Abstract
The convergence of two numerical methods for solving linear water wave scattering problems, namely the eigenfunction matching method (EMM) and the singularity-respecting Galerkin approximation (SRGA), is examined. To do so, the methods are applied to two simple problems, namely scattering by a partially submerged vertical barrier and scattering in a parallel walled channel with a step change in width. These problems contain corner singularities in the velocity potential of order and , respectively, which the SRGA accounts for but EMMs do not. The results presented to compare the methods show that SRGA solutions are consistently more accurate than EMM solutions for the same amount of computing time. The results also show that the EMM solution for the channel problem is more accurate than the EMM solution for the vertical barrier problem due to the weaker singularity. Nevertheless, the EMM for the barrier is shown to still converge beyond three decimal places if a sufficiently large matrix is used—slower computation may be a worthwhile trade-off in certain situations because the EMM is usually considered to be more straightforward to implement. Our results serve as a practical guide for researchers selecting between the numerical methods.
1. Introduction
The eigenfunction matching method (EMM) and singularity-respecting Galerkin approximation (SRGA) are both commonly applied to solve linear water wave scattering problems. Both methods are applied to problems where the general solution takes the form of a series expansion on both sides of an interface, and the coefficients of both expansions must be determined from matching conditions (commonly, the velocity potential of the fluid must be continuously differentiable). SRGAs are applied to problems in which a wedge of angle pierces the fluid at one or both endpoints of the matching interface. An arbitrary wedge is pictured in Figure 1. Assuming homogeneous Neumann boundary conditions on both sides of the wedge, the tip induces a singularity in the derivative of the velocity of the fluid of the order [1]. SRGAs introduce an auxiliary function at the matching interface (typically chosen as the normal derivative of the velocity potential) and expand it in terms of a basis of functions that are specifically chosen so that the orders of singularities at their endpoints match the associated corner singularities. The EMM, which directly uses the Sturm–Liouville basis arising from the problem matching the velocity potential on either side of the interface, is also commonly applied, despite not explicitly taking any corner singularities into account. The advantages and disadvantages of the EMM and SRGA are commonly debated in the water wave scattering community, where both methods are frequently applied. The present study seeks to ground such debates through a direct numerical comparison of the methods.
Figure 1.
A wedge (white) of angle pierces a fluid domain (blue), generating a singularity in the velocity of the fluid of order in the velocity potential of the fluid. In separable geometries, the special cases can be solved by either the eigenfunction matching method or the singularity-respecting Galerkin approximation.
In problems in which an infinitely thin wedge pierces the fluid (i.e., ), the auxiliary basis of SRGAs is commonly chosen to consist of weighted Chebyshev polynomials, as these presuppose the square-root singularity in the fluid velocity, which occurs at the tip of the wedge. First introduced by Porter and Evans [2] in 1995 to study water wave scattering by thin vertical barriers, such basis functions have been applied to many problems in which an radian wedge occurs, including various other problems involving thin vertical barriers [3,4,5,6,7,8,9], V-shaped breakwaters [10], cylindrical oscillating water columns [11] and split-ring resonators [12,13]. In problems in which a right-angled () wedge pierces the fluid, a basis of weighted ultraspherical Gegenbauer polynomials is often used to presuppose the cube-root singularity at the tip of the wedge. First proposed by Porter [14] for the problem of water wave scattering by a step change in submergence, these functions have subsequently been applied to a range of scattering problems, including those involving periodic arrays of rectangular blocks [15,16], rectangular barriers [17,18,19], rectangular trenches [20], truncated cylinders [21], semicircular grooves in a coastline [22] and partially submerged elastic plates [23,24].
Early applications of the EMM to water wave problems began appearing around 1970, with the expansion of computer power, and the step change in bathymetry [25], submerged rigid obstacles [26,27] and the circular dock [28] were among the problems considered. It has remained a widely used method and has been applied to a wide range of problems [29,30], including problems of hydroelasticity [31,32,33,34,35,36] and scattering by porous structures [37,38]. It is a widely held (though not universal) belief that the EMM is more straightforward to implement in part because it only involves integrals, which may be computed by elementary means, as opposed to SRGAs, which typically require formulae for integrals to be looked up in tables (e.g., [39]). This relative ease of implementation makes EMMs attractive and more widely used, despite concerns about their accuracy.
