Research on Structural Collapse of a Containership under Combined Bending–Torsion by Oblique Waves
Abstract
1. Introduction
1.1. Background of This Paper
1.2. Research on the Collapsed Response of Ship Structure under Bending and Torsional Moments
1.3. Hydroelastic Response of a Ship’s Structure in Oblique Waves
1.4. Hydroelasto-Plasticity Research of Ships in Large Waves
1.5. Objective of This Paper
2. Numerical Methodology
2.1. Computational Fluid Dynamics
2.2. Nonlinear FEM
2.3. Two-Way FSI Coupling CFD and Nonlinear FEM
3. Numerical Modeling of Containership
3.1. Description of a 4600 TEU Containership and Wave Cases
3.2. CFD Model of 4600 TEU Containership
3.3. Nonlinear FEM Model of 4600 TEU Containership
4. Time-Domain Hydroelasto-Plastic Response Analyses
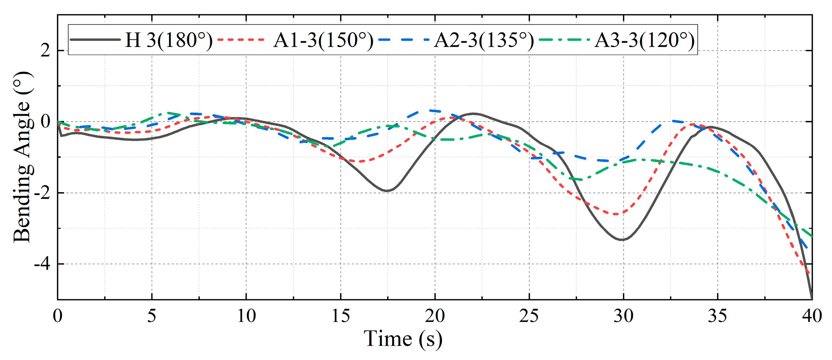
4.1. Time-Domain Bending Angle and Torsional Angle
4.2. Time-Domain Stress History
4.3. Time-Domain History of VBM and Torsional Moment
4.4. Analysis of Collapsed Course of Typical Oblique Waves
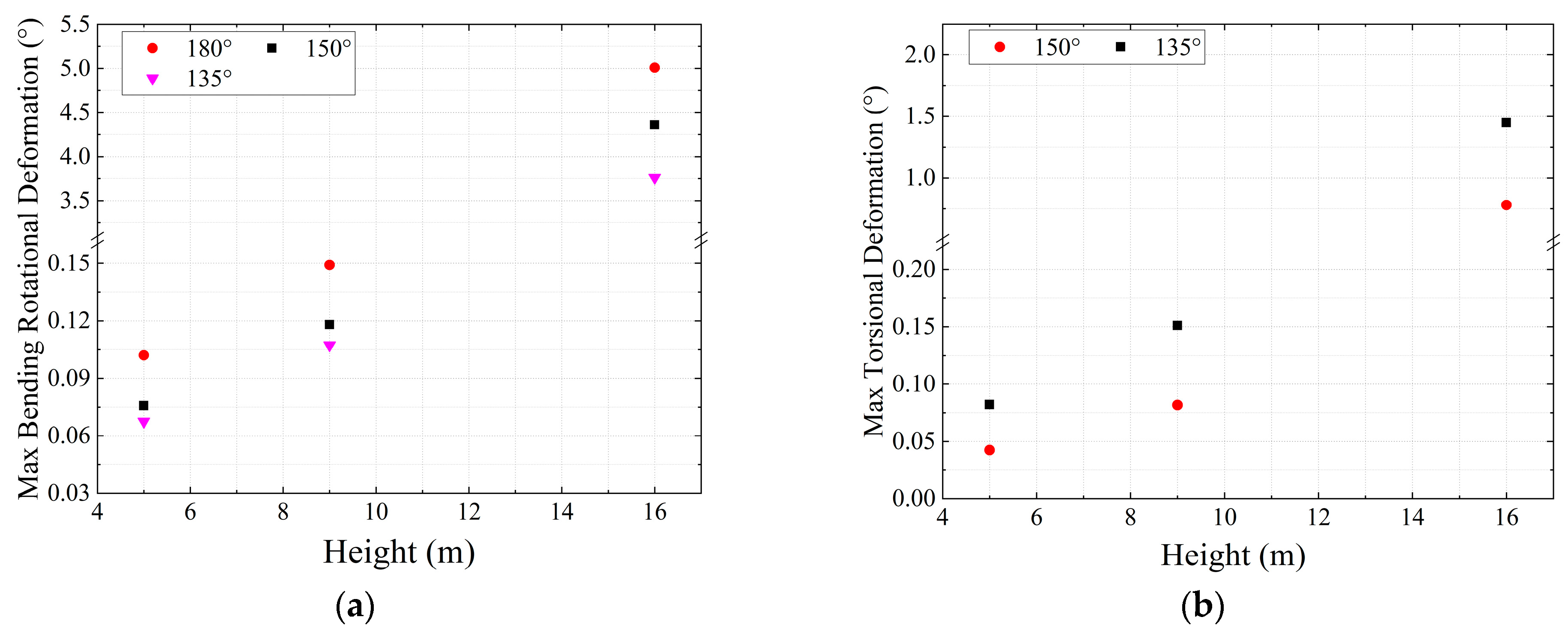
5. Discussion
6. Conclusions
Author Contributions
Funding
Institutional Review Board Statement
Informed Consent Statement
Data Availability Statement
Conflicts of Interest
References
- Kim, K.; Yoo, H.C. Ultimate strengths of steel rectangular box beams subjected to combined action of bending and torsion. Eng. Struct. 2008, 30, 1677–1687. [Google Scholar] [CrossRef]
- Wang, Q.; Wang, D. Ultimate strength envelope of a 10,000 TEU large container ship subjected to combined loads: From compartment model to global hull girder. Ocean Eng. 2020, 213, 107767. [Google Scholar] [CrossRef]
- Muller, P.; Garrett, C.; Osborne, A.L. Rogue wave. Oceangraphy 2005, 18, 66–75. [Google Scholar]
- Update on incident involving the containership MOL Comfort. Am. J. Transp. 2013.
- Koh, T.J.; Paik, J.K. Structural failure assessment of a post-Panamax class containership: Lessons learned from the MSC Napoli accident. Ships Offshore Struct. 2015, 11, 847–859. [Google Scholar] [CrossRef]
- Group, F.W. Urea cargo ship sinks in Black Sea killing three. Fertilizer Week 2021, 21. [Google Scholar]
- Ostapenko, A.; Vaucher, A. Ultimate Strength of Ship Hull Girders under Moment, Shear and Torque; Report No. 453.6; Fritz Engineering Laboratory, Lehigh University: Bethlehem, PA, USA, 1980. [Google Scholar]
- Ostapenko, A. Strength of ship hull girders under moment, shear and torque. In Proceedings of the Extreme Loads Response Symposium, SSC-SNAME, Arlington, VA, USA, 19–20 October 1981. [Google Scholar]
- Ostapenko, A.; Moore, T.R. Maximum Strength of Ship Hulls Subjected to Moment, Torque and Shear; Report No. 479.5; Fritz Engineering Laboratory, Lehigh University: Bethlehem, PA, USA, 1982. [Google Scholar]
