Enhancing Aerodynamic Performance of Horizontal Axis Wind Turbine Blade Aerodynamic Performance Under Rough Wall Condition Using Vortex Generators
Abstract
1. Introduction
2. Research Objects and Methods
2.1. Research Objects
2.2. Wind Tunnel Experiment
2.3. CFD Numerical Calculations
3. Results and Discussions
3.1. Comparative Analysis of Airfoil Results
3.1.1. Accuracy Analysis on the and
3.1.2. Accuracy Analysis on the of Local AOA
3.2. Analysis of Airfoil Calculation Results
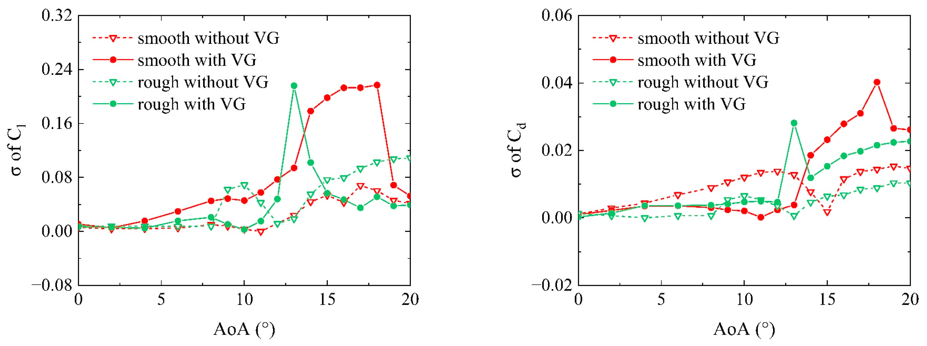
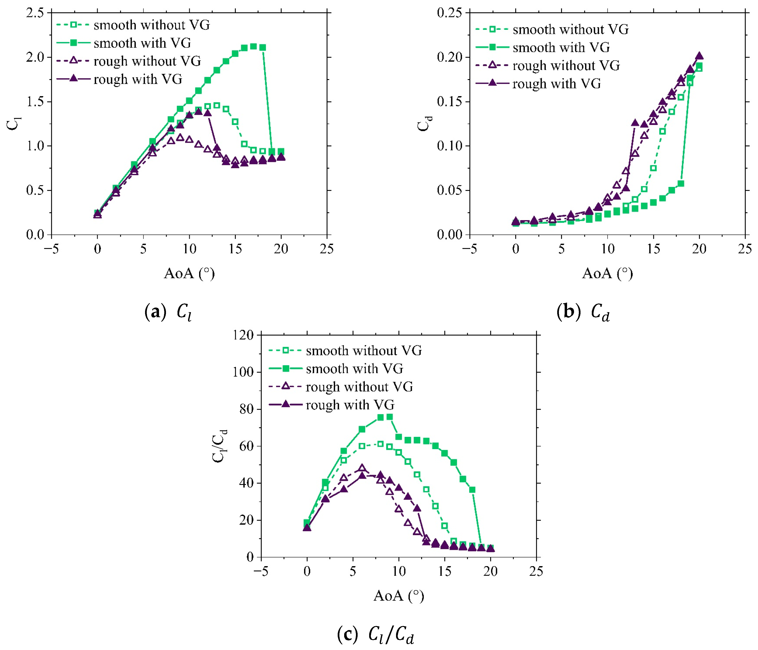
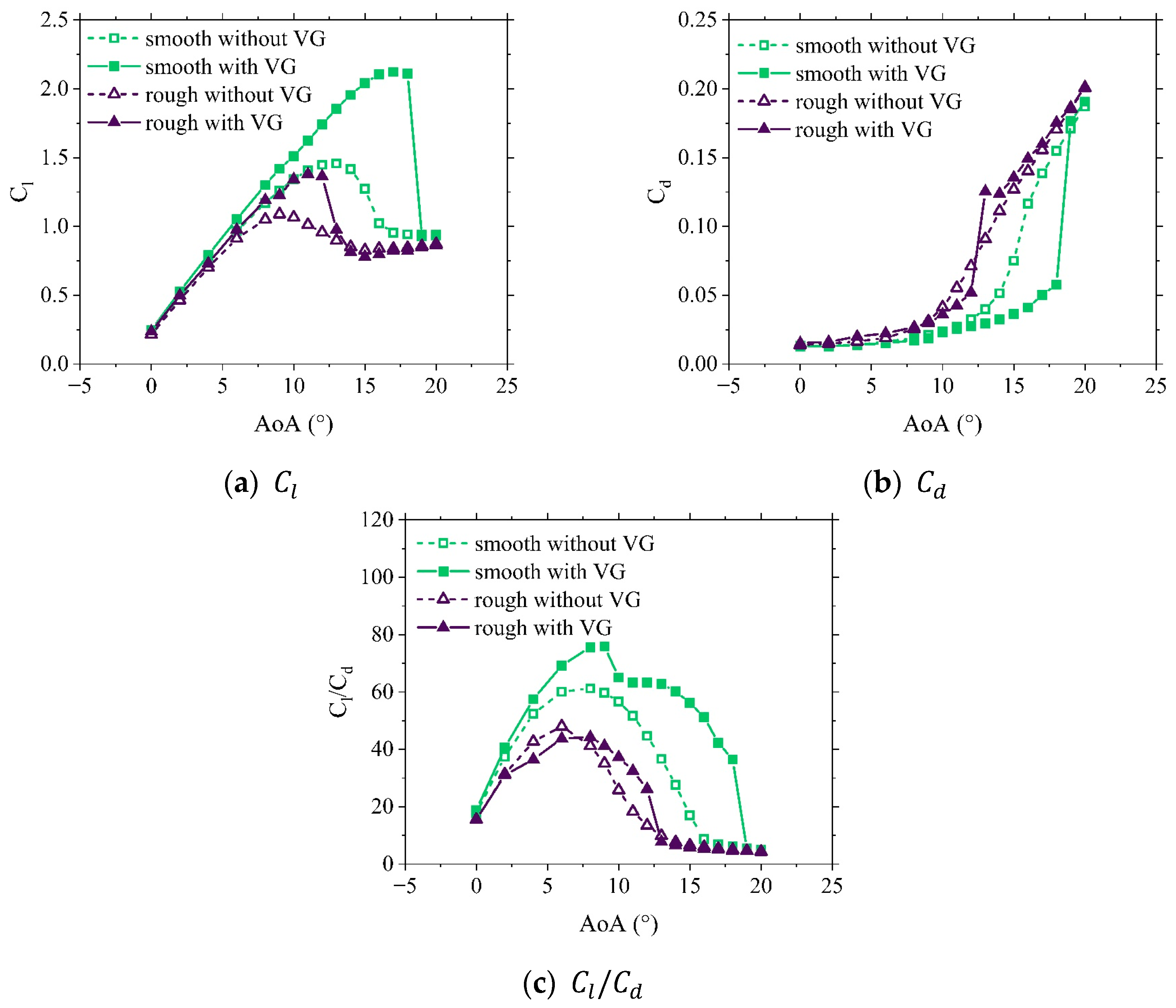
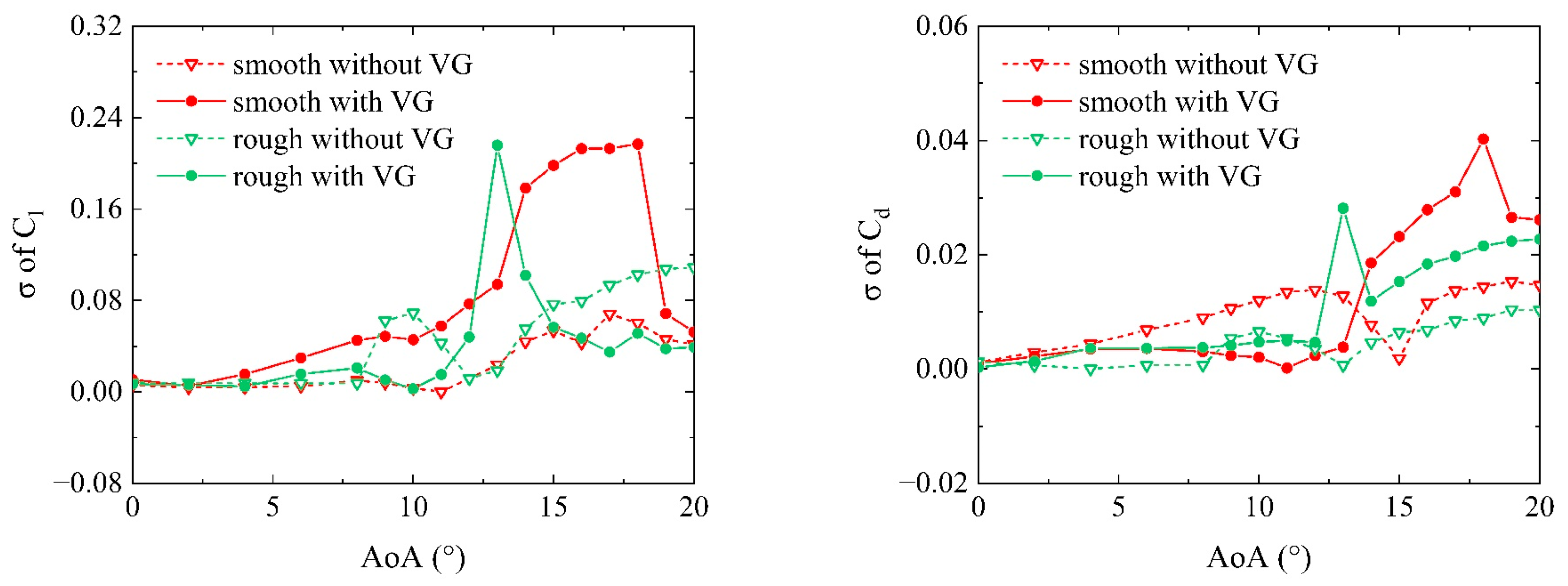
3.2.1. Impact of VG on the Aerodynamic Performance of Airfoil
3.2.2. Analysis of the Flow Development in the Airfoil Flow Field
3.3. Comparative Analysis of Blade Results
3.4. Analysis of Blade Calculation Results
3.4.1. Impact of VG on the Blade Aerodynamic Performance
3.4.2. Detailed Analysis of the Blade in the Spanwise Direction
3.5. Discussion
4. Conclusions
Author Contributions
Funding
Institutional Review Board Statement
Informed Consent Statement
Data Availability Statement
Conflicts of Interest
References
- Ladenburg, J.; Moller, B. Attitude and acceptance of offshore wind farms-The influence of travel time and wind farm attributes. Renew. Sustain. Energy Rev. 2011, 15, 4223–4235. [Google Scholar] [CrossRef]
- Wu, X.; Hu, Y.; Li, Y.; Yang, J.; Duan, L.; Wang, T.; Adcock, T.; Jiang, Z.; Gao, Z.; Lin, Z.; et al. Foundations of offshore wind turbines: A review. Renew. Sustain. Energy Rev. 2019, 104, 379–393. [Google Scholar] [CrossRef]
- Bashetty, S.; Ozcelik, S. Review on Dynamics of Offshore Floating Wind Turbine Platforms. Energies 2021, 14, 6026. [Google Scholar] [CrossRef]
- Global Wind Energy Council (GWEC). Global Wind Report 2024; GWEC: Brussels, Belgium, 2024. [Google Scholar]
- Guo, X.; Li, Y.; Li, R.; Ma, Y.; Wei, K. A Wind Tunnel Experimental Study on the Wake Characteristics of a Horizontal Axis Wind Turbine. J. Therm. Sci. 2025, 34, 145–158. [Google Scholar] [CrossRef]
- Veers, P.; Dykes, K.; Lantz, E.; Barth, S.; Bottasso, C.L.; Carlson, O.; Clifton, A.; Green, J.; Green, P.; Holttinen, H.; et al. Grand challenges in the science of wind energy. Science 2019, 366, 443. [Google Scholar] [CrossRef]
