Abstract
Geometric and mechanical analyses were performed on 82 selenium-rich eggs, which underwent hydrostatic testing as 2 raw eggs, 60 steamed eggs, and 20 emptied eggshells. By analyzing the geometric and mechanical properties of the egg, we can draw inspiration from its structural design to create a pressure shell capable of effectively withstanding the immense water pressure in deep-sea environments. The major axis, minor axis, egg-shape coefficient, weight, thickness, volume, superficial area, and ultimate compressive strength were measured, and their correlations were analyzed. The thickness, egg-shape coefficient, and ultimate compressive strength were normally distributed, and many parameters were strongly correlated. Moreover, finite element analysis was conducted to evaluate the compressive resistance of egg-like pressure shells made from different materials, including metal, ceramic, resin, and selenium-enriched eggshell materials. The performance ratio of the ceramic shells was 2.6 times higher than that of eggshells, and eggshells outperformed metal and resin shells by factors of 2.14 and 4.49, respectively. The eggshells had excellent compression resistance. These findings offer novel insights into the design and optimization of egg-like pressure shells.
1. Introduction
Eggs are ubiquitous in daily life, but their distinctive geometric and mechanical properties have captured the attention of numerous researchers [1,2,3]. An egg can effectively withstand external forces owing to its unique shape and internal composition. The eggshell is the primary load-bearing component. Moreover, it is highly resistant to compression owing to its unique arch-like design and materials. This shell enables an egg to withstand external pressure without failure below a high threshold. Studies have advanced the understanding of eggshell formation and mineralization, particularly for poultry eggs [4,5,6].
Considering the unique geometric advantages of the egg shape, scholars have extensively explored the application of the egg shape in biomimetic engineering, focusing primarily on deep-sea equipment and its architectural design. Studies on deep-sea-equipment design have predominantly applied the egg shape in pressure shells for submersibles. Such studies have explored various material analysis and molding techniques for egg-like pressure shells [7]. In submersibles with egg-like pressure shells, the distinctive curvature and geometric efficiency of the egg shape are highly beneficial for withstanding the extreme pressures encountered at large ocean depths [8], optimizing the structural integrity and safety, and ensuring durability under intense environmental conditions. In addition, researchers have focused on optimizing the thickness of the pressure shell in egg-like submersibles to enhance material utilization and safety [9]. The uniformity of the stress distribution is the main reason for the high stability level [10]. For example, a study analyzed the stress distribution of a uniform-medium-thickness egg-like pressure shell, which served as a baseline for further optimization; the study then applied various optimization techniques to design a variable-thickness pressure shell [11]. The study’s results revealed that the variable-thickness shell exhibited improved structural resilience under extreme conditions when compared to the uniform-thickness shell, and its average failure pressure exceeded that of the uniform-thickness shell [12]. Researchers have also explored a design approach combining egg-shaped geometry with composite materials to strengthen pressure shells, thus optimizing the design of composite egg-like pressure shells subjected to hydrostatic pressure [13]. This approach leverages the unique geometric properties of both the egg shape and advanced composite materials to improve shell performance under extreme conditions. Yuan et al. [14] investigated the influence of local deformations on the buckling behavior and ultimate load-bearing capacity of pressure shells; they also analyzed the effects of hydrostatic pressure on such shells. Their study demonstrated the sensitivity of various concave regions to variations in concavity amplitudes, providing valuable insights into the structural response of the shell under localized stress. Furthermore, scholars have made notable advancements in understanding the static mechanical properties of egg-like pressure-resisting systems [15]. Researchers have also investigated the acoustic radiation characteristics of egg-like pressure shells [16,17], revealing that such shells have superior acoustic performance to spherical shells, particularly when both the tip and blunt end are excited [18]. Moreover, egg-like pressure shells fabricated from composite materials had a lower maximum acoustic target strength than did comparable titanium alloy shells [19]. These findings are crucial for refining the performance of egg-like pressure shells for applications, such as the acoustic design of submersibles. These shells can not only ensure structural integrity but also achieve effective noise management for optimal operational performance.
The applications of egg bionics extend beyond underwater engineering; the shape also has potential in architecture. As demonstrated in our research on underwater structures, the unique geometry of the egg can provide innovative solutions to complex engineering challenges [20]. Such bioinspired designs can also play a major role in architectural construction as a novel approach to enhancing structural efficiency and resilience. The application of egg-shaped structures in construction can enhance both the structural stability and space utilization efficiency. This distinctive geometry enables buildings to more effectively distribute stress while bearing loads, leading to improved overall stability. The shape also maximizes the use of internal space, unlocking new possibilities for innovative architectural design, such as the iconic Sydney Opera House [21,22].
Research on the egg shape has also inspired a new design for concrete sludge digester structures. Compared with traditional cylindrical digesters, egg-shaped concrete digesters offer several advantages, including higher mixing efficiency and reduced sediment accumulation [23,24]. Studying the structural feasibility, stress distribution, and deformation of these digesters could provide promising alternative designs for concrete thin-shell structures. This innovation could enhance the efficiency and stability of sludge treatment facilities in construction projects, offering a more effective approach to the waste management infrastructure [25,26].
The successful application of egg bionics in various fields highlights the considerable inspirational value of the egg structure [27]. To fully understand the complexities of the egg’s design, numerous researchers have focused on the unique mechanical properties of eggs [28,29], such as the fracture strength [30] and fracture toughness [31]. Such researchers have developed a standardized methodology for accurately measuring both the fracture strength and fracture toughness of eggshells, providing valuable insights into the material’s ability to withstand stress and resist cracking under different conditions. In addition to general studies on eggshell mechanics, numerous scholars have explored the breaking strength of various types of eggs and the factors influencing their fracture behavior. For example, Zhang et al. [32] investigated the static fracture strength of goose eggs and revealed that the fracture strength is closely linked to the shape index, highlighting how the egg’s geometry plays a crucial role in its mechanical resilience. Similarly, Chen et al. [33,34] examined the dynamic fracture behavior of hen eggs under impact; they explored the effects of both external impact forces and the egg’s internal contents on its ability to withstand force. Their research revealed two distinct self-protection mechanisms: (1) the eggshell can dissipate impact energy through nonsimultaneous crack propagation and the formation of a hinge-like pattern, and (2) the eggshell creates a spider-web-like crack network to distribute such impact forces. Furthermore, Anderson and Carter [35] expanded on the dynamics of egg fracture under impact by investigating the relationship among the eggshell thickness, eggshell curvature, and impact conditions, such as the height from which the egg was dropped and the resulting impact velocity. Their study provided a deeper understanding of the crack propagation and failure mechanisms of eggs subjected to dynamic forces. Overall, these studies have made substantial contributions to the understanding of how eggs respond to various stress factors, offering inspiration for the design of more resilient materials and structures, especially in applications that require high impact resistance. While much attention has been directed toward other aspects of eggshells, such as their biological functions and environmental roles, the intricate relationship between their unique geometric structure and mechanical behavior remains largely under-examined. Consequently, this oversight has left an important area of study relatively unexplored, limiting our comprehensive understanding of the eggshell’s potential applications and its role in nature.
The research in this paper is based on our group’s previous research on the eggshell structure. The geometric and mechanical properties of eggshells offer valuable insights for designing deep-sea pressure shells. By emulating the shape and material distribution of eggshells, engineers can create deep-sea housings that effectively distribute pressure, enhance pressure resistance, and maintain a certain level of toughness. This approach not only enhances the safety of equipment in deep-sea environments but also reduces material usage, leading to more efficient designs. Accordingly, to address this research gap, the present study analyzed the geometric and mechanical properties of selenium-enriched eggs. We investigated the influence of various geometric parameters—such as the shape, thickness, and weight—on the distribution of their ultimate bearing capacity. After investigating the correlation of these factors, we analyzed the failure modes of the selenium-enriched eggs under hydrostatic pressure. Experimental observations and finite element analysis (FEA) were used to compare the compressive performance of selenium-enriched eggshells with eggshells made from various materials, including metals, ceramics, and resins. This computational approach enabled us to simulate and compare the pressure resistance performance of these structures, providing insights into their performance under varying conditions. By evaluating the mechanical properties and performance coefficients of each material, our study provides a deeper understanding of the design principles that could inspire the development of advanced, pressure-proof shell structures for various applications.
2. Materials and Methods
2.1. Problem Statement
The structural efficiency of eggshells, derived from their unique geometry and material composition, has inspired biomimetic designs for pressure-resistant applications, particularly in deep-sea environments. However, existing research predominantly focuses on synthetic materials (e.g., metals, ceramics, and composites) for egg-shaped pressure shells, with limited exploration of natural eggshell mechanics and their potential applicability. Key gaps persist in understanding how specific geometric parameters (e.g., shape coefficient, thickness distribution, major/minor axes) influence the mechanical resilience of eggshells and how these properties translate to engineered structures. Furthermore, while studies have investigated the buckling behavior of egg-like shells, systematic comparisons of performance metrics (e.g., compressive strength, buoyancy, defect sensitivity) across material types—including natural eggshells—remain underexplored.
