Next Article in Journal
Numerical Investigation into the Hydrodynamic Performance of a Biodegradable Drifting Fish Aggregating Device
Previous Article in Journal
An Underwater Multisensor Fusion Simultaneous Localization and Mapping System Based on Image Enhancement
Previous Article in Special Issue
Characterization of Overtopping Volumes from Focused Wave Groups over Smooth Dikes with an Emerged Toe: Insights from Physical Model Tests
 
 
Font Type:
Arial Georgia Verdana
Font Size:
Aa Aa Aa
Line Spacing:
Column Width:
Background:
Article

Numerical Investigation of Tsunami Wave Force Acting on Twin Box-Girder Bridges

School of Civil Engineering and Transportation, South China University of Technology, Guangzhou 510641, China
*
Author to whom correspondence should be addressed.
J. Mar. Sci. Eng. 2024, 12(7), 1171; https://doi.org/10.3390/jmse12071171
Submission received: 7 June 2024 / Revised: 6 July 2024 / Accepted: 8 July 2024 / Published: 12 July 2024
(This article belongs to the Special Issue Wave Interactions with Coastal Structures II)

Abstract

Earthquakes in coastal areas frequently trigger tsunami waves, posing significant threats to low-lying coastal bridges. Investigating extreme wave force on bridge deck is crucial for understanding bridge damage mechanisms. However, the majority of current research focuses on single bridge deck, with limited analysis of wave impacts on twin bridge decks. In this paper, solitary wave is utilized to simulate tsunami wave, and a two-dimensional (2D) computational fluid dynamics (CFDs) model to analyze wave–bridge interactions and investigate the impact of tsunami wave on adjacent twin box-girder bridge decks. The numerical model was validated by solitary wave theory and wave force data obtained from the published experiment. Based on this model, the effects of the submergence coefficient, wave height, and deck spacing on the horizontal and vertical forces on the twin box-girder bridge decks were analyzed and compared with those in a single box-girder bridge deck. The results indicate that, firstly, due to wave reflection and the trapped water, the vertical wave force on the twin forward bridge deck significantly surpasses that on the single bridge deck. Furthermore, the twin backward bridge deck experiences greater horizontal force than single deck when the deck is completely submerged. Secondly, the maximum wave force on the twin bridge decks does not always consistently decrease with increasing deck spacing. Finally, the negative horizontal force would exceed the positive horizontal force on the twin forward bridge deck under higher wave. This paper delineates the disparities between twin and single box-girder bridge deck responses to wave action and analyzes the influencing factors. Such insights are pivotal for coastal bridge construction and natural disaster risk assessment.

1. Introduction

Bridges serve as a critical piece of infrastructure for coastal transportation. However, the extreme waves generated by tropical cyclones and earthquakes have led to massive damage on coastal bridge decks, resulting not only in disruption of the local transport system but also in substantial economic losses. For instance, the 2004 Sumatra earthquake caused a tsunami that affected hundreds of bridges along the west coast of Sumatra, Indonesia. Similarly, in 2005, Hurricane Katrina led to the collapse of 44 coastal bridges along the Gulf Coast, and in 2008, Hurricane Ike caused severe damage to 53 bridges in the Houston and Galveston areas of Texas, necessitating USD 400,000 for the repair of the Pelican Island Bridge [1,2]. Furthermore, the 2011 tsunami in Japan damaged more than 162,000 buildings and 300 bridges, with damages nearing USD 300 billion [3]. Additionally, in 2012, Hurricane Sandy inflicted significant damage to coastal infrastructure and bridges [4]. Among the various types of damage, the vertical lifting force and horizontal lateral load exerted by extreme waves on the bridge deck, leading to the failure of the connection between the bridge deck and substructure, are primary concerns. Therefore, investigating the mechanism of wave–bridge interaction and analyzing the changing patterns of wave loading on bridge decks are crucial for ensuring the structural safety and optimizing the design of coastal bridges.
To simplify experimental studies, many researchers opt for regular waves characterized by single frequency and wave parameters to simulate extreme waves. Common types of regular waves include solitary wave, stokes wave, and cnoidal wave [5,6,7]. Solitary waves are often employed to simulate extreme waves generated by tsunamis [8,9,10], whereas stokes waves and cnoidal waves are predominantly utilized for simulating extreme waves induced by hurricanes [11,12,13]. For example, Huang et al. [14] investigated the impact of water depth, wave height, and submergence coefficient on horizontal and vertical waves on box girder bridge decks exposed to solitary waves through wave flow flume experiments. Hayatdavoodi et al. [15] examined the changes in horizontal and vertical wave loads, as well as overturning moments, of submerged bridge decks under various cnoidal wave and solitary wave parameters. Fang et al. [16] studied the wave loads on coastal bridges with box girders using focused and regular waves, finding that air bubbles and overtopping water significantly affect the wave forces.
Although experimental methods can more precisely simulate wave–structure interaction and realistically capture the effect of trapped air on wave forces, conducting numerous simulations is both costly and time-consuming. Consequently, with the rapid development of computer technology, many researchers are opting for numerical investigations based on computational fluid dynamic (CFD) methods [17,18]. Zhang et al. [19] examined the hydrodynamic loads acting on a box girder bridge under the combined influence of regular waves and currents through experiments and numerical models. Zhu et al. [20] investigated solitary wave impacts on a box-girder bridge based on experimental and 3D numerical methods, finding that the vertical and horizontal forces increase with water depth under unsubmerged cases but decrease with larger water depth in submerged cases. Li et al. [21] evaluated the wave damping performance of floating breakwaters on the box-girder superstructure of coastal bridges under extreme wave conditions.
In addition to the aforementioned methods, smoothed particle hydrodynamics (SPHs), a mesh-free method that represents the continuum domain with discrete particles, has become increasingly popular for studying free surface flows [22,23]. Rafiee et al. [24] introduced a robust, reliable, and accurate two-phase SPHs solver to simulate complex hydrodynamic problems. Altomare et al. [25] used SPHs to model wave impacts on large structures in Spain. Sarfaraz and Pak [26] simulated tsunami wave forces on bridge superstructures using SPHs. Wu and Garlock [27] employed SPHs modeling to study various geometries of box girder bridges, assessing effective geometric forms and vulnerabilities.
Trapped air significantly influences the magnitude and duration of wave-induced loads when waves interact with the bridge structure, particularly impacting T-girder [28,29,30]. Azadbakht and Yim [31] conducted a numerical parametric study to examine the influence of this trapped air effect on resultant wave forces under different wave conditions for various bridge geometries. Xiao and Guo [32] found that incorporating venting holes effectively reduces the vertical wave forces on bridge decks, with the reduction increasing as the volume of the venting holes expands. Due to the influence of trapped air, compared to three-dimensional simulations, the two-dimensional simulations result in air being unable to escape laterally, thereby causing greater wave forces [33]. Zhu and Dong [34] found that the 2D model is effective for assessing most cases of decks without girders, showing good agreement with the experimental measurements. However, it fails for decks with girders, indicating its inability to handle the complex interactions among waves, structures, and trapped air, particularly in cases where trapped air plays an important role. Another method is an unstructured finite volume two-phase compressible model for violent aerated wave impacts [35].
Bridge structures directly influence the mechanism of bridge deck–wave interaction, with current research primarily focusing on T-girder and box girder bridge decks. Through an examination of wave height, girder spacing, and girder depth parameters, Moideen et al. [36] determined that increasing the girder spacing and depth effectively reduces the peak vertical wave force on T-beam bridge decks. Sun et al. [37] investigated the performance of submerged porous breakwater on the hydrodynamic loads of a coastal bridge deck under the impact of a solitary wave. Chen et al. [38] have determined through their research that opting for appropriate lateral restraining stiffness can diminish the wave forces impacting the box girder superstructure during episodes of extreme wave action. Xue et al. [39] examined the impact of fairing the T-girder deck on wave loads and proposed a hybrid approach that integrates air venting holes with an optimal fairing shape.
A twin bridge structure can meet the needs of transport and improve the efficiency of the overall transport system, especially in high-density urban areas or areas with high traffic flow. With the extension of the transport system to the coastal areas, the study of the force characteristics and mechanisms of twin bridges subjected to extreme wave action is of great significance for the construction and maintenance of coastal bridge projects under extreme wave conditions. Wave reflection results in significant differences in wave forces on twin bridges [40]. Additionally, submergence coefficient, wave height, water depth, and bridge deck spacing significantly influence the wave forces on various bridge decks [41]. However, there have been no studies of extreme wave forces on adjacent twin box-girder bridges.
Given this rationale, this paper focuses on studying adjacent twin box-girder bridges. Considering that box-girder bridges exhibit less significant trapped air under wave action compared to T-girders, and taking into account the computational cost and model complexity, this paper chose to use a 2D model for the research. Using a 2D numerical flume to simulate tsunami-induced wave action on twin box-girder bridges, this study conducts an in-depth analysis of the variation in wave forces under different operational conditions based on the numerical simulation results. The remainder of this paper is structured as follows: Section 2 presents the methodology for establishing a 2D numerical model based on computational fluid dynamics. Section 3 compares the time history curves of vertical and horizontal force on twin box-girders and single box-girder bridges exposed to wave and discusses the impacts of variations in submergence coefficient, wave height, and bridge deck spacing on the wave forces acting on the twin decks, along with an analysis of why the negative horizontal force exceeds the positive force. Finally, conclusions and remarks are drawn in Section 4.