In their 2001 Handbook of mathematical techniques for wave/structure interactions, Linton and McIver [40] recommend the EMM for a problem with (a submerged truncated cylinder) and an SRGA for a problem with (a surface-piercing vertical barrier). This recommendation was based on the facts that by employing the EMM, the solution of a matrix system was required for satisfactory convergence of the cylinder problem [29], whereas the solution of a system was required for a related vertical barrier problem [30]. The SRGA presented by Linton and McIver [40] was derived by Porter and Evans [2], who, by solving a matrix, achieved eight-digit precision for a real quantity A, from which the reflection coefficient can be derived. In particular, we have [2], where is the wavenumber, H is the fluid depth and R is the reflection coefficient, as defined in Section 3 of this paper. In particular, Porter and Evans [2] used two variants of the SRGA to obtain theoretical upper and lower bounds for A, which they used to conduct convergence analysis. This paper examines Linton and McIver’s recommendation in light of the advances in computing power that have occurred since the publication of their Handbook [40]. We will enquire whether the EMM can obtain satisfactory solutions for a thin wedge () by solving a larger matrix on a modern computer. Indeed, slower computation may be a worthwhile trade-off in certain situations in exchange for the simpler implementation of EMMs. We will also investigate how much additional accuracy can be obtained by SRGAs for a representative right-angled wedge () problem.
We consider two canonical linear water wave scattering problems in order to compare the two methods. We consider (a) water wave propagation along a parallel-walled channel of constant depth that experiences a step change in width, and (b) the problem of water wave scattering by an infinitely thin surface-piercing vertical barrier in a fluid of constant depth. Problems (a) and (b) are illustrated in Figure 2 and solved in Section 2 and Section 3, respectively. Numerical comparisons, which compare the computational time required to obtain a given degree of accuracy in the reflection coefficient, are presented in Section 4. A brief conclusion is given in Section 5.
Figure 2.
Schema of (a) the channel with a step change in width, and (b) a surface-piercing vertical barrier immersed in water. No flow boundaries are drawn in black, and the blue line in Panel (b) indicates a free surface boundary.
2. The Channel with a Step Change in Width
2.1. Problem Formulation
The problem of wave scattering in a parallel-walled channel with a step change in width from a to b, where , is considered. A schematic of the problem is given in Figure 2. This is closely related to the problem of scattering of normally incident plane waves by a periodic array of rectangular blocks considered in [15]. In the problem we consider, the fluid domain is given by , where H is the depth of the fluid. Moreover, , in which
Fluid motions in this domain are modeled using time-harmonic linear water wave theory, which assumes that the fluid is incompressible, inviscid and undergoing irrotational, time-harmonic motion [40,41]. The velocity potential of such fluid motions with angular frequency is of the form
where g is acceleration due to gravity, the wavenumber k is the positive real solution to the dispersion relation
and is the free surface elevation of the fluid, which satisfies the Helmholtz equation
where the Laplacian is defined here as . A Sommerfeld radiation condition is also imposed in the far field. Owing to the universality of the Helmholtz equation, solutions of (3) could also describe acoustic or electromagnetic waves in a waveguide. The general solution of (3) for a wave that is normally incident from is
where the free surface in is decomposed as the incident wave and a series that describes the reflected wave, and the free surface in consists solely of the transmitted wave. The wavenumbers are given by
and the eigenfunctions are defined as
These eigenfunctions have been normalized so that
The matching conditions are
for . Our task is to find the reflection coefficient . We note that, in general, there are reflected propagating modes, although we only consider the low-frequency case where there is a single reflected propagating mode in order to avoid ambiguity.
2.2. Solution Using the Eigenfunction Expansion Method
The solution by the EMM proceeds as follows: An application of the matching conditions (8) to the general solution (4) gives
for , and
In order to exploit the orthogonality of the eigenfunctions (7), we multiply both sides of (9a) with for and integrate over to obtain
where
Exploiting the orthogonality of the functions (7), we multiply both sides of (9b) with and integrate over to obtain
Truncating the infinite sums in (10) and (13) gives a system of equations and unknowns, which we write in matrix form as
where , and are the vectors with entries , and , respectively, and and are diagonal matrices with entries and , respectively. Subsequently, we use (14a) to eliminate , thereby obtaining the following system of equations and unknowns
where I is the -dimensional identity matrix. Finally, the EMM approximation of the reflection coefficient is recovered as the zeroth entry of the vector .
