Abstract
During its service life, a deep-sea floating structure is likely to encounter extreme marine disasters. The combined action of wind and wave loads poses a threat to its structural safety. In this study, elliptical copula, Archimedean copula, and vine copula models are employed to depict the intricate dependence structure between wind and waves in a specific sea area of the Shandong Peninsula. Moreover, hourly significant wave height, spectral peak period, and 10 m average wind speed hindcast data from 2004 to 2023 are utilized to explore the joint distribution of multidimensional parameters and environmental design values. The results indicate the following: (1) There exists a significant correlation between wind speed and wave parameters. Among them, the C-vine copula model represents the optimal trivariate joint distribution, followed by the Gaussian copula, while the Frank copula exhibits the poorest fit. (2) Compared with the high-dimensional symmetric copula models, the vine copula model has distinct advantages in describing the dependence structure among several variables. The wave height and period demonstrate upper tail dependence characteristics and follow the Gumbel copula distribution. The optimal joint distribution of wave height and wind speed is the t copula distribution. (3) The identification of extreme environmental parameters based on the joint probability distribution derived from environmental contour lines is more in line with the actual sea conditions. Compared with the design values of independent variables with target return periods, it can significantly reduce engineering costs. In conclusion, the vine copula model can accurately identify the complex dependency characteristics among marine variables, offering scientific support for the reliability-based design of floating structures.
1. Introduction
Deep-sea floating offshore new-energy projects are faced with formidable challenges. These challenges stem from the intricate wind and wave loads, the substantial movement of floating foundations, and the development of large-scale units [1,2]. In the marine environment, the combined impact of multiple loads is the primary determinant of structural safety and engineering costs [3,4]. Traditionally, in nearshore and coastal engineering, the annual extreme value method has been prevalently employed [5]. This method independently determines the extreme value distribution models of various environmental variables, calculates the design parameters with a specific recurrence interval (e.g., occurring once every period of years), and thereby defines the design loads that engineering structures must endure from environmental forces [6]. However, in reality, there exists a strong correlation among metocean data. The failure or even collapse of most deep-sea floating structures usually does not result from a single environmental load surpassing the critical value. Instead, it is often due to multiple combined loads reaching or exceeding the limit-state function. To guarantee the safety of marine engineering and prevent waste, it is essential to take into account the dependence structure between multiple variables and their extreme values. Only by doing so can we reasonably determine the design parameters of the marine environment [7,8,9].
To better simulate the impacts of intricate multidimensional environmental loads, scholars have dedicated themselves to researching joint distribution models of diverse environmental variables [10,11,12,13]. The conditional probability model is a prevalent joint probability model for characterizing marine environmental factors. In particular, the Weibull–Lognormal conditional joint model for wave height and period has gained wide acceptance [14]. This model first fits the marginal distribution of the primary controlling element. Subsequently, it conducts nested fitting on the conditional distribution of the remaining variables, based on the previously determined element. Its construction is relatively straightforward. Nevertheless, when depicting the complex correlations among multivariate environmental factors, this model often simplifies by assuming independence, thereby reducing its accuracy. Simão et al. [15] introduced a multidimensional long-term joint probability model for environmental parameters grounded in conditional functions. The Nataf distribution, based on the Gaussian assumption, can be utilized to construct joint models for any high-dimensional variables [16]. However, the actual dependence structure of marine environmental variables is nonlinear and non-Gaussian. As a result, significant deviations occur in the fitting results [17]. The copula theory, by integrating the marginal distribution of marine environmental variables with copula functions, enables the construction of a joint distribution model. This approach has found increasing application in sea-state assessment [18,19]. Bivariate copulas have been extensively employed to simulate two-dimensional correlated variables in the reliability analysis of marine engineering [20]. Regarding multidimensional random variables, the vine copula model offers a more flexible means of describing their multivariate dependency structures [21]. For instance, Yang et al. [22] proposed an optimized Archimedean copula to simulate the multivariate joint distribution of five-dimensional wind and wave parameters in the sea-crossing bridge region. Additionally, Dong et al. [23] put forward a three-dimensional maximum entropy distribution of effective wave height, wind speed, and load direction, providing a theoretical reference for determining the design parameters of marine environments.
The vine copula model effectively decomposes multidimensional distribution functions into a combination of multiple nested bivariate copulas and the product of univariate marginal distributions. This unique decomposition enables the model to describe the correlations among multiple variables with great flexibility. As a result, it has found extensive application in joint probability analysis within the fields of hydrology and meteorology [24,25]. For instance, Montes-Iturrizaga and Heredia-Zavoni [26] utilized C-vine copulas to construct multivariate environmental contours. They based their work on significant wave height, peak spectral period, and wind velocity data obtained from storm hindcasts. Similarly, Lin and Dong [27] conducted a wave energy assessment. They employed the trivariate vine copula distribution of significant wave height, mean period, and direction. In their study, the marginal distributions were fitted using the maximum entropy distribution and a mixture of von Mises distributions. In hydrology and ocean engineering, when dealing with problems involving several correlated variables that demand highly flexible dependence modeling, the pair-copula decomposition approach, as offered by the vine copula model, is highly recommended. This approach allows for a more accurate and adaptable representation of the complex relationships among variables, thereby enhancing the reliability and effectiveness of relevant analyses.
