Sign in to use this feature.

Years

Between: -

Subjects

remove_circle_outline
remove_circle_outline
remove_circle_outline
remove_circle_outline
remove_circle_outline
remove_circle_outline
remove_circle_outline
remove_circle_outline
remove_circle_outline

Journals

remove_circle_outline
remove_circle_outline
remove_circle_outline
remove_circle_outline
remove_circle_outline
remove_circle_outline
remove_circle_outline
remove_circle_outline
remove_circle_outline
remove_circle_outline
remove_circle_outline
remove_circle_outline
remove_circle_outline
remove_circle_outline

Article Types

Countries / Regions

remove_circle_outline
remove_circle_outline
remove_circle_outline
remove_circle_outline

Search Results (1,074)

Search Parameters:
Keywords = hydrostatic pressure

Order results
Result details
Results per page
Select all
Export citation of selected articles as:
11 pages, 1079 KB  
Article
Hydrostatic Pressure as a Sensing and Control Parameter for Fission-Nuclear Process
by Siya Lozanova, Avgust Ivanov and Chavdar Roumenin
Sensors 2026, 26(9), 2602; https://doi.org/10.3390/s26092602 - 23 Apr 2026
Abstract
This study proposes a novel physical effect arising in radioactive matter: initiation and control of a nuclear chain reaction through high hydrostatic pressure. We present the design of a compression-assisted reactor consisting of a titanium chamber with a cylindrical channel, which can be [...] Read more.
This study proposes a novel physical effect arising in radioactive matter: initiation and control of a nuclear chain reaction through high hydrostatic pressure. We present the design of a compression-assisted reactor consisting of a titanium chamber with a cylindrical channel, which can be filled with Deuterium in which Uranium 92U235 clusters are dissolved. External energy is introduced gradually via a hydraulic piston, which considerably simplifies the reactor mechanics. As hydrostatic pressure increases, the effective interatomic distance decreases due to the overlap of inner electron shells, significantly raising the probability that neutrons released from fissile nuclei will collide with neighboring atoms rather than escape the medium. The safety mechanism is intrinsic to the design: when pressure is reduced, the reactor shuts down autonomously without external intervention. The technical feasibility of the chamber was validated using a weakly compressible inert fluid mixture of kerosene and transformer oil, confirming that the required pressure regime of 200,000 atm is mechanically achievable. The principal anticipated advantage of this effect is the possibility for reduction in the critical mass required to sustain a chain reaction. It corresponds with diminution in the quantity of nuclear fuel needed. Future experiments with radioactive materials could be conducted to develop the proposed phenomenon. Full article
(This article belongs to the Section Physical Sensors)
Show Figures

Figure 1

20 pages, 11104 KB  
Article
Theoretical Analysis and Structural Optimization of Overload-Protected MEMS Hydrophones
by Yuhan Ren, Jinming Ti, Qingqing Fan, Yanfeng Huang and Junhong Li
Micromachines 2026, 17(4), 500; https://doi.org/10.3390/mi17040500 - 20 Apr 2026
Viewed by 172
Abstract
MEMS hydrophones, as critical sensors for maritime security and underwater information acquisition, have sensitive membrane structures that exhibit insufficient ability to withstand hydrostatic pressure, necessitating an overload-protection design. Based on buckling stability theory, a collaborative optimization method for overload-protection column design was proposed, [...] Read more.
MEMS hydrophones, as critical sensors for maritime security and underwater information acquisition, have sensitive membrane structures that exhibit insufficient ability to withstand hydrostatic pressure, necessitating an overload-protection design. Based on buckling stability theory, a collaborative optimization method for overload-protection column design was proposed, integrating theoretical analysis, finite-element simulation, and process feasibility. An optimized design scheme for hydrophone overload-protection columns was established by comprehensively considering geometric buckling-resistant design, micro-gap anti-adhesion requirements, minimal impact on sensitivity, and micro/nano-fabrication constraints. The results indicate that intermediate slenderness columns with radii between 5.5 μm and 7.5 μm sufficiently meet both fabrication and operational requirements, effectively providing overload protection. Furthermore, at water depths not exceeding 382 m, the MEMS hydrophone can maintain the integrity of its membrane structure without column buckling. Full article
(This article belongs to the Special Issue Advances in Acoustic and Vibration MEMS)
Show Figures