An egg has a distinctive geometric form. Its structure and internal contents are shown in Figure 1a. The internal contents cushion and disperse the mechanical stresses applied to the eggshell, protecting it from failure. A contour line of the egg representing its shape is shown in Figure 1b; L and B represent the major and minor axes of the egg, respectively, which are key parameters that define the geometry of the egg.
Figure 1.
(a) Structural diagram and (b) schematic of the meridian of the external surface of an egg.
Before conducting the geometric and mechanical characterization of selenium-enriched eggs, the following assumptions must be made:
- It is assumed that the measurement conditions for each sample are identical, with no consideration given to potential variations in temperature or humidity in the environment during the measurement process.
- It is assumed that the structure of the selenium-enriched eggs is perfectly axisymmetric, with no consideration given to the effects of the natural growing environment on their shape.
2.2. Experiment
This study used 82 selenium-enriched eggs for measurement and testing. The geometric and physical parameters of each selenium-enriched egg were measured, and hydrostatic pressure tests were performed on each egg in three groups of 2 raw eggs, 60 steamed eggs, or 20 emptied eggshells.
The study included 82 antibiotic-free selenium-enriched eggs obtained from Fuzhou, Fujian Province, China. Antibiotic-free eggs were selected because they are typically produced using more scientific and healthier feeding practices, resulting in eggs with a tight shell structure and high shell strength. The eggs’ geometric shape parameters and weight were measured, as illustrated in Figure 2a–c. During the measurement process, the eggs were handled carefully to avoid bumps or drops that could cause cracks or other damage. A stainless-steel digital caliper (A0049, AIRAJ, Qingdao, China) with a measuring range of 0–200 mm was used to measure the major and minor axes of each egg (Figure 2a). The weight of each egg was then measured using an electronic balance scale (YP-B, LICHEN, Shanghai, China), as illustrated in Figure 2b. The average of three measurements for each egg was displayed as the final value. The actual geometric contours of each egg were then captured using an optical 3D scanner (Cronos 3D, Open Technologies, Bassano del Grappa (Vicenza), Italy). This optical scanner has a resolution of 0.02 mm. As presented in Figure 2c, each selenium-enriched egg was marked irregularly with black stickers, enabling the camera to precisely and accurately identify the egg’s outline. Geometric models of the selenium-enriched eggs were generated by stitching together data from multiple surfaces. After obtaining a geometric model of each egg, we used the 3D modeling software SOLIDWORKS(R) Premium 2022 SP0.0 [36] to calculate the volume and superficial area of the egg.

Figure 2.
Experimental equipment and process: (a) dimensional measurements; (b) weight measurement; (c) three-dimensional scanning; (d) steaming equipment; (e) ultrasonic non-destructive thickness measurement; (f) debris thickness measurement; (g) drilling; (h) draw out the liquid inside the egg; (i) seal eggshells with epoxy resin; (j) hydrostatic pressure test equipment.
Surface roughness and curvature irregularities of an egg can influence the accuracy of a 3D geometric model [37,38]. Even minor surface roughness or texture can induce localized fluctuations, potentially resulting in inaccurate models if not adequately filtered during the data-processing stage. Furthermore, an irregular curvature—especially in areas with rapid transitions or high curvature—can lead to the under-sampling of data when the scanning density or angle is suboptimal, which may cause the reconstructed models to appear distorted or unsmooth. Additionally, the scanning resolution capability of the equipment is crucial for accurately capturing detailed surface features, with higher-resolution scanners offering greater precision. The 3D scanner we are using has an accuracy of 0.02 mm, and the model scanned at this accuracy is fully capable of characterizing a solid model. As for the finer surface roughness or curvature irregularities of the egg, it will not affect this experimental study.
After collecting the geometric and physical parameters of the 82 selenium-enriched eggs, we divided the selenium-enriched eggs into three groups, which then underwent three different treatments: no treatment (raw eggs; n = 2), steaming (steamed eggs; n = 60), and emptying (eggshells; n = 20)—to investigate the effect of internal content on compression resistance.
The selenium-enriched eggs were steamed using an egg steamer (Figure 2d). Five eggs were steamed for 20 min at a time and then allowed to cool to room temperature. This process was repeated for 12 batches to obtain a total of 60 steamed eggs. During steaming, both the eggshell and the internal contents were heated evenly, resulting in a similar expansion rate and slower changes in internal pressure, reducing the likelihood of cracking.
The thickness of the steamed eggs could not be measured using ultrasonic nondestructive thickness measurement techniques. Therefore, the thickness of these eggs was instead measured conventionally by examining broken fragments after applying hydrostatic pressure. After each egg failed under hydrostatic pressure, a micrometer was used to measure the thickness of the shell fragments from the steamed egg (Figure 2e). Twenty thickness measurement points were randomly selected on the shell of each numbered steamed egg, resulting in a total of 1200 measured fragments from the 60 steamed eggs.
The internal contents of the remaining 20 eggs were removed, as illustrated in Figure 2g,h, by drilling a small 2 mm-diameter hole at the tip of the egg and gradually and repeatedly draining the internal fluid using a syringe to avoid egg implosion. After extracting some of the viscous liquid from the egg, we slowly injected a small amount of water and then gently shook the egg to help completely remove the internal contents. The eggshell was then left to dry for 24 h. As illustrated in Figure 2i, the eggshells with holes were then sealed with Araldite 2015 epoxy resin and left to cure for 36 h. The thickness of each of these 20 eggshells was measured using an ultrasonic nondestructive thickness gauge (DAKOTA/ PX-7, Sonatest Corporation, Scotts Valley(California), USA) (Figure 2f). For each eggshell, 20 measurement points were selected; these were evenly distributed across the surface of the eggshell.
The 82 selenium-enriched eggs were subjected to hydrostatic pressure tests in a miniature pressure chamber at the Deep Sea Delivery Technology Laboratory in Zhenjiang, Jiangsu province, China. This chamber was designed to simulate the conditions found at depths of up to 3000 m below sea level. A photograph of the hydrostatic testing setup is depicted in Figure 2j. The setup comprised a hydrostatic chamber, a digital pressure gauge (SUP-P3000, United Test Automation, Hangzhou, China), a dynamic data acquisition system (DH5902, Donghua Test Technology, Taizhou, China), an air pump, and a hand-operated water pump (SRB-30X, Zhenhuan Hydraulic Apparatus, Shanghai, China). Each selenium-enriched egg was wrapped in plastic film prior to the hydrostatic pressure test to prevent water from entering the egg through the shell pores. The egg was suspended in the center of the hydrostatic chamber by using a rope and a magnet to prevent it from floating on the water’s surface. This ensured that the egg was fully submerged and that the applied pressure was uniform.
After draining all air from the hydrostatic chamber, we closed the outlet valve and activated the dynamic data-acquisition system to detect and record the pressure in the hydraulic chamber. The operator pumped water into the hydrostatic chamber by pressing the lever of the pump to gradually increase the pressure in the hydrostatic chamber. When the hydrostatic chamber pressure reached the ultimate compressive strength of the selenium-enriched egg, the egg broke; this was accompanied by a sharp and crisp cracking sound; concurrently, the pressure value on the digital pressure gauge decreased. The digital pressure gauge recorded the complete pressure change data, marking the completion of the hydrostatic pressure test.
3. Results and Discussion
Various egg shape equations were applied to fit the contours of the numerical models of the selenium-enriched eggs. The model derived from the best-fitting equation was then used for finite element analysis. Finally, the properties of egg-like pressure shells composed of different materials were compared.
3.1. Geometric and Physical Data
We explored the relationships between the geometric and physical parameters of the 82 selenium-enriched eggs.
As illustrated in Figure 3, the weight, thickness, volume, and superficial area of the 82 selenium-enriched eggs were 44–66 g, 0.22–0.35 mm, 42–60 cm3, and 59–75 cm2, respectively. Each dataset was fitted to a normal distribution by using Origin 2024b, a commercial data processing and visualization program. The thickness data (Figure 3b) were normally distributed, whereas the other three datasets (Figure 3a,c,d) were not. The average thickness of the 82 eggs was 0.28 mm. By contrast, the distributions of weight, volume, and superficial area of the eggs were more dispersed because these variables are affected by several factors; this is discussed further in the following subsections.
Figure 3.
