Enhancing the Performance of an Oscillating Wing Energy Harvester Using a Leading-Edge Flap
Abstract
:1. Introduction
2. Mathematical Modeling
2.1. Problem Description
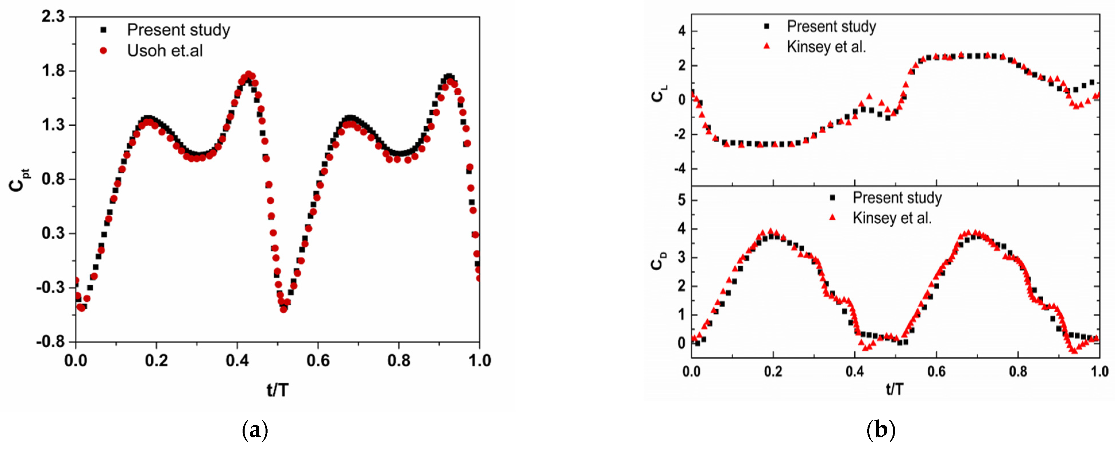
2.2. Numerical Method
3. Results and Discussion
3.1. Effect of Varied Maximum Flap Pitch Angles on Power Output
3.2. Impact of Flap Length Variation on Power Output
3.3. Effect of Varied Maximum Wing Pitch Angles
3.4. Combined Impact of Varying Flap Length and Maximum Pitch Angles of the Wing and Flap
4. Conclusions
Author Contributions
Funding
Institutional Review Board Statement
Informed Consent Statement
Data Availability Statement
Conflicts of Interest
Nomenclature
| Symbol | Description |
| tw | The thickness of the wing |
| d | The total vertical movement |
| x | Wing’s projected length along heaving motion |
| xp | The pitching center of the wing |
| c | Airfoil chord length |
| h | Wing’s heave amplitude (instantaneous) |
| Ho | Wing’s heave amplitude (maximum) |
| θ(t) | Wing’s pitch angle (instantaneous) |
| θo | Wing’s pitch angle (maximum) |
| Ψ(t) | Flap’s pitch angle (instantaneous) |
| Ψo | Flap’s pitch angle (maximum) |
| f | Oscillation frequency |
| f* | Nondimensional reduced frequency (fc/U∞) |
| Cy | Coefficient of pushing force |
| Cm | Coefficient of pitching moment |
| Cpy | Coefficient of pushing power |
| Cpm | Coefficient of pitching moment power |
| Cpt | Coefficient of total power |
| Coefficient of average pushing power | |
| Coefficient of average moment power | |
| Coefficient of average total power | |
| Change in the average total power coefficient compared to the wing without the flap | |
| FY | Pushing force |
| FX | Drag force |
References
- Jones, K.D.; Davids, S.; Platzer, M.F. Oscillating-Wing Power Generator. In Proceedings of the 3rd ASME/JSME Joint Fluids Engineering Conference; American Society of Mechanical Engineers: New York, NY, USA, 1999. [Google Scholar]
- Shimizu, E.; Isogai, K.; Obayashi, S. Multiobjective design study of a flapping wing power generator. J. Fluids Eng. Trans. ASME 2008, 130, 0211041–0211048. [Google Scholar] [CrossRef]
- Wu, T.Y. Extraction of flow energy by a wing oscillating in waves. J. Ship Res. 1972, 16, 66–78. [Google Scholar] [CrossRef]
- McKinney, W.; DeLaurier, J. Wingmill: An Oscillating-Wing Windmill. AIAA Pap. 1981, 5, 109–115. [Google Scholar] [CrossRef]
- Lindsey, K. A Feasibility Study of Oscillating-Wing Power Generators. Doctoral Thesis, Naval Postgraduate School, Monterey, CA, USA, 2002. Available online: https://core.ac.uk/download/pdf/36698644.pdf (accessed on 8 August 2023).