2.3. Solution Using a Singularity-Respecting Galerkin Approximation
The method using an SRGA begins from (9) and proceeds as follows: We use the derivative matching condition (9b) to define an auxiliary function as follows:
After applying the orthogonality relation (7) to (16), we obtain
Substituting these conditions into (9a) eventually gives rise to the following integral equation for the auxiliary function:
where
To solve this integral equation, we expand the auxiliary function u in terms of a basis of weighted Gegenbauer polynomials, which (i) presupposes the cube-root singularity at , and (ii) results in integrals, which can be expressed in closed form. We write
where, following Kanoria et al. [17], we select
where denotes the Gamma function and denotes the th Gegenbauer polynomial of order . Substituting (20) into (18) then gives
where
Using Equation (1.10.3) in [39], we compute these quantities to be
and
To solve for the unknown coefficients , we multiply both sizes of (22) by for and integrate over to obtain
After truncating the inner series at , we obtain a linear system of equations and unknowns. Numerically, the series over n must also be truncated, and we denote this truncation parameter . Using (17a), (20) and (24a), a numerical approximation of the reflection coefficient can be recovered from the solution of (25) as
3. The Vertical Barrier
3.1. Problem Formulation
We consider the problem of water wave scattering by a single surface-piercing vertical barrier. Translational invariance of the problem in one horizontal dimension is assumed, so that the problem reduces to two dimensions (one horizontal and one vertical). The fluid occupies the region , where H is the depth of the fluid and d is the submergence depth of the barrier. The mean position of the free surface is situated at and a flat seabed is situated at . The problem is modeled using time-harmonic linear water wave theory, meaning that the fluid is assumed to be incompressible and inviscid and undergoing irrotational, time-harmonic motion [40,41]. Thus, the velocity potential of the fluid is described by
where t is time, is the angular frequency, and the complex-valued function satisfies the following boundary value problem:
where the Laplacian is defined here as and g is acceleration due to gravity. Moreover, the Sommerfeld radiation condition
is imposed as , where is the potential of the prescribed incident wave. In contrast to their definition in Section 2, the quantities are here defined to be the solutions to the dispersion relation , with and for all . After applying the separation of variables, we adopt a piecewise ansatz for the solution to (28) of the form
where is the reflection coefficient. We remark that while (29) takes a similar form to (4), the definitions of the vertical eigenfunctions and wavenumbers differ. In particular, the vertical eigenfunctions have been defined as
which satisfies the orthogonality condition
The coefficient vectors of the scattered field must be chosen so that satisfies the boundary condition on the barrier (28d) and is continuously differentiable across the gap beneath the barriers.
3.2. Solution Using the Eigenfunction Expansion Method
The solution using the EMM presented here, which previously appeared online on www.wikiwaves.org [42] (accessed on 1 October 2024), exploits the reflective symmetry of the problem across the line . The potential is decomposed as
where and are symmetric and antisymmetric across the line , respectively. They are defined as the solutions induced when the incident wave on the barrier is of the forms
respectively.
The symmetric component of the solution can be obtained in an elementary manner. First, the boundary condition on the barrier (28d) and the requirement that is continuous imply that
for all . Second, the fact that is symmetric in x implies that its derivative with respect to x is antisymmetric in x, so we also have
for all . By combining statements (34) and (35), we observe that we must have for all . Therefore, the symmetric incident potential interacts with the barrier as if it extended throughout the entire vertical domain, and it is straightforward to determine the solution as
for all .
The antisymmetric component of the solution is less trivial to obtain. Invoking similar arguments as above, the antisymmetry and continuous differentiability of imply that it satisfies a piecewise boundary condition of the form
Letting
for , conditions in (37) imply that
When the infinite sums are truncated at for numerical purposes, the expressions in (39) are only approximately equal to zero. The accuracy of the N term truncated expansion with coefficients is captured by a residual of the form
The above residual, which assigns equal weight to the boundary conditions (37a) and (37b), is not uniquely defined (Richard Porter, personal communication, December 2024). For example, a family of residuals parametrized by a constant multiple of the form
would in turn give a family of eigenfunction matching methods. We do not explore this further here, considering only the case .
The EMM solution for is obtained by requiring that the residual is orthogonal to the vertical eigenfunctions, namely
for . Manipulation of (42) gives a linear system of equations of the form
for , where
We remark that the required integrals consist of products of hyperbolic cosine functions and can be computed using standard techniques. The solution for an incident wave from the left only can be obtained by reversing the symmetry decomposition (32). In particular, the EMM approximation of the reflection coefficient is obtained as
3.3. Solution Using a Singularity-Respecting Galerkin Approximation
Next, we solve the vertical barrier scattering problem using an SRGA, as described by [2]. We first introduce an auxiliary function, which is defined as . The continuity of implies that
Applying the orthogonality relationship (31) to the above then gives
The requirement that the velocity potential itself is also continuous must also be satisfied, namely
Substituting (47) into the above then gives rise to the following integral equation:
where
The approximation is to write
where following [2], the basis functions are chosen to be
in which describes the mth order Chebyshev polynomial of the first kind. This choice of basis functions presupposes the square-root singularity at and results in integrals, which can be expressed in closed form. Substituting the finite term approximation (51) into the integral Equation (49) then gives
Multiplying both sides of the above by for then gives rise to the following linear system of equations:
for , where
We note that this integral can be computed using identity (1.10.2) in [39]. After solving (54) for the unknown coefficients , the Galerkin approximation of the reflection coefficient may be recovered as
For numerical implementation, the series in (54) is truncated after terms. We remark that Porter and Evans [2] used asymptotic values of as to accelerate the convergence of this series, but we do not do this here in order to simplify the comparison with the EMM.