Weight, thickness, volume, and superficial area distribution diagram of 82 selenium-enriched eggs. (a) Weight distribution; (b) thickness distribution; (c) volume distribution; (d) superficial area distribution.
The egg-shape coefficient SI is a key parameter used to describe the geometric feature of an egg-like shape; it is calculated as
where B and L are the minor and major axes of the egg, respectively. The distribution of the egg-shape coefficients for the 60 steamed selenium-enriched eggs is illustrated in Figure 4a; these coefficients approximated a normal distribution, with most of them ranging between 0.74 and 0.80. However, the egg-shape coefficients for 20 eggshells (Figure 4b) were not clearly normally distributed; this was attributed to the smaller sample size. More eggshells should be measured in future studies. The coefficients of the eggshells also ranged from 0.74 to 0.83. The egg-shape coefficients for all 82 eggs are presented in Figure 4c. They exhibited a nearly normal distribution, and most of the coefficients ranged from 0.74 to 0.82.
Figure 4.
Egg-shape coefficient distributions of (a) 60 steamed selenium-enriched eggs, (b) 20 selenium-enriched eggshells, and (c) all 82 eggs.
The geometric and physical parameters of the 60 steamed eggs are presented in Table 1. The table lists the average value (AVG), maximum value (MAX), minimum value (MIN), standard deviation (STD), and coefficient of variation (CV) for each parameter. The scales of these parameters vary significantly; thus, the CV for each parameter is listed in the last row of Table 1. Notably, the CV for the thickness of the 60 steamed selenium-enriched eggs was 10.34%, indicating high variation. The CVs for the weight, superficial area, and volume were 5.90%, 4.20%, and 6.38%, respectively, also reflecting a high dispersion. By contrast, the CVs for the major axis, minor axis, egg-shape coefficient, and density were lower—3.03%, 2.30%, 2.60%, and 1.90%, respectively—indicating that these parameters exhibited less variation between eggs.
Table 1.
Geometric characteristics and ultimate compressive strength of 60 steamed selenium-enriched eggs.
The geometric and physical parameters of the 20 selenium-enriched eggshells are presented in Table 2. Similarly, the CV reflects the degree of dispersion for each parameters. The weight, thickness, superficial area, and volume again had high dispersion, with CVs of 5.09%, 7.14%, 3.15%, and 4.73%, respectively. The CVs for the major axis, minor axis, egg-shape coefficient, and density were lower at 2.46%, 1.84%, 2.56%, and 0.93%, respectively. In particular, the CV for density was the smallest, suggesting that most eggs had similar densities.
Table 2.
Geometric characteristics and ultimate compressive strength of 20 selenium-enriched eggshells.
The geometric and physical parameters of the 60 steamed selenium-enriched eggs (Table 1) were compared with those of the 20 selenium-enriched eggshells (Table 2). The CV was highest for the ultimate compressive strength; this is discussed further in Section 3.2. Of the geometric parameters, the CV was highest for the thickness in both datasets. The average values for the major axis, minor axis, egg-shape coefficient, weight, thickness, superficial area, volume, and density were similar for both groups, with the corresponding CVs being 2.25%, 4.03%, 1.30%, 1.35%, 3.57%, 6.78%, 9.74%, and 2.86%, respectively. Due to this similarity, the geometric and physical parameters of the 60 steamed selenium-enriched eggs (Table 1), 20 selenium-enriched eggshells (Table 2), and 2 raw selenium-rich eggs (totaling 82 selenium-rich eggs) were combined (Table 3).
Table 3.
Geometric characteristics and ultimate compressive strength of 82 selenium-enriched eggs.
For the 82 selenium-enriched eggs in the experiment, the egg-shape coefficient, weight, thickness, superficial area, and volume all had high dispersion, with the corresponding CVs being 5.19%, 8.06%, 7.14%, 4.89%, and 7.51%, respectively. Compared with the results in Table 1 and Table 2, the weight dispersion of the 82 selenium-enriched eggs was the highest; this may be attributed to the effects of the two raw selenium-enriched eggs. The CVs for the major axis, minor axis, and density were 3.01%, 2.80%, and 1.89%, respectively, indicating that these three parameters had low dispersion. The correlations between these parameters were further explored.
3.2. Relationships Among Geometric and Physical Data
We investigated the relationships of the various parameters of the 82 selenium-enriched eggs. The correlations between the geometric and physical parameters of the eggs are shown in Figure 5. Scatter points indicate the observations, and fitted lines indicate the underlying relationship. In general, the volume (Figure 5a,b), superficial area (Figure 5c,d), and weight (Figure 5e,f) of the eggs were positively linearly correlated with both the major and minor axes. The egg-shape coefficient was negatively correlated with the major axis (Figure 5g) but positively correlated with the minor axis (Figure 5h).
Figure 5.
Geometric and physical parameters versus major axes of 82 selenium-enriched eggs. (a) volume versus major axes; (b) volume versus minor axes; (c) superficial area versus major axes; (d) superficial area versus minor axes; (e) weight versus major axes; (f) weight versus minor axes; (g) egg-shape coefficient versus major axes; (h) egg-shape coefficient versus minor axes.
As displayed in Figure 5, the parameters were more sensitive to changes in the minor axis than to changes in the major axis, as indicated by the higher rate of change for correlations with the minor axis. This insight contributes to the understanding of the structural dynamics of selenium-enriched eggs and could inform further studies on egg morphology.
In the previous analysis, the weight distribution of the 82 selenium-enriched eggs had high dispersal; we therefore further investigated the correlation between the weight and other parameters (Figure 6) through linear regression. As expected, the volume, superficial area, and egg-shape coefficient were all strongly positively correlated with the weight. For the volume, the majority of data points were clustered closely around the regression line, but one outlier had a substantial deviation; this suggests measurement error or an anomalous sample. The weight increased moderately with the superficial area (Figure 6b), but this relationship was weaker than that for volume. The egg-shape coefficient and weight had a weak correlation (Figure 6c).
Figure 6.
Geometric parameters versus weight for 82 selenium-enriched eggs. (a) volume versus weight; (b) superficial area versus weight; (c) egg-shape coefficient versus weight.
In summary, our findings suggest a strong correlation between the weight and some of the parameters (volume, superficial area, and egg-shape coefficient) of the 82 selenium-enriched eggs. Heavier eggs have a higher volume and superficial area and are more egg-like (higher egg-shape coefficient). Accordingly, egg weight is a key factor influencing the overall geometry of selenium-enriched eggs, providing further insight into the physical properties of these eggs.
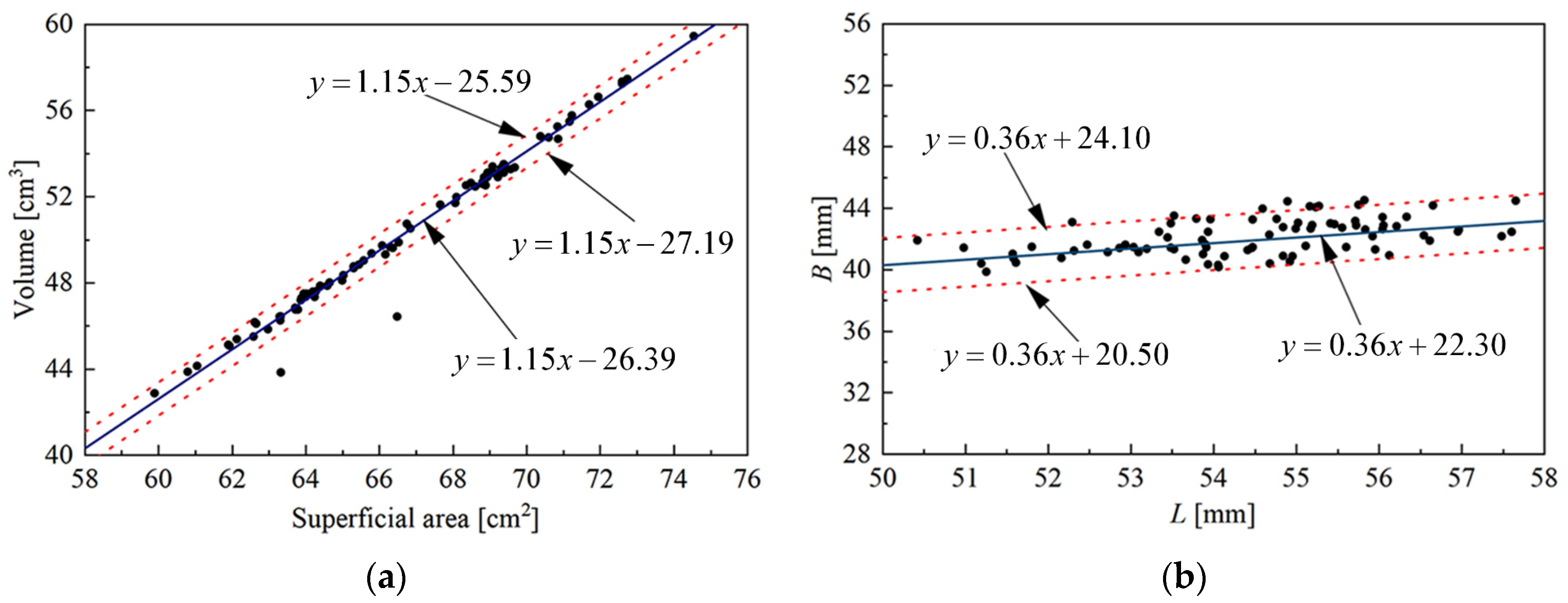
The correlation between the volume and superficial area of the 82 selenium-enriched eggs is shown in Figure 7a, and the correlation between the major axis and minor axis is shown in Figure 7b. The volume and superficial area had a strong positive linear relationship (Figure 7a) with only two outliers. The major and minor axes were also positively linearly correlated (Figure 7b), but the several outlying data points may reflect natural variability in the egg shape or potential measurement inconsistencies. Further investigation is warranted to understand the factors driving these deviations. This will be explored in future studies.