2. Methods and Validation

2.1. Governing Equations

This paper employs the commercial software ANSYS Fluent 2023 R1 [42] to solve the Reynolds-averaged Navier–Stokes (RANS) equations, enabling the determination of the variations in the mean velocity field and pressure field of the incompressible fluid. For the two-dimensional model, the mass and momentum conservation equations are as follows:
u ¯ i x i = 0
ρ u ¯ i t + ρ u ¯ j u ¯ i x j = p ¯ x i + μ 2 u ¯ i x i x j ρ u i u j ¯ x j
where u i and u j are the average velocities in the i and j directions; u i and u j are the fluctuation velocities; x i and x j are the coordinate axes along the i and j directions; p ¯ is the average pressure; μ is the fluid viscosity; ρ is the fluid density; and t is the time.
The Shear Stress Transport (SST) k-ω turbulence model will be more suitable for simulating the turbulent interactions between the bridge deck and the waves since it combines the advantages of the k-ω model’s low Reynolds number near-wall zone computation and the k-ϵ model’s high Reynolds number computation in the zone of fully developed turbulence. The equations of the SST k-ω turbulence model are as follows:
t ρ k + x i ρ k u i = x j Γ k k x j + G ~ k Y k + S k
t ρ ω + x j ρ ω u j = x j Γ ω ω x j + G ω Y ω + D ω + S ω
where k is the turbulence kinetic energy and ω is the dissipation; Γ k and Γ ω represent the effective diffusivity of k and ω; G ~ k represents the generation of turbulence kinetic energy due to the mean velocity gradients, calculated from G k ; G ω represents the generation of ω; Y k and Y ω are the dissipation of k and ω; D ω represents the cross-diffusion term; S k and S ω are user-defined source terms.

2.2. Wave Theory

Tsunami wave development and beach impact largely depend on water surface disturbances, including underwater earthquakes, submarine landslides, and sudden coastal movements [43]. Since the 1970s, solitary waves have commonly been used to model tsunamis, especially in experimental and mathematical studies [44]. Solitary waves were chosen as a model of tsunamis because theoretical analysis shows that waves with net positive volume will eventually break up into a series of solitary waves if they travel a sufficient distance. Additionally, solitary waves, although nonlinear, can be described with just two parameters, making them advantageous for analysis. Furthermore, solitary waves maintain a constant form while propagating in constant depth [45].
Tsunami waves are simulated by generating solitary waves at the inlet velocity boundary, and the solitary wave theory equations are presented below:
η ( x , t ) = H s e c h 2 3 H 4 d x d c t d
u = g d H d s e c h 2 3 H 4 d x d c t d
v = 3 g d ( H d ) 1.5 y d s e c h 2 3 H 4 d x d c t d tanh 3 H 4 d x d c t d
c = g d + H
where η represents the wave profile, signifying the elevation in the water surface; u and v represent the velocities along x and y direction, respectively; c represents the wave celerity.
The computational domain of the numerical model is illustrated in Figure 1. AC represents the velocity inlet, BD denotes the velocity outlet, and AB serves as the pressure outlet. Additionally, AB functions as the no-slip wall. W is the width of the bridge deck and h is the girder height. Variables include the following: d represents the depth of the static water level, H represents the solitary wave height, and D t represents the spacing of the twin bridge decks.
According to Equation (5), when t = 0, the wave crest is located at x = 0. Thus, the solitary wave must be advanced to the velocity inlet boundary (beyond the computational domain) so that it becomes fully developed before entering the computational domain. This is accomplished by solving t 0 and replacing t with t t 0 , where t 0 = L m i n / c , and Lmin represents the minimum length of the wave crest reaching the inlet boundary after a certain time. L m i n should exceed the effective wavelength L e , where L e = 2 π d / 3 H / d . These equations are incorporated into the DEFINE_PROFILE macro within the User-Defined Function (UDF) using the C language to accomplish boundary velocity wave generation. The two-phase Volume of Fluid (VOF) model is utilized with an air set as the primary phase and water set as the second phase. To enhance numerical solution accuracy and convergence speed, the pressure-based solver employs the Pressure-Implicit with Splitting of Operators (PISOs), with the turbulence damping factor set to 50%, turbulent kinetic energy to 2%, and turbulence dissipation rate to 10%.

2.3. Wave Profile Validation

In the absence of the bridge structure, waves are generated in the computational domain using boundary velocity. The mesh division of the computational domain is as follows: the mesh of neighboring wave surfaces is encrypted to 0.02 m, while the mesh of the air and deep-water domain is set to 0.05 m. The change in the wave surface over time is monitored using the iso-surface method at a location of x = 6, 7, 8, 9 m from the inlet boundary. The still water level (SWL) of 1.76 m and wave height of 0.54 m serve as examples. As shown in Figure 2, the wave profile of the numerical simulation closely aligns with the theoretical solution, maintaining wave height errors within 2%, and no significant reflection interference phenomena were observed.

2.4. Wave Forces Validation

The results of wave forces on the fixed box-girder bridge superstructure derived from numerical simulation are compared with the experimental results completed in a wave flume by Huang et al. [14] to verify the reliability of the numerical model. The test is based on a typical box-girder bridge superstructure in coastal areas as a prototype, with a deck width of 15 m, a girder height of 2.1 m, and a base plate width of 7 m, and a 1:30 scale model is established, with the simplified model dimensions shown in Figure 3. In that experiment, the effects of surface tension and compressibility are relatively small in this open channel wave flow. Viscosity can also be neglected in this free-surface model when the model is not too small [46]. Thus, the Froude similitude is the major scaling criterion. However, Froude similarity alone is acceptable only when the model is considered a rigid structure, ignoring model deformation, its interaction with waves [47], and the fact that air cannot be scaled [48].
For validation purposes, the computational domain is configured to be 10 m long and 1.2 m high. The static water level is set to 0.623 m, and the wave height (H) is set to 0.167 m. The mesh in the neighboring wavefront and box beam structure is refined to 0.005, and a time step (dt) of 0.002 s is implemented to ensure that the maximum Courant number remains within 1. The original location of the solitary wave crest is positioned at the first 5 m from the velocity entrance boundary outside the computational domain, with t 0 = 1.8 s to ensure that the solitary wavefront profile is fully developed upon entering the inlet boundary. The center of the box-girder deck is located 3.5 m from the inlet boundary within the computational domain.
The results depicting the horizontal and vertical forces on the bridge are presented in Figure 4. Two distinct types of wave forces are observed in both vertical and horizontal directions. The high-frequency impact force, referred to as the slamming force, is evident. The maximum slamming force is indicated at points t 1 and t 2 in Figure 4a and point t 4 in Figure 4b. Additionally, the slowly varying force is referred to as the quasi-static force. The maximum quasi-static force is illustrated at point t 3 in Figure 4b and point t 5 in Figure 4b. The quasi-static force comprises three components: buoyancy, drag, and inertia forces. The difference in negative horizontal force may be attributed to the constraints of water spreading in the 2D simulation. While the slamming force varies with changes in the mesh size of the model wall during numerical simulation, this phenomenon does not affect the quasi-static force. Consequently, this paper primarily focuses on analyzing the quasi-static force.

