Next Article in Journal
Deep Q-Learning Based Adaptive MAC Protocol with Collision Avoidance and Efficient Power Control for UWSNs
Previous Article in Journal
Towards a Digital Information Platform for Locating and Assessing Environmental Impacts of Submarine Groundwater Discharge: Examples from the Baltic Sea
Previous Article in Special Issue
Spatial Variability Analysis of Renewal Time in Harbour Environments Using a Lagrangian Model
 
 
Font Type:
Arial Georgia Verdana
Font Size:
Aa Aa Aa
Line Spacing:
Column Width:
Background:
Article

Estuarine Floc Mass Distributions from Aggregation/Disaggregation and Bed Sediment Exchange

1
Dynamic Solutions LLC, Knoxville, TN 37919, USA
2
Department of Civil and Coastal Engineering, University of Florida, Gainesville, FL 32611, USA
3
School of Biological and Marine Sciences, Plymouth University, Plymouth PL4 8AA, UK
4
Intera Inc., Gainesville, FL 32605, USA
*
Author to whom correspondence should be addressed.
J. Mar. Sci. Eng. 2025, 13(3), 615; https://doi.org/10.3390/jmse13030615
Submission received: 2 March 2025 / Revised: 14 March 2025 / Accepted: 17 March 2025 / Published: 20 March 2025

Abstract

Estuarine benthos, among other lifeforms of interest to water quality, can be sensitive to size-distributed suspended cohesive flocs. In such a context, tide-dependent floc mass distributions in the Tamar Estuary in the UK are revisited. At the field site close to maximum turbidity, time-series of the water level, current velocity, salinity, and suspended sediment concentration (SSC) were recorded in 1998 over several tidal cycles. Concurrently, at selected times and elevation, floc mass distributions were derived from in situ observations of the SSC, floc diameters, and settling velocities. A previously developed time-dependent model, revised to account for both multiclass floc aggregation/disaggregation and bed sediment exchange by erosion and deposition, is applied to simulate mass distributions during ebb/flood cycles on 24 June and 5 August. Although the model does not account for the density effects of salinity or sediment advection, limited comparisons between simulated and observed mass distributions indicate generally good agreement in median diameter prediction on both days. This concurrence is due to the primary role of suspended floc dynamics and only a secondary contribution from bed sediment exchange in governing floc properties. For a better prediction of the SSC variation with the tide, the effects of salinity and advection can be incorporated by coupling the modeled floc dynamics with a suitable multi-dimensional hydrodynamic code.

1. Introduction

Among other lifeforms, benthic biota, including bacterial pathogens of interest to water quality and health, are known to be measurably influenced by the size-distributed properties of cohesive flocs [1]. Modeling these properties is convoluted by floc dynamics with characteristic time-varying structures made up of clay minerals and organic matter [2]. As a result, despite extensive efforts to date, very few robust analytic expressions relating floc properties to the turbulent flow field are available for predictive purposes. This hiatus makes it essential to use numerical modeling to simulate the tide-varying movements of flocs. McAnally et al. [3] examined the settling velocities of suspended flocs from observations in 1998 in the Tamar Estuary in the United Kingdom (Figure 1), utilizing observed time-series of the water level, turbulent current velocity, and suspended sediment concentration (SSC) over several tidal cycles. Together with these data, the distributions of floc diameters and settling velocity at selected times were derived from the in-situ sampling of the suspension and its video imaging in a dedicated apparatus. The entire study is summarized by Dyer et al. [4,5]. A time-dependent (zero-dimensional) multiclass model for simulating shear-induced aggregation and disaggregation, i.e., the growth and breakup of suspended flocs, was applied. It was shown that the observed, seemingly scattered variation in the settling velocity with the shear rate in the turbulent boundary layer could be explained by a well-defined hysteretic relationship between the two variables. In the absence of a bed sediment exchange algorithm, the required tide-dependent SSC values for simulations were input from the measured SSC time-series. This restriction has been removed in the present study by the formal incorporation of bed erosion and suspended sediment deposition functions to account for the floc exchange at the bed surface.
The objective of this study is to explore the use of the revised model to reproduce the tide-dependent size-based distribution of particle mass comprising the flocs, for which observations on 24 June and 5 August have been selected. Following a recap of the field study and the original model, the addendum to the model for the bed exchange is described. The application of the revised model and comparison with observations are presented, the significance of the underpinning physics is highlighted including the model’s strengths and restrictions, and possible improvements in its application are briefly mentioned.