- Mishnaevsky, L.; Kuthe, N.; Tempelis, A.; Mahajan, P. Complex damage mechanisms and roughness evolution of wind turbine blade surface: Multiphysics and stochastic effect modelling. IOP Conf. Ser. Mater. Sci. Eng. 2023, 1293, 012013. [Google Scholar] [CrossRef]
- Tempelis, A.; Mishnaevsky, L., Jr. Erosion modelling on reconstructed rough surfaces of wind turbine blades. Wind Energy 2023, 26, 1017–1026. [Google Scholar] [CrossRef]
- Ge, M.; Sun, H.; Meng, H.; Li, X. An improved B-L model for dynamic stall prediction of rough-surface airfoils. Renew. Energy 2024, 226, 120371. [Google Scholar] [CrossRef]
- Timmer, W.A.; van Rooij, R. Summary of the Delft University wind turbine dedicated airfoils. J. Sol. Energy Eng. Trans. Asme 2003, 125, 488–496. [Google Scholar] [CrossRef]
- Baldacchino, D.; Ferreira, C.; De Tavernier, D.; Timmer, W.A.; van Bussel, G.J.W. Experimental parameter study for passive vortex generators on a 30% thick airfoil. Wind Energy 2018, 21, 745–765. [Google Scholar] [CrossRef]
- van Rooij, R.; Timmer, W. Roughness sensitivity considerations for thick rotor blade airfoils. J. Sol. Energy Eng.-Trans. Asme 2003, 125, 468–478. [Google Scholar] [CrossRef]
- Vire, A.; LeBlanc, B.; Steiner, J.; Timmer, N. Experimental study of the effect of a slat on the aerodynamic performance of a thick base airfoil. Wind Energy Sci. 2022, 7, 573–584. [Google Scholar] [CrossRef]
- Baker, J.P.; Mayda, E.A.; van Dam, C.P. Experimental analysis of thick blunt trailing-edge wind turbine airfoils. J. Sol. Energy Eng. Trans. ASME 2006, 128, 422–431. [Google Scholar] [CrossRef]
- Nia, B.B.; Ja’fari, M.; Ranjbar, A.R.; Jaworski, A.J. Passive control of boundary layer flow separation on a wind turbine airfoil using vortex generators and slot. Ocean Eng. 2023, 283, 115170. [Google Scholar]
- Abdullah, M.; Galib, M.T.; Khan, S.A.; Rahman, T.; Hossain, M. Recent advancements in flow control using plasma actuators and plasma vortex generators. Heat Transf. 2024, 53, 4244–4267. [Google Scholar] [CrossRef]
- Chen, M.; Zhao, Z.; Liu, H.; Wang, T.; Meng, L.; Feng, J.; Jiang, R.; Wang, D. Research on the Parametric Modelling Approach of Vortex Generator on Wind Turbine Airfoil. Front. Energy Res. 2021, 9, 726721. [Google Scholar] [CrossRef]