3. Results and Discussion

Numerical models are established with single and twin box-girder bridges as the research objects, and different still water depths (corresponding to the submergence condition), wave heights, and bridge spacings are taken as the variables to investigate the vertical and horizontal wave forces on the bridges under different conditions. We simulate tsunami heights ranging from 2.7 m to 5.4 m in the real phenomenon. The wave parameters are scaled to 1:10. The corresponding wave parameters, along with the bridge spacings, are shown in Table 1.
In order to make the simulation more typical, the box-girder bridge prototype is selected to be widely used in coastal areas with a narrower bridge deck and two-lane structure; the box-girder width is 10.2 m, the height is 1.8 m, and the base plate width is 4.5 m [20]. The numerical model adopts the scale of 1:10, and the specific parameters are shown in Figure 5.
The computational domain is configured to be 24 m long and 3 m high, ensuring sufficient length for the full development of waves and minimizing the influence of the outlet boundary on wave reflection. In the computational domain of twin box-girder bridges, the bridge initially contacted by the waves is termed the twin forward bridge (deck), while the subsequent one is known as the twin backward bridge (deck). The single bridge is positioned identically to the twin forward bridge, located at x = 7 m from the entrance boundary, with the distance from the fixed bridge floor to the bottom of the computational domain set at 1.58 m. To enhance computational efficiency, the mesh in the core region of structural computation is refined, with the computational core area set as 0.02 m, while in other areas, it is set as 0.05 m. Wall encryption is implemented at 0.002 m to maintain Y+ within 50, as depicted in Figure 6. The time step is set to 0.002 s, ensuring that the maximum Courant number is around 0.25.

3.1. Comparison of Wave Force Time History

The submergence coefficient C s ( C s = ( d d ) / h ) represents the ratio of the difference between the still water level (SWL) and the girder bottom slab to the girder height of the bridge deck. It is positive when the SWL is higher than the box girder slab, zero when it is flush with the box girder slab, and negative when it is lower than the box girder slab. It is noted that the maximum horizontal and vertical forces described below are quasi-static forces. The vertical force is considered positive in the direction opposite to gravity, and the horizontal force is regarded as positive in the wave propagation direction.
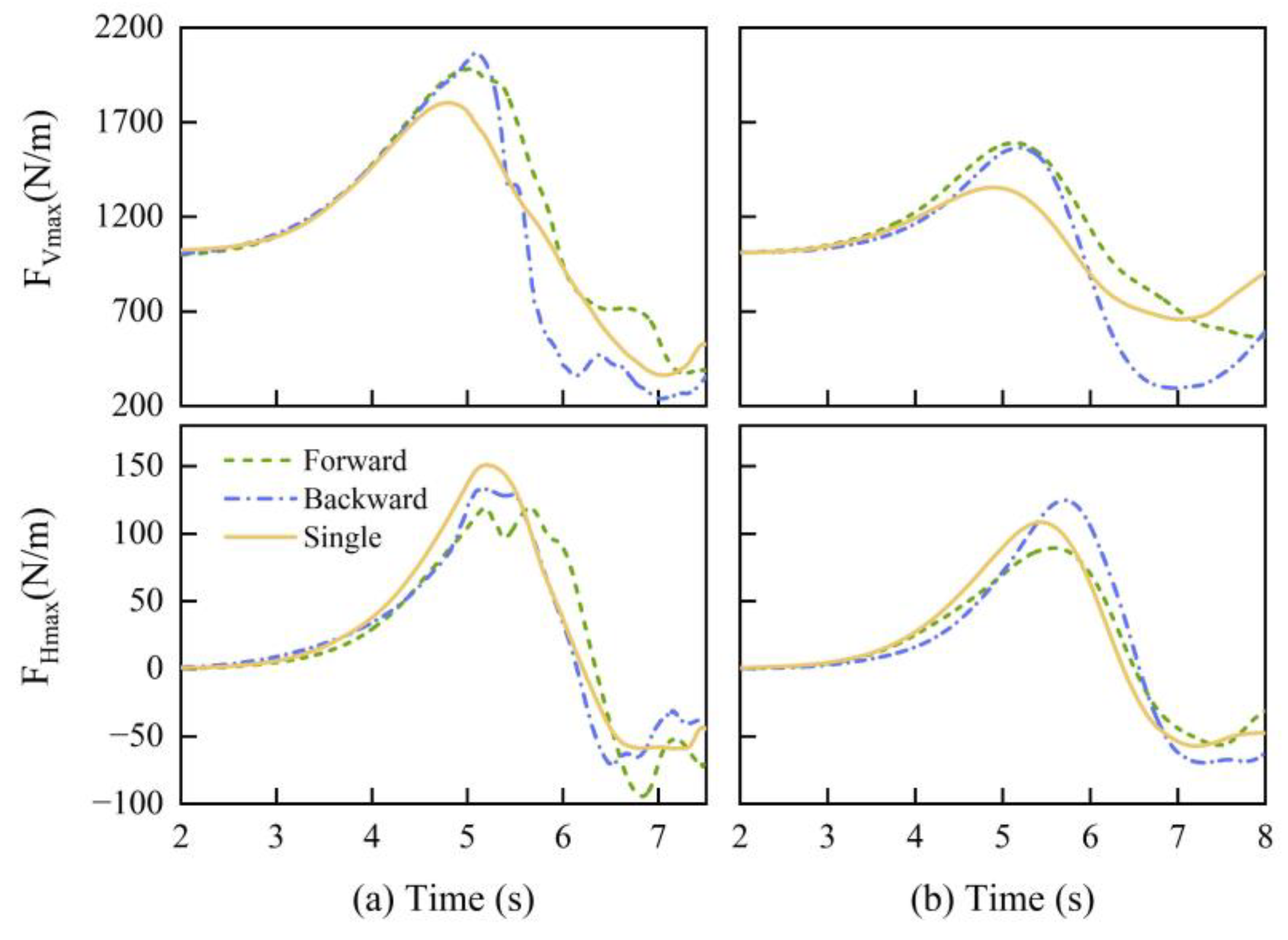
Since the wave force on the twin backward bridge lags behind the twin forward bridge and the single bridge, the wave force time history curves of the twin backward bridge are shifted to facilitate the comparison. Using the single bridge and the twin bridges with a deck spacing D t = 0.1 m as the objects of analysis, and a wave height H = 0.27 m as the representative case, the changes in wave force on the twin forward bridge, twin backward bridge, and single bridge were compared and analyzed according to the five submergence coefficients. Among them, under the condition of C s < 1, all of them exhibit the slamming force; the action time is short and much larger than the quasi-static force, as shown in Figure 7.
When C s = 0.5 ( d = 1.49 m) and the bridge is in elevated condition, after applying the curve translation treatment, as shown in Figure 7a, the wave forces on the twin bridges are roughly equivalent to that of the single bridge before encountering the second slamming force. However, when the solitary wave is reflected by the twin backward bridge web plate, the water level between the twin bridges becomes higher than that of the single bridge, as shown in Figure 8a,b (the figures use blue to represent water and orange to represent air). This results in more trapped water, leading to additional water pressure. Consequently, the maximum vertical wave force experienced by the backward bridge is more than 46% greater than that experienced by the single bridge. The existence of a certain blocking buffer effect of the forward bridge on the solitary wave results in the vertical wave force on the backward bridge to gradually decrease compared to the single bridge after the second slamming force. However, in the wave horizontal force time history curve, due to the additional water pressure from the trapped water between the twin bridges, the wave is subjected to additional negative horizontal forces towards the forward bridge, resulting in smaller positive horizontal forces towards the forward bridge than the single bridge, and negative horizontal slamming forces. Additionally, the backward bridge reduces the wave speed, resulting in a lower horizontal force on the backward bridge compared to the forward bridge.
When C s = 0 ( d = 1.58 m) and the SWL is flush with the box girder slab bridge, as shown in Figure 7b, the wave force time history curve resembles that of C s = 0.5 . The forward bridge experiences a maximum wave vertical force exceeding 20% greater than that of the single bridge, and it appears to have a slamming force when reaching the maximum quasi-static force. Conversely, the vertical wave force on the backward bridge was less than that on the single bridge. All three structures—the single bridge, the forward bridge, and the backward bridge—exhibit negative horizontal slamming force. Subsequently, the horizontal quasi-static force on the forward bridge continues to increase, while that on the backward bridge starts to decrease.
When C s = 0.5 ( d = 1.67 m), as shown in Figure 7c, the maximum vertical wave force experienced by the forward bridge is just more than 5% greater than that experienced by the single bridge and the backward bridge. Notably, the backward bridge is less affected by the trapped water pressure, with the maximum vertical force being close to that of the single deck. The maximum horizontal force experienced by the single bridge is 12% greater than that experienced by the twin forward bridge and 20% greater than that experienced by the twin backward bridge.
When C s = 1 ( d = 1.76 m) and the bridge deck is fully submerged, as shown in Figure 9a, the single bridge, forward bridge, and backward bridge exhibit the same vertical force time history before reaching their peaks. The single bridge reaches its maximum quasi-static vertical force first, followed by the forward bridge and then the backward bridge, which has the highest peak value. The maximum vertical force experienced by the backward bridge is 15% greater than that experienced by the single bridge, while the maximum vertical force experienced by the forward bridge is 10% greater than that experienced by the single bridge. Furthermore, the maximum horizontal force of the single deck still surpasses that of the twin bridges, but the maximum horizontal force of the backward bridge exceeds that of the forward bridge, and a bimodal phenomenon occurs. This bimodal phenomenon is attributed to the increased rate of the increase in the negative horizontal force, which reaches its maximum at the lowest point of depression. Subsequently, with the arrival of the crest of the wave at the back deck, the positive horizontal force increases again, as shown in Figure 8b. The maximum horizontal force is 22% less than that of the single bridge for the forward bridge and 12% less than that of the single deck for the backward bridge.
When C s = 1.5 ( d = 1.85 m), as shown in Figure 9b, it is evident that the vertical force curve of the backward bridge is nearly at the same level as that of the forward bridge, significantly surpassing that of the single bridge, with the maximum vertical force being more than 17% of the single bridge. Similarly, the maximum horizontal force of the backward bridge exceeds 15% of the single bridge’s maximum horizontal force, and it even surpasses 40% of the forward bridge’s maximum horizontal force. This highlights that the risk of damage to the backward bridge is higher than that of the forward bridge under this wave condition.