Figure 1

14 pages, 620 KB  
Article
Bacteriocin AS-48 and High Hydrostatic Pressure as Hurdles in a Vegetable Cream upon Temperature Abuse
by Javier Rodríguez López, Rosario Lucas López, Mᵃ José Grande Burgos, Antonio Gálvez and Rubén Pérez Pulido
Microorganisms 2026, 14(4), 892; https://doi.org/10.3390/microorganisms14040892 - 16 Apr 2026
Viewed by 214
Abstract
Refrigerated, ready-to-eat (RTE) vegetable foods are widely consumed. Microorganisms may proliferate in these foods during cold chain breaks, increasing the risks for food spoilage and foodborne disease. Despite the increasing use of novel non-thermal preservation technologies, the comprehensive impact of these hurdles on [...] Read more.
Refrigerated, ready-to-eat (RTE) vegetable foods are widely consumed. Microorganisms may proliferate in these foods during cold chain breaks, increasing the risks for food spoilage and foodborne disease. Despite the increasing use of novel non-thermal preservation technologies, the comprehensive impact of these hurdles on the broad taxonomic structural dynamics of the food microbiota during temperature abuse remains poorly understood. To address this gap, we determined the impact of bacteriocin AS-48 and a high hydrostatic pressure (HHP) treatment, both individually and in combination, on the microbial load and bacterial diversity of a refrigerated vegetable cream upon temperature abuse. Counts of aerobic mesophilic bacteria (37 °C, 24 h) increased significantly (p < 0.05) in controls during temperature abuse, but not in samples treated with bacteriocin, HHP or both. Amplicon-sequencing analysis indicated that the initial microbiota of control samples was composed mainly of Pseudomonadota (74.50%), followed by Bacillota (21.19%) and Actinobacteriota (3.69%). Bacillota became the predominant group during refrigerated storage (87.21 to 99.48%). After temperature abuse, control samples had lower relative abundances of Bacillota during storage and higher relative abundances of Pseudomonadota, Bacteroidota and Actinobacteriota. All treated samples (irrespective of the treatment) showed lower relative abundances of Bacillota during storage compared to untreated controls without temperature abuse. Genus Bacillus was the predominant group in the control samples during storage. Acinetobacter was associated with temperature abuse. In conclusion, both enterocin AS-48 and HHP can be effective hurdles, not only by preventing bacterial proliferation but also by influencing the dynamics of the microbial community associated with spoilage in vegetable creams exposed to inappropriate temperature conditions. Full article
(This article belongs to the Special Issue Advances in Food Microbial Biotechnology)
Show Figures

Figure 1

25 pages, 4082 KB  
Article
Time-Domain Hydroelastic Analysis of Floating Structures Under Nonlinear Shallow-Water Waves over Variable Bathymetry
by Xu Duan, Xiaoyu Chen, Yujin Dong and Yuwang Xu
J. Mar. Sci. Eng. 2026, 14(8), 729; https://doi.org/10.3390/jmse14080729 - 15 Apr 2026
Viewed by 272
Abstract
Photovoltaic systems deployed on large floating platforms in nearshore waters are strongly influenced by hydroelastic effects, nonlinear shallow-water waves, and variable bathymetry. This study develops a time-domain hydroelastic framework that couples the fully nonlinear non-hydrostatic wave model NHWAVE with a Rankine-source potential-flow solver [...] Read more.
Photovoltaic systems deployed on large floating platforms in nearshore waters are strongly influenced by hydroelastic effects, nonlinear shallow-water waves, and variable bathymetry. This study develops a time-domain hydroelastic framework that couples the fully nonlinear non-hydrostatic wave model NHWAVE with a Rankine-source potential-flow solver and a discrete-module Cummins formulation. The wave model provides incident pressures and kinematics over uneven seabeds, while the potential-flow solver evaluates radiation and diffraction effects and transfers the resulting hydrodynamic coefficients into the time domain. Numerical simulations are carried out for a 600 m modular floating structure under regular waves over flat and sloped bathymetries with tanα=0.0133, wave periods of 4–6 s, and wave heights of 0.3–1.0 m. The results show that bathymetric variation intensifies shoaling-induced excitation, modifies added-mass and damping distributions, increases the spatial non-uniformity of hydroelastic motions, and amplifies bending-moment RMS responses relative to the flat-bottom case. Additional comparisons between rigid-body and hydroelastic models show clear period-dependent redistribution of motions and bending demand. These results demonstrate that both local bathymetry and structural elasticity must be considered for the reliable analysis and design of nearshore floating photovoltaic systems and other large floating structures. Full article
(This article belongs to the Special Issue Advanced Analysis of Ship and Offshore Structures)
Show Figures