2. Tamar Estuary

The Tamar River in southwestern England is about 100 km long from north to south. The study site X at Calstock in Cornwall (Figure 1) is within the tidal reach 24 km north of the estuary’s mouth near Plymouth, Devon. Previous observations of the SSC and salinity at several stations beginning at X and extending up-river have indicated that salinity intrusion typically ends in the vicinity of the Railway Viaduct 0.4 km upstream of X, and that a turbidity maximum (TM) occurs about 1 km northward of the viaduct in near-freshwater [4,5,6]. In the zone of TM, SSC values tend to be as much as three orders of magnitude greater than at the mouth. At site X, both local erosion/deposition and the to-and-fro tidal advection of the suspended sediment govern the SSC. As the model does not account for advection, calculating the SSC merely from suspended floc dynamics and local bed exchange indirectly permits a rough assessment of the contribution to the SSC from advection. The main utility of the model is in reproducing the size-based distribution of the floc mass.
At the study site, the width of the estuary is nominally 80 m with a depth of 3 m, the semi-diurnal tidal range varies from 2.2 m at neap to 4.7 m at spring with a mean of about 3.5 m, and the annual mean river discharge is about 20 m3 s−1. The suspended sediment consists largely of clay minerals dominated by kaolinite followed by illite and montmorillonite. Due to minor amounts of organic matter partly associated with Chlorophyll-a, the cohesion of the mineral particles is enhanced by biopolymeric adhesion. During ebb, strong saline density gradients occur, whereas the flood flow is comparatively well-mixed. Salinity ranges from practically nil to the order of 10 psu, although, as its dynamic influence on the floc properties is poorly understood, for the present analysis, the water column is considered effectively uniform. The implications of this assumption vis-a-vis the observed tidal rise and fall of the SSC are discussed later.
The choice of 24 June and 5 August for the observations was that 24 June was the day of a spring tide (4.7 m), whereas on 5 August, the flow conditions were comparatively moderate with a lower range (3.3 m). The respective freshwater discharges were 40 m3 s−1 and 20 m3 s−1; however, their effects on floc dynamics appear to be minor compared to the tidal discharge. The measurement assembly was a bottom-tethered metallic pole with miniaturized electromagnetic current meters [7] at elevations z = 0.25 m and 0.80 m above the bed, optical backscatter transducers for SSC [8] nominally at 0.2 m, 0.6 m, and 1.0 m, and a pressure gage for measuring the water depth. INSSEV, the apparatus to measure the floc diameter and the settling velocity, was tethered at z = 0.5 m. It included a large metallic chamber with remotely controlled flap-doors fore and aft. To operate the system, initially the doors were opened to allow the flow to pass through, then shut to collect about 3 L of the suspension. A 180 mm deep Perspex column with an abetting high-resolution Puffin UTC341video camera (Custom Cameras, Wells, UK) was located below the chamber. The captured water sample in the chamber was permitted to stand for about 20 s to reduce any initial turbulence before a remotely operated horizontal sliding gate between the chamber and the column was opened to let the flocs fall into the column. All particles in the vicinity of the central axis of the column were imaged as they passed within a 1 mm depth of the field, 45 mm from the lens. From each sampling, for selected flocs numbering as high as several hundred, the diameters and settling velocities were obtained from the images.

3. Floc Dynamics, Erosion, and Deposition

As described by McAnally et al. [3], floc aggregation/disaggregation, which is dependent on the fluid (density, temperature, salinity, and viscosity), flow (internal shear rate), and sediment (grain size, density, cohesion, settling velocity, and fractal dimension), is simply modeled as follows. Starting with an initially uniform floc mass distribution, the masses are redistributed by inter-floc collision, internal, flow-induced, shear dependent growth, and breakup processes over time for sizes ranging from microflocs (diameter df < 100 μm) to macroflocs (df > 100 μm), until some flocs exceed a maximum diameter dfmax. During this process, the floc density ρf decreases with increasing df as the growing flocs become less dense and increasingly weakly bonded by cohesion [9]. At dfmax, characteristically dependent on the floc shear strength τf, i.e., resistance to breakup, τf is equal to or less than the stress imposed by collisions or by the internal turbulent shear stress τ across a floc. In other words, flocs larger (and weaker) than dfmax are subject to τ > τf break up when they collide or are sheared. As breakup proceeds, the total mass of the fragments is subtracted from the broken flocs and redistributed to smaller size classes according to an assumed statistical distribution. After this reallocation, the smaller flocs resume their growth toward dfmax. If the turbulent shear rate G remains constant over a sufficient duration, the initial uniformly distributed mass results in an equilibrium distribution, with a peak at dfmax as the aggregation increases the floc masses toward that size and the disaggregation reverts them to smaller sizes. The time to reach equilibrium, from minutes to a few hours, varies with the turbulent energy dissipation rate.
The following expressions for the floc properties with dimensions represented as fractals are used for the floc shear strength τfi, excess floc density Δρfi, and settling velocity wfi, respectively, with the subscript i designating a size class [10]:
τ f i = δ ( Δ ρ f i ρ w ) 2 / ( 3 D i )
Δ ρ f i = Δ ρ s ( d f i d s ) D i 3
w f i = g Δ ρ s 18 η w d s D i 3 d f i D i 1
where δ is a shear strength related coefficient, Δρfi = ρfiρw, ρfi is the floc density, ρw is water density, Δρs = ρsρw, ρs is the particle density, g is the acceleration due to gravity, ηw is the dynamic water viscosity, Di is the floc fractal dimension, dfi is the floc diameter, and ds is the primary mineral particle diameter. For a given dfi, Equations (1)–(3) yield τfi, ρfi, and wfi.
The simulated bed consists of a single uniform layer of flocs at the bottom of a unit volume of water containing suspended flocs. Deposition and erosion fluxes are computed for each floc size class characterized by the particle mass mi. Following the experimental observations of Krone [11], flocs retain their class properties until they deposit and bond with the bed to form flocs that are a class higher than their own due to impact and cohesion, i.e., the freshly deposited flocs are less dense and weaker than the bed flocs. Eroding flocs break into smaller ones according to an assumed Weibull probability distribution, conserving mass. The mass exchange between the suspension and the bed is governed by the following expressions [12]:
D r i = w f i ϕ v s i h
w f i = w f i α u *
E r i = ε M i ρ g h τ e , i + 1 τ e , i + 1 Φ ( τ b ) τ b d τ b
ϕ v b i t = D r i E r i
ϕ v s i t = D r i ; ϕ v s k t = p k E r i , k = M , i 1
where Dri is the (class i) deposition flux, w f i is the effective floc settling velocity just above the bed, ϕvsi (=Ci/ρs) is the sediment volume fraction, Ci is the dry sediment mass per unit volume, Eri is the erosion flux, εMi is the erosion flux constant, u* [=(τb/ρw)0.5] is the bed friction velocity, τb is the turbulence-averaged bed shear stress τb(t), t is time, τei is the critical shear stress for bed erosion, h is the mean water depth, ϕvbi is the bed floc volume fraction, Φ(τb) is the frequency distribution of τb(t), pk is the Weibull distribution (shape parameter 2) coefficient, and M is the size separating microflocs from macroflocs.
Equation (4) defines the deposition flux in water depth h and uniform volume fraction ϕvsi, and Equation (5) represents the effect of the nearbed turbulence on the floc settling velocity. As shown by Krone [11], measurements of the depositional flux indicate that the settling velocity w f i is smaller than the measured value due to collisions between the settling and eroding flocs in the boundary layer just above the bed. These collisions increase with the bed shear stress, and for a typical steady or quasi-steady (such as tidal) boundary layer flow, the coefficient α = 0.4 is recommended by Fischer et al. [13]. For the erosion flux, Equation (6), which is based on a stochastic development due to van Prooijen and Winterwerp [14], is presently evaluated with the distribution Φ(τb) proposed by Cheng and Law [15]. Equation (7) is the time-dependent mass balance for the suspended sediment and Equation (8) is for the bed. Together, they determine the distribution of fragments produced by the floc breakup and by the erosion of bed flocs.
For characterizing the turbulent boundary layer flow, the tidally varying variables include the water depth h(t), depth-mean velocity U(t), internal shear stress τ(t), internal shear rate G(t), and bed shear stress τb(t). The τ values are derived from the Reynolds stresses based on the measured turbulent velocities. The time-series of G and τb were calculated by the open-channel flow formulas:
G ( z , t ) = ρ w [ ABS [ τ ( z , t ) ] ρ w ] 3 κ η w z
where κ is the von Karman constant (=0.4), and values of τ(z, t) are taken from the time-series of τ obtained at different elevations z. The bed shear stress was calculated from:
τ b ( t ) = ρ w g ( n U ( t ) [ h ( t ) ] 1 6 ) 2 sign [ U ( t ) ]
where n is the bed roughness coefficient.