- Xiao, Q.; Liao, W.; Yang, S.; Peng, Y. How motion trajectory affects energy extraction performance of a biomimic energy generator with an oscillating foil? Renew. Energy 2012, 37, 61–75. [Google Scholar] [CrossRef]
- Li, W.; Wang, W.Q.; Yan, Y.; Tian, F.B. Effects of pitching motion profile on energy harvesting performance of a semi-active flapping foil using immersed boundary method. Ocean Eng. 2018, 163, 94–106. [Google Scholar] [CrossRef]
- Xie, Y.; Lu, K.; Zhang, D. Investigation on energy extraction performance of an oscillating foil with modified flapping motion. Renew. Energy 2014, 63, 550–557. [Google Scholar] [CrossRef]
- Usoh, C.O.; Young, J.; Lai, J.C.S.; Ashraf, M.A. Numerical analysis of a non-profiled plate for flapping wing turbines. In Proceedings of the 18th Australasian Fluid Mechanics Conference, Launceston, Australia, 3–7 December 2012; pp. 3–6. [Google Scholar]
- Zhu, Q. Optimal frequency for flow energy harvesting of a flapping foil. J. Fluid Mech. 2011, 675, 495–517. [Google Scholar] [CrossRef]
- Zhu, B.; Han, W.; Sun, X.; Wang, Y.; Cao, Y.; Wu, G.; Huang, D.; Zheng, Z.C. Research on energy extraction characteristics of an adaptive deformation oscillating-wing. J. Renew. Sustain. Energy 2015, 7, 023101. [Google Scholar] [CrossRef]
- Rushen, J.; Siala, F.; Totpal, A.D.; Planck, C.J.; Liburdy, J.A. The effects of a passively actuated trailing edge on the aerodynamics of an oscillating wing. Am. Soc. Mech. Eng. Fluids Eng. Div. FEDSM 2014, 1B, V01BT12A012. [Google Scholar] [CrossRef]
- Zhu, B.; Xia, P.; Huang, Y.; Zhang, W. Energy extraction properties of a flapping wing with an arc-deformable airfoil. J. Renew. Sustain. Energy 2019, 11, 023302. [Google Scholar] [CrossRef]
- Sun, G.; Wang, Y.; Xie, Y.; Ma, P.; Zhang, Y. Hydrodynamic and energy extraction properties of oscillating hydrofoils with a trailing edge flap. Appl. Ocean Res. 2021, 110, 102530. [Google Scholar] [CrossRef]
- Drost, K.J.; Johnson, H.; Aptey, S.V.; Liburdyz, J.A. Low reynolds number flow dynamics of a thin airfoil with an actuated leading edge. In Proceedings of the 41st AIAA Fluid Dynamics Conference Exhibition, Honolulu, HI, USA, 27–30 June 2011. [Google Scholar] [CrossRef]
- Wu, J.; Chen, Y.; Zhao, N.; Wang, T. Influence of stroke deviation on the power extraction performance of a fully-active flapping foil. Renew. Energy 2016, 94, 440–451. [Google Scholar] [CrossRef]
- Wang, B.; Zhu, B.; Zhang, W. New type of motion trajectory for increasing the power extraction efficiency of flapping wing devices. Energy 2019, 189, 116072. [Google Scholar] [CrossRef]
- Swain, P.K.; Dora, S.P.; Barik, A.K. Energy extraction performance of tandem flapping foil undergoing elliptical motion trajectory. Ocean Eng. 2023, 268, 113390. [Google Scholar] [CrossRef]
- Shanmugam, A.R.; Park, K.S.; Sohn, C.H. Comparison of the Power Extraction Performance of an Oscillating Hydrofoil Turbine with Different Deflector Designs. Energies 2023, 16, 3420. [Google Scholar] [CrossRef]
- Wang, J.; Deng, J.; Kandel, P.; Sun, L. Numerical study on the energy extraction performance by flapping foils in a density stratified flow. J. Fluids Struct. 2023, 118, 103865. [Google Scholar] [CrossRef]
- Wang, G.; Ng, B.F. Energy harvesting performance of a tandem-hydrofoil based closely-interconnected tidal array. Energy Convers. Manag. 2023, 280, 116796. [Google Scholar] [CrossRef]
- Petikidis, N.; Papadakis, G. Investigation of Submergence Depth and Wave-Induced Effects on the Performance of a Fully Passive Energy Harvesting Flapping Foil Operating Beneath the Free Surface. 2023. Available online: http://arxiv.org/abs/2304.09611 (accessed on 25 February 2023).