- Zhao, Z.; Jiang, R.; Feng, J.; Liu, H.; Wang, T.; Shen, W.; Chen, M.; Wang, D.; Liu, Y. Researches on vortex generators applied to wind turbines: A review. Ocean Eng. 2022, 253, 111266. [Google Scholar] [CrossRef]
- Akhter, M.Z.; Shaaban, A.; Marini, A. Enhancing Power Output of Ducted Wind Turbines through Flow Control. In Proceedings of the Conference on Science of Making Torque from Wind (TORQUE), Florence, Italy, 29–31 May 2024. [Google Scholar]
- Li, S.; Zhang, L.; Xu, J.; Yang, K.; Song, J.; Guo, G. Experimental investigation of a pitch-oscillating wind turbine airfoil with vortex generators. J. Renew. Sustain. Energy 2020, 12, 063304. [Google Scholar] [CrossRef]
- Ozden, M.; Genc, M.S.; Koca, K. Passive Flow Control Application Using Single and Double Vortex Generator on S809 Wind Turbine Airfoil. Energies 2023, 16, 5339. [Google Scholar] [CrossRef]
- Li, X.; Yang, K.; Wang, X. Experimental and Numerical Analysis of the Effect of Vortex Generator Height on Vortex Characteristics and Airfoil Aerodynamic Performance. Energies 2019, 12, 959. [Google Scholar] [CrossRef]
- Gao, C.; Jia, Y.-Y.; Li, M.; Wang, W.W.; Tan, D.; Li, Z.-Y. Effect of Vortex Generations on Aerodynamic Performance of Rough Wind Turbine Airfoil. J. Nanoelectron. Optoelectron. 2024, 19, 222–231. [Google Scholar] [CrossRef]
- Gao, L.; Zhang, H.; Liu, Y.; Han, S. Effects of vortex generators on a blunt trailing-edge airfoil for wind turbines. Renew. Energy 2015, 76, 303–311. [Google Scholar] [CrossRef]
- Zhu, C.; Feng, Y.; Shen, X.; Dang, Z.; Chen, J.; Qiu, Y.; Feng, Y.; Wang, T. Effects of the height and chordwise installation of the vane-type vortex generators on the unsteady aerodynamics of a wind turbine airfoil undergoing dynamic stall. Energy 2023, 266, 126418. [Google Scholar] [CrossRef]
- Zhu, C.; Chen, J.; Qiu, Y.; Wang, T. Numerical investigation into rotational augmentation with passive vortex generators on the NREL Phase VI blade. Energy 2021, 223, 120089. [Google Scholar] [CrossRef]
- Sahoo, A.; Ferreira, C.S.; Yu, W. Assessing the impact of vortex generators on the dynamic stall behaviour of a thick airfoil. In Proceedings of the Conference on Science of Making Torque from Wind (TORQUE), Florence, Italy, 29–31 May 2024. [Google Scholar]
- Jiang, R.; Zhao, Z.; Liu, Y.; Liu, H.; Ma, Y.; Wang, T.; Feng, J.; Wang, D.; Li, S.; Luo, Q. Effect of vortex generator orientation on wind turbines considering the three-dimensional rotational effect. Ocean Eng. 2023, 267, 113307. [Google Scholar] [CrossRef]