4. Results

For 24 June (under a spring tide of 4.7 m), Figure 2a–d show the observed water level h, turbulence-averaged horizontal velocities u at 0.25 m and 0.80 m, internal shear stress τ at the same elevations, and the bed shear stress τb, all for a 5 h sequence of ebb followed by flood. At 12:00 pm, the water was ebbing (negative values in Figure 2b–d), and flow reversal occurred at about 14:00 h. After about 1.6 h of flood flow, the current velocity rose to a peak slightly higher than 1 m s−1. The stresses τ and τb follow similar trends. Their peaks seemingly lag the current by about one-half hour, but this is apparent due to limitations in representing depth-mean trends of the hydrodynamic variables in the model by least-squares fits using the following approximate expressions:
h ( t ) , U ( t ) , τ ( t ) , τ b ( t ) = A + B sin [ 2 π ( t θ ) T ]
where A, B, and θ are regression values, t is time in decimal hours, and T is the tidal period of 12.42 h. Table 1 gives the Equation (11) coefficients for 24 June and 5 August.
The plots in Figure 3a–d, with about an hour of missing record on 5 August (tidal range 3.3 m), show qualitatively similar trends as those in Figure 2 in U, τ, and τb over a 5 h sequence of ebb and flood flows. A noteworthy difference is that under a weaker tide, the current and stresses are lower than on 24 June. Importantly, the peak bed shear stress was about one-half of that on 24 June, which had a prominent effect on the SSC.
For simulation purposes, water and sediment-related inputs for the two days in Table 2 include representative values of the water density ρw, viscosity ηw, temperature θT, and salinity S. Sediment parameters include the particle density ρs, primary particle diameter ds, cohesion, which is roughly characterized by the cation exchange capacity CEC of the mineral sediment [12], floc fractal dimension Di, and the bed resistance coefficient n. Floc-related parameters include the shear strength τei, shear strength coefficient δ, critical shear stress for erosion τei, and erosion flux constant εmi. Values of δ were selected from preliminary model testing that produced a reasonable first approximation of the floc mass distributions. Values of CEC and εmi are common for clay mixtures such as those in the Tamar [3]. Mean diameters of the selected 14 size classes are given in Table 3, with classes 1–12 based on observations. Classes 0 and 13 are provided for the aggregation and disaggregation of flocs to extend beyond the 12 classes, as dictated by the modeling protocol. In Equation (8), M = 3 separates microflocs from macroflocs at the diameter of 107 μm, which is close to the 100 μm threshold.