4. Results
4.1. Remarks on Computation
The results presented in this section were computed in MATLAB(R) R2024a on a workstation running Linux Mint 21.3 with two Intel © Xeon © Gold 6136 12-core processors operating at 3.00 GHz and 98 GB of RAM. In order to facilitate a fair comparison between the methods, we attempted to make the code as standard as possible. In particular, the following features should be noted:
- We used vectorized operations to assign the entries of the matrices required for both solution methods;
- We represented diagonal matrices as sparse matrices;
- We solved linear systems of equations using MATLAB’s backslash operator, regardless of the dimensions of the matrix;
- In the case of the vertical barrier problem, we solved the dispersion relation in a consistent manner for both methods, by using the fzero function in MATLAB, which is based on the Brent–Dekker method [43].
Note that parallelization was not used. We also note that when reporting the elapsed time of an algorithm, we give the minimum time elapsed taken from five identical runs. To facilitate the reproducibility of this study, the MATLAB functions used to solve the vertical barrier and channel problems using both the EMM and SRGA are provided in Supplementary Materials.
4.2. Parameters
For the channel scattering problem, the parameters are chosen to be m−1, m and m. For the vertical barrier scattering problem, the parameters are chosen to be s−1, m and m. In the interest of brevity, we do not systematically explore the effect of these parameters on the numerical error. However, in preliminary tests not shown here, our findings were found to be representative of the results obtained for a range of parameter values.
4.3. Establishing Surrogate True Values
Neither of the problems we consider has a known analytic solution. We remark that the analytic solution for the vertical barrier scattering problem derived by Ursell [44] using a complex function method is only valid for infinite depth. Moreover, an analytic solution is known for the problem of a thin barrier occupying half of the width of a channel [45], although this is not equivalent to the vertical barrier problem we consider due to the free surface boundary condition. Thus, a numerical method must be used to establish a surrogate true value to be used in subsequent convergence analysis. In this work, the desired accuracy of the surrogate is eight decimal places.
Let us denote as the Galerkin approximation of the reflection coefficient R with truncation parameters and . Likewise, let us denote as the EMM approximation of R with the truncation parameter R. Table 1a shows that when and , doubling either parameter leaves the first eight digits of unchanged. Table 1b shows that successive doubling of the parameter N only yields four digits of agreement of the quantities before the large memory requirement of the matrix in (43) makes further computation prohibitive. Thus, the Galerkin approximation with and is taken as the surrogate true value of the reflection coefficient, which we denote .
Table 1.
Convergence table of for the vertical barrier problem computed using (a) the singularity-respecting Galerkin approximation and (b) the eigenfunction matching method.
We repeat the analysis above for the channel scattering problem. Table 2a shows that when and in the SRGA, doubling either parameter leaves the first eight digits of unchanged. Table 2b shows that successive doubling of the parameter N in the EMM calculation only yields six digits of agreement before the size of the matrix in (15) makes further computation prohibitive. Thus, the surrogate true value of the reflection coefficient is again taken as the Galerkin approximation, this time with and .
Table 2.
Convergence table of for the channel scattering problem computed using (a) the singularity-respecting Galerkin approximation and (b) the eigenfunction matching method.