- Jiang, R.; Zhao, Z.; Liu, H.; Wang, T.; Chen, M.; Feng, J.; Wang, D. Numerical study on the influence of vortex generators on wind turbine aerodynamic performance considering rotational effect. Renew. Energy 2022, 186, 730–741. [Google Scholar] [CrossRef]
- Seel, F.; Lutz, T.; Kraemer, E. Numerical study of the unsteady blade root aerodynamics of a 2 MW wind turbine equipped with vortex generators. Wind Energy Sci. 2023, 8, 1369–1385. [Google Scholar] [CrossRef]
- Baldacchino, D.; Manolesos, M.; Ferreira, C.; Gonalez Salcedo, A.; Aparicio, M.; Chaviaropoulos, T.; Diakakis, K.; Florentie, L.; Garcia, N.R.; Papadakis, G.; et al. Experimental benchmark and code validation for airfoils equipped with passive vortex generators. In Proceedings of the Conference on Science of Making Torque from Wind (TORQUE), Munich, Germany, 5–7 October 2016. [Google Scholar]
- Suresh, T.; Flaszynski, P.; Carpio, A.R.; Kurowski, M.; Piotrowicz, M.; Szulc, O. Aeroacoustic effect of boundary layer sepa-ration control by rod vortex generators on the DU96-W-180 airfoil. J. Fluids Struct. 2024, 127, 104133. [Google Scholar] [CrossRef]
- Palanivel, H.; Mukherjee, R. Airfoil-shaped vortex generators for separation control and drag reduction on wind turbine blades. Acta Mech. 2024, 235, 7765–7787. [Google Scholar] [CrossRef]
- Zhang, L.; Li, X.; Yang, K.; Xue, D. Effects of vortex generators on aerodynamic performance of thick wind turbine airfoils. J. Wind Eng. Ind. Aerodyn. 2016, 156, 84–92. [Google Scholar] [CrossRef]
- Lee, H.M.; Kwon, O.J. Numerical Simulation of Horizontal Axis Wind Turbines with Vortex Generators. Int. J. Aeronaut. Space Sci. 2019, 20, 325–334. [Google Scholar] [CrossRef]
- Qing, T.; Corson, D.; Baker, J. Application of Vortex Generators to Wind Turbine Blades. In Proceedings of the 34th Wind Energy Symposium, San Diego, CA, USA, 4–8 January 2016; pp. 1–14. [Google Scholar]
- Hasan, A.S.S.; Abousabae, M.; Al Hamad, S.; Amano, R.S.S. Experimental and Numerical Investigation of Vortex Generators and Winglets in Horizontal Axis Wind Turbine Blade Design. J. Energy Resour. Technol. Trans. Asme 2023, 145, 011301. [Google Scholar] [CrossRef]
