then the number of peak resonance values in the efficiency curves for lower frequencies increases. The total number of peaks is equal to for N number of breakwaters/trenches in the long wave-length regime. In higher-frequency wave conditions, when the gap between the OWC and vertical wall is increased, the occurrence of number of troughs increases.
- Trenches are effective in increasing the efficiency of an OWC compared to breakwaters. In addition, the efficiency bandwidth is greater in the case of rectangular trenches compared to the trenches of parabolic and triangular shapes.
- For multiple resonances, two consecutive resonant peaks are separated by a zero minimum for smaller frequencies, particularly . However, for , a trough and a zero minimum point alternately occur between two successive peaks.
Author Contributions
Funding
Data Availability Statement
Conflicts of Interest
References
- Xie, J.; Zuo, L. Dynamics and control of ocean Wave Energy Converters. Int. J. Dyn. Control. 2013, 1, 262–276. [Google Scholar] [CrossRef]
- Evans, D.V.; Porter, R. Hydrodynamic characteristics of an Oscillating Water Column device. Appl. Ocean Res. 1995, 17, 155–164. [Google Scholar] [CrossRef]
- Mustapa, M.A.; Yaakob, O.B.; Ahmed, Y.M.; Rheem, C.K.; Koh, K.K.; Adnan, F.A. Wave energy device and breakwater integration: A review. Renew. Sustain. Energy Rev. 2017, 77, 43–58. [Google Scholar] [CrossRef]
- Ning, D.; Boyin, D. Modelling and Optimization of Wave Energy Converters; CRC Press: Boca Raton, FL, USA, 2022. [Google Scholar]
- Heath, T.V. A review of Oscillating Water Columns. Philos. Trans. Royal Soc. A 1959, 370, 235–245. [Google Scholar] [CrossRef]
- Li, Y.; Sun, L.; Geng, J.; Zhao, X. Semi-analytical investigation on hydrodynamic efficiency and loading of perforated breakwater-integrated OWCs. Ocean Eng. 2024, 309, 118460. [Google Scholar] [CrossRef]
- Ding, H.; Zang, J.; Jin, P.; Ning, D.; Zhao, X.; Liu, Y.; Blenkinsopp, C.; Chen, Q. Optimization of the hydrodynamic performance of a Wave Energy Converter in an integrated cylindrical Wave Energy Converter-type breakwater system. J. Offshore Mech. Arct. Eng. 2023, 145, 054501. [Google Scholar] [CrossRef]
- Zhao, X.; Li, F.; Zhou, J.; Geng, J.; Zou, Q.; Qin, D. Theoretical investigation of hydrodynamic performance of multi-resonant OWC breakwater array. Appl. Ocean Res. 2023, 141, 103756. [Google Scholar] [CrossRef]
- Boccotti, P. Design of breakwater for conversion of wave energy into electrical energy. Ocean Eng. 2012, 51, 106–118. [Google Scholar] [CrossRef]
- Altomare, C.; Gironella, X. An experimental study on scale effects in wave reflection of low-reflective quay walls with internal rubble mound for regular and random waves. Coast. Eng. 2014, 90, 51–63. [Google Scholar] [CrossRef]
- Zhao, M.; Ning, D. A review of numerical methods for studying hydrodynamic performance of Oscillating Water Column (OWC) devices. Renew. Energy 2024, 11, 121177. [Google Scholar] [CrossRef]
- Evans, D.V. The Oscillating Water Column wave-energy device. IMA J. Appl. Math. 1978, 4, 423–433. [Google Scholar] [CrossRef]
- Rezanejad, K.; Bhattacharjee, J.; Soares, C.G. Stepped sea bottom effects on the efficiency of nearshore Oscillating Water Column device. Ocean Eng. 2013, 70, 25–38. [Google Scholar] [CrossRef]
- Deng, Z.; Ou, Z.; Ren, X.; Zhang, D.; Si, Y. Theoretical Analysis of an Asymmetric Offshore-Stationary Oscillating Water Column Device with Bottom Plate. J. Water. Port Coast. Ocean Eng. 2020, 146, 04020013. [Google Scholar] [CrossRef]