- Pedersen, P.T. Beam theories for torsional-bending response of ship hulls. J. Ship Res. 1991, 35, 254–265. [Google Scholar] [CrossRef]
- Paik, J.K.; Thayamballi, A.K.; Pedersen, P.T.; Park, Y.I. Ultimate strength of ship hulls under torsion. Ocean Eng. 2001, 28, 1097–1133. [Google Scholar] [CrossRef]
- Sun, H.H.; Guedes Soares, C. An experimental study of ultimate torsional strength of a ship-type hull girder with a large deck opening. Mar. Struct. 2003, 16, 51–67. [Google Scholar] [CrossRef]
- Tanaka, Y.; Ogawa, H.; Tatsumi, A.; Fujikubo, M. Analysis method of ultimate hull girder strength under combined loads. Ships Offshore Struct. 2015, 10, 587–598. [Google Scholar] [CrossRef]
- Wang, C.; Wu, J.; Wang, D. Design similar scale model of a 10,000 TEU container ship through combined ultimate longitudinal bending and torsion analysis. Appl. Ocean Res. 2019, 88, 1–14. [Google Scholar] [CrossRef]
- Zhong, Q.; Wang, D. Numerical investigation on ultimate strength of sandwich box girders under vertical bending and torsion. Ocean Eng. 2022, 254. [Google Scholar] [CrossRef]
- Lee, D.H.; Paik, J.K. Ultimate strength characteristics of as-built ultra-large containership hull structures under combined vertical bending and torsion. Ships Offshore Struct. 2020, 15, S143–S160. [Google Scholar] [CrossRef]
- Hu, K.; Yang, P.; Xia, T. Residual ultimate strength of large opening box girder with crack damage under torsion and bending loads. Ocean Eng. 2018, 162, 274–289. [Google Scholar] [CrossRef]
- Hirdaris, S.E.; Price, W.G.; Temarel, P. Two- and Three-Dimensional Hydroelastic Modeling of a Bulker in Regular Waves. Mar. Struct. 2003, 16, 627–658. [Google Scholar] [CrossRef]
- Robert, M.; Monroy, C.; Reliquet, G.; Drouet, A.; Ducoin, A.; Guillerm, P.E.; Ferrant, P. Hydroelastic response of a flexible barge investigated with a viscous flow solver. In Proceedings of the 7th International Conference on Hydroelasticity in Marine Technology-Hydroelasticity’15, Split, Croatia, 16–19 September 2015. [Google Scholar]
- Seng, S.; Jensen, J.J.; Malenica, Š. Global hydroelastic model for springing and whipping based on a free-surface CFD code (OpenFOAM). Int. J. Nav. Archit. Ocean. Eng. 2014, 6, 1024–1040. [Google Scholar] [CrossRef][Green Version]
- Lin, Y.; Ma, N.; Gu, X. Experimental study on the asymmetric impact loads and hydroelastic responses of a very large container ship. Int. J. Nav. Archit. Ocean Eng. 2020, 12, 226–240. [Google Scholar] [CrossRef]
- Kim, S. Experimental investigation on wave-induced bending moments of a 6750-TEU containership in oblique waves. Ocean. Eng. 2023, 284, 115161. [Google Scholar] [CrossRef]