3.2. Parametric Study

In this subsection, the effects of the horizontal and vertical forces on twin box-girder bridges are analyzed based on the results of a large number of numerical simulations. The independent variables considered include the submergence coefficient, wave height, and deck spacing of twin box-girder bridges.

3.2.1. Effect of Submergence Coefficient

With the bridge spacing D t = 0.1 m remaining the focus of the analysis, five submergence coefficients ( C s = 0.5, 0, 0.5, 1, 1.5) serve as independent variables to assess alterations in the vertical and horizontal forces exerted on twin box-girder bridges subjected to solitary wave action. Additionally, a comparison is drawn with a single bridge positioned at the same location on the twin forward bridge. Figure 10 illustrates the comparison of wave forces acting on three bridges (single bridge, twin forward bridge, twin backward bridge) across different submergence coefficients.
The maximum vertical force on the single bridge increases with C s from −0.5 to 0.5, and all four wave height curves show an increasing trend. However, there is a steady state from C s = 0.5 to 1. Meanwhile, the forward bridge and the backward bridge maintain their rate of increase and reach the maximum value at C s = 1. When C s = 1, the vertical force on the backward bridge is close to that on the forward bridge. When the SWL is higher than the bridge deck, the maximum vertical force on both the single bridge and the twin bridges decreases rapidly. The trapped water between the twin bridges and the backward bridge has a greater effect, causing the maximum vertical force on the backward bridge to increase and decrease more rapidly than that on the forward bridge. In conclusion, the trend in vertical force change between the single bridge and the twin bridges tends to be similar. However, there is a steady state in the curve of the single bridge.
According to the horizontal force curves, initially, the maximum horizontal force on the single bridge increased under the four wave heights. For H = 0.45 m, 0.54 m, it began to decline continuously after C s = 1, while for H = 0.27, 0.36, it reached the maximum value at C s = 0.5. In comparison, the change in the horizontal force of the forward deck was smaller from C s = −0.5 to 0.5. A steady state appeared in all wave heights from C s = 0 to 0.5, followed by a sharp decrease, but overall, it also decreased with the increase in the submergence coefficient. The horizontal force curves on the forward bridge for H = 0.27 m, 0.36 m exhibited fluctuations; for H = 0.45 m and 0.54 m, there was a significant increase from C s = 0.5 to 1. In comparison with the single bridge and the forward bridge, the backward bridge did not exhibit a significant decrease in the horizontal force after C s = 0.5. This phenomenon is attributed to the water pressure caused by the trapped water between the twin bridges, as shown in Figure 11.

3.2.2. Effect of Wave Height

This section analyzes the effect of wave height on twin bridges using the non-dimensional parameter H / d to represent relative wave height, with a spacing of D t = 0.1 m as the object of the analysis.
Generally, as shown in Figure 12, the maximum vertical force on the twin forward bridge at the same position is greater than that on the single bridge. When C s = −0.5 and 0, the vertical force on the backward bridge is smaller than that on the single back. However, after C s = 0, the maximum vertical force on the backward bridge surpasses that of the single bridge, indicating that the single bridge experiences the least vertical force among the three. When C s = 1 and 1.5, the disparity in the maximum vertical force on the twin bridges becomes less apparent. Even under smaller wave heights at C s = 1, the vertical force on the backward bridge is slightly higher than that on the forward bridge.
The analysis of the maximum horizontal force, shown in Figure 12, reveals that the twin bridge exhibits a smaller maximum horizontal force compared to the single bridge. Notably, there is minimal disparity between the maximum horizontal force of the forward bridge and the backward bridge before C s = 1. However, when C s = 1 and H = 0.54 m, the maximum horizontal force of the backward bridge surpasses that of the single bridge. Subsequently, when C s = 1.5, the trapped water between the twin bridges exerts increased water pressure, causing the horizontal force on the backward bridge to consequently be significantly greater than that on the single bridge.
In brief, the presence of trapped water between the twin bridges results in the twin forward bridges experiencing greater vertical forces than the single bridge when subjected to tsunami waves at the same location. Particularly for the forward bridge, the vertical force reaches its peak when the bridge decks are fully submerged ( C s = 1), experiencing more than 19% greater vertical force than that experienced by the single bridge. However, the maximum horizontal force exhibits an opposite trend: the forward bridge experiences a lower maximum horizontal force compared to the single bridge. When completely submerged, the maximum vertical force on the backward bridge catches up with that of the forward bridge, resulting in the maximum horizontal force exceeding that of the single bridge.