Figure 7.
Volume versus superficial area (a) and minor axis versus major axis (b) of selenium-enriched eggs.
3.3. Mathematical Analysis
The volume and superficial area used for the analyses in Figure 3, Figure 4, Figure 5, Figure 6 and Figure 7 were automatically obtained using 3D modeling software SOLIDWORKS(R) Premium 2022 SP0.0 based on the geometric models generated through scanning. For a comparison, we performed calculations using Equations (2) and (3) from Mohsenin [39] to obtain the theoretical values of the volume and superficial area of the selenium-enriched eggs, respectively.
Figure 8 reveals that the theoretical and measured values for both the volume and superficial area are generally consistent with only three outliers. This indicates that the theoretical formulas for volume and superficial area are approximately accurate relative to the actual measurements, further confirming that Equations (2) and (3) are also applicable to the selenium-enriched eggs in this paper.
Figure 8.
Theoretical and experimental volume (a) and superficial area (b) of selenium-enriched eggs.
We also employed an egg-shape equation to model the outer contour of the selenium-enriched eggs. The selenium-enriched eggs were axisymmetric; thus, fitting only required defining one meridian to accurately represent the egg’s shape. To achieve a reliable fit, four selenium-enriched eggs were selected, and the relevant parameters were chosen as their average values. These eggs were used to generate the equation, ensuring that the model accurately reflected the typical shape of a selenium-enriched eggs. This approach helped standardize the shape-fitting process and provided the foundation for further analysis.
Four shape equations are commonly used to describe the contour of an egg: the Cassini oval (Equation (4)) [40], N-R (Equation (5)) [41], U (Equation (6)) [42], and K (Equation (7)) [43] equations. To evaluate their effectiveness in modeling the contour of selenium-enriched eggs, we applied all four equations to fit the contour curves of typical selenium-enriched eggs and compared their fitting accuracy.
We used the software PyCharm 2020.1.1 [44] to perform curve fitting. The results were analyzed by comparing the fitted curves with the real contours obtained through 3D scanning. The coefficients of determination (R2) between the fitted curves and the actual contours were assessed and are summarized in Table 4 [45]. This comparison enabled us to determine which equation provided the most accurate and reliable representation of the selenium-enriched egg shape, offering valuable insights into the most suitable model for future analyses.
Table 4.
The coefficients of determination of the profile function for eggshells.
As shown in Table 4, the curves generated based on the four different functions—Cassini oval, N-R function, U function, and K function—all had high coefficients of determination with respect to the actual contour lines of the selenium-enriched eggs; the highest coefficient of determination exceeded 90%. The average coefficients of determination between the true for the Cassini oval equation, the N-R function, the U function and the K function were 96.33%, 99.00%, 98.38%, and 98.82%, respectively.
Among these equations, the maximum, minimum, and average coefficients of determination were highest for the N-R equation. In fact, the average coefficient of determination for the N-R equation was an astonishing 99%, which is a remarkable result considering that this function is applicable not only to goose eggs but also to selenium-enriched eggs. However, although the N-R equation performs exceptionally well in terms of the average coefficient of determination, its standard deviation was slightly higher than that of the K function, indicating higher variability. This minor limitation does not greatly detract from its overall performance. However, the maximum, average, and minimum values of the coefficient of determination of the Cassini oval line were the smallest, indicating that this function is unsuitable for fitting selenium-enriched egg contour lines. The maximum value of the coefficient of determination of the U function was 99.05%, and the minimum value was only 97.63%. It also had the highest standard deviation (up to 0.6390), indicating that it is also unsuitable for fitting selenium-enriched egg contours. In conclusion, the N-R function stands out as the most accurate and reliable method for describing the outer contour of selenium-enriched eggs. Its superior fit, with an average coefficient of determination of 99%, rendered it the ideal choice for modeling the shape of these selenium-enriched eggs, surpassing the other three functions in terms of both accuracy and consistency.
The coefficients of determination between the curves fitted based on the four mathematical functions and the actual external contour of selenium-enriched eggs were not intuitively apparent from the data presented in Table 4. To provide a more intuitive understanding of the coefficient of determination, the 3D models of the selenium-enriched eggs were constructed using SOLIDWORKS(R) Premium 2022 SP0.0 software. The deviations between each 3D egg model and the corresponding actual egg are displayed in Figure 9; rows correspond to functions, and columns correspond to actual eggs. Green indicates areas of the models that closely match the shape of the real egg, and red (positive) and blue (negative) indicate deviations larger and smaller, respectively, than the actual egg. Each legend is accompanied by a curve representing the distribution of the deviations; curves with peaks near 0 indicate high model accuracy.
Figure 9.
Deviations between egg models and actual eggs.
As presented in Figure 9, the deviations of the N-R models were small, indicating an accurate fit to the egg’s outer contour. The deviations were largest at the tip and blunt regions. The deviations for the other three functions were larger, supporting the conclusion that the N-R model was superior. This visual and quantitative approach allowed for a more detailed and intuitive assessment of the accuracy of each fitted curve.
The geometric characteristics of the 82 selenium-enriched eggs were compared with those of the goose eggs examined in a previous study [32] (Table 5); the maximum, average, and minimum values for the major and minor axes of the goose eggs were consistently larger. This is consistent with common knowledge; goose eggs are larger than chicken eggs. Additionally, the standard deviations of both the major and minor axes of goose eggs were greater than those observed for the 82 selenium-enriched eggs, indicating that the dimensions of goose eggs have greater variability.
Table 5.
Parameter comparison of the egg and goose egg.
Notably, the egg-shape coefficient of the goose eggs was smaller than that of the selenium-enriched eggs, indicating that the chicken eggs tended to be more elongated than the goose eggs. This shape difference was also reflected in other geometric properties; the volume, superficial area, and shell thickness of the goose eggs were 1.74, 2.25, and 1.79 times larger than those of the selenium-enriched eggs, respectively. However, the ultimate compressive strength of the selenium-enriched eggs was 1.4 times that of the goose eggs. Despite their large size and thickness, the goose eggs had inferior ultimate compressive strength to that of selenium-enriched eggs. The influence of geometric characteristics on the ultimate compressive strength is further discussed in the following section.
3.4. Mechanical Analysis
This study conducted hydrostatic pressure tests on the raw selenium-enriched eggs, steamed selenium-enriched eggs and selenium-enriched eggshells in accordance with the methodology outlined in Section 2, and typical examples of collected water pressure data are depicted in Figure 10. The peak of each water pressure curve represents the ultimate compressive strength of the egg. The curve gradually increased as the pressure was increased with a hand-operated water pump. At the peak pressure, the eggshell broke, allowing water from the pressure chamber to flow into the interior of the shell and causing the water pressure to drop.
Figure 10.
Pressure histories for four (a) typical steamed selenium-enriched eggs and (b) selenium-enriched eggshells.
The water pressure curve for typical steamed selenium-enriched eggs slightly decreased after reaching the peak, followed by a subsequent increase (Figure 10a). By contrast, the water pressure curve for empty eggshells continued to decrease after the peak (Figure 10b). This difference can be attributed to the presence of the albumen and yolk. When the eggshell broke, the albumen and yolk inside the steamed eggs temporarily absorbed the pressure shock; thus, the drop in water pressure was brief. However, the air-filled eggshells presented no such resistance and shattered; thus, the drop in the water pressure curve was sharp. Additionally, after hearing the distinct cracking sound of the eggshell during the test, the pressure relief valve was opened, further causing a reduction in the water pressure curve. For the hydrostatic pressure tests of the steamed selenium-enriched eggs, the data acquisition was stopped immediately after the test; thus, the subsequent drop in the water pressure curve was not fully recorded.