- Ivo, S.; Vladimir, N.; Tomic, M. Some aspects of structural modelling and restoring stiffness in hydroelastic analysis of large container ships. Ships Offshore Struct. 2014, 9, 199–217. [Google Scholar]
- Zhu, S.; Wu, M.K.; Moan, T. Experimental investigation of hull girder vibrations of a flexible backbone model in bending and torsion. Appl. Ocean Res. 2011, 33, 252–274. [Google Scholar] [CrossRef]
- Kim, Y.; Kim, K.H.; Kim, Y. Analysis of Hydroelasticity of Floating Shiplike Structure in Time Domain Using a Fully Coupled Hybrid BEM-FEM. J. Ship Res. 2009, 53, 31–47. [Google Scholar] [CrossRef]
- Sun, Q.; Zhou, H.; Gu, Q. Study on the Wave Loads and Structural Stresses of Container Ship. J. Phys. Conf. Ser. 2018, 1064, 012033. [Google Scholar] [CrossRef]
- Riesner, M.; Moctar, O.E. A numerical method to compute global resonant vibrations of ships at forward speed in oblique waves. Appl. Ocean Res. 2021, 108, 102520. [Google Scholar] [CrossRef]
- Masaoka, K.; Okada, H. A Numerical Approach for Ship Hull Girder Collapse Behavior in Waves. In Proceedings of the International Offshore and Polar Engineering Conference, Honolulu, HI, USA, 25–30 May 2003. [Google Scholar]
- Xu, W.; Iijima, K.; Wada, R. Experimental evaluation of the post-ultimate strength behavior of a ship’s hull girder in waves. J. Mar. Sci. Appl. 2012, 17, 34–43. [Google Scholar] [CrossRef]
- Liu, W.; Song, X.; Wu, W. Strength of a Containership in Extreme Waves Obtained by Nonlinear Hydroelasto-plasticity Dynamic analysis and Finite Element Modeling. J. Offshore Mech. Arct. Eng. 2016, 138, 031602. [Google Scholar] [CrossRef]
- Lakshmynarayanana, P.; Temarel, P.; Chen, Z. Hydroelastic analysis of a flexible barge in regular waves using coupled CFD-FEM modelling. Anal. Des. Mar. Struct. 2015, 95–103. [Google Scholar]
- Pal, S.K.; Iijima, K. Investigation of Springing Responses to High Harmonics of Wave Loads by Direct Coupling between CFD and FEM. In Proceedings of the ASME 2022 41st International Conference on Ocean, Offshore and Arctic Engineering, Hamburg, Germany, 5–10 June 2022. [Google Scholar]
- Liu, W.; Luo, W.; Xia, T. Development of a Fully Coupled Numerical Hydroelasto-plastic Approach for Offshore Structure. Ocean Eng. 2022, 258, 111713. [Google Scholar] [CrossRef]
- Tezdogan, T.; Demirel, Y.K.; Kellett, P.; Khorasanchi, M.; Incecik, A.; Turan, O. Full-scale unsteady RANS CFD simulations of ship behaviour and performance in head seas due to slow steaming. Ocean Eng. 2015, 97, 186–206. [Google Scholar] [CrossRef]
- ITTC Recommended Procedures and Guidelines: Practical Guidelines for Ship CFD Applications. 2011. Available online: https://ittc.info/media/1357/75-03-02-03.pdf (accessed on 25 December 2023).




