3.2.3. Effect of Deck Spacing

In this part, twin bridges are studied, with the ratio of the distance ( D t ) between twin bridges and the width (W) of the bridge deck used as the dimensionless independent variable. By incrementally adjusting the deck spacing distance between twin bridges, the six variations are as follows: D t / W = 0.098, 0.147, 0.196, 0.245, 0.294, 0.343. The impact of the relative deck spacing, under various submergence coefficients, is analyzed in terms of both vertical and horizontal forces.
When C s = −0.5 and the clearance condition applies, the change in wave force with spacing is subtle. The maximum vertical force on the forward bridge appears to slightly decrease with increasing spacing, while on the backward bridge, it shows a slight increase, with changes within the range of 1% to 2%. Similarly, the maximum horizontal force on both the forward and backward bridges increases by 2% to 3% with increasing spacing.
When C s = 0, the maximum vertical force on the forward bridge exhibited a steady decreasing trend. For H = 0.54 m, there was a 4% decrease in vertical force from D t / W = 0.098 to 0.343, while for H = 0.45, there was a 17% decrease during the process. Meanwhile, the maximum horizontal force on the forward bridge showed a slow increase with the spacing until it started to decrease at D t / W = 0.294. The backward bridge experienced an increase only at D t / W = 0.147, followed by a gradual decrease.
When C s = 0.5, except D t / W decreases from 0.098 to 0.147, the reduction in vertical force is not significant as the relative spacing increases. The vertical force acting on the twin backward bridge decreases between D t / W = 0.098 and 0.147, whereas a notable increase is observed between D t / W = 0.294 and 0.343. The maximum horizontal force on the wave to the forward bridge appears to decrease from D t / W = 0.098 to 0.147, particularly for H = 0.45 m and 0.54 m, but then it shows an increasing trend with increasing relative spacing, eventually reaching a maximum at D t / W = 0.294. For H = 0.36 m, there is a slow, continuous increase. The curve representing H = 0.27 m shows no significant change in the maximum horizontal force. The changes in relative spacing have less obvious effects on the backward bridge for all waves. See Figure 13.
When C s = 1, the maximum vertical force exerted on the twin forward bridge decreased steadily with increasing spacing. Specifically, it notably decreased at D t / W = 0.196, while the twin backward bridge experienced notable oscillatory changes as the spacing increases. With increasing spacing, the horizontal force exerted on the twin forward bridge demonstrates a notable decrease, yet it exhibits a significant increase from D t / W = 0.294 to 0.343. In contrast, the backward bridge experiences a smaller change but maintains an overall decrease trend. See Figure 14.
When C s = 1.5, the maximum vertical force exerted on the forward bridge and backward bridge decreases steadily with increasing spacing. While the change in the backward bridge is minimal, there is an increase from D t / W = 0.294 to 0.343. Regarding the horizontal force, for H = 0.27 m and 0.36 m, the change in maximum horizontal force with increasing relative spacing is not significant. However, during the process from D t / W = 0.098 to 0.294, the horizontal force of the forward bridge shows a continuous increasing trend, but a significant decrease is observed at D t / W = 0.343, with the maximum value occurring at D t / W = 0.294. The horizontal force of the backward bridge decreases slightly with increasing spacing. See Figure 15.
In conclusion, the effect of deck spacing on wave force is not significant when the SWL is not submerged. However, after submergence begins, the rate of the decrease in the vertical force on the forward bridge with increasing deck spacing becomes more pronounced, particularly with larger submergence coefficients. The horizontal force on the forward bridge exhibits an increasing trend, reaching its peak at D t / W = 0.294. While the vertical force on the twin backward bridge decreases until D t / W = 0.343 with a subsequent rebound, the horizontal force exhibits a decreasing trend, although the decrease is not significant.

3.2.4. Negative Horizontal Force

Negative horizontal force refers to the horizontal force acting in the direction opposite to the wave direction. In numerous scenarios, the maximum negative horizontal force surpasses the maximum positive horizontal force on the twin bridges.
When C s = −0.5, for H = 0.54 m, the maximum negative horizontal force surpasses the maximum positive horizontal force on the twin forward bridge. Additionally, at D t / W = 0.098, it surpasses the maximum positive horizontal force by 12%. As shown in Figure 16a, although the negative horizontal forces of the single bridge and twin forward bridge are similar, the positive horizontal force of the twin forward bridge is relatively low. This results in a small difference between the positive and negative horizontal forces for the single bridge, while for the twin forward bridge, the negative horizontal force is greater than the positive horizontal force.
When C s = 0 and H = 0.36 m, as D t / W increases from 0.098 to 0.147, as shown in Figure 17a, the maximum negative horizontal force on the backward bridge surpasses 68% of the maximum positive horizontal force. Figure 18a,b depict the snapshot corresponding to the occurrence of the maximum negative horizontal force. At D t / W = 0.098, the solitary wave creates a brief trapped water, filling the space between the forward bridge and the backward bridge with water pressure, counteracting the negative water pressure. However, at D t / W = 0.147, the wave reaches its maximum negative horizontal force on the backward deck, as the trapped water in the twin bridges is not fully distributed, thereby failing to generate sufficient positive water pressure for the wave to the backward bridge. Consequently, at D t / W = 0.147, the negative horizontal force value is twice that of the maximum negative horizontal force at D t / W = 0.098. At this time, the positive and negative horizontal forces on the twin forward bridge are close to equilibrium, as shown in Figure 16b. However, between D t / W = 0.196 and 0.245, the negative horizontal force begins to decrease, dropping by 15%, and further decreases to D t / W = 0.294 by only 4%. For H = 0.45, the forward bridge experiences a negative horizontal force greater than the positive horizontal force, particularly at D t / W = 0.098 where the gap is widest, exceeding 20% of the positive horizontal force. At D t / W = 0.196, when the negative horizontal force reaches its peak, the back deck only surpasses 18% of the positive horizontal force at a spacing of D t / W = 0.245. As shown in Figure 18b, the positive horizontal force is lower than in other conditions due to the incomplete trapped water, resulting in the negative horizontal force surpassing the positive one exclusively in this instance.
When Cs = 0.5, 1, 1.5, all instances exhibited significant negative horizontal forces. Specifically, at H = 0.5, the maximum negative horizontal force exceeded 17% of the maximum positive horizontal force at D t / W = 0.147 due to the drop in the water level following the passage of the wave, whereas at Cs = 1, this figure only exceeded 3%, and when C s = 1.5, it surpassed 23% of the maximum positive horizontal force at D t / W = 0.098, as illustrated in Figure 18. In the same operational scenario, the maximum negative horizontal force did not exceed the maximum positive horizontal force on the single bridge.
In conclusion, the wave–bridge interaction for twin bridges involves multiple complex effects, such as wave reflection and wave runup [49,50], unlike that for a single bridge. Consequently, the negative horizontal force on the twin forward bridge exceeds the positive horizontal force at higher wave heights. Additionally, increasing the bridge spacing at specific wave heights results in a sudden and significant increase in the negative horizontal force on the twin backward bridge. Negative horizontal forces cannot be ignored in practical hydrologic conditions, particularly for the twin backward bridge when the water surface just submerges the bottom plate.