4.1. Suspended Sediment

For solving Equations (7) and (8) in their finite-difference forms, the time-step for the aggregation/disaggregation was 1 s, and for the bed exchange, it was 10 s. These values were short enough to capture the processes relative to the tidal timescale, while at the same time maintaining computational stability and keeping the runtime reasonable. Preliminary testing showed that the results did not change with time-steps shorter than those selected, and that dynamic equilibrium in the suspension and the bed occurred within one tidal cycle.
For 24 June and 5 August, cold-start simulations, J0 and A0, respectively, began with an arbitrary uniform distribution of the suspended sediment over bed size classes given in Table 3, and time-varying suspended floc size distributions were computed based on conditions specified in Table 1 and Table 2 to achieve the SSC and bed sediment concentration equilibria for each class. The resulting distributions were then used as the hot-start initial condition for each subsequent simulation.
Figure 4 plots the observed volume fractions at three elevations above the bed and (depth-mean) simulation J1 from 12:00 h to 17:00 h. The ϕv values were mostly less than 5 × 10−4 during the ebb phase (prior to 14.7 h) but increased by an order of magnitude to about 2.5 × 10−3 during the following flood. To explain this difference, Dyer et al. [5] made the following points: (1) During ebb, salinity intrusion along the bottom counters and decreases the nearbed ebb flow, and thus the shear stress, permitting deposition but reducing erosion to produce low values of ϕv. (2) After the saline layer moves out downstream, local erosion and deposition under flood flow substantially increase ϕv. (3) Alternatively, high values of ϕv during flood can be attributed to the advection of TM past the monitoring station X.
A comparison of modeled (depth-mean) ϕv curves relative to observations on 24 June (Figure 4) during ebb indicates modeled values that are two-fold higher than observed, while during flood the trend is reversed, with modeled values one order of magnitude lower than observed. Concerning these opposite trends in ϕv, Figure 2d indicates bed shear stresses about as high, and even slightly higher, at ebb than flood, which does not support the argument of Dyer et al. [5] about the role of the saline counter-current reducing the bed shear stress during ebb. On the other hand, simulated ϕv values in Figure 4 are substantially (as much as three-fold) higher than those observed during the ebb phase. Thus, their second argument implying high rates of erosion and deposition in less saline water does not provide an adequate explanation of the difference between simulation and observations.
Inferentially, the likely cause of the ebb vs. flood anomaly between observed and simulated ϕv is high turbidity close to maximum in the study reach, which is not treated in the model. Without detailed observations of the nearbed processes, high bed shear stresses coupled with low ϕv during ebb at first suggest that the erosion flux parameters τei and εmi in the model may effectively differ between ebb and flood, with a higher τei and lower εmi during ebb than flood. Such an “inverse” relationship between high τei and low εmi and vice versa is attested by laboratory-based erosion tests [12]. However, the underpinning factors resulting in this behavior in the Tamar are yet to be explained. It is conceivable that the actual (as opposed to effective) values of τei and εmi do not differ between the two tidal phases, but that the bed shear stress τb predicted by Equation (10) is anomalous because the equation is valid only for uniform flows. Such likelihood is notionally consistent with the salinity profiles in Figure 5 for 24 June at 12.4 h (ebb) and 16.6 h (flood), where we observe considerably higher stratification during ebb. The shift to higher mixing during flood can be characterized by the depth-averaged change in salinity S with elevation z in terms of the absolute value of the gradient ΔSz, which was 3.8 psu m−1 for the stratified water column during ebb, decreasing to 1.2 psu m−1 due to increased mixing during flood. On 5 August, the gradients, which were steeper, changed more significantly, from 12.9 psu m−1 during ebb to 1.8 psu m−1 during flood.
Suspended sediment observations and simulation for 5 August in Figure 6 from 11:30 pm to 16:30 pm show a qualitative affinity with Figure 4 for 24 June. However, the ϕv values are generally lower by an order of magnitude due to a smaller tide. Moreover, as the current reverses from flood to ebb after about 14:30 h, the density effect recurs. Concerning the different ϕv magnitudes on the two days, Figure 7 shows the observed vertical profiles of ϕv at their peak values on 24 June (at 16.0 h) and 5 August (at 13.7 h) during the flood phase. The respective depth-mean values of ϕv are 1.56 × 10−3 and 2.33 × 10−4. Over this order of magnitude difference, the model-calculated depth-mean settling velocity wf decreased from 2.2 × 10−3 m s−1 to 1.7 × 10−3 m s−1, i.e., merely by 23%, due to its weak dependence on ϕv. McAnally et al. [3] gave the following trendline from INSSEV measurements:
w f = 0.0064 ϕ v 0.19
which would yield wf = 1.8 × 10−3 m s−1 and 1.3 × 10−3 m s−1, respectively, i.e., a 30% drop, which is roughly comparable with the simulation. Returning to Figure 6, the difference between ϕv predicted by the model and that observed during the ebb is as significant as on 24 June (Figure 4). During the flood phase, the contribution from sediment advection is expectedly lower than 24 June in relation to the observed mean ϕv vs. the predicted value without advection.