Moreover, the environmental contour (EC) approach is widely utilized to determine the design values of multivariate marine variables [28,29,30,31]. This is crucial for accurately assessing the structural response influenced by correlated environmental loads. The EC approach offers the combined extreme environmental conditions within a specific return period, thus enabling the prediction of the maximum structural response at the target return period level. It is recommended in numerous international standards, such as those of DNV GL [32]. Haver [33] was the first to introduce the concept of EC to depict the joint probability distribution of significant wave height and wave period. Subsequently, Winterstein et al. [34] proposed the EC method in the transformed standard normal space of expected exceedance probability, relying on the Inverse First Order Reliability Method (IFORM). The IFORM algorithm has since found extensive application in ocean engineering. Montes-Iturrizaga and Heredia-Zavoni [35] applied a derived formulation to construct IFORM-based environmental contours using bivariate copulas. Their study revealed that the choice of copula models significantly impacts the resulting ECs. Specifically, the IFORM-type contours assume a convex form for the structural failure boundary, while the ISORM- and highest density regions-based methods assume a concave form [36,37]. Furthermore, Huseby et al. [38] employed Monte Carlo simulations to establish ECs without the necessity of transformations. Vanem [39] conducted a comparative study on the estimation of extreme structural responses from different EC methods. The results indicated that in certain cases, the differences can be substantial and consequential. Most applications demonstrating ECs derived from different algorithms have been carried out using bivariate variables. For instance, Clarindo and Guedes Soares [40] compared the contours constructed based on the Burr–Lognormal distribution with those considering the Weibull–Lognormal distribution. Their findings suggested that the maximum values obtained from the Burr–Lognormal distribution were more favorable due to the superior predictive power of its contour lines. In addition, Vanem et al. [41] conducted a simulation study on the uncertainty of ECs caused by sampling variability across different estimation methods. The establishment of the multivariate joint distribution of environmental variables is a pivotal step in constructing multidimensional ECs. Heredia-Zavoni and Montes-Iturrizaga [42] utilized three-dimensional vine copulas to model directional ECs, discovering that directionality can have a significant impact on ECs. Bai et al. [43] established three-dimensional direct sampling-based ECs using a semi-parametric joint probability model. In this model, a log-transformed KDE–Paretotails approach was proposed to fit marginal distributions, and vine copulas were used to estimate the joint models. Fang et al. [44] optimized the C-vine copula and constructed ECs for the joint wind–wave environment of sea-crossing bridges. They proposed a one-step optimization method to identify an optimized canonical vine copula. Meng and Li [45] used the R-vine copula and a direct sampling approach to calculate three-dimensional ECs of wind and wave, taking into account different sampling methods and seasonal effects. Wu et al. [46] employed pair copulas to construct the multivariate joint probability distribution and generated ECs for data-driven applications. While the errors in extreme response evaluation resulting from the contour approximation itself may be relatively low compared to response-based analysis, the fitted models for joint distributions contribute significantly to the overall errors [47].
In conclusion, for the risk assessment and management of floating structures, an accurate statistical portrayal of relevant extreme environmental conditions is essential [48]. The environmental contour approach plays a pivotal role as an input in the design of marine structures, which must endure the loads exerted by environmental forces. This research utilizes the vine copula function to formulate a joint probability model of wind and wave parameters. It then contrasts this model with high-dimensional symmetric copula models. The overarching goal is to precisely depict the multidimensional dependence structure of environmental parameters, thereby offering a scientific foundation for the safety and reliability evaluation of offshore structures. Drawing upon the hourly significant wave height, spectral peak period, and 10 m average wind speed hindcast data in a specific sea area of the Shandong Peninsula from 2004 to 2023, various copula models were employed to compute their joint probability distribution and establish an environmental isosurface. This project not only supplies reasonable environmental design parameters for Shandong’s offshore new-energy structures but also provides a theoretical basis for marine disaster risk assessment and the formulation of disaster prevention and reduction strategies.
The marine environments in different regions have unique characteristics, and the applicability of existing research results in specific areas, such as a specific sea area of the Shandong Peninsula, remains to be further verified. There is a lack of effective models and methods that can accurately describe the joint probability distribution of multiple parameters under the complex marine environmental conditions in this region. This study aims to fill these gaps. By using the vine copula function to construct a joint probability model of wind and wave parameters, it fully considers the correlations among marine environmental parameters, provides reasonable design environmental parameters for offshore new-energy structures in the Shandong Peninsula, and offers a theoretical basis for marine disaster risk assessment and the formulation of disaster prevention and reduction strategies.
The objective of this study is to establish reasonable design environmental parameters for calculating wind–wave actions on floating structures. This is achieved by taking into account the joint correlated characteristics of sea states. In Section 2, we delve into fundamental multivariate methodologies and the design approach grounded in trivariate joint probability distribution models. Here, we comprehensively review the theoretical underpinnings and practical applications of these methods, providing a solid foundation for subsequent analysis. Section 3 focuses on the construction of the environmental surface for the evaluation of design values. We detail the procedures and considerations involved in creating this surface, which are crucial for accurately assessing the loads that floating structures are likely to encounter. Section 4 elaborates on the original data and the data-processing steps carried out in accordance with the multidimensional analysis framework. Additionally, the results obtained from this analysis are presented and discussed in this section, offering insights into the implications of the data. Finally, Section 5 summarizes the conclusions of this work.
2. Multivariate Distribution Theory
This section expounds on the construction theory of copula-based trivariate joint distributions for wind–wave parameters, along with the derivation of environmental surfaces. The methodological framework for multivariate analysis is presented in Figure 1. Initially, the fundamental copula theory and diverse trivariate models are introduced. Additionally, a concise description of the parameter estimation method and goodness of fit is provided. Subsequently, the kernel estimation utilized for marginal distribution fitting are presented. The IFORM-based environmental surfaces are deduced to ascertain the maximal design loads. This process is essential for accurately determining the loads that wind–wave parameters may impose, thereby contributing to more informed engineering and research decisions in the context of marine-related studies.
Figure 1.
Flowchart of multi-load design concepts.