4.4. Convergence Analysis
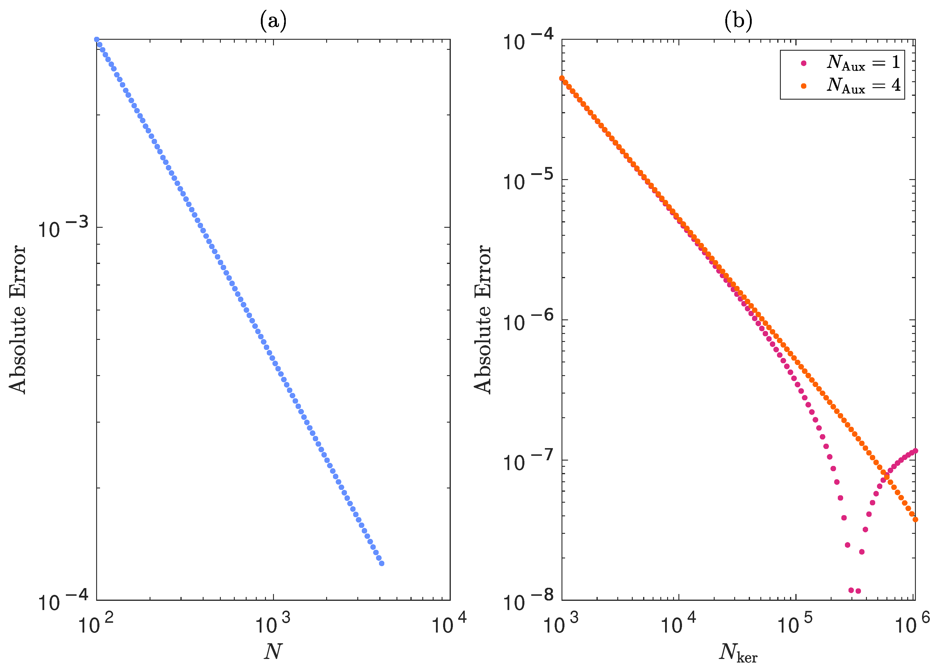
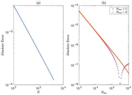
We compare the convergence rates of the EMM and both two- and five-term SRGAs (i.e., or ) for the vertical barrier scattering problem. The absolute errors are given as , and , respectively. Figure 3 shows that the absolute error of both methods follows power laws (at least initially). We separately compute and . Figure 4 shows that the more rapidly decaying power law of the SRGA translates into superior computational performance. It typically provides almost double the number of digits for a given amount of CPU time. For example, given approximately 1 s of CPU time, the EMM achieves an absolute error of , while the five-term SRGA achieves an absolute error of . Figure 3 and Figure 4 also show the effect of choosing or . We find that using fewer terms in the basis initially gives faster computation for the same level of accuracy but limits the accuracy that can be attained. We notice cusps (at and when CPU time s) where the solution for initially approaches the surrogate true value before veering off. The cause of these cusps is unclear.
Figure 3.
Convergence of (a) the eigenfunction expansion method and (b) singularity-respecting Galerkin approximations for the vertical barrier problem, with respect to the respective convergence parameters N and . In panel (b), results are given for both (magenta markers) and (orange markers).
Figure 4.
Relationship between the compute time and the absolute error for the eigenfunction expansion (blue dots) and 2-term or 5-term singularity-respecting Galerkin (magenta or orange dots, respectively) solutions to the vertical barrier problem.
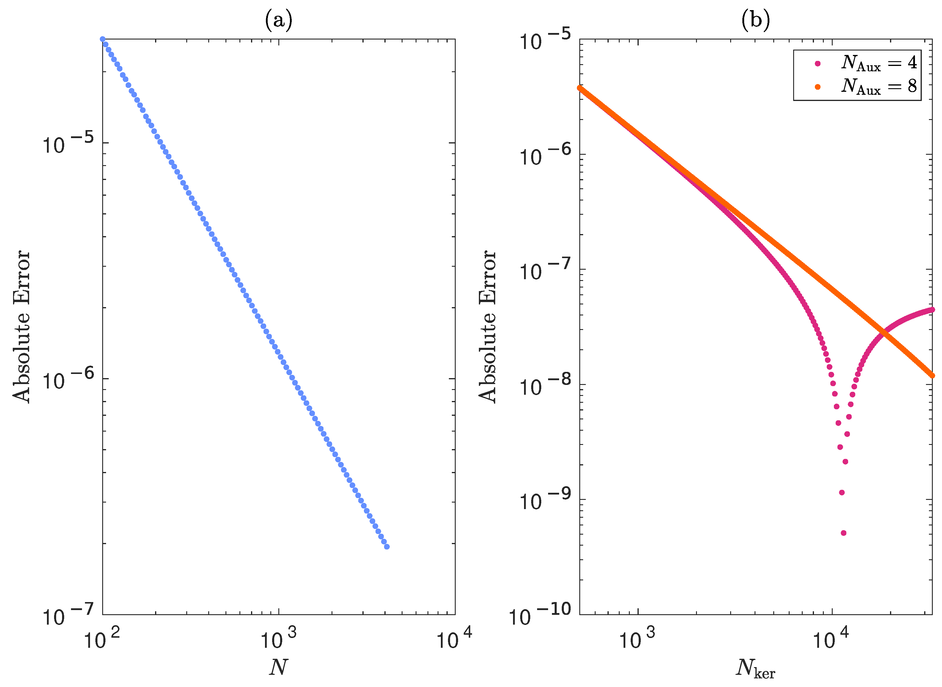
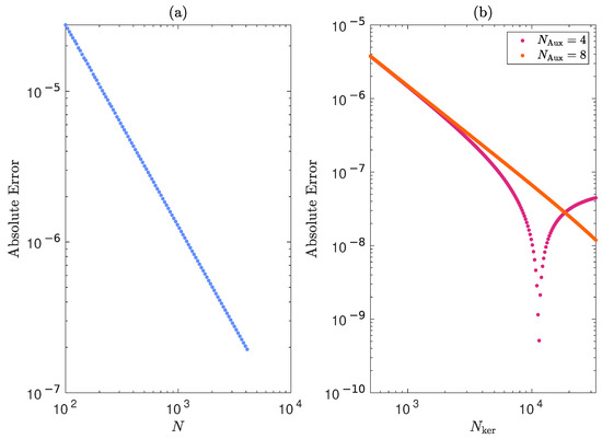
We repeat the above analysis for the problem of scattering in a channel by a step change in width. Figure 5 shows that the absolute error of both methods again follows power laws (at least initially). We compute and . Figure 6 shows that the SRGA again achieves superior computational performance versus the EMM. However, the contrast is not as stark as in the case of the vertical barrier. For example, given s of compute time, the EMM achieves an absolute error of , whereas the nine-term SRGA achieves an absolute error of . Figure 3 and Figure 4 also show the effect of choosing or . As for the vertical barrier problem, we again find that using fewer terms in the basis initially gives faster computation for the same level of accuracy but limits the accuracy that can be attained. Again, we notice cusps (at and when CPU time s) where the solution for initially approaches the surrogate true value before veering off.
Figure 5.