After conducting the hydrostatic tests on all 82 selenium-enriched eggs, we determined the ultimate compressive strength of each egg and analyzed and summarized the distribution for each group, as illustrated in Figure 11. Notably, the two raw selenium-enriched eggs withstood 20 MPa of water pressure (the ultimate pressure of the device) without fracturing. Therefore, only the 80 steamed and empty selenium-enriched eggs are included in the figure of the ultimate compressive strengths. The ability of the raw eggs to withstand 20 MPa, equivalent to 2000 m below sea level, may be attributable to their internal fluids (albumen and yolk). The pressure inside and outside the eggshell was balanced; thus, it remained intact.
Figure 11.
Ultimate compressive strength distribution diagram of (a) 60 steamed selenium-enriched eggs, (b) 20 selenium-enriched eggshells, and (c) 80 selenium-enriched eggs.
As shown in the Figure 11, the ultimate compressive strength of 60 steamed selenium-enriched eggs was normally distributed (Figure 11a). However, the ultimate compressive strength of the 20 selenium-enriched eggshells was not normally distributed (Figure 11b). This was attributed to the small sample size of eggshells. As shown in Table 1 and Table 2, the average values of the ultimate compressive strength of steamed eggs and eggshells were 4.41 and 4.23 MPa, respectively; this difference was nonsignificant. Thus, the ultimate compressive strength was similar for both steamed eggs and empty eggshells. The differences in the distribution patterns and maximum, minimum, and average values of the data of their ultimate compressive strengths are due to the inherent randomness of the sample and the different sample sizes. Integrating the two sets of data, the average value of the ultimate compressive strength of the 80 selenium-enriched eggs was 4.37 MPa, and the standard deviation was 0.62. The distribution of the ultimate compressive strength of 80 selenium-enriched eggs was centralized and conformed to a normal distribution (Figure 11c).
Photographs of each damaged steamed egg are depicted in Figure 12, and typical damaged eggshells are presented in Figure 13. For the steamed eggs, the internal contents affected the failure mode; the eggs were not shattered but instead failed at a specific point. Cracks then propagated in a characteristic pattern circumferentially and radially around the egg. Most failures occurred near the egg’s equator (22 eggs) or tip (37 eggs); only one egg failed near the blunt end. This pattern suggests that the equator and tip of the egg are most vulnerable under pressure. This is consistent with the behavior observed in studies of other egg-shaped structures (e.g., metal eggshells). The reason for this vulnerability is due to the large radius of curvature at this location [46]. Therefore, when subjected to external pressure, the stresses tend to be concentrated at the equator near the tip.
Figure 12.
Failed steamed selenium-enriched eggs after hydrostatic testing.
Figure 13.
Failed selenium-enriched eggshells after hydrostatic testing. (a) Broken waterproof plastic film; (b) eggshell fragments.
In contrast to the steamed selenium-enriched eggs, the failed eggshells shattered; on opening the testing chamber, a few scattered eggshell fragments and some floating waterproof plastic film were visible on the surface of the water (Figure 13a). Because eggshells are brittle, their state after fault is fragmentation. The failure mode of all 20 selenium-enriched eggshells was collapse upon reaching the ultimate bearing pressure.
After all of the eggshells had been tested, the water in the hydrostatic chamber was completely drained. Images of the chamber interior after draining are presented in Figure 13b. This implosion highlights the critical role of the egg’s internal contents (albumen and yolk) in maintaining integrity under pressure. Without the internal contents to provide structural support, the eggs experienced a severe implosion when the applied pressure surpassed the ultimate compressive strength.
The internal contents did not significantly affect the ultimate compressive strength of the steamed and empty selenium-enriched eggs (although it did affect the raw selenium-enriched eggs). We therefore explored the correlation between the geometric–physical parameters of the 80 steamed and empty selenium-enriched eggs and their ultimate compressive strength, as shown in Figure 14. The ultimate compressive strength decreased as the lengths of the major and minor axes increased. However, there was a positive correlation between the ultimate compressive strength and the egg shape factor. Specifically, the closer the egg shape was to a sphere, the greater the ultimate compressive strength. Among the various factors, the thickness showed the strongest correlation with the ultimate compressive strength. As the thickness of the eggshell increased, the ultimate compressive strength also increased, highlighting the significant role that thickness played in enhancing the structural integrity.
Figure 14.
Ultimate compressive strength versus the geometrical and physical parameters of selenium-enriched eggs. (a) Ultimate compressive strength versus major axes; (b) ultimate compressive strength versus minor axes; (c) ultimate compressive strength versus egg-shape coefficient; (d) ultimate compressive strength versus thickness.
To predict the ultimate bearing pressure of selenium-enriched eggs, Equation (8) was employed [47].
where E, μ, and t are the Young’s modulus, Poisson’s ratio, and thickness of the selenium-enriched egg, respectively; is the average meridional radius of curvature of the selenium-enriched egg; and is the average circumferential radius of curvature of the selenium-enriched egg. The values of R1(x) and R2(x) are determined using Equations (9) and (10), respectively.
The results from the calculations and hydrostatic pressure tests for 80 selenium-enriched eggs are presented in Figure 15a. The experimental and theoretical values were generally strongly correlated; however, a few outliers were observed. These were attributed to the inherent variability of the actual eggs, such as irregularities in the thickness distribution. For example, we employed strong light to illuminate a selenium-enriched egg, as shown in Figure 15b, revealing the egg’s nonuniformity (brighter areas are thinner). An egg’s thickness can vary due to multiple factors, including the hen’s diet and environmental influences. The image reveals that thinner spots are irregularly distributed and of an inconsistent size, highlighting the natural variability in the egg structure.
Figure 15.
(a) Theoretical and experimental ultimate compressive strength. (b) Illuminated egg image revealing uneven thickness.
On the basis of these observations, we hypothesize that the observed differences between the experimental and theoretical values of ultimate bearing pressure for certain eggs may be due to this uneven distribution of the thickness. Such variations in shell thickness likely lead to localized weakness or strength that affects the eggs’ ability to withstand pressure, thereby contributing to the observed discrepancies between the theoretical and experimental results.
3.5. Comparison of Different Materials
For a comparison, several egg-like pressure shells of various materials with different mechanical properties, such as fluctuations in the strength, elasticity, and resistance to deformation, were simulated. These parameters all influence the overall performance of the pressure shells. The egg-like pressure shell models were developed using the finite element simulation software ABAQUS 2022 6.22-1 [48]. The model parameters and thickness were derived from the average values of the various parameters of the selenium-enriched eggs measured in this study. Specifically, the major axis, minor axis, and thickness were set to 54.43, 42.14, and 0.28 mm, respectively. These dimensions are representative of the typical structural characteristics observed in the selenium-enriched eggs analyzed in prior research.
The selected mesh type is S4R, a versatile element that is well-suited for accurately simulating shell structures with complex curved geometries. The S4R element is a four-node shell element with reduced integration, which significantly enhances the computational efficiency. The reduced integration method is particularly advantageous as it reduces the computational cost while maintaining accurate results, especially when simulating complex structures, such as egg-like pressure shells. Typical three–point-constraint boundary conditions (Ux = Uy = 0, Uy = Uz = 0, Ux = Uy = 0) were introduced to avoid the rigid body displacement of each egg-like pressure shell (Figure 16). The boundary condition did not lead to an over-constraint in the problem owing to the uniformly applied pressure. The total number of elements used in the mesh was 11,905; this resolution was sufficiently fine to accurately model the shell’s geometry and behavior under pressure. This dense mesh enabled a detailed representation of the egg-shaped shell’s structural response, providing reliable results for the analysis of its mechanical properties and performance under applied loads.
Figure 16.
Finite element models of egg-like pressure shells.
To guarantee the precision of the numerical calculations, a thorough mesh convergence analysis was performed on the numerical models of egg-like pressure shells utilizing the linear buckling method. The first-order linear eigenvalues derived from the linear analysis are presented in Figure 17. A clear trend emerges in the figure: as the number of elements decreases, the deviation of the calculated values becomes more pronounced. However, as the number of elements steadily increases, the fluctuations in the amplitude of the first-order linear eigenvalues diminish significantly, stabilizing the results. The finalized numerical models were constructed using a total of 11,905 shell elements, ensuring a robust and accurate representation of the pressure shell behavior.
Figure 17.
Mesh convergence results obtained through linear buckling analysis.