4.2. Floc Mass Distributions

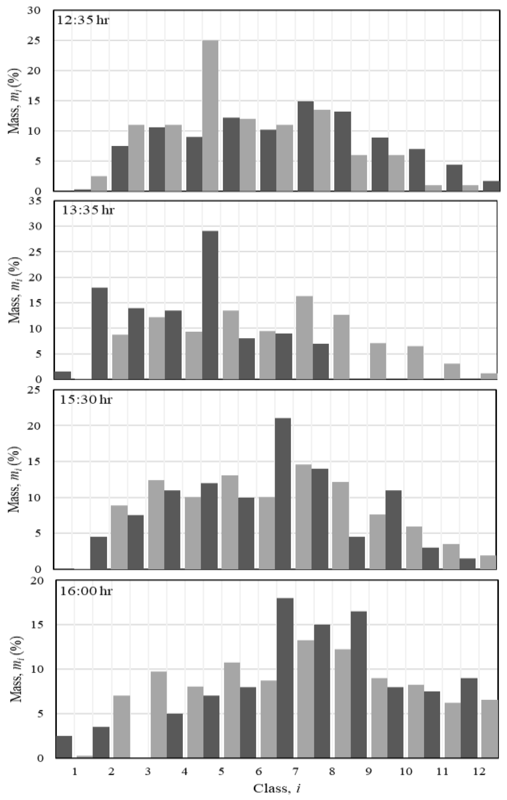
For 24 June, Figure 8 shows the observed floc mass distributions (dark bars) along with simulation J1 (lighter bars) at four times—two during ebb (12:35 h and 13:35 h) and two during flood (15:30 h and 16:00 h). Table 4 gives the defining parameters, including the median floc size df50, skewness Sk, and kurtosis Ku. Concerning the diameter, the deviation (in percent) of the simulated value from the observed value is calculated as Δdf50/df50m, where Δdf50 is equal to the simulated value minus the observed value df50m. Notwithstanding the small number of samples, the mean error of less than 1% indicates good overall agreement between the observed and simulated diameters. With respect to time, the results are variable. Errors are positive during the flood, i.e., simulated sizes are larger than observed, and negative during flood, which suggests that the modeled internal shear or bed exchange did not fully capture what occurred in the natural system. For instance, the df50 prediction at 13:35 h indicates (Figure 8) that the four highest classes were numerically active while the observations showed no presence of flocs in those classes. This resulted in an unreasonably high (54%) predicted diameter of 248 μm, contrasting with the observed 161 μm. For the data set as a whole, the skewness Sk trends are not in agreement—the observed mean Sk is 0.8, whereas the computed value is −0.6. However, although the Kurtosis Ku values of 0.5 and 0.1, respectively, do not match, the trends agree, with both values being positive. For 5 August, the distributions (Figure 9) were sampled at 12:45 h, 13:25 h, and 13:45 h, all during the flood phase. Taking the three samples together, the mean error Δdf50/df50m of −5% for prediction (simulation A1) relative to observation indicates overall agreement. Like 24 June, the mean value of observed Sk is 0.8 in contrast to the computed −0.9. The Ku values of −0.9 and −1.3, respectively, although different in magnitude, are both negative and agree trend-wise with 24 June.
The opposing skewness trends between the observations and predictions on both days suggest likely limitations in measurement as well as prediction accuracies of higher than first-order statistical measures (even though the kurtosis trends concur). On the other hand, generally good agreements among mean df50 values confirm that, as erosion/deposition mainly determines the SSC with only a minor influence on the settling velocities, the floc mass distribution is primarily dependent on shear-induced aggregation/disaggregation. Indirect evidence of the model’s fidelity with respect to the settling velocity is seen in Figure 10, which shows the variation in INSSEV-measured settling velocities wf, with the respective df values over the range of 46 μm to 310 μm. The trend compares well with the line of computed wf vs. computed df.

4.3. Parametric Sensitivity

Modeling results for ϕv on 24 June were tested for their sensitivity to changes in the parametric values, mimicking variable natural conditions (Table 5). Simulation J2 for 24 June was meant to test the effect of the bed exchange on the floc mass distribution. After disabling deposition and erosion, the model was run with a constant ϕv ranging from 2.0 × 10−4 to 2.5 × 10−3 while keeping the other values unchanged from J1. The modeled median floc size is consistently higher than observed, suggesting that the deposition of large flocs on the bed, or perhaps additional unrecorded settling beneath the lowest measurement elevation of 0.25 m, was significant. Moreover, the error, formally defined for the distribution by the root mean square error (RMSE), was 8.7%, nearly twice as high as in J1 (4.9%). These results imply that the natural process included the bed exchange and was not a mere manifestation of the advection of the suspended sediment past the sampling station [4,5].
Simulation J3 examined the likelihood that the bed shear stresses during ebb were smaller than those calculated by Equations (10) and (11). The modeled τb during that phase was limited to a maximum value, ranging from 0.01 Pa to 0.2 Pa. The best floc mass distribution given in Table 5 was for a low τb of 0.05 Pa, which produced an RMSE of 4.5%, somewhat better than the 4.9% of J1. This result supports the earlier suggestion that the calculation of τb by Equation (10) may be less reliable during the ebb phase because the boundary layer was likely influenced by the saline density gradient, while the equation is applicable to a fluid of uniform density.
Simulation J4 tested the sensitivity of ϕv to the erosion flux constant εMi, the main free coefficient in Equation (6). Simulations employing the same conditions as J3 plus selected values of εMi ranging from 3 × 10−6 to 3 × 10−1 kg m−2 s−1 Pa−1 produced a minimum RMSE of 4.4% at εMi = 1 × 10−3 kg m−2 s−1 Pa−1 and a maximum of 4.7% at 3 × 10−6 kg m−2 s−1 Pa−1, implying insensitivity to εMi. The best comparison between observation and simulation for J4 (4.4%) is given in Table 5.
Simulation J5 revisited the role of changing the floc shear strength τfi (hence the critical shear stress τei) with respect to the coefficient δ in Equation (1). Using the same conditions as J4, δ was changed from 30 to 80 Pa. The overall best agreement in mass distribution occurred for δ = 65 Pa, yielding an RMSE of 4.1% (Table 5). This reduction from 4.9% means an increased closeness of the results compared with those in Figure 8, although the plots are not reproduced because visually the differences are minor.
Internal shear stress τ, which influences aggregation/disaggregation, was tested for sensitivity in simulation J6 for multiple combinations of coefficients A (+15 to −15 Pa) to and B (0 to 21 Pa) in Equation (1) (for τ), as the advecting suspension might experience a different stress regime than that observed at the study site. Testing produced only small changes in the RMSE, with a maximum of 4.6% and a minimum of 4.2%. The latter (best result) is given in Table 5.
Simulation J7 (not included in Table 5) was meant to test sensitivity to CEC, which influences the floc collision efficiency in the model [3]. Using the same conditions as J6, the CEC was changed over the range of 20 to 60 meq per 100 g. As the RMSE did not vary significantly, the initial value of 40 meq per 100 g was retained.