Convergence of (a) the eigenfunction expansion method and (b) singularity-respecting Galerkin approximations for the channel scattering problem, with respect to the respective convergence parameters N and . In panel (b), results are given for both (magenta markers) and (orange markers).
Figure 6.
Relationship between the compute time and the absolute error for the eigenfunction expansion (blue dots) and 5-term or 9-term singularity-respecting Galerkin (magenta or orange dots, respectively) solutions to the channel problem.
5. Conclusions
We derived the EMM and SRGA solutions of two simple water wave scattering problems, namely scattering by a vertical barrier and a step change in the width of a parallel-walled channel. Our results show that the MATLAB code based on the SRGA performs consistently faster than the code based on the EMM for the same degree of accuracy. However, the EMM still converges to the surrogate true value. In our results, it rapidly attains five figures of accuracy in the case of the channel scattering problem, requiring only the solution of a matrix to achieve this. The convergence of the EMM is poorer in the case of the vertical barrier scattering problem, owing to the stronger corner singularity (, versus for right-angled wedges). Even in this case, however, the reflection coefficient converges to within by solving a matrix system. While the EMM is not an efficient solution here, it gives a sufficient level of accuracy for many purposes for a relatively minor computational expense on modern hardware (requiring 1.6 s to solve on our machine). That said, caution should be taken in situations requiring high degrees of accuracy or efficiency, such as multiple scattering problems in which errors accumulate. Our results should serve as a practical guide for researchers selecting a numerical method for solving matching problems arising from linear water wave scattering problems.
Supplementary Materials
The supplementary materials are available at https://www.mdpi.com/article/10.3390/jmse13030398/s1.
Author Contributions
Conceptualization, B.W. and M.H.M.; methodology, B.W. and M.H.M.; software, B.W.; validation, B.W.; formal analysis, B.W. and M.H.M.; writing—original draft preparation, B.W.; writing—review and editing, B.W. and M.H.M.; visualization, B.W.; funding acquisition, M.H.M. All authors have read and agreed to the published version of the manuscript.
Funding
This project was supported by the Australian Research Council’s Discovery Projects funding scheme (DP240102104).
Institutional Review Board Statement
Not applicable.
Informed Consent Statement
Not applicable.
Data Availability Statement
The MATLAB functions required to reproduce this study are provided in Supplementary Materials.
Acknowledgments
The authors wish to acknowledge Richard Porter for providing valuable feedback on an earlier version of this manuscript.
Conflicts of Interest
The authors declare no conflicts of interest.