2.1. Basic Copula Theory
The copula theory provides a means to describe multidimensional related environmental variables. Based on Sklar’s theorem [49], multidimensional joint probability models can be formulated by integrating copula functions with the marginal distributions of random variables. Suppose a k-dimensional random variable is and its marginal cumulative distribution functions are , respectively. If these marginal distributions are continuous and strictly increasing, then there exists a copula function () that can be used to establish the joint distribution as follows:
where represents the joint cumulative distribution of random variables. The corresponding probability density function can be derived through differentiation as follows:
where and represent the marginal probability density functions of environmental variables and the copula density, respectively. The typical procedures for constructing a multivariate joint distribution by means of copula theory entail two main steps. Firstly, it is necessary to fit the marginal distribution of each variable. This step involves identifying the appropriate probability distribution that best describes the behavior of each individual environmental variable. Subsequently, an appropriate copula function needs to be selected. This function is crucial as it serves to accurately depict the correlation structure among the random variables, thereby enabling a comprehensive and accurate representation of the multivariate relationships within the dataset.
2.2. Marginal Distribution Model
By leveraging a nonparametric kernel density function, the marginal distribution of hourly environmental data can be estimated [50]. This approach effectively circumvents the impact of errors associated with parametric distribution fitting. Subsequently, the maximum likelihood method can be adopted to estimate the copula parameters. The kernel density estimation of the environmental dataset can be expressed as follows:
where KX represents the non-negative kernel density function, hX is the bandwidth parameter, and N denotes the total number of data points. The marginal distribution derived by means of the Gaussian kernel density function can be expressed as follows:
2.3. Trivariate Copula Model
The trivariate copula models most frequently employed encompass elliptical copulas (such as Gaussian and t copulas) and Archimedean copulas (including Clayton, Frank, and Gumbel copulas). The Gaussian copula offers a convenient means to simulate multidimensional variables. Specifically, the cumulative distribution function of the trivariate Gaussian copula can be represented as follows [51]:
where is the inverse function of the standard normal distribution; ui represents the univariate cumulative distribution F(xi); x = [x1, x2, x3]T denotes the three-dimensional environmental variable vector; and represents the linear correlation coefficient matrix.
The cumulative distribution function of the trivariate Student t copula can be expressed in the following manner [51]:
where and are the inverse function of the Student t distribution with degree of freedom v and the gamma function, respectively.
Archimedean copulas have found extensive applications in hydrology and marine-related scenarios [52]. The distribution functions of the trivariate Clayton, Frank, and Gumbel copulas are presented below, respectively:
where θ represents the parameter of the copula function, which serves to characterize the correlation structure among random variables.
2.4. Vine Copula Model
The vine copula theory uses bivariate copula functions as building blocks to depict the correlation structure among multiple variables. Compared with some multivariate copula functions (such as elliptical and Archimedean copula functions), its construction method is more flexible, as it can take into account the different correlations between pairs of variables within the multiple variables. Additionally, the types of multivariate copula functions are relatively limited and often come with many restrictive conditions. In contrast, there is a wide variety of bivariate copula types. This provides the foundation for the extensive application of the vine copula theory [53].
Consider the three-dimensional random vector with a joint probability density of and marginal densities of respectively. Then, can be decomposed using conditional densities as follows:
According to Sklar’s theorem, we have the following:
If is decomposed in a manner similar to Equation (11), then,
Combining Equations (11)–(13), we can obtain,
Therefore, the following can be obtained:
The trivariate copula can be decomposed into the product of bivariate copulas and conditional bivariate copulas. However, the decomposition methods are not unique. Generally, the joint probability density of an n-dimensional random variable X can be decomposed in the following form:
The conditional density can be further decomposed using the pair-copula method:
Among them, v is an m-dimensional vector and is the vector obtained by removing the variable vj from v.
The marginal conditional distribution function is as follows:
The decomposition of multidimensional random variables is not unique. As the number of dimensions increases, the number of decomposition methods will increase extremely rapidly.
A regular vine is a set of trees. The edges of tree i serve as the nodes of tree I + 1, and two edges of tree i are connected in tree I + 1 if and only if they share a common node in tree i. C-vine and D-vine are decomposed according to a specific rule. If there is only a single node with degree in each tree Ti, that is, the root node, then such a vine structure is called a C-vine. The joint density of n-dimensional random variables is decomposed into the corresponding C-vine as follows:
In the C-vine structure, each tree has a root node, which is particularly effective in the case of a random vector with key variables.
If the tree Ti is a path and the degree of all nodes does not exceed 2, such a vine structure is called a D-vine. The joint density of n-dimensional random variables is decomposed into the corresponding D-vine as follows:
The tree structures of C-vine and D-vine for 5-dimensional variables are shown in Figure 2. The nodes of each tree represent variables, and the edges represent copula functions or conditional copula functions. The nodes of the subsequent tree are the edges of the previous tree. From the figures, the star-shaped structure feature of C-vine and the chain-shaped structure feature of D-vine can be seen. The conditional multidimensional distribution functions can be constructed by utilizing h-functions in combination with bivariate copulas and marginal distributions. Each bivariate copula is capable of describing the unique dependence structure of different datasets. In this work, seven types of bivariate copula probability functions are selected to depict the dependence structure of wind and wave parameters. The candidate distribution functions are presented in Table 1.
Figure 2.
The tree structures of C-vine and D-vine.
Table 1.
Candidate bivariate copula models and parameters.