Figure 1

26 pages, 4506 KB  
Article
Fracture-Controlled Groundwater Dynamics and Hydrochemical Controls in Deep Urban Excavation
by Nagima Zhumadilova, Assel Mukhamejanova, Rafael Sungatullin, Portnov Vasiliy Sergeevich and Timoth Mkilima
Appl. Sci. 2026, 16(8), 3845; https://doi.org/10.3390/app16083845 - 15 Apr 2026
Viewed by 225
Abstract
The construction sector is experiencing increasing demand for deep underground structures in urban environments, where excavations frequently intersect fractured aquifers. Such conditions pose significant risks to structural stability and long-term durability due to groundwater inflow and elevated hydrostatic pressures. This study investigates the [...] Read more.
The construction sector is experiencing increasing demand for deep underground structures in urban environments, where excavations frequently intersect fractured aquifers. Such conditions pose significant risks to structural stability and long-term durability due to groundwater inflow and elevated hydrostatic pressures. This study investigates the influence of deep underground construction on fractured aquifer systems using the Abu Dhabi Plaza development in Kazakhstan as a case study. An integrated methodological approach combining hydrogeological monitoring, hydrochemical analysis, and engineering–geological testing was applied. Groundwater levels were monitored using observation wells, while triaxial and uniaxial compression tests were conducted to evaluate the mechanical properties of rock and soil materials. Hydraulic gradients, flow velocities, and hydrostatic pressures were estimated using Darcy’s law and the Boussinesq equation, supported by GIS-based spatial analysis. Groundwater mineralisation is consistently represented in this study by total dissolved solids (TDS), expressed in g/L. The results indicate that groundwater in the Quaternary aquifer is fresh to slightly mineralised, with TDS ranging from 0.47 to 1.50 g/L, whereas groundwater in the fractured Ordovician aquifer exhibits a more stable hydrochemical regime with TDS values of 0.72–0.73 g/L. Statistical analysis identifies two primary controls on groundwater chemistry: (i) natural geochemical processes associated with water–rock interaction and (ii) technogenic influences related to urban activities. Hydrodynamic calculations indicate a hydraulic gradient of approximately 0.136, a filtration velocity of about 0.35 m/day, well discharge reaching 0.11 L/s, and hydrostatic pressure ranging from 1.45 to 2.81 atm. Groundwater drawdown caused by excavation dewatering reached 29–30 m. The findings demonstrate that groundwater inflow is primarily controlled by fracture-controlled permeability and structural heterogeneity within the aquifer system. These results highlight the importance of integrated hydrogeological and hydrochemical assessment, in which TDS serves as the principal quantitative indicator of groundwater mineralisation, for the effective management of groundwater-related risks during deep underground construction. Full article
Show Figures