References
- Kuznetsov, N.; Maz’ya, V.; Vainberg, B. Linear Water Waves: A Mathematical Approach; Cambridge University Press: Cambridge, UK, 2002. [Google Scholar]
- Porter, R.; Evans, D. Complementary approximations to wave scattering by vertical barriers. J. Fluid Mech. 1995, 294, 155–180. [Google Scholar] [CrossRef]
- Evans, D.; Porter, R. Hydrodynamic characteristics of an oscillating water column device. Appl. Ocean Res. 1995, 17, 155–164. [Google Scholar] [CrossRef]
- Banerjea, S.; Kanoria, M.; Dolai, D.; Mandal, B. Oblique wave scattering by submerged thin wall with gap in finite-depth water. Appl. Ocean Res. 1996, 18, 319–327. [Google Scholar] [CrossRef]
- Evans, D.V.; Porter, R. Efficient Calculation of Hydrodynamic Properties of OWC-Type Devices. J. Offshore Mech. Arct. Eng. 1997, 119, 210–218. [Google Scholar] [CrossRef]
- Faltinsen, O.M.; Rognebakke, O.F.; Timokha, A.N. Two-dimensional resonant piston-like sloshing in a moonpool. J. Fluid Mech. 2007, 575, 359–397. [Google Scholar] [CrossRef]
- Wilks, B.; Montiel, F.; Wakes, S. Rainbow reflection and broadband energy absorption of water waves by graded arrays of vertical barriers. J. Fluid Mech. 2022, 941, A26. [Google Scholar] [CrossRef]
- Huang, J.; Porter, R. Water wave propagation through arrays of closely spaced surface-piercing vertical barriers. J. Fluid Mech. 2023, 960, A20. [Google Scholar] [CrossRef]
- Huang, J.; Porter, R. Scattering of water waves by multiple rows of vertical thin barriers. Wave Motion 2024, 125, 103258. [Google Scholar] [CrossRef]
- Chang, K.H.; Tsaur, D.H.; Huang, L.H. Accurate solution to diffraction around a modified V-shaped breakwater. Coast. Eng. 2012, 68, 56–66. [Google Scholar] [CrossRef]
- Martins-Rivas, H.; Mei, C.C. Wave power extraction from an oscillating water column at the tip of a breakwater. J. Fluid Mech. 2009, 626, 395–414. [Google Scholar] [CrossRef]
- Llewellyn Smith, S.G.; Davis, A.M.J. The split ring resonator. Proc. R. Soc. A Math. Phys. Eng. Sci. 2010, 466, 3117–3134. [Google Scholar] [CrossRef]
- Wilks, B.; Meylan, M.H.; Montiel, F.; Wakes, S. Generalized eigenfunction expansion and singularity expansion methods for two-dimensional acoustic time-domain wave scattering problems. Proc. R. Soc. A Math. Phys. Eng. Sci. 2024, 480, 20230845. [Google Scholar] [CrossRef]
- Porter, R. Complementary Methods and Bounds in Linear Water Waves. Ph.D. Thesis, University of Bristol, Bristol, UK, 1995. [Google Scholar]
- Fernyhough, M.; Evans, D.V. Scattering by periodic array of rectangular blocks. J. Fluid Mech. 1995, 305, 263–279. [Google Scholar] [CrossRef]
- Evans, D.V.; Fernyhough, M. Edge waves along periodic coastlines. Part 2. J. Fluid Mech. 1995, 297, 307–325. [Google Scholar] [CrossRef]
- Kanoria, M.; Dolai, D.; Mandal, B. Water-wave scattering by thick vertical barriers. J. Eng. Math. 1999, 35, 361–384. [Google Scholar] [CrossRef]
- Mandal, B.N.; Kanoria, M. Oblique Wave-Scattering by Thick Horizontal Barriers. J. Offshore Mech. Arct. Eng. 1999, 122, 100–108. [Google Scholar] [CrossRef]
- Kanoria, M. Water wave scattering by thick rectangular slotted barriers. Appl. Ocean Res. 2001, 23, 285–298. [Google Scholar] [CrossRef]
- Chakraborty, R.; Mandal, B.N. Oblique wave scattering by a rectangular submarine trench. ANZIAM J. 2015, 56, 286–298. [Google Scholar] [CrossRef]
- Li, A.; Liu, Y. New analytical solutions to water wave diffraction by vertical truncated cylinders. Int. J. Nav. Archit. Ocean Eng. 2019, 11, 952–969. [Google Scholar] [CrossRef]
- Linton, C. Accurate solution to scattering by a semi-circular groove. Wave Motion 2009, 46, 200–209. [Google Scholar] [CrossRef]
- Williams, T.; Porter, R. The effect of submergence on the scattering by the interface between two semi-infinite sheets. J. Fluids Struct. 2009, 25, 777–793. [Google Scholar] [CrossRef]
- Montiel, F.; Bennetts, L.; Squire, V. The transient response of floating elastic plates to wavemaker forcing in two dimensions. J. Fluids Struct. 2012, 28, 416–433. [Google Scholar] [CrossRef]