4. Conclusions

This paper develops a 2D numerical model based on computational fluid dynamics to simulate the response of the twin box-girder decks to tsunami wave action using solitary wave. The numerical model was validated by solitary wave theory and wave force data obtained from the published experiment. Based on this model, the effects of the submergence coefficient, wave height, and deck spacing on the horizontal and vertical forces on the twin box-girder bridge decks were analyzed and compared with those in a single box-girder bridge deck. The conclusions drawn are as follows:
(1)
The influence of wave reflection between twin box-girder bridges and the trapped water in the middle leads to significantly different time history for both vertical and horizontal forces on the twin box-girder bridge decks compared to those of the single box-girder bridge deck.
(2)
With the increase in the submergence coefficient, the trend in the vertical force change between the single bridge and the twin bridges tends to be similar. However, in comparison with the single bridge and the forward bridge, the horizontal force on the backward bridge did not exhibit a significant decrease.
(3)
The twin forward bridge experiences greater vertical forces than the single bridge when subjected to tsunami waves at the same location. Particularly, when the bridge decks are fully submerged ( C s = 1), the vertical wave force experienced by the forward bridge is more than 19% greater than that experienced by the single bridge. However, compared to the single bridge, the forward bridge experiences lower horizontal forces. When completely submerged, the maximum vertical force on the backward bridge catches up with that of the forward bridge, resulting in the maximum horizontal force exceeding that of the single bridge.
(4)
The effect of deck spacing on wave force is not significant when the SWL is not submerged. However, after submergence begins, the rate of the decrease in the vertical force on the forward bridge with increasing deck spacing becomes more pronounced, particularly with larger submergence coefficients. The horizontal force on the forward bridge exhibits an increasing trend, reaching its peak at D t / W = 0.294. While the vertical force on the twin backward bridge decreases until D t / W = 0.343 with a subsequent rebound, the horizontal force exhibits a decreasing trend, although the decrease is not significant.
(5)
For the twin bridges, attention should be paid not only to the positive horizontal force but also to the impact of the negative horizontal force. At the larger wave height H = 0.54, the maximum negative horizontal force exceeds the maximum positive horizontal force for forward bridge at different submergence coefficients. When C s = 0 and H = 0.36 m, at D t / W = 0.147, the maximum negative horizontal force on the backward bridge surpasses 68% of the maximum positive horizontal force.
In conclusion, in coastal engineering prone to tsunami wave effects, the twin box-girder bridge superstructure requires stronger vertical restraints than the single structure, attributed to wave reflection between bridge decks and the trapped water effects, to resist the impact of extreme vertical forces from tsunami waves, which is especially important for the forward bridge. Additionally, minor alterations in the deck spacing of adjacent twin box-girder bridges significantly reduce the vertical wave forces, while the impact on horizontal forces is smaller but can still show sudden, noticeable increases. Moreover, the twin forward bridge should be particularly vigilant regarding damage from negative horizontal forces during encounters with high tsunami wave heights, while the twin backward bridge requires stronger horizontal constraints compared to the single bridge and the twin forward bridge. This study is essential for coastal bridge construction and natural hazard risk assessment.
While significant insights are provided, certain areas warrant further exploration. Firstly, the focus is on the wave forces of solitary waves on twin box-girder bridges, and future studies should explore the effects of regular and irregular waves. Secondly, the use of a two-dimensional model, while insightful, could be expanded to three-dimensional simulations to better capture air escape and provide more realistic wave force measurements. Furthermore, due to the significance of negative horizontal forces on twin box-girder bridges, future research should focus on using flexible structures to analyze vibration phenomena. Lastly, the examination of one type of box girder structure indicates that investigating other structural types could further enrich the findings. In summary, incorporating a wider range of working conditions and additional factors influencing wave–structure interactions could lead to more accurate and comprehensive patterns, thereby enhancing the understanding of the effects of waves on twin bridges.

Author Contributions

Conceptualization, Q.Y. and X.L.; methodology, B.J. and Y.L.; software, Y.L.; validation, Y.L.; formal analysis, X.L.; investigation, X.L.; resources, Q.Y. and X.Y.; data curation, Q.Y.; writing—original draft, X.L.; writing—review and editing, B.J.; supervision, B.J. and X.Y.; project administration, Q.Y.; funding acquisition, B.J. and X.Y. All authors have read and agreed to the published version of the manuscript.

Funding

The authors appreciate the support from the Natural Science Foundation of Guangdong Province, China (Nos. 2022A1515011703, and 2022A1515011023) and Poly Changda Engineering Co., Ltd. (under the project “Research and Development of RPC Prefabricated Panels for I-Beam Joints in the B Section of the East Ring of Zhongshan”).

Institutional Review Board Statement

Not applicable.

Informed Consent Statement

Not applicable.

Data Availability Statement

The data presented in this study are available upon request.

Conflicts of Interest

The authors declare no conflicts of interest.