To investigate the failure mechanism of egg-like pressure shells made from different materials, we conducted both linear and nonlinear buckling analyses on models made from eggshell, ceramic, metal, or resin. The material properties for each material are summarized in Table 6, and the linear buckling behavior of the corresponding egg-like pressure shells is presented in Figure 18. In general, the buckling modes and overall buckling morphology of the egg-like pressure shells were similar for all four materials. In the linear buckling analysis, all had a half-wave in the axial direction and 12 half-waves in the circumferential direction.
Figure 18.
Linear buckling modes of egg-like pressure shells of different materials.
The linear buckling pressures differed: 3.19 MPa for the eggshell, 10.31 MPa for the ceramic material, 22.33 MPa for the metal material, and 0.23 MPa for the resin material. The metal material had a higher linear buckling pressure than the brittle materials, and the resin had a notably low linear buckling pressure. The eggshell had intermediate performance. These findings underscore the influence of material properties on their ability to withstand compressive forces, with metal materials clearly outperforming brittle materials, like ceramics and resins, in terms of the linear buckling pressure.
In the nonlinear analysis, the loading substeps should be appropriately small because material failure is highly sensitive to the load increment once the structural stress reaches the ultimate strength of the material. To model nonlinear buckling, the modified Riks algorithm was used in this investigation. The algorithm was configured with the following parameter settings: the initial increment in the arc length along the static equilibrium path was 0.01, the total arc length scale factor for the analysis step was set to 1, the minimum arc length increment was 1 × 10−50, and the maximum arc length increment was 0.1. The postbuckling behavior from the nonlinear analysis is presented in Figure 19. In these nonlinear models, initial geometric imperfections were introduced based on the linear bifurcation modes, as recommended by relevant European [49] and Chinese [50] standards. These imperfections simulate the initial distortions that occur in real structures and which can significantly affect their postbuckling response. The linear elastic model was used for the nonlinear analyses of the egg-like pressure shells of different materials, and material failures were not considered; thus, only trends were analyzed. The maximum displacement was the largest for the metallic egg-like pressure shell among the four materials but was nearly identical for the other three brittle materials (selenium-enriched egg, ceramic, and resin). The postbuckling behavior of the metal material differed substantially from that of the other three materials, suggesting distinct failure mechanisms and load-bearing capacities.
Figure 19.
Nonlinear postbuckling modes of imperfect egg-like pressure shells of different materials.
As summarized in Table 6, the nonlinear buckling pressures for the selenium-enriched eggshell, ceramic, metal, and resin egg-like pressure shells were 2.31, 7.42, 6.97, and 0.17 MPa, respectively. A notable difference between the linear and nonlinear analyses was observed for the metal egg-like pressure shell; the buckling pressure was higher in the nonlinear analysis. The ceramic egg-shaped shell had the highest postbuckling pressure, followed by the metal- and selenium-enriched eggshells (which had similar pressures); the resin shell still exhibited the lowest buckling resistance. Increasing the thickness or compressive strength of the material used for an egg-like pressure shell will greatly increase its ultimate compressive strength.
The buoyancy coefficient Cb and performance ratio η of the egg-like pressure shells made from each material were calculated using Equations (11) and (12), respectively; the results are presented in Table 6. In these formulas, the variables ρ, g, V, W, and p represent the material’s density, gravitational acceleration, volume, weight, and ultimate bearing pressure, respectively. The buoyancy coefficients of the eggshell and resin pressure shells were approximately 1, indicating near-neutral buoyancy; by contrast, the buoyancy coefficients of the ceramic and metal shells were much greater than 1, indicating positive buoyancy (i.e., floating). The metal shell had the highest buoyancy coefficient.
The performance ratio η reflects the relationship between the ultimate compressive strength of an egg-like pressure shell and its volume and weight. A high performance ratio generally indicates that the material can effectively withstand high ultimate compressive pressures relative to its size and weight. The ceramic shells have the highest performance ratio, indicating an exceptionally high pressure-bearing capacity; the resin shells had the lowest performance ratio. The coefficient of performance of the eggshell was between those of ceramics and metals. Overall, the eggshell was effective in withstanding pressure.
Table 6.
Linear and nonlinear buckling analysis of numerical models for different materials.
Table 6.
Linear and nonlinear buckling analysis of numerical models for different materials.
| Materials | Material Parameters | Linear Buckling (Perfect) [MPa] | Nonlinear Buckling (Imperfect) [MPa] | Cb | |
|---|---|---|---|---|---|
| Eggshell material | E = 30 GPa ν = 0.3 [34] | 3.19 | 2.31 | 0.9975 | 41.3 |
| Ceramic | E = 100 GPa ν = 0.17 | 10.31 | 7.42 | 10.7802 | 107.40 [51] |
| Metal | E = 210 GPa ν = 0.3 | 22.33 | 6.97 | 23.7805 | 19.30 [52] |
| Resin | E = 2.51 GPa ν = 0.41 | 0.23 | 0.17 | 1.0001 | 9.20 [53] |
Note: geometry parameters are L = 54.43 mm, B = 42.14 mm, and t = 0.28 mm, respectively.
In the nonlinear buckling analysis of egg-like pressure shells made from different materials, defects were intentionally introduced to better simulate real-world conditions. In the nonlinear collapse models, the linear bifurcation modes were introduced as the initial geometrical imperfections. The introduction of a linear analysis as an initial defect in the nonlinear analysis primarily serves to simplify the solution process for complex problems. The thickness is multiplied by a different factor as the maximum displacement of the applied defects. In many practical scenarios, small imperfections in the initial geometry or material properties of a structure can lead to a nonlinear behavior in its response. A defect-sensitivity analysis was conducted for various materials used in the construction of these shells. The model used for this analysis is consistent with that discussed in the previous section. The nonlinear buckling pressures and the corresponding reduction coefficients of the egg-like pressure shells of each material with respect to the introduced defects are depicted in Figure 20. The horizontal axis in the graph represents the magnitude of the introduced defects.
Figure 20.
Nonlinear buckling load (a) and knockdown factor (b) versus imperfection value for eggshells made of different materials.
As shown in Figure 20a, the nonlinear buckling pressure of the ceramic shells was the highest for any given defect size, indicating that ceramic materials exhibit excellent compressive strength and are highly resistant to buckling under pressure, regardless of the presence of defects. Although the nonlinear buckling pressures of the metal shells were lower, they were still high and surpassed those of the eggshell and resin. The nonlinear buckling pressures of the selenium-enriched egg and resin shells were lowest but only slightly varied with the increase in the defect size.
The reduction coefficients for each material’s response to defects are presented in Figure 20b. Metals exhibited the lowest sensitivity to the defect size, implying that a smaller safety factor may be appropriate when designing metallic pressure housings for deep-sea applications. In contrast, the remaining materials—ceramics, eggshell, and resin—demonstrate a higher sensitivity to defects, with resin material exhibiting the greatest sensitivity among them.
4. Conclusions
In this study, a comprehensive statistical analysis was conducted on the geometric parameters, thickness, weight, and ultimate bearing pressure of 82 selenium-enriched eggs to investigate the influence of these factors on the eggs’ structural integrity. The main conclusions of this study are outlined as follows:
- The egg-shape coefficient and thickness of the 82 selenium-enriched eggs were normally distributed; the ultimate compressive strength was also normally distributed for the 80 treated (steamed or emptied) eggs. These experimental results were highly reproducible. Additionally, the geometric and physical parameters (including the volume, superficial area, and weight) of these eggs were positively correlated with their major and minor axes. These findings highlight the relevance of these two axes to the overall physical properties of the selenium-enriched eggs, and the egg-shape coefficient is a key factor in understanding the structural integrity and potential applicability of an egg-like shape.
- The N-R equation is the best function for calculating the contours of selenium-enriched eggs. The average coefficient of determination for the N-R equation was notably 99%. This remarkable result indicates that this function is applicable not only to goose eggs but also to selenium-enriched chicken eggs. In addition, although goose eggs are large and thick, their final compressive strength was lower than that of the selenium-enriched eggs.
- In terms of the ultimate compressive strength, raw selenium-enriched eggs could not be crushed in our testing apparatus. The average value of the ultimate compressive strength of 60 steamed selenium-enriched eggs was 4.26% higher than that of 20 selenium-enriched eggshells, indicating that the internal contents of the steamed selenium-enriched eggs have little effect on their ultimate compressive strength. After failure, the natural selenium-enriched eggs were largely intact because their internal contents absorbed some of the failure energy, acting as a buffer and ensuring the structural integrity to a certain extent. By contrast, the hollow, brittle selenium-enriched eggshells failed and fragmented when reaching their ultimate compressive strength.