2.5. Parameter Estimation
The maximum likelihood estimation (MLE) method is simple and widely employed for copula parameter estimation. The logarithmic likelihood function of candidate copulas can be given as follows:
The unknown parameter θ can be calculated by maximizing L(θ):
Before referring to the maximum likelihood estimation of vine copula, it is necessary to illustrate the sequential estimation method. Its estimation steps are as follows: (1) Estimate the parameters of the bivariate copulas in the first tree using the original data. (2) Calculate the variable values (conditional distribution function values) of the second tree using the copulas estimated in the previous step. (3) Estimate the parameters of the bivariate copulas between the corresponding variables using the variable values of the second tree calculated above. (4) Estimate the parameters of the bivariate copulas of the remaining trees using steps similar to (2) and (3). The copula parameters of all trees can be estimated by following the above steps. In sequential estimation, the selection of the bivariate copula function uses the AIC criterion.
The maximum likelihood function of C-vine is as follows:
The likelihood function of D-vine is as follows:
The fitting accuracy and validation can be attained by comparing the empirical distributions with the statistical parameters of various candidate copula models, such as the root mean square error (RMSE) and the Akaike Information Criterion (AIC) values.
where Fe and Fc are the empirical values defined by the original variables and the estimated probabilities using the trivariate distribution function, respectively. N is the total number of original data. The empirical distribution of the trivariate variables can be calculated as follows:
where represents the original variables, N is the length of each dataset, and I = 1 when x1j, x2j, and x3j satisfy x1j ≤ x1i, x2j ≤ x2i and x3j ≤ x3i; otherwise, I = 0.
3. Environmental Surfaces Using Copulas
Environmental contours are defined in the original physical space X of random variables, and they can be generated by mapping the random variables into the standard space U. In the standard space, a probability density contour configuration with specific properties is constructed by determining a circle or a sphere centered at the origin with a specific radius. Then, the probability density contour configuration is transformed back into the original physical space, so that the corresponding environmental contour configuration in the original physical space can be obtained. The obtained environmental contour configuration can withstand the action of environmental loads corresponding to a specific exceedance probability (or a specific return period). This transformation can be performed by the inverse Rosenblatt transformation or the inverse Nataf transformation.
The probability edge based on the FORM theory in the standard normal space can be obtained as follows:
The target failure probability, Pf, which is associated with extreme sea conditions having a Tr-year return period and the duration of observed wave data, Ts (h), can be defined as follows:
The design sea states along environmental contours are defined by the values of the original variables in the physical space X, which are transformed from the values of the vector z in the standard normal space Z with an equivalent reliability edge, . Any correlated random variables can be transformed into independent random variables in the standard normal space. This process is called the Rosenblatt transformation, as shown in the following formula:
where is the cumulative distribution function in the standard normal distribution; is the conditional cumulative distribution function of variable xi given x1, x2, ,; is its inverse form; and represent the random variables in the original physical and standard normal space, respectively.
The conditional distributions can be calculated by deriving the joint distribution in the following manner:
Equation (32) can be simplified to the following form:
4. Environmental Information
4.1. Marginal Probabilistic Distributions
Taking the EAR5 wind field as the background wind field, high-precision wind field data are obtained through hindcast simulation using the WRF meteorological model. Then, numerical wave simulation is carried out based on the SWAN wave model. A total of 175,320 hourly data of wind speed Vs, wave height Hs, and wave period Tp in a certain sea area of Shandong from 1 January 2004, to 31 December 2023, are simulated. The sample scatter plot is shown in Figure 3a. Figure 3 presents the empirical distributions and kernel density estimation results of various environmental parameters in the target sea area. It can be seen that the cumulative probabilities of the sample data of Vs, Hs, and Tp are in good agreement with the kernel density estimation curves, which can accurately describe the marginal distributions of the variables. Based on the copula theory, different models are adopted to describe the joint characteristics of multiple variables for the evaluation of design loads. In the present simulation, we utilized a standard desktop computer (1 core 3.3 GHz, 16 GB RAM), and employed MATLAB R2016b with the multivariate analysis framework to build and run the simulation models. The simulation and estimation without the plotting takes about 10 min for one case, and the duration of parameter estimation is related to the length of the dataset.
Figure 3.
Scatter plot of wind–wave parameters and fitting of marginal distributions. (a) Scatter plot of (Hs, Tp, Vs). (b) Marginal distribution fitting of Hs. (c) Marginal distribution fitting of Tp. (d) Marginal distribution fitting of Vs.
4.2. Joint Distribution of Wind–Wave Parameters
After determining the optimal marginal distributions for each variable, the joint probability of the three-dimensional variables was calculated based on the copula theory. The MLE method was employed to estimate the parameters of three-dimensional elliptical and Archimedean copulas, which are presented in Table 2. The corresponding joint probability densities of Gaussian and Clayton copulas are depicted in Figure 4. As can be seen from statistical test values such as the AIC and RMSE, the fitting performance of the elliptical copula is superior to that of the Archimedean copula.
Table 2.
The estimated parameters of trivariate copula functions.
Figure 4.
Joint density probability diagram based on trivariate symmetric copula. (a) Gaussian copula. (b) Clayton copula.
The joint probability distributions of three-dimensional variables are constructed using the C-vine and D-vine copula models. According to Equations (19) and (20), it can be seen that different combinatorial forms of the three-dimensional joint distribution can be obtained based on binary copulas. The main variable is determined based on the correlation between the variables. The Pearson correlation coefficient requires the variables to be continuously normally distributed and have a linear relationship, while the Kendall correlation coefficient does not have strict requirements for sample data. The Kendall values of (Hs, Tp), (Hs, Vs), and (Tp, Vs) are 0.67, 0.75, and 0.44, respectively. Since the correlation coefficients between Hs and Tp and between Hs and Vs are both higher than that between Tp and Vs, Hs is selected as the main control variable. In this study, the binary combinations of (Hs, Tp) and (Hs, Vs) are chosen, and the vine copula model is used to calculate the three-dimensional joint distribution.