Figure 1

24 pages, 2071 KB  
Article
Effects of Thermal and Non-Thermal Pretreatments on the Drying Kinetics and Bioactive Compounds of the Chilean Mushroom Morchella conica
by Yanara Tamarit-Pino, Ociel Muñoz-Fariña, José Miguel Bastías-Montes, Roberto Quevedo-León, Olga García-Figueroa, Horacio Fraguela-Meissimilly, Marcia María Cabrera-Pérez and Carla Vidal-San Martín
Processes 2026, 14(8), 1251; https://doi.org/10.3390/pr14081251 - 14 Apr 2026
Viewed by 358
Abstract
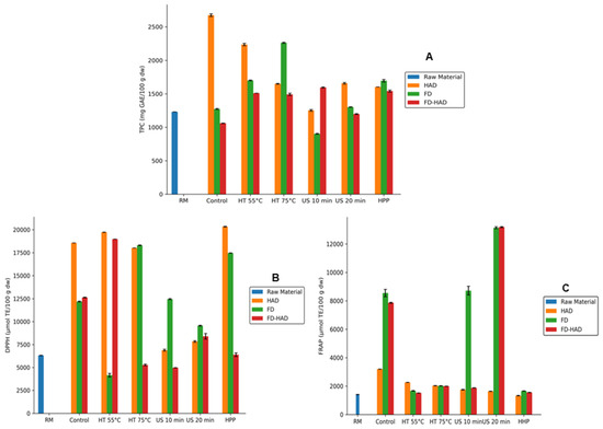
The effects of thermal and non-thermal pretreatments combined with different drying methods on the drying kinetics, physicochemical properties, and bioactive compounds of the Chilean wild mushroom Morchella conica were investigated. Fresh samples were subjected to hot-air drying (HAD, 60 °C), freeze-drying (FD), and [...] Read more.
The effects of thermal and non-thermal pretreatments combined with different drying methods on the drying kinetics, physicochemical properties, and bioactive compounds of the Chilean wild mushroom Morchella conica were investigated. Fresh samples were subjected to hot-air drying (HAD, 60 °C), freeze-drying (FD), and a hybrid process (FD–HAD), applied directly or after pretreatments including thermal pre-drying (55 and 75 °C), ultrasound (US, 10 and 20 min), and high hydrostatic pressure (HHP, 600 MPa). Drying curves were successfully fitted using the Weibull model (R2 > 0.987), showing that HAD combined with thermal and ultrasound pretreatments increased drying rates, while FD–HAD reduced total drying time. Freeze-drying better preserved color (ΔE < 2) and minimized shrinkage (<8%), whereas HAD produced darker samples and greater structural deformation. Water activity decreased below 0.30 in most treatments, ensuring microbiological stability. Thermal pretreatments enhanced total phenolic content, while FD preserved antioxidant capacity. Principal component analysis explained 62.2% of the total variance, revealing distinct quality profiles among drying methods. Overall, FD and hybrid FD–HAD combined with moderate pretreatments showed the best balance between drying efficiency and quality preservation, while HHP improved antioxidant properties under specific conditions. These findings highlight the potential of integrating innovative pretreatments with drying technologies to optimize processing of Morchella conica. Full article
Show Figures

Figure 1

24 pages, 4030 KB  
Article
A Feasibility Study of IoT-Based Classification of Residential Water-Use Activities in Storage Tank Systems: A Comparative Analysis of Decision Trees, Random Forest, SVM, KNN, and Neural Networks
by Iván Neftalí Chávez-Flores, Héctor A. Guerrero-Osuna, Jesuś Antonio Nava-Pintor, Fabián García-Vázquez, Luis F. Luque-Vega, Rocío Carrasco-Navarro, Marcela E. Mata-Romero, Jorge A. Lizarraga and Salvador Castro-Tapia
Technologies 2026, 14(4), 223; https://doi.org/10.3390/technologies14040223 - 13 Apr 2026
Viewed by 220
Abstract
The increasing scarcity of urban water resources, particularly in regions with intermittent supply and household water storage tanks, demands monitoring approaches capable of identifying end-use consumption patterns beyond aggregated volume measurements. Framed primarily as a feasibility study, this research presents an IoT-based framework [...] Read more.
The increasing scarcity of urban water resources, particularly in regions with intermittent supply and household water storage tanks, demands monitoring approaches capable of identifying end-use consumption patterns beyond aggregated volume measurements. Framed primarily as a feasibility study, this research presents an IoT-based framework for the automated classification of residential water consumption activities using water-level dynamics and supervised machine learning. A non-intrusive sensing architecture based on hydrostatic pressure measurements was deployed in a domestic water tank and integrated with a cloud-based data acquisition and processing platform. Five representative household states and activities were considered: tank refilling, stable state, toilet flushing, washing clothes, and taking a bath. A labeled dataset comprising 4396 consumption events was used to train and evaluate Decision Tree, Random Forest, Support Vector Machine (SVM), k-Nearest Neighbors, and Recurrent Neural Network (LSTM) models using features derived from water-level variations. All models achieved high performance, with accuracies above 0.92 and weighted F1-scores up to 0.93. The evaluated models showed highly comparable results, with the SVM (RBF) achieving a slightly higher accuracy (0.9307) in this evaluation setting, while ROC analysis showed AUC values between 0.97 and 1.00 across all classes, indicating strong discriminative capability. Additionally, specific activities such as washing clothes and tank refilling achieved precision and recall values above 0.95. These findings confirm that hydrostatic pressure-based sensing, combined with machine learning, enables reliable identification of domestic water-use events under intermittent supply conditions. The proposed approach provides actionable insights for demand management, leak detection, and user awareness, supporting more efficient and sustainable residential water consumption strategies. Full article
(This article belongs to the Special Issue AI for Smart Engineering Systems)
Show Figures