- Dahmani, F.; Sohn, C.H. Effect of convergent duct geometry on the energy extraction performance of tandem oscillating hydrofoils system. J. Fluids Struct. 2020, 95, 102949. [Google Scholar] [CrossRef]
- Dahmani, F.; Sohn, C.H. Effects of the downstream spatial configuration on the energy extraction performance of tandem/parallel combined oscillating hydrofoils. J. Mech. Sci. Technol. 2020, 34, 2035–2046. [Google Scholar] [CrossRef]
- Zhao, K. Stability of a Nonlinear Fractional Langevin System with Nonsingular Exponential Kernel and Delay Control. Discret. Dyn. Nat. Soc. 2022, 2022, 9169185. [Google Scholar] [CrossRef]
- Zhao, K. Stability of a Nonlinear Langevin System of ML-Type Fractional Derivative Affected by Time-Varying Delays and Differential Feedback Control. Fractal Fract. 2022, 6, 725. [Google Scholar] [CrossRef]
- Zhao, K. Existence and UH-stability of integral boundary problem for a class of nonlinear higher-order Hadamard fractional Langevin equation via Mittag-Leffler functions. Filomat 2023, 37, 1053–1063. [Google Scholar] [CrossRef]
- Zhao, K. Generalized UH-stability of a nonlinear fractional coupling (p1, p2)-Laplacian system concerned with nonsingular Atangana–Baleanu fractional calculus. J. Inequalities Appl. 2023, 96. [Google Scholar] [CrossRef]
- Aramendia, I.; Saenz-Aguirre, A.; Boyano, A.; Fernandez-Gamiz, U.; Zulueta, E. Oscillating U-shaped body for underwater piezoelectric energy harvester power optimization. Micromachines 2019, 10, 737. [Google Scholar] [CrossRef] [PubMed]
- Teso-Fz-betoño, D.; Aramendia, I.; Martinez-Rico, J.; Fernandez-Gamiz, U.; Zulueta, E. Piezoelectric energy harvesting controlled with an IGBT H-bridge and bidirectional buck–boost for low-cost 4G devices. Sensors 2020, 20, 7039. [Google Scholar] [CrossRef] [PubMed]
- Kral, L.D.; The, M.I.; Classification, C. active flow control technology. Br. Med. J. (Clin. Res. Ed.) 1985, 291, 219. [Google Scholar] [CrossRef]
- Yin, B.; Luo, H. Effect of wing inertia on hovering performance of flexible flapping wings. Phys. Fluids 2010, 22, 111902. [Google Scholar] [CrossRef]
- Zhu, B.; Huang, Y.; Zhang, Y. Energy harvesting properties of a flapping wing with an adaptive Gurney flap. Energy 2018, 152, 119–128. [Google Scholar] [CrossRef]
- Xie, Y.H.; Jiang, W.; Lu, K.; Zhang, D. Numerical investigation into energy extraction of flapping airfoil with Gurney flaps. Energy 2016, 109, 694–702. [Google Scholar] [CrossRef]
- Le, T.Q.; Ko, J.H.; Byun, D. Morphological effect of a scallop shell on a flapping-type tidal stream generator. Bioinspiration Biomim. 2013, 8, 036009. [Google Scholar] [CrossRef]
- Shi, F.; Sun, X. Study on performance enhancement of a flapping foil energy harvester using circulation control. J. Fluids Eng. Trans. ASME 2021, 143, 071207. [Google Scholar] [CrossRef]
- Feng, L.H.; Jukes, T.N.; Choi, K.S.; Wang, J.J. Flow control over a NACA 0012 airfoil using dielectric-barrier-discharge plasma actuator with a Gurney flap. Exp. Fluids 2012, 52, 1533–1546. [Google Scholar] [CrossRef]