References

  1. Meng, B. Calculation of Extreme Wave Loads on Coastal Highway Bridges; Texas A&M University: College Station, TX, USA, 2008. [Google Scholar]
  2. Douglass, S.L.; Webb, B.M.; Kilgore, R.; Keenan, C. Highways in the Coastal Environment: Assessing Extreme Events; Federal Highway Administration: Washington, DC, USA, 2014. [Google Scholar]
  3. Qu, K.; Sun, W.; Tang, H.; Jiang, C.; Deng, B.; Chen, J. Numerical study on hydrodynamic load of real-world tsunami wave at highway bridge deck using a coupled modeling system. Ocean Eng. 2019, 192, 106486. [Google Scholar] [CrossRef]
  4. Wong, H.K. Three-Dimensional Effects of Tsunami Impact on Bridges. Master’s Thesis, University of Washington, Seattle, WA, USA, 2015. [Google Scholar]
  5. Chen, X.; Chen, Z.; Xu, G.; Zhuo, X.; Deng, Q. Review of wave forces on bridge decks with experimental and numerical methods. Adv. Bridge Eng. 2021, 2, 1–24. [Google Scholar] [CrossRef]
  6. Rahman, J.; Billah, A. Wave loading on bridges: A state-of-the-art review. In Proceedings of the Canadian Society of Civil Engineering Annual Conference; Springer Nature: Singapore, 2021; pp. 367–380. [Google Scholar]
  7. Zhu, D.; Yuan, P.; Dong, Y. Probabilistic performance of coastal bridges under hurricane waves using experimental and 3D numerical investigations. Eng. Struct. 2021, 242, 112493. [Google Scholar] [CrossRef]
  8. Cai, Y.; Agrawal, A.; Qu, K.; Tang, H.S. Numerical Investigation of Connection Forces of a Coastal Bridge Deck Impacted by Solitary Waves. J. Bridge Eng. 2018, 23, 04017108. [Google Scholar] [CrossRef]
  9. Xiang, T.; Istrati, D.; Yim, S.C.; Buckle, I.G.; Lomonaco, P. Tsunami Loads on a Representative Coastal Bridge Deck: Experimental Study and Validation of Design Equations. J. Waterw. Port Coast. Ocean Eng. 2020, 146, 04020022. [Google Scholar] [CrossRef]
  10. Zhao, E.; Sun, J.; Tang, Y.; Mu, L.; Jiang, H. Numerical investigation of tsunami wave impacts on different coastal bridge decks using immersed boundary method. Ocean Eng. 2020, 201, 107132. [Google Scholar] [CrossRef]
  11. Qu, K.; Sun, W.Y.; Kraatz, S.; Deng, B.; Jiang, C.B. Effects of floating breakwater on hydrodynamic load of low-lying bridge deck under impact of cnoidal wave. Ocean Eng. 2020, 203, 107217. [Google Scholar] [CrossRef]
  12. Wen, B.H.; Qu, K.; Lan, G.Y.; Sun, W.Y.; Yao, Y.; Deng, B.; Jiang, C.B. Numerical study on hydrodynamic characteristics of coastal bridge deck under joint action of regular waves and wind. Ocean Eng. 2022, 245, 110450. [Google Scholar] [CrossRef]
  13. Yin, R.-T.; Zhu, B.; Tian, Y.; Yang, Z.-Y.; Yang, Z.-Y. Numerical investigation on aerodynamic performance of a streamlined box deck accounting for Stokes wave boundary effects. J. Fluids Struct. 2022, 110, 103533. [Google Scholar] [CrossRef]
  14. Huang, B.; Yang, Z.; Zhu, B.; Zhang, J.; Kang, A.; Pan, L. Vulnerability assessment of coastal bridge superstructure with box girder under solitary wave forces through experimental study. Ocean Eng. 2019, 189, 106337. [Google Scholar] [CrossRef]
  15. Hayatdavoodi, M.; Treichel, K.; Ertekin, R.C. Parametric study of nonlinear wave loads on submerged decks in shallow water. J. Fluids Struct. 2019, 86, 266–289. [Google Scholar] [CrossRef]
  16. Fang, Q.; Jia, J.; Guo, T.; Wang, Z.; Liu, C. Wave forces acting on the coastal bridge deck under focused and regular waves. Ocean Eng. 2023, 276, 114239. [Google Scholar] [CrossRef]
  17. Zawawi, M.H.; Saleha, A.; Salwa, A.; Hassan, N.H.; Zahari, N.M.; Ramli, M.Z.; Muda, Z.C. A review: Fundamentals of computational fluid dynamics (CFD). AIP Conf. Proc. 2018, 2030, 020252. [Google Scholar] [CrossRef]
  18. Windt, C.; Davidson, J.; Ringwood, J.V. High-fidelity numerical modelling of ocean wave energy systems: A review of computational fluid dynamics-based numerical wave tanks. Renew. Sustain. Energy Rev. 2018, 93, 610–630. [Google Scholar] [CrossRef]
  19. Zhang, J.; Zhu, B.; Kang, A.; Yin, R.; Li, X.; Huang, B. Experimental and numerical investigation of wave-current forces on coastal bridge superstructures with box girders. Adv. Struct. Eng. 2020, 23, 1438–1453. [Google Scholar] [CrossRef]
  20. Zhu, D.; Dong, Y.; Frangopol, D.M. Experimental and numerical investigation on wave impacts on box-girder bridges. Struct. Infrastruct. Eng. 2022, 18, 1379–1397. [Google Scholar] [CrossRef]
  21. Li, L.; Huang, B.; Qian, S.; Yang, Z.; Zhou, J.; Ren, Q.; Zhu, B. Study on the impact of the perforated floating breakwater on coastal bridge with box-girder superstructure under two-dimensional focused waves. Ocean Eng. 2023, 290, 116379. [Google Scholar] [CrossRef]
  22. Monaghan, J.J. Simulating Free Surface Flows with SPH. J. Comput. Phys. 1994, 110, 399–406. [Google Scholar] [CrossRef]
  23. Gingold, R.A.; Monaghan, J.J. Smoothed particle hydrodynamics: Theory and application to non-spherical stars. Mon. Not. R. Astron. Soc. 1977, 181, 375–389. [Google Scholar] [CrossRef]
  24. Rafiee, A.; Dutykh, D.; Dias, F. Numerical Simulation of Wave Impact on a Rigid Wall Using a Two–phase Compressible SPH Method. Procedia IUTAM 2015, 18, 123–137. [Google Scholar] [CrossRef]
  25. Altomare, C.; Tafuni, A.; Domínguez, J.M.; Crespo, A.J.C.; Gironella, X.; Sospedra, J. SPH Simulations of Real Sea Waves Impacting a Large-Scale Structure. J. Mar. Sci. Eng. 2020, 8, 826. [Google Scholar] [CrossRef]
  26. Sarfaraz, M.; Pak, A. SPH numerical simulation of tsunami wave forces impinged on bridge superstructures. Coast. Eng. 2017, 121, 145–157. [Google Scholar] [CrossRef]
  27. Wu, G.; Garlock, M. Investigating the effects of box girder bridge geometry on solitary wave force using SPH modeling. Coast. Eng. 2024, 187, 104430. [Google Scholar] [CrossRef]
  28. Bozorgnia, M.; Lee, J.-J.; Raichlen, F. Wave Structure Interaction: Role of Entrapped Air on Wave Impact and Uplift Forces. Coast. Eng. Proc. 2011, 1, structures.57. [Google Scholar] [CrossRef]
  29. Bricker, J.D.; Kawashima, K.; Nakayama, A. CFD analysis of bridge deck failure due to tsunami. In Proceedings of the International Symposium on Engineering Lessons Learned from the 2011 Great East Japan Earthquake, Tokyo, Japan, 1–4 March 2012; pp. 1–4. [Google Scholar]
  30. Xu, G.; Cai, C.S.; Chen, Q. Countermeasure of Air Venting Holes in the Bridge Deck–Wave Interaction under Solitary Waves. J. Perform. Constr. Facil. 2017, 31, 04016071. [Google Scholar] [CrossRef]
  31. Azadbakht, M.; Yim, S.C. Effect of trapped air on wave forces on coastal bridge superstructures. J. Ocean Eng. Mar. Energy 2016, 2, 139–158. [Google Scholar] [CrossRef]
  32. Xiao, S.-C.; Guo, A.-X. Effects of air relief openings on the mitigation of solitary wave forces on bridge decks. J. Hydrodyn. 2019, 31, 594–602. [Google Scholar] [CrossRef]
  33. Bozorgnia, M. Computational Fluid Dynamic Analysis of Highway Bridge Superstructures Exposed to Hurricane Waves. Ph.D. Thesis, University of Southern California, Los Angeles, CA, USA, 2012. [Google Scholar]
  34. Zhu, D.; Dong, Y. Experimental and 3D numerical investigation of solitary wave forces on coastal bridges. Ocean Eng. 2020, 209, 107499. [Google Scholar] [CrossRef]
  35. Dias, F.; Dutykh, D.; Ghidaglia, J.-M. A two-fluid model for violent aerated flows. Comput. Fluids 2010, 39, 283–293. [Google Scholar] [CrossRef]
  36. Moideen, R.; Ranjan Behera, M.; Kamath, A.; Bihs, H. Effect of Girder Spacing and Depth on the Solitary Wave Impact on Coastal Bridge Deck for Different Airgaps. J. Mar. Sci. Eng. 2019, 7, 140. [Google Scholar] [CrossRef]
  37. Sun, W.Y.; Qu, K.; Kraatz, S.; Deng, B.; Jiang, C.B. Numerical investigation on performance of submerged porous breakwater to mitigate hydrodynamic loads of coastal bridge deck under solitary wave. Ocean Eng. 2020, 213, 107660. [Google Scholar] [CrossRef]
  38. Chen, M.; Huang, B.; Yang, Z.; Ren, Q.; Zhu, B. The Influence of Lateral Restraining Stiffness on the Box-Girder Superstructure under Unbroken Solitary Waves. J. Mar. Sci. Eng. 2022, 10, 1019. [Google Scholar] [CrossRef]
  39. Xue, S.; Xie, W.; Xu, G.; Han, Y.; Wang, J. A novel combined countermeasure of fairing-openings for mitigating extreme wave forces on typical coastal low-lying bridges. Ocean Eng. 2022, 257, 111717. [Google Scholar] [CrossRef]
  40. Xu, G.; Cai, C.S.; Han, Y. Investigating the Characteristics of the Solitary Wave-Induced Forces on Coastal Twin Bridge Decks. J. Perform. Constr. Facil. 2016, 30, 04015076. [Google Scholar] [CrossRef]
  41. Xu, G.; Chen, Q.; Zhu, L.; Chakrabarti, A. Characteristics of the Wave Loads on Coastal Low-Lying Twin-Deck Bridges. J. Perform. Constr. Facil. 2018, 32, 04017132. [Google Scholar] [CrossRef]
  42. Matsson, J.E. An Introduction to Ansys Fluent 2023; SDC Publications: Mission, KS, USA, 2023. [Google Scholar]
  43. Dias, F.; Dutykh, D.; O’Brien, L.; Renzi, E.; Stefanakis, T. On the modelling of tsunami generation and tsunami inundation. Procedia IUTAM 2014, 10, 338–355. [Google Scholar] [CrossRef]
  44. Madsen, P.A.; Fuhrman, D.R.; Schäffer, H.A. On the solitary wave paradigm for tsunamis. J. Geophys. Res. Ocean. 2008, 113. [Google Scholar] [CrossRef]
  45. Goring, D.G.; Raichlen, F. Tsunamis, the Propagation of Long Waves onto a Shelf; WM Keck Laboratory of Hydraulics and Water Resources, Division of Engineering and Applied Science, California Institute of Technology: Pasadena, CA, USA, 1978. [Google Scholar]
  46. Briggs, M.J. Basics of Physical Modeling in Coastal and Hydraulic Engineering; Citeseer: Princeton, NJ, USA, 2013. [Google Scholar]
  47. Chakrabarti, S. Physical model testing of floating offshore structures. In Proceedings of the Dynamic Positioning Conference, Houston, TX, USA, 13–14 October 1998; pp. 1–33. [Google Scholar]
  48. Watanabe, M.; Arikawa, T. Elucidation of wave pressure acting on a wave-cut notch beneath a coastal cliff based on laboratory experiments and numerical modeling. Ocean Eng. 2023, 270, 113656. [Google Scholar] [CrossRef]
  49. Carbone, F.; Dutykh, D.; Dudley, J.M.; Dias, F. Extreme wave runup on a vertical cliff. Geophys. Res. Lett. 2013, 40, 3138–3143. [Google Scholar] [CrossRef]
  50. Ma, Z.; Zhou, T.; Ren, N.; Zhai, G. A comprehensive study of the wave impact loads on an inclined plate. J. Mar. Sci. Eng. 2019, 7, 103. [Google Scholar] [CrossRef]
Figure 1. Schematic of the computational domain.
Figure 1. Schematic of the computational domain.
Jmse 12 01171 g001
Figure 2. Schematic of wave height verification (d = 1.76 m, H = 0.54 m).
Figure 2. Schematic of wave height verification (d = 1.76 m, H = 0.54 m).
Jmse 12 01171 g002
Figure 3. Structural diagram of bridge to verify wave force (unit: mm).
Figure 3. Structural diagram of bridge to verify wave force (unit: mm).
Jmse 12 01171 g003
Figure 4. Comparison of numerical simulation results with experimental wave forces: (a) vertical force; (b) horizontal force; Huang et al. (2019) [14].
Figure 4. Comparison of numerical simulation results with experimental wave forces: (a) vertical force; (b) horizontal force; Huang et al. (2019) [14].
Jmse 12 01171 g004
Figure 5. Structural diagram of box bridge model (unit: mm).
Figure 5. Structural diagram of box bridge model (unit: mm).
Jmse 12 01171 g005
Figure 6. Diagram of mesh around structures (scale = 0.4).
Figure 6. Diagram of mesh around structures (scale = 0.4).
Jmse 12 01171 g006
Figure 7. Comparison of wave force time history (H = 0.27): (a) Cs = −0.5; (b) Cs = 0; (c) Cs = 0.5.
Figure 7. Comparison of wave force time history (H = 0.27): (a) Cs = −0.5; (b) Cs = 0; (c) Cs = 0.5.
Jmse 12 01171 g007
Figure 8. Snapshot of the wave–bridge interaction (scale = 0.52).
Figure 8. Snapshot of the wave–bridge interaction (scale = 0.52).
Jmse 12 01171 g008
Figure 9. Comparison of wave force time history (H = 0.27): (a) Cs = 1; (b) Cs = 1.5.
Figure 9. Comparison of wave force time history (H = 0.27): (a) Cs = 1; (b) Cs = 1.5.
Jmse 12 01171 g009
Figure 10. Comparison of wave force between single bridge and twin bridges with different submerged coefficients.
Figure 10. Comparison of wave force between single bridge and twin bridges with different submerged coefficients.
Jmse 12 01171 g010
Figure 11. Comparison of total pressure snapshot when (a) twin forward bridge and (b) twin backward bridge reached maximum horizontal force (scale = 0.52).
Figure 11. Comparison of total pressure snapshot when (a) twin forward bridge and (b) twin backward bridge reached maximum horizontal force (scale = 0.52).
Jmse 12 01171 g011
Figure 12. Comparison of wave forces under different relative wave heights: (a) Cs = −0.5; (b) Cs = 0; (c) Cs = 0.5; (d) Cs = 1; (e) Cs = 1.5.
Figure 12. Comparison of wave forces under different relative wave heights: (a) Cs = −0.5; (b) Cs = 0; (c) Cs = 0.5; (d) Cs = 1; (e) Cs = 1.5.
Jmse 12 01171 g012
Figure 13. The relationship between maximum wave force and relative spacing under different wave height (Cs = 0.5): (a) the forward bridge; (b) the backward bridge.
Figure 13. The relationship between maximum wave force and relative spacing under different wave height (Cs = 0.5): (a) the forward bridge; (b) the backward bridge.
Jmse 12 01171 g013
Figure 14. The relationship between maximum wave force and relative spacing under different wave height (Cs = 1): (a) the forward bridge; (b) the backward bridge.
Figure 14. The relationship between maximum wave force and relative spacing under different wave height (Cs = 1): (a) the forward bridge; (b) the backward bridge.
Jmse 12 01171 g014
Figure 15. The relationship between maximum wave force and relative spacing under different wave height (Cs = 1.5): (a) the forward bridge; (b) the backward bridge.
Figure 15. The relationship between maximum wave force and relative spacing under different wave height (Cs = 1.5): (a) the forward bridge; (b) the backward bridge.
Jmse 12 01171 g015
Figure 16. Diagram of the negative horizontal force in the time curve.
Figure 16. Diagram of the negative horizontal force in the time curve.
Jmse 12 01171 g016
Figure 17. Comparison of positive and negative horizontal forces.
Figure 17. Comparison of positive and negative horizontal forces.
Jmse 12 01171 g017
Figure 18. Snapshot of the wave–deck interaction. When the bridge deck curve reaches peak negative horizontal force: (ac) Cs = 0, H = 0.36; (df) Cs = 0, H = 0.54 (scale = 0.52).
Figure 18. Snapshot of the wave–deck interaction. When the bridge deck curve reaches peak negative horizontal force: (ac) Cs = 0, H = 0.36; (df) Cs = 0, H = 0.54 (scale = 0.52).
Jmse 12 01171 g018
Table 1. Variable parameters.
Table 1. Variable parameters.
d (m)H (m)Dt (m)
1.49, 1.58, 1.67, 1.76, 1.850.27, 0.36, 0.45, 0.541.0, 1.5, 2, 2.5, 3, 3.5
Disclaimer/Publisher’s Note: The statements, opinions and data contained in all publications are solely those of the individual author(s) and contributor(s) and not of MDPI and/or the editor(s). MDPI and/or the editor(s) disclaim responsibility for any injury to people or property resulting from any ideas, methods, instructions or products referred to in the content.