Figure 1

31 pages, 464 KB  
Hypothesis
Gravity as a Boundary Condition for the Evolution of Three-Dimensional Multicellularity
by Oliver Ullrich and Cora S. Thiel
Life 2026, 16(4), 638; https://doi.org/10.3390/life16040638 - 10 Apr 2026
Viewed by 599
Abstract
Life evolved under a persistent 1 g field that is continuous, ubiquitous, and directionally structured. Here, we synthesize evidence across evolutionary biology, mechanobiology, and genome architecture to propose gravity as a mechanical boundary condition that helped canalize the emergence of complex multicellularity. Order-of-magnitude [...] Read more.
Life evolved under a persistent 1 g field that is continuous, ubiquitous, and directionally structured. Here, we synthesize evidence across evolutionary biology, mechanobiology, and genome architecture to propose gravity as a mechanical boundary condition that helped canalize the emergence of complex multicellularity. Order-of-magnitude considerations indicate that gravity-derived hydrostatic loads can fall within force/pressure regimes relevant to nuclear and chromatin mechanosensitivity when transmitted through adhesion–cytoskeleton–LINC–lamina coupling. Comparative genomic and imaging frameworks suggest that complex animals increasingly rely on volumetric genome organization (packing domains and higher-order 3D architectures) that supports durable transcriptional memory and stable differentiated cell identities. Integrating these concepts with altered-gravity experiments, we argue that microgravity and hypergravity perturb chromatin topology and region-level transcription in rapid, largely reversible patterns consistent with a mechanically defined 1 g reference state. We advance a boundary-condition thesis: gravity is not a sole driver but a stable reference that likely contributed to the evolvability and long-term robustness of mechanogenomic architectures required for high-dimensional differentiation and tissue homeostasis. Full article
(This article belongs to the Section Cell Biology and Tissue Engineering)
Show Figures

Graphical abstract

12 pages, 969 KB  
Article
The Structural Optimum of Hydrostatic Thrust Bearings to Avoid Cavitation
by Huaiqing Lu, Chunlin Li, Haibo Liang and Zhuxin Tian
Lubricants 2026, 14(4), 160; https://doi.org/10.3390/lubricants14040160 - 8 Apr 2026
Viewed by 251
Abstract
Cavitation of oil film is harmful for all kinds of hydrostatic bearings, so the method to avoid cavitation in hydrostatic thrust bearings by optimizing the structure of bearings is proposed in this study. Based on the pressure distribution expressions of two kinds of [...] Read more.
Cavitation of oil film is harmful for all kinds of hydrostatic bearings, so the method to avoid cavitation in hydrostatic thrust bearings by optimizing the structure of bearings is proposed in this study. Based on the pressure distribution expressions of two kinds of hydrostatic thrust bearings (circular recess and no recess), considering the boundary conditions of pressure distribution, the threshold conditions to avoid cavitation are obtained. The reliability of these threshold conditions is illustrated by applying the threshold conditions to calculate the pressure distributions of hydrostatic thrust bearings. For hydrostatic thrust bearings with a non-dimensional recess radius larger than 0.607, an appropriate choice on the value of film thickness ratio could effectively avoid cavitation. If the non-dimensional recess radius of bearings is less than 0.607, the inertial parameter has a threshold value determined by recess radius, radius of supply hole, and film thickness ratio. For the bearing with no recess, the threshold value of inertial parameter is only determined by the radius of supply hole. And the results in this study could be applied for the design of hydrostatic thrust bearing to avoid cavitation. Full article
Show Figures