- Mahboubidoust, A.; Ramiar, A.; Dardel, M. Numerical investigation of plasma actuated and non-actuated Gurney flaps on aerodynamic characteristics of a plunging airfoil. Proc. Inst. Mech. Eng. Part G J. Aerosp. Eng. 2016, 230, 1423–1437. [Google Scholar] [CrossRef]
- Lee, T.; Su, Y.Y. Unsteady airfoil with a harmonically deflected trailing-edge flap. J. Fluids Struct. 2011, 27, 1411–1424. [Google Scholar] [CrossRef]
- Visconti, U.; Eun, W.J.; Sim, J.S.; Lee, S.W.; Shin, S.J. Design improvements and flap deflection evaluations with considering centrifugal load on active trailing edge flap. Aircr. Eng. Aerosp. Technol. 2019, 91, 10–19. [Google Scholar] [CrossRef]
- Bofeng, X.; Junheng, F.; Qing, L.; Chang, X.; Zhenzhou, Z.; Yue, Y. Aerodynamic performance analysis of a trailing-edge flap for wind turbines. J. Phys. Conf. Ser. 2018, 1037, 022020. [Google Scholar] [CrossRef]
- Liu, Q.; Miao, W.; Li, C.; Hao, W.; Zhu, H.; Deng, Y. Effects of trailing-edge movable flap on aerodynamic performance and noise characteristics of VAWT. Energy 2019, 189, 116271. [Google Scholar] [CrossRef]
- Bianchini, A.; Balduzzi, F.; Di Rosa, D.; Ferrara, G. On the use of Gurney Flaps for the aerodynamic performance augmentation of Darrieus wind turbines. Energy Convers. Manag. 2019, 184, 402–415. [Google Scholar] [CrossRef]
- Totpal, A.D.; Siala, F.F.; Liburdy, J.A. Energy harvesting of an oscillating foil at low reduced frequencies with rigid and passively deforming leading edge. J. Fluids Struct. 2018, 82, 329–342. [Google Scholar] [CrossRef]
- Alam, M.; Sohn, C.H. Enhanced performance of oscillating wing energy harvester using active controlled flap. J. Mech. Sci. Technol. 2023, 37, 2405–2415. [Google Scholar] [CrossRef]
- Alam, M.; Sohn, C.H. Parametric analysis of an oscillating wing energy harvester with a trailing edge flap. J. Mech. Sci. Technol. 2023, 37, 3563–3573. [Google Scholar] [CrossRef]
- Kinsey, T.; Dumas, G. Parametric study of an oscillating airfoil in a power-extraction regime. AIAA J. 2008, 46, 1318–1330. [Google Scholar] [CrossRef]
- Kinsey, T.; Dumas, G. Computational fluid dynamics analysis of a hydrokinetic turbine based on oscillating hydrofoils. J. Fluids Eng. Trans. ASME 2012, 134, 021104. [Google Scholar] [CrossRef]
- Zhang, Y.; Wang, Y.; Han, J.; Sun, G.; Xie, Y. Effects of hydrofoil motion parameters and swing arm parameters on power extraction of a flexible hydrofoil in swing arm mode. Ocean Eng. 2022, 245, 110543. [Google Scholar] [CrossRef]
- Kinsey, T.; Dumas, G. Optimal operating parameters for an oscillating foil turbine at reynolds number 500,000. AIAA J. 2014, 52, 1885–1895. [Google Scholar] [CrossRef]















| Description | Symbol | Value |
|---|---|---|
| Profile | Rectangular plate | |
| Width | t | 0.04c |
| Length of chord | c | 1.0 |
| Pivot point | xp | c/3 |