| Main Dimensions | Values |
|---|---|
| Overall length | 260 m |
| Length between perpendiculars | 245 m |
| Molded breadth | 38 m |
| Molded depth | 19.6 m |
| Designed draft | 11 m |
| Displacement | 64,650 t |
| Case | Wavelength (m) | Wave Height (m) | Heading Angle (°) | Wavelength/Ship Length | Wave Steepness |
|---|---|---|---|---|---|
| H1 | 245 | 5 | 180 | 1 | 0.0204 |
| H2 | 245 | 9 | 180 | 1 | 0.0367 |
| H3 | 245 | 16 | 180 | 1 | 0.0653 |
| A1-1 | 245 | 5 | 150° | 1 | 0.0204 |
| A1-2 | 245 | 9 | 150° | 1 | 0.0367 |
| A1-3 | 245 | 16 | 150° | 1 | 0.0653 |
| A2-1 | 245 | 5 | 135° | 1 | 0.0204 |
| A2-2 | 245 | 9 | 135° | 1 | 0.0367 |
| A2-3 | 245 | 16 | 135° | 1 | 0.0653 |
| A3-3 | 245 | 16 | 120° | 1 | 0.0653 |
| Grid Case | Grid Number | Errors |
|---|---|---|
| Case A (Fine grid) | 11446884 | 1.11% |
| Case B (Medium grid) | 6555065 | 2.12% |
| Case C (Coarse grid) | 2512584 | 10.11% |
| Density (t/m3) | Elastic Modulus (MPa) | Poisson’s Ratio | Yield Strength |
|---|---|---|---|
| 7850 | 2.06 × 105 | 0.33 | 235 |
![]() Bending deformation (t = 12.8 s) | ![]() Torsional deformation (t = 12.8 s) | ![]() CFD model (t = 12.8 s) |
![]() Bending deformation (t = 20.2 s) | ![]() Torsional deformation (t = 20.2 s) | ![]() CFD model (t = 20.2 s) |
![]() Bending deformation (t = 25 s) | ![]() Torsional deformation (t = 25 s) | ![]() CFD model (t = 25 s) |
![]() Bending deformation (t = 31.8 s) | ![]() Torsional deformation (t = 31.8 s) | ![]() CFD model (t = 31.8 s) |
![]() Bending deformation (t = 37.8 s) | ![]() Torsional deformation (t = 37.8 s) | ![]() CFD model (t = 37.8 s) |
Disclaimer/Publisher’s Note: The statements, opinions and data contained in all publications are solely those of the individual author(s) and contributor(s) and not of MDPI and/or the editor(s). MDPI and/or the editor(s) disclaim responsibility for any injury to people or property resulting from any ideas, methods, instructions or products referred to in the content. |
© 2024 by the authors. Licensee MDPI, Basel, Switzerland. This article is an open access article distributed under the terms and conditions of the Creative Commons Attribution (CC BY) license (https://creativecommons.org/licenses/by/4.0/).
Share and Cite
Liu, W.; Zou, Q.; Zhang, Y.; Nie, Y.; Song, X. Research on Structural Collapse of a Containership under Combined Bending–Torsion by Oblique Waves. J. Mar. Sci. Eng. 2024, 12, 444. https://doi.org/10.3390/jmse12030444
Liu W, Zou Q, Zhang Y, Nie Y, Song X. Research on Structural Collapse of a Containership under Combined Bending–Torsion by Oblique Waves. Journal of Marine Science and Engineering. 2024; 12(3):444. https://doi.org/10.3390/jmse12030444
Chicago/Turabian StyleLiu, Weiqin, Qilu Zou, Yaqiang Zhang, Yong Nie, and Xuemin Song. 2024. "Research on Structural Collapse of a Containership under Combined Bending–Torsion by Oblique Waves" Journal of Marine Science and Engineering 12, no. 3: 444. https://doi.org/10.3390/jmse12030444
APA StyleLiu, W., Zou, Q., Zhang, Y., Nie, Y., & Song, X. (2024). Research on Structural Collapse of a Containership under Combined Bending–Torsion by Oblique Waves. Journal of Marine Science and Engineering, 12(3), 444. https://doi.org/10.3390/jmse12030444
