Table 3 lists the best-fitting binary copulas and their parameter estimates. The results show that in the C-vine and D-vine models, the binary t copula is the optimal model for fitting the bivariate (Hs, Tp). The binary Gumbel copula is selected to describe (Hs, Vs) and (Tp, Vs), and the best-fitting distributions of the conditional probabilities (Tp, Vs; Hs) and (Hs, Vs; Tp) are the Plackett and Frank copulas, respectively. The bivariate joint density probabilities of (Hs, Tp) and (Tp, Vs) are shown in Figure 5a,b, respectively. It is worth noting that different copula models can be selected to fit the correlation structures of bivariate variables with different tail characteristics. The contours of c23|1 and c13|2 corresponding to different return periods are shown in Figure 5c,d, respectively. The trivariate joint densities with p = 0.0001 obtained by the C-vine and D-vine copulas are depicted in Figure 5e,f, respectively. Meanwhile, the AIC and RMSE values are calculated to evaluate the degree of fitting, as shown in Table 3. Statistical tests indicate that the C-vine and D-vine models fit better than the three-dimensional elliptical copula function because the best-fitting binary copulas are selected to describe the correlations between different variables during the decomposition process of the joint probability model.
Table 3.
The best-fitted pair copulas and estimated parameters in vine copula models.
Figure 5.
The trivariate joint distribution of (Hs, Tp, Vs) responding to (a) bivariate joint PDF of (Hs, Tp), (b) bivariate PDF of (Tp, Vs), (c) bivariate contour plots of c23|1, (d) bivariate contour plots of c13|2, (e) trivariate joint PDF using C-vine model, and (f) trivariate joint PDF using D-vine model.
4.3. Environmental Surfaces and Load Assessment
For the design and risk assessment of offshore structures, it is necessary to estimate the extreme sea conditions corresponding to multi-year return periods. The environmental surface is constructed based on the environmental contour method. Environmental surfaces obtained from all candidate trivariate models are compared. Figure 6 shows the three-dimensional measured data and the environmental surfaces with a 20-year return period obtained by using different copula models combined with the IFORM method. The proximity to the return period of the sample data indicates the degree of fitting of the trivariate joint distribution. It can also be seen from Figure 6 that there are significant differences in the predictions of extreme sea conditions corresponding to different joint distribution models. The Archimedean copula model performs worse in fitting environmental parameters compared to other models, while the C-vine copula shows a better performance than others.

Figure 6.
Original metocean variables and 10-year extreme environmental surfaces responding to (a) Gaussian, (b) t, (c) Clayton, (d) Frank, (e) C-vine, and (f) D-vine models.
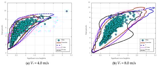
The contour lines of the two-dimensional variables are drawn under the condition of the given variables. Figure 7 illustrates the conditional joint distribution contour plots of (Hs, Tp) for Vs values of 4.0 m/s, 8.0 m/s, 12.0 m/s, and 16.0 m/s. Meanwhile, Figure 8 presents the conditional joint distribution contour plots of (Hs, Vs) when Tp takes on values of 5.0 s, 6.0 s, 7.0 s, and 8.0 s. Moreover, Figure 9 shows the conditional joint distribution contour plots of (Tp, Vs) when Hs is given as 1.0 m, 2.0 m, 3.0 m, and 4.0 m. Based on the 20-year hindcast data, the two-dimensional conditional contour lines under the given variables derived from the 20-year return period vine copula model encompass nearly all the sample data, and their shapes show a good match. As can be observed from the figures, the t copula function aligns well with Hs and Tp under the given Vs condition. The distribution of Hs and Vs under the given Tp condition complies with the Frank copula function. The results indicate that the C-vine copula model is capable of effectively describing the correlation of two-dimensional conditional variables. This is due to the fact that the multidimensional variables are decomposed into multiple binary variable combinations, and the best-fitting copula function for each binary variable dataset is determined individually, thereby achieving an ideal match between the data characteristics and the copula model. Different binary copula models are suitable for characterizing the diverse tail correlations of the original data. Generally speaking, a three-dimensional symmetric copula function with specific characteristics is unable to perfectly fit multiple variables that exhibit complex correlation structures.

Figure 7.
Environmental contours of (Hs, Tp) given Vs based on various copula models.
Figure 8.
Environmental contours of (Hs, Vs) given Tp based on various copula models.
Figure 9.
Contour plots of (Hs, Tp) conditional on Vs using various copulas.
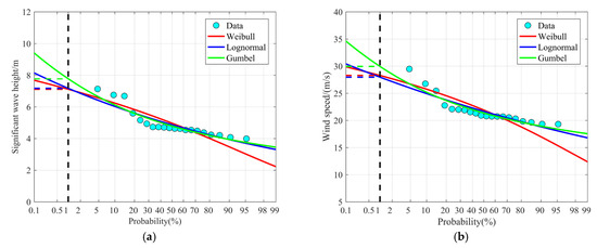
The annual extreme wave data in the target sea area are selected for single-element distribution fitting. The results show that the Gumbel model fits the wave height and wind speed well, as shown in Figure 10. Table 4 lists the independent 100-year return values of wave height and wind speed obtained by the annual extreme value method. The environmental surface with a 100-year return period is constructed based on the C-vine copula model. The determination of design parameters should be based on the response characteristics of the offshore structure, and Table 4 only provides the maximum wind speed–wave height design values on the isosurface and accompanying element values. It can be observed that the design values determined by the environmental contour method, which takes into account the correlation of environmental parameters, are smaller than those of the independent annual extreme value method.
Figure 10.
Distribution fitting of annual extreme wind and wave parameters. (a) Significant wave height. (b) Wind speed.
Table 4.
One-hundred-year environmental design parameters determined by various models.