Figure 1

38 pages, 5611 KB  
Review
Comprehensive Study and Analysis of Tapping and Nut Bolt Joints Used in Subsea Applications
by Vipul Mehta, Jitendra Yadav, Varun Pratap Singh, Tabrej Khan and Tamer A. Sebaey
J. Manuf. Mater. Process. 2026, 10(4), 120; https://doi.org/10.3390/jmmp10040120 - 30 Mar 2026
Viewed by 607
Abstract
Threaded fasteners and tapping joints are essential for the structural integrity and leak-proof performance of subsea systems subjected to high external pressure, aggressive corrosion, and complex cyclic loading. This study presents a comprehensive, systematically structured review of experimental, analytical, and numerical investigations of [...] Read more.
Threaded fasteners and tapping joints are essential for the structural integrity and leak-proof performance of subsea systems subjected to high external pressure, aggressive corrosion, and complex cyclic loading. This study presents a comprehensive, systematically structured review of experimental, analytical, and numerical investigations of nut–bolt and threaded connections used in deep- and ultra-deepwater applications. The literature is classified based on governing performance parameters, including thread engagement mechanics, preload retention, fracture behavior, corrosion–fatigue interaction, material evolution, and environmental effects such as hydrostatic pressure and thermal gradients. Experimental observations are critically synthesized with finite element modeling to interpret stress distributions, failure mode transitions, and sealing reliability. A comparative material selection framework is developed by linking conventional carbon steels with advanced alloys such as duplex stainless steels, titanium, and nickel-based materials for long-term subsea service. The novelty of this review lies in the development of an integrated, design-oriented framework that unifies engagement optimization, preload control, fracture modeling strategies, material selection, and environmental coupling into a single engineering interpretation for subsea fastening systems, which has not been collectively addressed in previous studies. The presented synthesis provides direct application guidelines for improving the design, analysis, and operational reliability of subsea bolted joints. Full article
Show Figures

Graphical abstract

19 pages, 4354 KB  
Article
Empirical Formula for Estimating Collapse Pressure of Dented Sandwich Pipes
by Zijian Zheng, Yihao Hu, Guangming Fu, Ming Song and Segen F. Estefen
J. Mar. Sci. Eng. 2026, 14(7), 631; https://doi.org/10.3390/jmse14070631 - 30 Mar 2026
Viewed by 388
Abstract
Deepwater sandwich pipes (SPs) offer high collapse resistance and thermal insulation, making them promising for hydrocarbon transport under high-pressure and low-temperature conditions. However, mechanical damage such as local dents increases cross-sectional ovality and can substantially degrade their external pressure capacity. This study develops [...] Read more.
Deepwater sandwich pipes (SPs) offer high collapse resistance and thermal insulation, making them promising for hydrocarbon transport under high-pressure and low-temperature conditions. However, mechanical damage such as local dents increases cross-sectional ovality and can substantially degrade their external pressure capacity. This study develops a numerical model using ABAQUS to assess the collapse pressure of dented deepwater SPs under hydrostatic loading. The model is validated against existing reference data. A total of 2316 FE models are constructed to investigate the effects of material properties, geometric configurations, and dent characteristics on collapse performance. Results show that the collapse pressure decreases significantly with increasing dent depth, and spherical dents have a more pronounced effect than planar dents. Enhanced collapse resistance is observed as both the thickness ratio and the core thickness of the sandwich structure increase. The use of higher-strength materials in the core layer and the internal and external layers also improves compressive capacity. Drawing on these results, a simplified formula for estimating the collapse pressure of dented sandwich pipes is proposed. Full article
Show Figures