| Heaving amplitude | Ho/c | 1 |
| Pitching amplitude | θo | 75° |
| Frequency | f* | 0.14 |
| Reynolds number | Re | 5 × 105 |
| Phase angle | ϕ | 90o |
| Mesh in Stationary Domain | Mesh in Moving Domain | Time Steps in a Cycle | |||
|---|---|---|---|---|---|
| D1 | 58.7 × 103 | 24.5 × 103 | T/2000 | 0.985 | |
| D2 | 88.2 × 103 | 37.3 × 103 | T/1000 | 0.976 | |
| T/2000 | 0.963 | D1 to D2 = 2.28 | |||
| T/4000 | 0.959 | ||||
| D3 | 102.4 × 103 | 43.9 × 103 | T/2000 | 0.956 | D2 to D3 = 0.73 |
| ψo | Plate (0°) | 20° | 25° | 30° | 35° | 40° | 45° | 50° |
|---|---|---|---|---|---|---|---|---|
| 0.929 | 0.953 | 0.97 | 0.985 | 1.01 | 1.056 | 1.078 | 1.073 | |
| 0.034 | 0.018 | 0.009 | −0.015 | −0.026 | −0.034 | −0.073 | −0.098 | |
| 0.963 | 0.972 | 0.979 | 0.97 | 0.984 | 1.022 | 1.01 | 0.974 | |
| (%) | - | 0.9 | 1.6 | 0.7 | 2.2 | 6.1 | 4.8 | 1.1 |
| 0.373 | 0.377 | 0.379 | 0.376 | 0.381 | 0.396 | 0.391 | 0.377 |
| Plate | 10% of c | 15% of c | 20% of c | 33% of c | 40% of c | |
|---|---|---|---|---|---|---|
| 0.929 | 1.056 | 1.112 | 1.159 | 1.124 | 1.110 | |
| 0.034 | −0.034 | −0.102 | −0.166 | −0.242 | −0.259 | |
| 0.963 | 1.022 | 1.01 | 0.994 | 0.880 | 0.852 | |
| (%) | - | 6.1 | 4.9 | 3.2 | −8.6 | −11.5 |
| θo | 75° | 80° | 85° | 90° | 95° |
|---|---|---|---|---|---|
| 1.160 | 1.207 | 1.212 | 1.163 | 1.071 | |
| −0.166 | −0.139 | −0.115 | −0.056 | −0.017 | |
| 0.994 | 1.068 | 1.097 | 1.107 | 1.054 | |
| (%) | 3.2 | 10.9 | 13.9 | 14.9 | 9.5 |
Disclaimer/Publisher’s Note: The statements, opinions and data contained in all publications are solely those of the individual author(s) and contributor(s) and not of MDPI and/or the editor(s). MDPI and/or the editor(s) disclaim responsibility for any injury to people or property resulting from any ideas, methods, instructions or products referred to in the content. |
© 2023 by the authors. Licensee MDPI, Basel, Switzerland. This article is an open access article distributed under the terms and conditions of the Creative Commons Attribution (CC BY) license (https://creativecommons.org/licenses/by/4.0/).
Share and Cite
Alam, M.; Sohn, C.H. Enhancing the Performance of an Oscillating Wing Energy Harvester Using a Leading-Edge Flap. J. Mar. Sci. Eng. 2024, 12, 62. https://doi.org/10.3390/jmse12010062
Alam M, Sohn CH. Enhancing the Performance of an Oscillating Wing Energy Harvester Using a Leading-Edge Flap. Journal of Marine Science and Engineering. 2024; 12(1):62. https://doi.org/10.3390/jmse12010062
Chicago/Turabian StyleAlam, Maqusud, and Chang Hyun Sohn. 2024. "Enhancing the Performance of an Oscillating Wing Energy Harvester Using a Leading-Edge Flap" Journal of Marine Science and Engineering 12, no. 1: 62. https://doi.org/10.3390/jmse12010062
APA StyleAlam, M., & Sohn, C. H. (2024). Enhancing the Performance of an Oscillating Wing Energy Harvester Using a Leading-Edge Flap. Journal of Marine Science and Engineering, 12(1), 62. https://doi.org/10.3390/jmse12010062