5. Conclusions
This study explored an analytical method for evaluating multidimensional design loads of offshore structures based on the three-dimensional joint probability of wind–wave parameters. The determination was carried out through the copula theory combined with the environmental contour method. The analysis process of three-dimensional wind–wave actions mainly consists of three steps: First, determine the marginal distributions of wind speed, wave height, and wave period; then, construct the joint distribution of variables based on the copula theory; finally, calculate the environmental isosurfaces and bivariate conditional contour lines to evaluate the design loads of marine structures.
The joint probability density and cumulative probability of wind–wave parameters in a certain sea area of the Shandong Peninsula were calculated using kernel density estimation and copula models. The results showed that the C-vine copula model could effectively construct the joint distribution of (Hs, Tp, Vs). In this case, the trivariate elliptical copula fitted the hindcast environmental variables better than the Archimedean copula. The conditional contour plots indicated that, within the three-dimensional model, the vine copula could flexibly describe the correlations of bivariate variables. A goodness-of-fit analysis demonstrated that the vine copula model was more suitable than the trivariate symmetric copula function for expressing the statistical distribution characteristics of marine environmental parameters.
The environmental contour method and the annual extreme value method based on the IFORM theory were employed to estimate the design parameters of this sea area. The vine copula model, combined with the environmental contour method, can enhance the accuracy and efficiency of predicting extreme structural responses under the target return period. The annual extreme value method assumes that marine environmental factors are independent of each other, which does not conform to the actual sea conditions. The overly high environmental design parameter values lead to conservative design. Establishing an accurate joint distribution model and reasonably evaluating environmental loads can provide technical support for the reliability design, disaster prevention, and mitigation of deep-sea floating offshore new-energy projects.
For future research, several directions can be explored. First, the current study focused on a certain sea area of the Shandong Peninsula. Expanding the research scope to other sea areas with different geographical and oceanographic characteristics can further verify the universality and adaptability of the proposed method. This will help to determine whether the C-vine copula model and the environmental contour method can still maintain high accuracy and efficiency in different marine environments. Secondly, the application of the model can be further deepened. For example, more complex offshore structures, such as large-scale floating wind farms and deep-sea oil and gas platforms, can be considered. By applying the established joint distribution model and environmental load evaluation method to these structures, more accurate design parameters can be obtained, which is conducive to the safety and stability of these structures. Moreover, emerging technologies like artificial intelligence and big data can be integrated. Machine-learning algorithms can be used to optimize the parameter determination process in the copula model, improving the accuracy of the model. Big data can provide more abundant data sources for model calibration and verification, enhancing the reliability of the research results. In this way, continuous improvement and innovation can be achieved in the field of evaluating multidimensional design loads of offshore structures, providing more solid technical support for the development of the marine engineering industry.
Author Contributions
Conceptualization, Y.W., Y.F. and Y.Z.; Methodology, Y.W., Y.Z. and S.Y.; Software, Y.Z. and S.Y.; Validation, Y.Z. and S.Y.; Formal analysis, Y.Z. and S.Y.; Investigation, Y.F. and S.Y.; Resources, Y.W., Y.F. and S.Y.; Data curation, Y.W., Y.F. and S.Y.; Writing – original draft, Y.F., Y.Z. and S.Y.; Visualization, Y.Z. and S.Y.; Project administration, Y.W.; Funding acquisition, Y.W., Y.Z. and S.Y. All authors have read and agreed to the published version of the manuscript.
Funding
This study was funded by the Natural Science Foundation of Shandong Province (ZR2023QE016), National Natural Science Foundation of China (W2411039), and Qingdao Postdoctoral Applied Research Grant (QDBSH20220202093).
Institutional Review Board Statement
Not applicable.
Informed Consent Statement
Not applicable.
Data Availability Statement
The original contributions presented in this study are included in the article. Further inquiries can be directed to the corresponding author.
Conflicts of Interest
Yongtuo Wu, Yudong Feng, and Saiyu Yu were employed by Shandong Electric Power Engineering Consulting Institute Corp., Ltd. The remaining author declares that the research was conducted in the absence of any commercial or financial relationships that could be construed as a potential conflict of interest.