- The linear buckling pressure, nonlinear buckling pressure, and buoyancy coefficient of simulated egg-like pressure shells made from eggshells were lower than those for ceramic and metal shells but higher than those for resin shells. The nonlinear buckling load of the eggshell pressure shells was approximately 14 times greater than that of the resin egg-like pressure shells, and the coefficient of performance η of the eggshell pressure shells was 2.14 and 4.49 times higher than those of the metal and resin egg-like pressure shells, respectively, indicating that eggshells are high-performance pressure-resistant materials. These results provide valuable insights for the development and material selection of pressure shells for deep-sea equipment.
The number of selenium-enriched eggs used in this study was relatively limited, primarily due to the inconsistent supply of these eggs. This limitation affected the scope of our research. However, we are committed to addressing this issue in future studies by establishing more stable and reliable sources for selenium-enriched eggs. Additionally, accurately measuring the thickness of a steamed egg before it is broken was difficult; in particular, determining the thickness variations of selenium-enriched eggs at different locations was challenging. To overcome this obstacle, advanced nondestructive thickness measurement technologies should be investigated and adopted in future studies. This approach will allow for more precise and consistent measurements, enabling a deeper understanding of the material properties and enhancing the overall accuracy of our findings. Through this research on selenium-enriched eggs, we aim to expand the potential applications of egg-shaped shells in various fields, including deep-sea and other pressure-resistant applications.
In conclusion, the analysis of selenium-enriched eggshells reveals that their unique shape and thickness distribution significantly enhance the compressive strength, offering valuable insights for optimizing egg-like pressure shells in deep-sea submersibles. A finite element analysis further demonstrates that these eggshells outperform traditional resin and metal shells in pressure resistance, with performance ratios of 2.14× and 4.49×, respectively. This highlights their potential as lightweight, high-strength materials for various engineering applications. Additionally, the study identifies key failure modes, such as crack propagation at critical points, providing essential knowledge for designing defect-tolerant pressure shells and enhancing structural resilience in real-world scenarios.
Building on the results of this study, several material optimization strategies are recommended to further enhance the compressive strength of eggshell structures for deep-sea applications. To address stress concentration in critical areas, such as the equator and tips, a variable thickness design, such as local thickening, should be implemented to balance the stress distribution and improve the critical failure pressure. Additionally, introducing high-strength ceramic or polymer coatings on the eggshell surface can enhance its compressive strength and defect sensitivity while maintaining its lightweight properties. By combining the geometric efficiency of eggshells with advanced composite materials, such as carbon fiber-reinforced ceramics, multi-layered composite shells can be developed to achieve a synergistic optimization of high strength and low density. Furthermore, real-time monitoring of the thickness distribution using non-destructive testing techniques, such as ultrasonic imaging, coupled with additive manufacturing to precisely repair weak areas, can significantly improve the structural uniformity. These strategies will effectively overcome the limitations of natural eggshell materials, promoting the advancement of biomimetic pressure shells for engineering applications in extreme deep-sea environments.
Author Contributions
H.K.: FE models, Methodology, Software operation, Data curation, Writing—original draft, Writing—review and editing. Y.H.: Validation, Methodology, Resources, Supervision, Writing—review and editing. S.K.: Investigation, Supervision, Visualization. X.H.: Methodology, Resource, Writing—review and editing. J.Z.: Supervision, Conceptualization, Methodology, Resources, Project administration, Funding acquisition, Writing—review and editing. All authors have read and agreed to the published version of the manuscript.
Funding
This research was supported by the National Natural Science Foundation of China (grant number: 52471285) and the Science Fund for Distinguished Young Scholars of Jiangsu Province (grant number: BK20230014).
Institutional Review Board Statement
Not applicable.
Informed Consent Statement
Not applicable.
Data Availability Statement
The original contributions presented in this study are included in the article.
Conflicts of Interest
The authors declare no conflict of interest.
References
- Mityay, I.S.; Matsyura, A.V.; State, A.; Academy, P. Geometrical Parameters of Eggs in Bird Systematics. Biol. Bull. 2024, 5486, 98–109. [Google Scholar]
- Rashidi, M.; Gholami, M.; Machinery, A.; Branch, T. Prediction of Egg Mass Based on Geometrical Attributes. Agric. Biol. J. N. Am. 2011, 2, 638–644. [Google Scholar] [CrossRef]
- Palombini, F.L. Bionics and Sustainable Design; Springer: Berlin/Heidelberg, Germany, 2022; ISBN 9789811918117. [Google Scholar]
- Hincke, M.T.; Nys, Y.; Gautron, J.; Mann, K.; Rodriguez-Navarro, A.B.; McKee, M.D. The Eggshell: Structure, Composition and Mineralization. Front. Biosci. 2012, 17, 1266–1280. [Google Scholar] [CrossRef]
- Hunton, P. Research on Eggshell Structure and Quality: An Historical Overview. Brazilian J. Poult. Sci. 2005, 7, 67–71. [Google Scholar] [CrossRef]
- Rodriguez-Navarro, A.; Kalin, O.; Garcia-Ruiz, Y.; Nys, J.M. Influence of the Microstructure on the Shell Strength of Eggs. Br. Poult. Sci. 2002, 43, 395–403. [Google Scholar] [CrossRef] [PubMed]
- Zhang, J.; Cheng, P.; Wang, F.; Tang, W.; Zhao, X. Hydroforming and Buckling of an Egg-Shaped Shell Based on a Petal-Shaped Preform. Ocean Eng. 2022, 250, 111057. [Google Scholar] [CrossRef]
- Zhang, J.; Wang, M.; Wang, W.; Tang, W. Buckling of Egg-Shaped Shells Subjected to External Pressure. Thin-Walled Struct. 2017, 113, 122–128. [Google Scholar] [CrossRef]
- Zhang, J.; Wang, M.; Cui, W.; Wang, F.; Hua, Z.; Tang, W. Effect of Thickness on the Buckling Strength of Egg-Shaped Pressure Hulls. Ships Offshore Struct. 2018, 13, 375–384. [Google Scholar] [CrossRef]
- Niu, F.; Lin, C.; Liao, H.; Zhang, B.; Zhang, J.; Pan, W. Food Hydrocolloids Formation Mechanism of Giant Squid Myofibrillar Protein Aggregates Induced by Egg White Protein during Heat Treatment. Food Hydrocoll 2025, 158, 110573. [Google Scholar] [CrossRef]
- Liu, G.; Wang, Z.; Huang, B.; Liu, S.; Huang, Y. Variable Thickness Optimization Design of Pressure Hull for Egg-Shaped Deep Submersible. Chin. Shipbuild. 2020, 61, 32–42. [Google Scholar]
- Zhang, J.; Hua, Z.; Tang, W.; Wang, F.; Wang, S. Buckling of Externally Pressurised Egg-Shaped Shells with Variable and Constant Wall Thicknesses. Thin-Walled Struct. 2018, 132, 111–119. [Google Scholar] [CrossRef]
- Imran, M.; Shi, D.; Tong, L.; Waqas, H.M.; Uddin, M. Design Optimization of Composite Egg-Shaped Submersible Pressure Hull for Minimum Buoyancy Factor. Def. Technol. 2021, 17, 1817–1832. [Google Scholar] [CrossRef]
- Yuan, S.; Gao, H. Study on Residual Strength of Egg-Shaped Pressure Shell with Local Damage. In Proceedings of the International Conference on Offshore Mechanics and Arctic Engineering, Scotland, UK, 9–14 June 2019; Volume 3, pp. 1–8. [Google Scholar] [CrossRef]
- Nedomova, S.; Severa, L.; Buchar, J. Influence of hen egg shape on eggshell compressive strength. Int. Agrophysics 2009, 23, 249–256. [Google Scholar]