- Li, Q.A.; Kamada, Y.; Maeda, T.; Murata, J.; Nishida, Y. Visualization of the flow field and aerodynamic force on a Horizontal Axis Wind Turbine in turbulent inflows. Energy 2016, 111, 57–67. [Google Scholar] [CrossRef]
- Bai, J.; Zhang, L.; Yang, K.; Zhao, D.; Xu, J. Interactive Effects of Wind Tunnel Sidewalls on Flow Structures around 2D Airfoil Model. J. Therm. Sci. 2023, 32, 708–717. [Google Scholar] [CrossRef]
- Rezaeiha, A.; Montazeri, H.; Blocken, B. CFD analysis of dynamic stall on vertical axis wind turbines using Scale-Adaptive Simulation (SAS): Comparison against URANS and hybrid RANS/LES. Energy Convers. Manag. 2019, 196, 1282–1298. [Google Scholar] [CrossRef]
- Yassin, K.; Kassem, H.; Stoevesandt, B.; Klemme, T.; Peinke, J. Numerical Simulation of Roughness Effects of Ice Accretion on Wind Turbine Airfoils. Energies 2022, 15, 8145. [Google Scholar] [CrossRef]
- Fluent, A. Ansys Fluent Theory Guide; Ansys Inc.: Canonsburg, PA, USA, 2011; Volume 15317, pp. 724–746. [Google Scholar]
- Timmer, W.A.; Rooij, R.P. Some aspects of high angle-of-attack flow on airfoils for wind turbine application. In Proceedings of the European Wind Energy Conference and Exhibition, Copenhagen, Denmark, 2–6 July 2001. [Google Scholar]























| Object | Investigators | Approaches | Main Content |
|---|---|---|---|
| DU96-W-180 airfoil | Suresh et al. [32] | Particle Image Velocimetry (PIV) | An assessment of the impact of VGs on the far-field noise emission is conducted for the airfoil. |
| DU93-W-210 airfoil | Li et al. [22] | wind tunnel and CFD | The effects of VG height have been studied. |
| DU91-W2-250 airfoil | Chen et al. [17] | CFD | A novel VG parametric model was proposed. |
| DU91-W2-250 airfoil | Li et al. [20] | wind tunnel | The influence of VG on the dynamic stall of airfoil is revealed. |
| DU97-W-300 airfoil | Baldacchino et al. [11] | oil film method | The flow of the airfoil suction surface is controlled through the VG. |
| DU97-W-300 airfoil | Nia et al. [15] | CFD | Passive control of boundary layer flow separation using VG and slot |
| DU97-W-300 airfoil | Sahoo et al. [27] | wind tunnel | The effect of VG on the dynamic stall of airfoil was studied. |
| DU97-W-300 airfoil | Gao et al. [24] | CFD | The effect of VG height on lift and drag was explored. |
| DU97-W-300 airfoil and NREL S809 airfoil | Zhu et al. [25] | CFD | Effect of VG on the suppression of dynamic stalls was studied. |