Share and Cite

MDPI and ACS Style

Yan, Q.; Li, X.; Jia, B.; Yu, X.; Luo, Y. Numerical Investigation of Tsunami Wave Force Acting on Twin Box-Girder Bridges. J. Mar. Sci. Eng. 2024, 12, 1171. https://doi.org/10.3390/jmse12071171

AMA Style

Yan Q, Li X, Jia B, Yu X, Luo Y. Numerical Investigation of Tsunami Wave Force Acting on Twin Box-Girder Bridges. Journal of Marine Science and Engineering. 2024; 12(7):1171. https://doi.org/10.3390/jmse12071171

Chicago/Turabian Style

Yan, Quansheng, Xianyun Li, Buyu Jia, Xiaolin Yu, and Yufan Luo. 2024. "Numerical Investigation of Tsunami Wave Force Acting on Twin Box-Girder Bridges" Journal of Marine Science and Engineering 12, no. 7: 1171. https://doi.org/10.3390/jmse12071171

APA Style

Yan, Q., Li, X., Jia, B., Yu, X., & Luo, Y. (2024). Numerical Investigation of Tsunami Wave Force Acting on Twin Box-Girder Bridges. Journal of Marine Science and Engineering, 12(7), 1171. https://doi.org/10.3390/jmse12071171

Note that from the first issue of 2016, this journal uses article numbers instead of page numbers. See further details here.

Article Metrics

Back to TopTop