References
- Xie, S.; Li, Y.; Li, Y.; Kan, Y.Z. Preliminary study of the dynamics and environmental response of multiple floating offshore wind turbines on a single large-scale platform. Ocean Eng. 2025, 316, 120008. [Google Scholar] [CrossRef]
- Ju, S.H.; Huang, Y.C. Study on multiple wind turbines in a platform under extreme waves and wind loads. Energy Convers. Manag. X 2025, 25, 100877. [Google Scholar] [CrossRef]
- Safari, M.; Ghasemi, S.H.; Nowak, A.S. Performance-based target reliability analysis of offshore wind turbine mooring lines subjected to the wind and wave. Probabilistic Eng. Mech. 2024, 77, 103673. [Google Scholar] [CrossRef]
- Ahmed, S.; Li, T.; Yi, P.; Chen, R. Environmental impact assessment of green ammoinapowered very large tanker ship for decarbonized future shipping operations. Renew. Sustain. Energy Rev. 2023, 188, 113774. [Google Scholar] [CrossRef]
- Dong, S.; Fan, D.; Tao, S. Joint occurrence period of wind speed and wave height based on both service term and risk probability. J. Ocean Univ. China 2012, 11, 488–494. [Google Scholar] [CrossRef]
- Vanem, E. Analysing multivariate extreme conditions using environmental contours and accounting for serial dependence. Renew. Energy 2023, 202, 470–482. [Google Scholar] [CrossRef]
- Eckert-Gallup, A.C.; Sallaberry, C.J.; Dallman, A.R.; Neary, V.S. Application of principal component analysis (PCA) and improved joint probability distributions to the inverse first-order reliability method (I-FORM) for predicting extreme sea states. Ocean Eng. 2016, 112, 307–319. [Google Scholar] [CrossRef]
- Cheng, Z.; Svangstu, E.; Moan, T.; Gao, Z. Long-term joint distribution of environmental conditions in a Norwegian fjord for design of floating bridges. Ocean Eng. 2019, 191, 106472. [Google Scholar] [CrossRef]
- Zhao, Y.; Dong, S. A multi-load joint distribution model to estimate environmental design parameters for floating structures. Ocean Eng. 2020, 217, 107818. [Google Scholar] [CrossRef]
- Vanem, E.; Zhu, T.; Babanin, A. Statistical modelling of the ocean environment—A review of recent developments in theory and applications. Mar. Struct. 2022, 86, 103297. [Google Scholar] [CrossRef]
- Song, Y.; Chen, J.; Sørensen, J.D.; Li, J. Multi-parameter full probabilistic modeling of long-term joint wind-wave actions using multi-source data and applications to fatigue analysis of floating offshore wind turbines. Ocean Eng. 2022, 247, 110676. [Google Scholar] [CrossRef]
- James, J.P.; Panchang, V. Assessment of joint distributions of wave heights and periods. Ocean Eng. 2024, 313, 119501. [Google Scholar] [CrossRef]
- Bruserud, K.; Haver, S.; Myrhaug, D. Joint description of waves and currents applied in a simplified load case. Mar. Struct. 2018, 58, 416–433. [Google Scholar] [CrossRef]
- Haver, S. Wave climate off northern Norway. Appl. Ocean Res. 1985, 7, 85–92. [Google Scholar] [CrossRef]
- Simão, M.L.; Sagrilo, L.V.S.; Videiro, P.M. A multi-dimensional long-term joint probability model for environmental parameters. Ocean Eng. 2022, 255, 111470. [Google Scholar] [CrossRef]
- Silva-González, F.; Heredia-Zavoni, E.; Montes-Iturrizaga, R. Development of environmental contours using Nataf distribution model. Ocean Eng. 2013, 58, 27–34. [Google Scholar] [CrossRef]
- Salvadori, G.; Tomasicchio, G.R.; D’alessandro, F. Practical guidelines for multivariate analysis and design in coastal and offshore engineering. Coast. Eng. 2014, 88, 1–14. [Google Scholar] [CrossRef]
- Dong, S.; Wang, N.; Lu, H.; Tang, L. Bivariate distributions of group height and length for ocean waves using Copula methods. Coast. Eng. 2015, 96, 49–61. [Google Scholar] [CrossRef]
- Marinella, M.; Lamberti, A.; Archetti, R. Coastal flooding: A copula based approach for estimating the joint probability of water levels and waves. Coast. Eng. 2015, 97, 37–52. [Google Scholar]
- Fu, J.; Khan, F. Monitoring and modeling of environmental load considering dependence and its impact on the failure probability. Ocean Eng. 2020, 199, 107008. [Google Scholar] [CrossRef]
- Aghatise, O.; Khan, F.; Ahmed, S. Reliability assessment of marine structures considering multidimensional dependency of the variables. Ocean Eng. 2021, 230, 109021. [Google Scholar] [CrossRef]
- Yang, Y.; Fang, C.; Li, Y.; Xu, C.; Liu, Z. Multivariate joint distribution of five-dimensional wind and wave parameters in the sea-crossing bridge region using Hierarchical Archimedean Copulas. J. Wind Eng. Ind. Aerodyn. 2024, 247, 105684. [Google Scholar] [CrossRef]
- Dong, S.; Tao, S.; Li, X.; Soares, C.G. Trivariate maximum entropy distribution of significant wave height, wind speed and relative direction. Renew. Energy 2015, 78, 538–549. [Google Scholar] [CrossRef]
- Shen, Y.; Wang, S.; Zhang, B.; Zhu, J. Development of a stochastic hydrological modeling system for improving ensemble streamflow prediction. J. Hydrol. 2022, 608, 127683. [Google Scholar] [CrossRef]
- She, Z.; Huang, L.; Cai, H.; Fan, M.; Yu, L.; Li, B.; Lan, X.; Chen, X.; Liu, Z. Detecting human interventions by spatial dependence of extreme water levels using a high dimensional conditional probability approach over the Pearl River Delta. J. Hydrol. 2023, 622, 129681. [Google Scholar] [CrossRef]
- Montes-Iturrizaga, R.; Heredia-Zavoni, E. Multivariate environmental contours using C-vine copulas. Ocean Eng. 2016, 118, 68–82. [Google Scholar] [CrossRef]
- Lin, Y.; Dong, S. Wave energy assessment based on trivariate distribution of significant wave height, mean period and direction. Appl. Ocean Res. 2019, 87, 47–63. [Google Scholar] [CrossRef]
- Speers, M.; Randell, D.; Tawn, J.; Jonathan, P. Estimating metocean environments associated with extreme structural response to demonstrate the dangers of environmental contour methods. Ocean Eng. 2024, 311, 118574. [Google Scholar] [CrossRef]
- Mackay, E.; Hauteclocque, G. Model-free environmental contours in higher dimensions. Ocean Eng. 2023, 273, 113959. [Google Scholar] [CrossRef]
- Coe, R.G.; Manuel, L.; Haselsteiner, A.F. On limiting the influence of serial correlation in metocean data for prediction of extreme return levels and environmental contours. Ocean Eng. 2022, 266, 113032. [Google Scholar] [CrossRef]
- Beshbichi, O.E.; Rødstøl, H.; Xing, Y.; Ong, M.C. Prediction of long-term extreme response of two-rotor floating wind turbine concept using the modified environmental contour method. Renew. Energy 2022, 189, 1133–1144. [Google Scholar] [CrossRef]
- DNVGL-RP-C205; Environmental Conditions and Environmental Loads. Det Norske Veritas (DNV): Oslo, Norway, 2017.