| NREL S809 airfoil | Ozden et al. [21] | CFD | The effects of single-row VG and double-column VG on flow were studied. |
| NREL S809 airfoil | Palanivel et al. [33] | wind tunnel and CFD | The effect of VG with different geometries on blade performance was studied. |
| Airfoils of CAS-W2-350, CAS-W2-400, and CAS-W1-450 | Zhang et al. [34] | wind tunnel | The effect of VG arrangement on the performance of different thicknesses airfoils was explored |
| NREL phase VI blade | Jiang et al. [28,29] | CFD | Effect of VG on the blade aerodynamic performance was studied under the three-dimensional rotation effect |
| NREL phase VI blade | Zhu et al. [26] | CFD | The effect of VG on the radial flow of blades was explored. |
| NREL 5 MW wind turbine | Lee et al. [35] | CFD | The increase of the maximum power of the counterrotating VG has been studied. |
| NREL 5 MW wind turbine | Tian et al. [36] | CFD | The impact of the scope of VG installation on the annual power generation was studied. |
| A generic 2MW horizontal axis wind turbine | Seel et al. [30] | BAY (Bender–Anderson–Yagle)-type model | The change of VG on blade root loading was evaluated. |
| GOE 447 blades | Hasan et al. [37] | wind tunnel and CFD | The performance of the blade under the combined action of VG and winglets was explored |
| Geometric Parameters | Parameter Value | |
|---|---|---|
| The VG Installed on the Airfoil Model | The VG Installed on the Blade Model | |
| 12° | 12° | |
| d | 17.5 mm | 175 mm |
| 35 mm | 350 mm | |
| L | 20 mm | 200 mm |
| h | 5 mm | 50 mm |
| Installation location | 30% chord length from the airfoil leading edge | 30% chord length from the leading edge of 15~56% R |
| Amount | 42 | 108 |
| TSR | Smooth Wall | Rough Wall | ||
|---|---|---|---|---|
| Without VG | With VG | Without VG | With VG | |
| 16.94 | 0.9831 | 0.9838 | 0.9766 | 0.9703 |
| 15.53 | 0.9338 | 0.9252 | 0.9209 | 0.9165 |
| 13.31 | 0.8487 | 0.8416 | 0.8416 | 0.8327 |
| 11.65 | 0.7667 | 0.7591 | 0.7561 | 0.7408 |
| 9.32 | 0.6225 | 0.6151 | 0.6127 | 0.6044 |
| 7.76 | 0.5295 | 0.5255 | 0.5195 | 0.5133 |
| 6.65 | 0.4203 | 0.4338 | 0.3991 | 0.4245 |
| 5.83 | 0.3098 | 0.3501 | 0.3052 | 0.3378 |
| TSR | Smooth Wall | Rough Wall | ||
|---|---|---|---|---|
| Without VG | With VG | Without VG | With VG | |