5. Concluding Observations

McAnally et al. [3] have noted that a noteworthy source of experimental error in the INSSEV was due to the unavoidable disturbance of the flocs from the time of collection to their transfer into the settling column. It resulted in a mechanical breakup of the weaker flocs of higher size classes. Another likely cause of uncertainty in the analysis is the lack of adequate timewise sampling (four on 24 June and three on August over the five-hour durations examined) and the fact that it was conducted at a fixed elevation (0.5 m). The latter meant that, given the generally high tidal range, the relative sampling elevation varied measurably with time. These limitations were one of the main reasons for adopting a simple zero-dimensional floc model to examine the observations within a basic hydrodynamic framework.
Overall, the comparisons between observations and simulations indicate that, notwithstanding experimental uncertainties in sample collection and the basic analysis, generally good agreements between the observed and simulated median diameters, if not higher order statistics of the distributions, highlight the importance of shear-induced floc growth and breakup on mass distribution. As mentioned, although erosion and deposition cause ϕv to vary with the tide, as the effect of ϕv on floc dynamics is comparatively minor in the Tamar, floc property distributions are mainly conditioned by the effects of turbulence.
The analysis indicates that limitations in the instrumentation and protocol for SSC measurements must be overcome to increase the fidelity of the prediction of the floc properties. It will be an essential step before extending the predictions for physical conditions beyond the Tamar. Hydrodynamic simulations can be improved by replacing the approximations from Equations (9)–(11) with the output of a numerical model which accommodates vertical variations in the mean and turbulent flow properties, including the water density, current velocity, internal shear stress, and bed shear stress. Equations (1)–(8) for the simulation of size-distributed floc properties can be readily incorporated within such models including, for instance, AdH, EFDC, and Delft [16,17,18].

Author Contributions

Formal analysis, W.H.M. and A.J.M. (Ashish J. Mehta); Data curation, A.J.M. (Andrew J. Manning); Writing—review & editing, C.F. All authors have read and agreed to the published version of the manuscript.

Funding

No funding was received for this study.

Data Availability Statement

Data are contained within the article.

Conflicts of Interest

Author William H. McAnally was employed by the company Dynamic Solutions LLC, author Carola Forlini was employed by the company Intera Inc. The remaining authors declare that the research was conducted in the absence of any commercial or financial relationships that could be construed as a potential conflict of interest.