- Rezanejad, K.; Soares, C.G.; López, I.; Carballo, R. Experimental and numerical investigation of the hydrodynamic performance of an Oscillating water Column Wave Energy Converter. Renew. Energy 2017, 106, 1–16. [Google Scholar] [CrossRef]
- Kar, P.; Koley, S.; Sahoo, T. Scattering of surface gravity waves over a pair of trenches. Appl. Math. Model. 2018, 62, 303–320. [Google Scholar] [CrossRef]
- Kar, P.; Sahoo, T.; Behera, H. Effect of Bragg scattering due to bottom undulation on a floating dock. Wave Motion. 2019, 90, 121–138. [Google Scholar] [CrossRef]
- Naik, N.; Zheng, S.; Behera, H. Role of dual breakwaters and trenches on efficiency of an Oscillating Water Column. Phys. Fluids 2023, 35, 047115. [Google Scholar] [CrossRef]
- Naik, N.; Gayathri, R.; Behera, H.; Tsai, C.C. Wave power extraction by a dual OWC chambers over an undulated bottom. Renew. Energy 2023, 216, 119026. [Google Scholar] [CrossRef]
- Naik, N.; Kushwaha, A.K.; Behera, H.; Tsai, C.C. Wave energy extraction by an OWC device in the presence of a porous bottom. Energy Rep. 2024, 11, 5602–5618. [Google Scholar] [CrossRef]
- Narendran, K.; Vijay, K.G. Lipwall Effects on a Shore-Front Oscillating Water Column Based on DBEM and Computational Fluid Dynamic Approaches. J. Offshore Mech. Arct. Eng. 2025, 147, 011201. [Google Scholar] [CrossRef]
- Rodríguez, A.A.M.; Casarín, R.S.; Ilzarbe, J.M.B. A 3D boundary element method for analysing the hydrodynamic performance of a land-fixed Oscillating Water Column device. Eng. Anal. Bound. Elem. 2022, 10, 407–422. [Google Scholar] [CrossRef]
- Zhao, X.; Zhou, J.; Geng, J. Hydrodynamic analysis of an Oscillating Water Column array in presence of variable bathymetry. Phys. Fluids 2024, 36, 097168. [Google Scholar] [CrossRef]
- Gao, J.; Ma, X.; Dong, G.; Chen, H.; Liu, Q.; Zang, J. Investigation on the effects of Bragg reflection on harbor oscillations. Coast. Eng. 2021, 170, 103977. [Google Scholar] [CrossRef]
- Gao, J.; Shi, H.; Zang, J.; Liu, Y. Mechanism analysis on the mitigation of harbor resonance by periodic undulating topography. Ocean Eng. 2023, 281, 114923. [Google Scholar] [CrossRef]
- Gao, J.; Mi, C.; Song, Z.; Liu, Y. Transient gap resonance between two closely-spaced boxes triggered by nonlinear focused wave groups. Ocean Eng. 2024, 305, 117938. [Google Scholar] [CrossRef]
- Kar, P.; Mayon, R.; Ning, D. Hydrodynamic Performance of a Trapezoidal-Shaped Oscillating Water Column Wave Energy Device. In ISOPE Pacific/Asia Offshore Mechanics Symposium; ISOPE: Mountain View, CA, USA, 2024. [Google Scholar]
- Rodríguez, A.A.M.; Silva Casarín, R.; Blanco Ilzarbe, J.M. A theoretical study of the hydrodynamic performance of an asymmetric fixed-detached OWC device. Water 2021, 13, 2637. [Google Scholar] [CrossRef]
- Rodríguez, A.A.M.; Flores, A.M.; Ilzarbe, J.M.B.; Casarín, R.S. Interaction of oblique waves with an Oscillating Water Column device. Ocean Eng. 2021, 228, 108931. [Google Scholar] [CrossRef]
- Xie, J.-J.; Liu, H.-W. An exact analytic solution to the modified mild-slope equation for waves propagating over a trench with various shapes. Ocean Eng. 2012, 50, 72–82. [Google Scholar] [CrossRef]
- Kar, P.; Koley, S.; Sahoo, T. Bragg scattering of long waves by an array of trenches. Ocean Eng. 2020, 198, 107004. [Google Scholar] [CrossRef]
- Koley, S.; Trivedi, K. Mathematical modeling of Oscillating Water Column Wave Energy Converter devices over the undulated sea bed. Eng. Anal. Bound. Elem. 2020, 117, 26–40. [Google Scholar] [CrossRef]
- Thomas, M.T.; Irvin, R.J.; Thiagarajan, K.P. An Investigation into the Hydrodynamic Efficiency of an Oscillating Water Column. J. Offshore Mech. Arct. Eng. 2007, 129, 273–278. [Google Scholar] [CrossRef]






