- Miles, J.W. Surface-wave scattering matrix for a shelf. J. Fluid Mech. 1967, 28, 755–767. [Google Scholar] [CrossRef]
- Mei, C.C.; Black, J.L. Scattering of surface waves by rectangular obstacles in waters of finite depth. J. Fluid Mech. 1969, 38, 499–511. [Google Scholar] [CrossRef]
- Black, J.L.; Mei, C.C.; Bray, M.C.G. Radiation and scattering of water waves by rigid bodies. J. Fluid Mech. 1971, 46, 151–164. [Google Scholar] [CrossRef]
- Garrett, C.J.R. Wave forces on a circular dock. J. Fluid Mech. 1971, 46, 129–139. [Google Scholar] [CrossRef]
- Yeung, R.W. Added mass and damping of a vertical cylinder in finite-depth waters. Appl. Ocean Res. 1981, 3, 119–133. [Google Scholar] [CrossRef]
- McIver, P. Scattering of Water Waves by Two Surface-piercing Vertical Barriers. IMA J. Appl. Math. 1985, 35, 339–355. [Google Scholar] [CrossRef]
- Fox, C.; Squire, V.A. On the oblique reflexion and transmission of ocean waves at shore fast sea ice. Philos. Trans. R. Soc. Lond. Ser. A Phys. Eng. Sci. 1994, 347, 185–218. [Google Scholar] [CrossRef]
- Sahoo, T.; Yip, T.L.; Chwang, A.T. Scattering of surface waves by a semi-infinite floating elastic plate. Phys. Fluids 2001, 13, 3215–3222. [Google Scholar] [CrossRef]
- Kohout, A.L.; Meylan, M.H. An elastic plate model for wave attenuation and ice floe breaking in the marginal ice zone. J. Geophys. Res. Ocean. 2008, 113. [Google Scholar] [CrossRef]
- Zheng, S.; Meylan, M.H.; Zhu, G.; Greaves, D.; Iglesias, G. Hydroelastic interaction between water waves and an array of circular floating porous elastic plates. J. Fluid Mech. 2020, 900, A20. [Google Scholar] [CrossRef]
- Wu, C.; Watanabe, E.; Utsunomiya, T. An eigenfunction expansion-matching method for analyzing the wave-induced responses of an elastic floating plate. Appl. Ocean Res. 1995, 17, 301–310. [Google Scholar] [CrossRef]
- Renzi, E. Hydroelectromechanical modelling of a piezoelectric wave energy converter. Proc. R. Soc. A Math. Phys. Eng. Sci. 2016, 472, 20160715. [Google Scholar] [CrossRef]
- Chwang, A.T.; Wu, J. Wave scattering by submerged porous disk. J. Eng. Mech. 1994, 120, 2575–2587. [Google Scholar] [CrossRef]
- Lee, M.M.; Chwang, A.T. Scattering and radiation of water waves by permeable barriers. Phys. Fluids 2000, 12, 54–65. [Google Scholar] [CrossRef]
- Bateman, H. Table of Integral Transforms; Mcgraw-Hill Book Company, Inc.: New York, NY, USA, 1954; Volume 1. [Google Scholar]
- Linton, C.M.; McIver, P. Handbook of Mathematical Techniques for Wave/Structure Interactions; Chapman & Hall: London, UK, 2001. [Google Scholar] [CrossRef]
- Mei, C.C.; Stiassnie, M.; Yue, D.K.P. Theory and Applications of Ocean Surface Waves Part 1: Linear Aspects; World Scientific: Singapore, 2005. [Google Scholar] [CrossRef]
- Meylan, M.H. Eigenfunction Matching for a Vertical Fixed Plate. 2010. Available online: https://wikiwaves.org/Eigenfunction_Matching_for_a_Vertical_Fixed_Plate (accessed on 1 October 2024).
- Brent, R.P. Algorithms for Minimization Without Derivatives; Prentice-Hall: Hoboken, NJ, USA, 1973. [Google Scholar]
- Ursell, F. The effect of a fixed vertical barrier on surface waves in deep water. Math. Proc. Camb. Philos. Soc. 1947, 43, 374–382. [Google Scholar] [CrossRef]
- Heins, A.E.; Baldwin, G.L. On the diffraction of a plane wave by an infinite plane grating. Math. Scand. 1954, 2, 103–118. [Google Scholar] [CrossRef][Green Version]
Disclaimer/Publisher’s Note: The statements, opinions and data contained in all publications are solely those of the individual author(s) and contributor(s) and not of MDPI and/or the editor(s). MDPI and/or the editor(s) disclaim responsibility for any injury to people or property resulting from any ideas, methods, instructions or products referred to in the content. |
© 2025 by the authors. Licensee MDPI, Basel, Switzerland. This article is an open access article distributed under the terms and conditions of the Creative Commons Attribution (CC BY) license (https://creativecommons.org/licenses/by/4.0/).