References

  1. Zhang, S.; He, Z.; Meng, F. Floc-size effects of the pathogenic bacteria in a membrane bioreactor plant. Environ. Intern. 2019, 127, 645–652. [Google Scholar] [CrossRef] [PubMed]
  2. Fall, K.A.; Friedrichs, C.T.; Massey, G.M.; Bowers, D.G.; Smith, J. The importance of organic content to fractal floc properties in estuarine surface waters: Insights from video, LISST, and pump sampling. J. Geophys. Res. Oceans 2021, 126, e2020JC016787. [Google Scholar] [CrossRef]
  3. McAnally, W.H.; Mehta, A.J.; Manning, A.J. Observations on floc settling velocities in the Tamar estuary, United Kingdom. J.Waterw. Port Coast. Ocean. Eng. 2021, 147, 04021015. [Google Scholar] [CrossRef]
  4. Dyer, K.R.; Bale, A.J.; Christie, M.C.; Feats, N.; Jones, S.; Manning, A.J. The turbidity maximum in a macrotidal estuary, the Tamar Estuary, U.K. I: Dynamics of suspended sediment. In Fine Sediment Dynamics in the Marine Environment; Winterwerp, J.H., Kranenburg, C., Eds.; Elsevier: Amsterdam, The Netherlands, 2002; pp. 203–218. [Google Scholar]
  5. Dyer, K.R.; Bale, A.J.; Christie, M.C.; Feats, N.; Jones, S.; Manning, A.J. The turbidity maximum in a macrotidal estuary, the Tamar Estuary, U.K. II: The floc properties. In Fine Sediment Dynamics in the Marine Environment; Winterwerp, J.H., Kranenburg, C., Eds.; Elsevier: Amsterdam, The Netherlands, 2002; pp. 219–232. [Google Scholar]
  6. Uncles, R.J.; Stephans, J.A. Nature of the turbidity maximum in the Tamar Estuary, U.K. Estuar. Coast. Shelf Sci. 1993, 36, 413–431. [Google Scholar] [CrossRef]
  7. Christie, M.C.; Quartley, C.P.; Dyer, K.R. The development of the POST system for in-situ intertidal measurements. In Proceedings of the Seventh International Conference on Electronic Engineering in Oceanography, Southampton, UK, 23–25 June 1997; pp. 39–45. [Google Scholar]
  8. Downing, J.P.; Beach, R.A. Laboratory apparatus for calibrating optical suspended solids sensors. Mar. Geol. 1989, 86, 243–249. [Google Scholar] [CrossRef]
  9. Kuprenas, R.; Tran, D.; Strom, K. A shear-limited flocculation model for dynamically predicting average floc size. J. Geophys. Res. Oceans 2018, 123, 6736–6752. [Google Scholar] [CrossRef]
  10. Kranenburg, C. The fractal structure of cohesive sediment aggregates. Estuar. Coast. Shelf Sci. 1994, 39, 451–460. [Google Scholar] [CrossRef]
  11. Krone, R.B. Studies of the Transport of Sediment in Estuarial Shoaling Processes: Final Report; Hydraulic Engineering Laboratory and Sanitary Engineering Research Laboratory, University of California: Berkeley, CA, USA, 1962. [Google Scholar]
  12. Mehta, A.J. An Introduction to Hydraulics of Fine Sediment Transport, 2nd ed.; World Scientific: Singapore, 2023. [Google Scholar]
  13. Fischer, H.B.; List, E.J.; Koh, R.C.; Imberger, J.; Brooks, N.H. Mixing in Inland and Coastal Waters. Elsevier: Amsterdam, The Netherlands, 1979; pp. 55–79. [Google Scholar]
  14. van Prooijen, B.C.; Winterwerp, J.C. A stochastic formulation for erosion of cohesive sediments. J. Geophys. Res. 2010, 115, C01005. [Google Scholar] [CrossRef]
  15. Cheng, N.-S.; Law, A.W. Fluctuations of turbulent bed shear stress. J. Eng. Mech. 2003, 129, 126–130. [Google Scholar] [CrossRef]
  16. ERDC. Adaptive Hydraulics 2D Shallow Water-(AdH-SW2D) User’s Manual (Ver. 4.7); U.S. Army Engineer Research and Development Center: Vicksburg, MS, USA, 2021. [Google Scholar]
  17. EPA. Environmental Fluid Dynamics Code (EFDC); U.S. Environmental Protection Agency: Washington, DC, USA, 2021. [Google Scholar]
  18. Lemke, L.; Janssen, M.S.; Miller, J.K. Mitigation of channel shoaling at a sheltered inlet subject to flood gate operations. J. Mar. Sci. Eng. 2020, 8, 865. [Google Scholar] [CrossRef]
Figure 1. Study section of the Tamar River at Calstock. X marks the measurement site. The Railway Viaduct is 0.4 km upstream.
Figure 1. Study section of the Tamar River at Calstock. X marks the measurement site. The Railway Viaduct is 0.4 km upstream.
Jmse 13 00615 g001
Figure 2. Tamar observations (points) on 24 June and Equation (11) curve fits (ebb values in (bd) are negative): (a) water depth, (b) current velocity, (c) internal shear stress, and (d) bed shear stress.
Figure 2. Tamar observations (points) on 24 June and Equation (11) curve fits (ebb values in (bd) are negative): (a) water depth, (b) current velocity, (c) internal shear stress, and (d) bed shear stress.
Jmse 13 00615 g002
Figure 3. Tamar observations on 5 August and Equation (11) curve fits (ebb values are negative): (a) water depth, (b) current velocity, (c) internal shear stress, and (d) bed shear stress.
Figure 3. Tamar observations on 5 August and Equation (11) curve fits (ebb values are negative): (a) water depth, (b) current velocity, (c) internal shear stress, and (d) bed shear stress.
Jmse 13 00615 g003
Figure 4. Observed SSC (as sediment volume fractions) at three elevations, and depth-mean simulation J1 for 24 June.
Figure 4. Observed SSC (as sediment volume fractions) at three elevations, and depth-mean simulation J1 for 24 June.
Jmse 13 00615 g004
Figure 5. Salinity profiles observed during ebb and flood at selected times on 24 June and 5 August. Dashed lines indicate approximate linear trends.
Figure 5. Salinity profiles observed during ebb and flood at selected times on 24 June and 5 August. Dashed lines indicate approximate linear trends.
Jmse 13 00615 g005
Figure 6. Observed sediment volume fractions at four elevations, and depth-mean simulation A1 for 5 August.
Figure 6. Observed sediment volume fractions at four elevations, and depth-mean simulation A1 for 5 August.
Jmse 13 00615 g006
Figure 7. Sediment volume fraction profiles at peak flood flow on 24 June and 5 August. Dashed lines indicate approximate (exponentially decreasing) trends.
Figure 7. Sediment volume fraction profiles at peak flood flow on 24 June and 5 August. Dashed lines indicate approximate (exponentially decreasing) trends.
Jmse 13 00615 g007
Figure 8. Observed and simulated (J1) floc mass distributions on 24 June. Dark bars are observations, lighter bars are simulations.
Figure 8. Observed and simulated (J1) floc mass distributions on 24 June. Dark bars are observations, lighter bars are simulations.
Jmse 13 00615 g008
Figure 9. Observed and simulated (A1) floc mass distributions on 5 August. Dark bars are observations, lighter bars are simulations.
Figure 9. Observed and simulated (A1) floc mass distributions on 5 August. Dark bars are observations, lighter bars are simulations.
Jmse 13 00615 g009
Figure 10. Floc settling velocity vs. diameter; observations from [3] and simulation.
Figure 10. Floc settling velocity vs. diameter; observations from [3] and simulation.
Jmse 13 00615 g010
Table 1. Equation (11) coefficients for depth, velocity, and stresses for 24 June and 5 August.
Table 1. Equation (11) coefficients for depth, velocity, and stresses for 24 June and 5 August.
ParameterAB  aθ (h)
Date24 June5 August24 June5 August24 June5 August
Water depth, h (m)3.5903.0702.4451.8854.1411.248
Flow velocity, U (m s−1)−0.3700.0450.8280.4270.797−0.265
Shear stress, τ (Pa)0.2010.047−0.799−0.2360.167−3.238
Bed shear stress, τb (Pa)−0.6830.7081.038−0.4410.136−1.52
a Negative sign indicates ebb dominance.
Table 2. Representative parametric values for simulations for 24 June and 5 August.
Table 2. Representative parametric values for simulations for 24 June and 5 August.
ParameterSimulation J1Simulation A1
ρw (kg m−3)1000 (nominal)1000 (nominal)
ηw (Pa s)1.02 × 10−31.02 × 10−3
θT (°C)1818
S (psu)0.50.1 to 1.2
ρs (kg m−3)23862386
ds (μm)10.710.7
CEC (meq 100 g−1) 4040
Di2.002.00
n0.0150.015
τfi (Pa)See Table 3See Table 3
δ (Pa)5065
τei (Pa)=τfi=τfi
εMi (kg m−2 s−1 Pa−1)3.00 × 10−41.00 × 10−3
Table 3. Floc size classes and characteristics for 24 June and 5 August.
Table 3. Floc size classes and characteristics for 24 June and 5 August.
Class, iMean Diameter, dfi
(µm)
Mass, mi
(kg)
Density, ρfi
(kg m−3)
Settling Velocity, wfi
(m s−1)
Shear Strength, τfi
(Pa)
0185.47 × 10−121.829 × 1036.89 × 10−51.04 × 101
1332.66 × 10−111.453 × 1031.54 × 10−41.04 × 101
2661.82 × 10−101.226 × 1033.89 × 10−42.65 × 100
31046.67 × 10−101.143 × 1037.14 × 10−41.06 × 100
41431.68 × 10−91.104 × 1031.09 × 10−35.60 × 10−1
51823.42 × 10−91.081 × 1031.51 × 10−33.45 × 10−1
62226.09 × 10−91.067 × 1031.96 × 10−32.33 × 10−1
72851.28 × 10−81.052 × 1032.74 × 10−31.40 × 10−1
83642.64 × 10−81.041 × 1033.79 × 10−38.62 × 10−2
94434.72 × 10−81.033 × 1034.93 × 10−35.82 × 10−2
105237.70 × 10−81.028 × 1036.14 × 10−34.18 × 10−2
116031.17 × 10−71.025 × 1037.41 × 10−33.15 × 10−2
1210566.26 × 10−71.014 × 1031.56 × 10−21.03 × 10−2
1321124.97 × 10−61.007 × 1033.93 × 10−22.56 × 10−3
Table 4. Parameters defining floc mass distributions on 24 June and 5 August.
Table 4. Parameters defining floc mass distributions on 24 June and 5 August.
Day, Time (h)Tide StageDiameter, df50 (μm)Δdf50/df50m (%) aSkKu
Obs.Sim.Obs.Sim.Obs.Sim.
24 June, 12:35Ebb244 26691.0−0.51.4−0.4
24 June, 13:35Ebb161248541.1−0.30.9−0.7
24 June, 15:30Flood280 253−100.6−0.50.2−0.8
24 June, 16:00Flood365 287−210.5−1.0−0.62.5
Mean -263264<10.8−0.60.50.1
August, 12:45Flood127167311.1−0.30.2−1.8
August, 13:25Flood21223190.7−1.5−0.3−1.5
August, 13:45Flood364268−260.5−1.0−0.6−0.6
Mean-234222−50.8−0.9−0.2−1.3
a Positive sign indicates larger modeled value compared to observed value.
Table 5. Simulation difference from observation of diameters (Δdf50/df50m) in percent on 24 June.
Table 5. Simulation difference from observation of diameters (Δdf50/df50m) in percent on 24 June.
ParameterJ2
No Bed Exchange a; ϕv = 4 × 10−4
(%)
J3
Ebb τb Limited to 0.05 Pa
(%)
J4
Same as J3 Except
εMi =1 × 10−3 kg m−2 s−1 Pa−1
(%)
J5
Same as J6
Except
δ = 65 Pa
(%)
J6
Same as J4
Except for τ
A = 0, B = 0.327
(%)
df50 12:35 h65−1−330
df50 13:35 h12848432429
df50 15:30 h4001−1−1
df50 16:00 h6−15−14−16−16
RSME8.74.54.44.14.2
a Positive sign indicates larger modeled value than observed.
Disclaimer/Publisher’s Note: The statements, opinions and data contained in all publications are solely those of the individual author(s) and contributor(s) and not of MDPI and/or the editor(s). MDPI and/or the editor(s) disclaim responsibility for any injury to people or property resulting from any ideas, methods, instructions or products referred to in the content.