| Dist. | |||||||||
|---|---|---|---|---|---|---|---|---|---|
| 1.7239 | 0.0380 | 0.0432 | −1.2060 | 0.0777 | 0.1208 | −0.3649 | 0.0040 | 0.0219 | |
| 1.7239 | 0.0380 | 0.0432 | −1.2060 | 0.0777 | 0.1208 | −0.3649 | 0.0040 | 0.0218 | |
| 1.7239 | 0.0380 | 0.0432 | −1.2060 | 0.0777 | 0.1208 | −0.3649 | 0.0040 | 0.0218 | |
| 1.7239 | 0.0380 | 0.0432 | −1.2060 | 0.0777 | 0.1208 | −0.3649 | 0.0040 | 0.0218 | |
| 0.7784 | 1.8116 | 0.9576 | 0.6327 | 0.0496 | 0.1451 | −0.4344 | 0.0141 | 0.0631 | |
| 0.7749 | 1.8540 | 0.9597 | 0.6368 | 0.0503 | 0.1462 | −0.4728 | 0.0142 | 0.0585 | |
| 0.7748 | 1.8544 | 0.9584 | 0.6347 | 0.0511 | 0.1487 | −0.4736 | 0.0143 | 0.0555 | |
| 0.8025 | 1.8242 | 0.9557 | 0.5581 | 0.0543 | 0.1766 | −0.4344 | 0.0141 | 0.0630 | |
| 0.8001 | 1.8672 | 0.9578 | 0.5574 | 0.0553 | 0.1797 | −0.4729 | 0.0142 | 0.0585 | |
| 0.8037 | 1.8660 | 0.9595 | 0.5523 | 0.0562 | 0.1781 | −0.4736 | 0.0143 | 0.0555 | |
| 0.8287 | 1.8370 | 0.9537 | 0.4823 | 0.0592 | 0.2174 | −0.4345 | 0.0141 | 0.0630 | |
| 0.8270 | 1.8802 | 0.9558 | 0.4789 | 0.0604 | 0.2224 | −0.4729 | 0.0142 | 0.0585 | |
| 0.8251 | 1.8853 | 0.9564 | 0.4720 | 0.0615 | 0.2288 | −0.4737 | 0.0143 | 0.0555 | |
| Parameters | Values | Parameters | Values |
|---|---|---|---|
| water depth | 4m | OWC chamber length | 1/2 |
| OWC front wall draft | 3/4 | trench/breakwater width | 1/2 |
| OWC rear wall draft | 1/2 | gap distance between trench and OWC | 1/2 |
| OWC front wall thickness | 1/8 | gap distance between trench and vertical wall | 1/2 |
| OWC rear wall thickness | 1/8 |
| Parameters | Values | Parameters | Values |
|---|---|---|---|
| water depth | 4 m | OWC chamber length | 1/2 |
| OWC front wall draft | 2/10 | trench/breakwater width | 1 |
| OWC rear wall draft | 1/10 | gap distance between trench and OWC | 2 |
| OWC front wall thickness | 1/10 | gap distance between trench and vertical wall | 1 |
| OWC rear wall thickness | 1/10 | gap distance between two consecutive trenches/breakwaters | 1/2 |
Disclaimer/Publisher’s Note: The statements, opinions and data contained in all publications are solely those of the individual author(s) and contributor(s) and not of MDPI and/or the editor(s). MDPI and/or the editor(s) disclaim responsibility for any injury to people or property resulting from any ideas, methods, instructions or products referred to in the content. |
© 2025 by the authors. Licensee MDPI, Basel, Switzerland. This article is an open access article distributed under the terms and conditions of the Creative Commons Attribution (CC BY) license (https://creativecommons.org/licenses/by/4.0/).
Share and Cite
Kar, P.; Mayon, R.; Ning, D. Influence of Bragg Resonance on the Hydrodynamic Performance of a Fixed-Detached Asymmetric Oscillating Water Column Device. J. Mar. Sci. Eng. 2025, 13, 1115. https://doi.org/10.3390/jmse13061115
Kar P, Mayon R, Ning D. Influence of Bragg Resonance on the Hydrodynamic Performance of a Fixed-Detached Asymmetric Oscillating Water Column Device. Journal of Marine Science and Engineering. 2025; 13(6):1115. https://doi.org/10.3390/jmse13061115
Chicago/Turabian StyleKar, Prakash, Robert Mayon, and Dezhi Ning. 2025. "Influence of Bragg Resonance on the Hydrodynamic Performance of a Fixed-Detached Asymmetric Oscillating Water Column Device" Journal of Marine Science and Engineering 13, no. 6: 1115. https://doi.org/10.3390/jmse13061115
APA StyleKar, P., Mayon, R., & Ning, D. (2025). Influence of Bragg Resonance on the Hydrodynamic Performance of a Fixed-Detached Asymmetric Oscillating Water Column Device. Journal of Marine Science and Engineering, 13(6), 1115. https://doi.org/10.3390/jmse13061115