- Huang, H.; Zou, M.S.; Jiang, L.W. Analysis of Characteristic of Acoustic Radiation from Axisymmetric Pressure-Resistant Egg-Shaped Shells in the Ocean Environment. Appl. Ocean Res. 2021, 116, 102890. [Google Scholar] [CrossRef]
- Hulls, E.C. Acoustic Radiation Research of Multiple Intersecting Bionic Egg-Shaped Compressive Hulls. Noise Vib. Contr. 2020, 40, 25–29. [Google Scholar]
- Wu, J.; Li, H.; Wang, W. Research on Underwater Acoustic Radiation Performance of Bionic Egg-Shaped Pressure Hull. Tech. Acoust. 2020, 39, 272–278. [Google Scholar]
- Wu, J.; Zhu, T.; Li, H.; Wang, W. Acoustic Target Strength Analysis of Composite Egg-Shaped Pressure Hulls. Compos. Sci. Eng. 2021, 1, 17–258. [Google Scholar] [CrossRef]
- Jacquet, N.; Tardif, N.; Elguedj, T.; Garnier, C. Buckling of Thick Elasto-Visco-Plastic Egg Shells under External Pressure: Experiments and Bifurcation Analysis. Int. J. Solids Struct. 2022, 257, 111591. [Google Scholar] [CrossRef]
- Rey-rey, J. Nature as a Source of Inspiration for the Structure of the Sydney Opera House. Biomimetics 2022, 7, 24. [Google Scholar] [CrossRef]
- Mayatskaya, I.A.; Yazyeva, S.B.; Lapina, A.P.; Davydova, V.V. Architectural Bionics and the Search for Optimal Solutions in the Unique Structures’ Design. IOP Conf. Ser. Mater. Sci. Eng. 2020, 913, 022070. [Google Scholar] [CrossRef]
- Zingoni, A. Shell Forms for Egg-Shaped Concrete Sludge Digesters: A Comparative Study on Structural Efficiency. Struct. Eng. Mech. 2005, 19, 321–336. [Google Scholar] [CrossRef]
- Zingoni, A. Stresses and Deformations in Egg-Shaped Sludge Digestors: Discontinuity Effects. Eng. Struct. 2001, 23, 1373–1382. [Google Scholar] [CrossRef]
- Zingoni, A. Stresses and Deformation in Egg-Shaped Sludge Digestors: Membrane Effects. Eng. Struct. 2001, 23, 1365–1372. [Google Scholar] [CrossRef]
- Boot, J.C.; Naqvi, M.M.; Gumbel, J.E. A New Method for the Structural Design of Flexible Liners for Gravity Pipes of Egg-Shaped Cross Section: Theoretical Considerations and Formulation of the Problem. Thin-Walled Struct. 2014, 85, 411–418. [Google Scholar] [CrossRef]
- Narushin, V.G.; Romanov, M.N.; Grif, D.K. Egg-Inspired Engineering in the Design of Thin-Walled Shelled Vessels: A Theoretical Approach for Shell Strength. Front. Bioeng. Biotechnol. 2022, 10, 995817. [Google Scholar] [CrossRef]
- Carter, T.C. The Hen’s Egg: Some Factors Affecting Deformation in Statically Loaded Shells. Br. Poult. Sci. 1970, 11, 15–38. [Google Scholar] [CrossRef]
- Richards, J.F.; Swanson, M.H. The Relationship of Egg Shape to Shell Strength. Poult. Sci. 1965, 44, 1555–1558. [Google Scholar] [CrossRef]
- Tyler, C.; Thomas, H.P. A Study of the Snapping Strength of Egg Shells and the Effect of Various Factors on It. Br. Poult. Sci. 1966, 7, 227–238. [Google Scholar] [CrossRef]
- Taylor, D.; Walsh, M.; Cullen, A.; O’Reilly, P. The Fracture Toughness of Eggshell. Acta Biomater. 2016, 37, 21–27. [Google Scholar] [CrossRef]
- Zhang, J.; Peng, W.; Tang, W.; Wang, M. Experimental Study on the Geometrical and Mechanical Properties of Goose Eggshells. Rev. Bras. Cienc. Avic./Brazilian J. Poult. Sci. 2017, 19, 455–464. [Google Scholar] [CrossRef]
- Chen, C.; Wang, X.; Liu, Y.; Li, Y.; Tang, K.; Qiu, X. Dynamic Fracture of Hen’s Eggshell under Impact Loading: A Combined Experimental, Theoretical and Numerical Study. Thin-Walled Struct. 2024, 203, 112192. [Google Scholar] [CrossRef]
- Cong, F.; Zhang, R.; Li, W.; Jin, Y.; Yu, G. Buckling Analysis of Moderately Thick Carbon Fiber Composite Cylindrical Shells under Hydrostatic Pressure. Appl. Ocean Res. 2024, 153, 104272. [Google Scholar] [CrossRef]
- Anderson, G.B.; Carter, T.C. The Hen’s Egg: Shell Cracking at Impact on a Heavy, Stiff Body and Factors That Affect It. Br. Poult. Sci. 1976, 17, 613–626. [Google Scholar] [CrossRef]
- Mustapha, K.B. Practical Finite Element Simulations with SOLIDWORKS 2022: An Illustrated Guide to Performing Static Analysis with SOLIDWORKS Simulation; Packt Publishing Ltd.: Birmingham, UK, 2022. [Google Scholar]
- Narushin, V.G.; Romanov, M.N.; Lu, G.; Cugley, J.; Griffin, D.K. Digital Imaging Assisted Geometry of Chicken Eggs Using Hu¨gelsch€affer’s Model. Biosyst. Eng. 2020, 197, 45–55. [Google Scholar] [CrossRef]
- Sedghi, M.; Ghaderi, M. Digital Analysis of Egg Surface Area and Volume: Effects of Longitudinal Axis, Maximum Breadth and Weight. Inf. Process. Agric. 2023, 10, 229–239. [Google Scholar] [CrossRef]
- Mohsenin, N.N. Physical Properties of Plant and Animal Material; Gordon and Breach: London, UK, 1970. [Google Scholar]
- Upadhyaya, S.K.; Cooke, J.R.; Gates, R.S.; Rand, R.H. A Finite Element Analysis of the Mechanical and Thermal Strength of Avian Eggs. J. Agric. Eng. Res. 1986, 33, 57–78. [Google Scholar] [CrossRef]
- Narushin, V.G. Shape Geometry of the Avian Egg. J. Agric. Eng. Res. 2001, 79, 441–448. [Google Scholar] [CrossRef]
- Nedomová, Š.; Buchar, J.; Strnková, J. Goose’s Eggshell Strength at Compressive Loading. Slovak J. Food Sci. 2014, 8, 54–61. [Google Scholar] [CrossRef]
- Entwistle, K.M.; Reddy, T.Y. The Fracture Strength under Internal Pressure of the Eggshell of the Domestic Fowl. Proc. R. Soc. B Biol. Sci. 1996, 263, 433–438. [Google Scholar] [CrossRef]
- JetBrains. (n.d.). PyCharm Documentation. Available online: https://www.jetbrains.com/help/pycharm/ (accessed on 9 February 2025).
- Saunders, L.J.; Russell, R.A.; Crabb, D.P. The Coefficient of Determination What Determines a Useful R2 Statistic. Investig. Ophthalmol. Vis. Sci. 2012, 53, 6830–6832. [Google Scholar] [CrossRef]
- Fu, X.; Mei, Z.; Bai, X.; Xia, Y.; Wang, S. Mechanical Properties and Optimal Configurations of Variable-Curvature Pressure Hulls Based on the Equal-Strength Shell Theory. Ocean Eng. 2022, 266, 112938. [Google Scholar] [CrossRef]
- Mushtari, H.M. On elastic equilibrium of a thin shell with initial irregularities of the form of amiddle surface. PMM. 1915, 15, 743–750. [Google Scholar]
- ABAQUS Inc. ABAQUS Analysis User’s Manual; Dassault Systèmes: Providence, RI, USA, 2016. [Google Scholar]
- EN 1993-1-6. E. Eurocode 3-Design of Steel Structures-Part 1-6 n.d: Strength and Stability of Shell Structures. 2009. Available online: https://standards.globalspec.com/std/10264139/en-1993-1-6 (accessed on 9 February 2025).
- China Classification Society. China Classification Society Rules for Classification of Diving Systems and Submersibles. 2018, pp. 1–127. Available online: https://max.book118.com/html/2024/0727/8122135016006115.shtm (accessed on 9 February 2025).
- Kang, H.; Zhang, J.; Hu, Y.; Zhan, M.; Zhao, X. Hydrostatic Failure Behavior of Externally Pressurized Ceramic Egg-Shaped Shells. Int. J. Press. Vessel. Pip. 2024, 212, 105313. [Google Scholar] [CrossRef]
- Zhang, J.; Hua, Z.; Wang, F.; Tang, W. Buckling of an Egg-Shaped Shell with Varying Wall Thickness under Uniform External Pressure. Ships Offshore Struct. 2019, 14, 559–569. [Google Scholar] [CrossRef]
- Wang, M.; Zhang, J.; Wang, W.; Tang, W. Linear and Nonlinear Elastic Buckling of Stereolithography Resin Egg-Shaped Shells Subjected to External Pressure. Thin-Walled Struct. 2018, 127, 516–522. [Google Scholar] [CrossRef]
Disclaimer/Publisher’s Note: The statements, opinions and data contained in all publications are solely those of the individual author(s) and contributor(s) and not of MDPI and/or the editor(s). MDPI and/or the editor(s) disclaim responsibility for any injury to people or property resulting from any ideas, methods, instructions or products referred to in the content. |
© 2025 by the authors. Licensee MDPI, Basel, Switzerland. This article is an open access article distributed under the terms and conditions of the Creative Commons Attribution (CC BY) license (https://creativecommons.org/licenses/by/4.0/).




