Figure 1

16 pages, 2377 KB  
Article
Pressure-Dependent Structural, Electronic, Mechanical, and Optical Properties of Cs2SeCl6: A DFT Simulation
by Na Dong, Yiping Pang, Shuai Xue, Jing Wang, Jiancai Leng, Chuanfu Cheng and Hong Ma
Chemistry 2026, 8(4), 39; https://doi.org/10.3390/chemistry8040039 - 27 Mar 2026
Viewed by 387
Abstract
Based on density functional theory, the structural, mechanical, and photoelectric properties of the perovskite material Cs2SeCl6 were systematically studied under pressures ranging from 0 to 50 GPa. Analysis of structural parameters indicates that the lattice constant, unit cell volume, and [...] Read more.
Based on density functional theory, the structural, mechanical, and photoelectric properties of the perovskite material Cs2SeCl6 were systematically studied under pressures ranging from 0 to 50 GPa. Analysis of structural parameters indicates that the lattice constant, unit cell volume, and bond length decrease progressively with increasing pressure. Notably, the material maintains structural stability across the entire pressure range. Electronic property calculations show that Cs2SeCl6 retains an indirect band gap under pressure, with the band gap value monotonically decreasing as pressure increases. The orbital contributions remain almost unchanged at different pressures. The conduction band is mainly composed of Cl-p and Se-p orbitals, while the valence band is dominated by Cl-p orbitals. The analysis of the effective mass indicates that the transport capability of charge carriers is enhanced under compression. Mechanical stability and ductility were evaluated by calculating the elastic constants and derived mechanical moduli, confirming that the material remains mechanically stable under high pressure. Optical properties were investigated by computing the dielectric function, reflectivity, refractive index, optical absorption coefficient, and extinction coefficient. Collectively, the findings of this work demonstrate that the pressurized Cs2SeCl6 exhibits excellent structural robustness, improved charge transport, and promising photoelectric performance, making it a strong candidate for applications in solar cells and other photoelectronic devices. Full article
(This article belongs to the Section Theoretical and Computational Chemistry)
Show Figures

Figure 1

21 pages, 1604 KB  
Article
Enhancing Hydrogenotrophic Methanation in a Bentonite-Amended Bubble Reactor Under Mesophilic Conditions
by Apostolos Spyridonidis and Katerina Stamatelatou
Energies 2026, 19(7), 1613; https://doi.org/10.3390/en19071613 - 25 Mar 2026
Viewed by 285
Abstract
This study explores the use of bentonite to enhance biological biogas upgrading in a bubble reactor (BR) operated under mesophilic conditions (39 ± 1 °C). The experimental setup consisted of a 2 L vertically oriented BR (height-to-diameter ratio 16:1) fed with a synthetic [...] Read more.
This study explores the use of bentonite to enhance biological biogas upgrading in a bubble reactor (BR) operated under mesophilic conditions (39 ± 1 °C). The experimental setup consisted of a 2 L vertically oriented BR (height-to-diameter ratio 16:1) fed with a synthetic gas mixture (60% H2, 15% CO2, 25% CH4, v/v) at a gas recirculation rate of 4 L LR−1 h−1. The aim was to overcome hydrogen’s low gas–liquid mass transfer rate while avoiding the operational challenges typically associated with trickle-bed reactors (TBR). Bentonite increases the density and hydrostatic pressure of the liquid medium and likely alters its rheology, thereby extending the gas–liquid contact time without requiring elevated pressures or intensive gas recirculation. Additionally, bentonite is expected to provide microstructural support that promotes the formation of biofilm-like communities, creating favorable microenvironments for hydrogenotrophic methanogens. As a clay-based additive, bentonite may also contribute to improved process stability through adsorption of inhibitory compounds, enhanced biomass retention, and pH buffering. Under mesophilic conditions, the bentonite-modified BR achieved a methane production rate of 2.17 ± 0.06 LCH4 LR−1 d−1 at a gas retention time of 1.49 h, with methane purity reaching 96.25%. In comparison, a previously reported mesophilic BR operated under an identical reactor configuration and operating conditions but without bentonite exhibited substantially lower methane production rates, supporting the beneficial role of bentonite in biological methanation. The findings highlight bentonite’s potential dual role (physical and biological) in improving process efficiency and stability in biological methanation. Full article
Show Figures