| 16.94 | 0.2674 | 0.2763 | 0.2643 | 0.2692 |
| 15.53 | 0.3628 | 0.3650 | 0.3550 | 0.3589 |
| 13.31 | 0.4464 | 0.4466 | 0.4415 | 0.4409 |
| 11.65 | 0.4587 | 0.4572 | 0.4511 | 0.4453 |
| 9.32 | 0.4182 | 0.4169 | 0.4115 | 0.4101 |
| 7.76 | 0.3919 | 0.3884 | 0.3825 | 0.3783 |
| 6.65 | 0.3107 | 0.3287 | 0.2851 | 0.3202 |
| 5.83 | 0.2126 | 0.2618 | 0.1692 | 0.2501 |
Disclaimer/Publisher’s Note: The statements, opinions and data contained in all publications are solely those of the individual author(s) and contributor(s) and not of MDPI and/or the editor(s). MDPI and/or the editor(s) disclaim responsibility for any injury to people or property resulting from any ideas, methods, instructions or products referred to in the content. |
© 2025 by the authors. Licensee MDPI, Basel, Switzerland. This article is an open access article distributed under the terms and conditions of the Creative Commons Attribution (CC BY) license (https://creativecommons.org/licenses/by/4.0/).
Share and Cite
Yang, Y.; Wang, D.; Zhang, H.; Zha, R.; Wu, G.; Cai, C.; Zhang, J.; Li, Q. Enhancing Aerodynamic Performance of Horizontal Axis Wind Turbine Blade Aerodynamic Performance Under Rough Wall Condition Using Vortex Generators. J. Mar. Sci. Eng. 2025, 13, 397. https://doi.org/10.3390/jmse13030397
Yang Y, Wang D, Zhang H, Zha R, Wu G, Cai C, Zhang J, Li Q. Enhancing Aerodynamic Performance of Horizontal Axis Wind Turbine Blade Aerodynamic Performance Under Rough Wall Condition Using Vortex Generators. Journal of Marine Science and Engineering. 2025; 13(3):397. https://doi.org/10.3390/jmse13030397
Chicago/Turabian StyleYang, Yingjian, Dian Wang, Hairui Zhang, Rongyu Zha, Guangxing Wu, Chang Cai, Jianhua Zhang, and Qing’an Li. 2025. "Enhancing Aerodynamic Performance of Horizontal Axis Wind Turbine Blade Aerodynamic Performance Under Rough Wall Condition Using Vortex Generators" Journal of Marine Science and Engineering 13, no. 3: 397. https://doi.org/10.3390/jmse13030397
APA StyleYang, Y., Wang, D., Zhang, H., Zha, R., Wu, G., Cai, C., Zhang, J., & Li, Q. (2025). Enhancing Aerodynamic Performance of Horizontal Axis Wind Turbine Blade Aerodynamic Performance Under Rough Wall Condition Using Vortex Generators. Journal of Marine Science and Engineering, 13(3), 397. https://doi.org/10.3390/jmse13030397