Share and Cite

MDPI and ACS Style

McAnally, W.H.; Mehta, A.J.; Manning, A.J.; Forlini, C. Estuarine Floc Mass Distributions from Aggregation/Disaggregation and Bed Sediment Exchange. J. Mar. Sci. Eng. 2025, 13, 615. https://doi.org/10.3390/jmse13030615

AMA Style

McAnally WH, Mehta AJ, Manning AJ, Forlini C. Estuarine Floc Mass Distributions from Aggregation/Disaggregation and Bed Sediment Exchange. Journal of Marine Science and Engineering. 2025; 13(3):615. https://doi.org/10.3390/jmse13030615

Chicago/Turabian Style

McAnally, William H., Ashish J. Mehta, Andrew J. Manning, and Carola Forlini. 2025. "Estuarine Floc Mass Distributions from Aggregation/Disaggregation and Bed Sediment Exchange" Journal of Marine Science and Engineering 13, no. 3: 615. https://doi.org/10.3390/jmse13030615

APA Style

McAnally, W. H., Mehta, A. J., Manning, A. J., & Forlini, C. (2025). Estuarine Floc Mass Distributions from Aggregation/Disaggregation and Bed Sediment Exchange. Journal of Marine Science and Engineering, 13(3), 615. https://doi.org/10.3390/jmse13030615

Note that from the first issue of 2016, this journal uses article numbers instead of page numbers. See further details here.

Article Metrics

Back to TopTop