Figure 1

21 pages, 4517 KB  
Article
Deformation Characteristics and Optimization of Waterproof Joints in CFRDs Founded on Deep Overburden
by Boyuan Liu, Feng Wang, Kai Chen, Tailai Wang and Zhuo Zhang
Appl. Sci. 2026, 16(6), 3012; https://doi.org/10.3390/app16063012 - 20 Mar 2026
Viewed by 191
Abstract
The safety of waterproof joints in concrete-faced rockfill dams (CFRDs) founded on deep overburden was determined during construction, impoundment, and sedimentation periods, employing the flexible FEM-NSBPFEM coupled method. Through eleven numerical scenarios, critical deformation zones are identified, and the effects of upper soil [...] Read more.
The safety of waterproof joints in concrete-faced rockfill dams (CFRDs) founded on deep overburden was determined during construction, impoundment, and sedimentation periods, employing the flexible FEM-NSBPFEM coupled method. Through eleven numerical scenarios, critical deformation zones are identified, and the effects of upper soil loads (upstream weighting and sedimentation) and cutoff wall design plans on the key joint between the connecting plate and the cutoff wall (J1) are systematically evaluated. The principal findings reveal that: (1) Joint deformation is dominated by vertical shear, primarily localized at J1, with the shear deformation at J1 reaching approximately 15 cm when the height of the upper soil load reaches 40 m. (2) Upper soil loads exert a greater influence on J1 shear deformation than hydrostatic pressure. (3) Increasing sedimentation loads cause J1 shear deformation to initially mirror impoundment trends before undergoing a sharp surge, and the effect is exacerbated by higher upstream weighting loads. (4) Shear deformation varies markedly between closed and suspended cutoff walls, whereas variations among different suspended wall designs are smaller. Based on these mechanical insights, two optimization schemes for the impermeable system are proposed, effectively constraining joint shear and opening displacements to within 4 cm. These findings provide critical guidance for the reliability analysis and design optimization of CFRD impermeable systems in deep overburden environments. Full article
(This article belongs to the Topic Hydraulic Engineering and Modelling)
Show Figures

Figure 1

18 pages, 6946 KB  
Article
Packing Geometry and Polymer Material Effects on Sealing of a PN650 Hydrogen Service Needle Valve: Vacuum/Helium Leak Screening and 650 Bar Hydrogen Cycling
by Enric Palau Forte and Francesc Medina Cabello
Hydrogen 2026, 7(1), 41; https://doi.org/10.3390/hydrogen7010041 - 20 Mar 2026
Viewed by 352
Abstract
External leakage from valve stem packings is a critical safety and reliability issue in high-pressure hydrogen systems. This work aims to quantify how packing geometry and polymer selection influence stem sealing in a PN650 needle valve (316L body and stem). Two geometries were [...] Read more.
External leakage from valve stem packings is a critical safety and reliability issue in high-pressure hydrogen systems. This work aims to quantify how packing geometry and polymer selection influence stem sealing in a PN650 needle valve (316L body and stem). Two geometries were compared: a conical V-ring (chevron style) stack and a flat three-disc stack. Two polymer material sets were assessed: Vespel® polyimide (SP-1/SP-21) and a glass-filled PTFE sealing element combined with a virgin PEEK back-up ring. Four assemblies (one per geometry/material combination) were first screened by hydrostatic pressure hold testing up to 1500 bar and by helium mass spectrometer leak measurements under vacuum. All assemblies sustained the hydrostatic overpressure hold with negligible decay. Vacuum helium screening produced leak rates between 3.7 × 10−10 and 9.5 × 10−10 mbar·l·s−1, with the conical V-ring geometry consistently outperforming the disc stack. A more demanding helium test at 700 bar with external vacuum yielded leak rates of 3.6–3.7 × 10−8 mbar·l·s−1, for conical assemblies. Based on the screening results and practical industrial considerations, the PTFE/PEEK conical configuration was selected for endurance testing and completed 2500 open/close cycles in 650 bar hydrogen without gland readjustment. Post-cycling checks confirmed continued tightness, including a qualitative helium pressure hold result near 700 bar and 0 bubbles in 10 min in the seat tightness test. Microscopy/EDX revealed limited wear with minor metallic transfer. The proposed multi-stage workflow provides a pragmatic route for the early qualification of stem packings for high-pressure hydrogen valves. Full article
Show Figures

Figure 1

Back to TopTop