- Haver, S. On the joint distribution of heights and periods of sea waves. Ocean Eng. 1987, 14, 359–376. [Google Scholar] [CrossRef]
- Winterstein, S.R.; Jha, A.K.; Kumar, S. Reliability of floating structures: Extreme response and load factor design. J. Waterw. Port Coast. Ocean Eng. 1999, 125, 163–169. [Google Scholar] [CrossRef]
- Montes-Iturrizaga, R.; Heredia-Zavoni, E. Environmental contours using copulas. Appl. Ocean Res. 2015, 52, 125–139. [Google Scholar] [CrossRef]
- Chai, W.; Leira, B.J. Environmental contours based on inverse SORM. Mar. Struct. 2018, 60, 34–51. [Google Scholar] [CrossRef]
- Haselsteiner, A.F.; Ohlendorf, J.-H.; Wosniok, W.; Thoben, K.-D. Deriving environmental contours from highest density regions. Coast. Eng. 2017, 123, 42–51. [Google Scholar] [CrossRef]
- Huseby, A.B.; Vanem, E.; Natvig, B. A new approach to environmental contours for ocean engineering applications based on direct Monte Carlo simulations. Ocean Eng. 2013, 60, 124–135. [Google Scholar] [CrossRef]
- Vanem, E. A comparison study on the estimation of extreme structural response from different environmental contour methods. Mar. Struct. 2017, 56, 137–162. [Google Scholar] [CrossRef]
- Clarindo, G.; Guedes Soares, C. Environmental contours of sea states by the I-FORM approach derived with the Burr-Lognormal statistical model. Ocean Eng. 2024, 291, 116315. [Google Scholar] [CrossRef]
- Vanem, E.; Gramstad, O.; Bitner-Gregersen, E.M. A simulation study on the uncertainty of environmental contours due to sampling variability for different estimation methods. Appl. Ocean Res. 2019, 91, 101870. [Google Scholar] [CrossRef]
- Heredia-Zavoni, E.; Montes-Iturrizaga, R. Modeling directional environmental contours using three dimensional vine copulas. Ocean Eng. 2019, 187, 106102. [Google Scholar] [CrossRef]
- Bai, X.; Jiang, H.; Huang, X.; Song, G.; Ma, X. 3-Dimensional direct sampling-based environmental contours using a semi-parametric joint probability model. Appl. Ocean Res. 2021, 112, 102710. [Google Scholar] [CrossRef]
- Fang, C.; Xu, Y.; Li, Y. Optimized C-vine copula and environmental contour of joint wind-wave environment for sea-crossing bridges. J. Wind Eng. Ind. Aerodyn. 2022, 225, 104989. [Google Scholar] [CrossRef]
- Meng, X.; Li, Z. 3-Dimensional environmental contours of winds and waves accounting for different sampling methods and seasonal effects. Ocean Eng. 2024, 304, 117724. [Google Scholar] [CrossRef]
- Wu, X.; Ma, C.; Zhang, J. Multivariate reliability method using the environment contour model based on C-vine copulas. Ocean Eng. 2024, 299, 117282. [Google Scholar] [CrossRef]
- de Hauteclocque, G.; Mackay, E.; Vanem, E. Quantitative comparison of environmental contour approaches. Ocean Eng. 2022, 245, 110374. [Google Scholar] [CrossRef]
- Mohapatra, S.C.; Amouzadrad, P.; Bisop, I.B.d.S.; Guedes Soares, C. Hydrodynamic Response to Current and Wind on a Large Floating Interconnected Structure. J. Mar. Sci. Eng. 2025, 13, 63. [Google Scholar] [CrossRef]
- Sklar, A. Fonctions de Répartition à N Dimensions Et Leurs Marges; L’Institut de Statistique de l’Université: Paris, France, 1959. [Google Scholar]
- Djaloud, T.S.; Seck, C.T. Nonparametric kernel estimation of conditional copula density. Stat. Probab. Lett. 2024, 212, 110154. [Google Scholar] [CrossRef]
- Wang, W.; Yang, H.; Huang, S.; Wang, Z.; Liang, Q.; Chen, S. Trivariate copula functions for constructing a comprehensive atmosphere-land surface-hydrology drought index: A case study in the Yellow River basin. J. Hydrol. 2024, 642, 131784. [Google Scholar] [CrossRef]
- Li, J.; Pan, S.; Chen, Y.; Gan, M. The performance of the copulas in estimating the joint probability of extreme waves and surges along east coasts of the mainland China. Ocean Eng. 2021, 237, 109581. [Google Scholar] [CrossRef]
- Yuan, X.; Huang, Q.; Song, D.; Xia, E.; Xiao, Z.; Yang, J.; Dong, M.; Wei, R.; Evgeny, S.; Joo, Y.-H. Fatigue Load Modeling of Floating Wind Turbines Based on Vine Copula Theory and Machine Learning. J. Mar. Sci. Eng. 2024, 12, 1275. [Google Scholar] [CrossRef]
Disclaimer/Publisher’s Note: The statements, opinions and data contained in all publications are solely those of the individual author(s) and contributor(s) and not of MDPI and/or the editor(s). MDPI and/or the editor(s) disclaim responsibility for any injury to people or property resulting from any ideas, methods, instructions or products referred to in the content. |
© 2025 by the authors. Licensee MDPI, Basel, Switzerland. This article is an open access article distributed under the terms and conditions of the Creative Commons Attribution (CC BY) license (https://creativecommons.org/licenses/by/4.0/).











