Hydrodynamic Response Analysis of a Fixed Aquaculture Platform with a Horizontal Cylindrical Cage in Combined Waves and Currents
Abstract
1. Introduction
2. Numerical Method
2.1. Governing Equation
2.2. Finite Element Model
2.3. Load Conditions
3. Experimental Verification
3.1. Verification of Current Load
3.2. Verification of Wave Load
4. Numerical Results
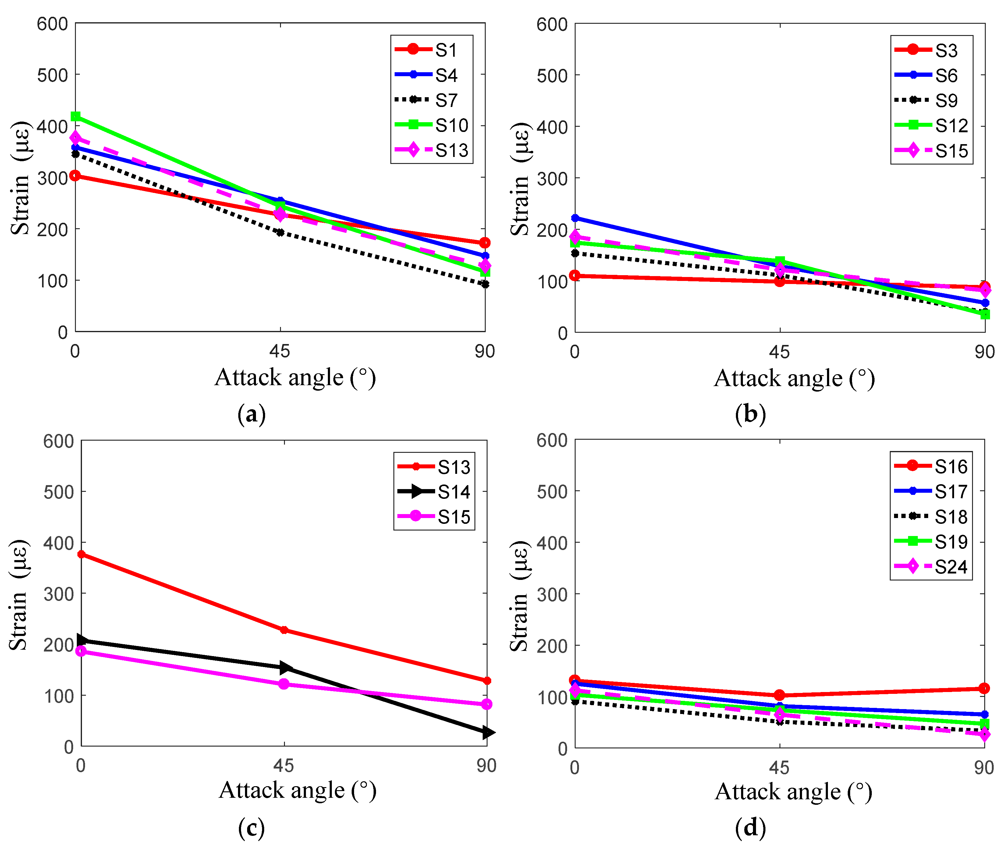
4.1. Strain Responses
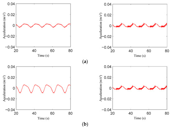
4.2. Acceleration Responses
4.3. Displacement Responses
5. Discussion
5.1. The Influence of Attack Angle on the Dynamic Response of the Structure
5.2. The Influence of Water Depth on the Dynamic Response of the Structure
5.3. The Influence of Cage Rotation on the Dynamic Response of the Structure
6. Conclusions
- (1)
- The strain, acceleration, and displacement results of the structure increase with the increase in wave height; however, the change with wave period is not obvious. The acceleration of the structure decreases at first and then increases with the decrease in height. Displacement at the net cage decreases with the increase in height. The strain decreases gradually from the ends of the net cage to the middle of the net cage.
- (2)
- The hydrodynamic response results of the structure are the largest when the attack angle is 0°. Thus, 0° is the most disadvantageous angle to the structure.
- (3)
- The acceleration of each measuring point of the structure increases with the increase in water depth. The largest value of displacement is mostly distributed in the designed low water level and the designed high water level. For the strain response, most of the peak values decrease with the increase in water level, and the strain is largest at the extremely low water level.
- (4)
- When the cage rotates, the acceleration of the cage is larger than when the cage is fixed. However, values of displacement, strain, and the force acting on the cage change indistinctively compared with those without rotation.
Author Contributions
Funding
Institutional Review Board Statement
Informed Consent Statement
Data Availability Statement
Acknowledgments
Conflicts of Interest
References
- Fitridge, I.; Dempster, T.; Guenther, J.; de Nys, R. The impact and control of biofouling in marine aquaculture: A review. Biofouling 2012, 28, 649–669. [Google Scholar] [CrossRef] [PubMed]
- Bi, C.W.; Chen, Q.P.; Zhao, Y.P.; Su, H.; Wang, X.Y. Experimental investigation on the hydrodynamic performance of plane nets fouled by hydroids in waves. Ocean Eng. 2020, 213, 107839. [Google Scholar] [CrossRef]
- Bi, C.W.; Zhao, Y.P.; Dong, G.H.; Wu, Z.M.; Zhang, Y.; Xu, T.J. Drag on and flow through the hydroid-fouled nets in currents. Ocean Eng. 2018, 161, 195–204. [Google Scholar] [CrossRef]
- Gansel, L.C.; Plew, D.R.; Endresen, P.C.; Olsen, A.I.; Misimi, E.; Guenther, J.; Jensen, Ø. Drag of clean and fouled net panels—Measurements and parameterization of fouling. PLoS ONE 2015, 10, 0131051. [Google Scholar] [CrossRef]
- Pica, D.; Bloecher, N.; Dell’Anno, A.; Bellucci, A.; Pinto, T.; Pola, L.; Puce, S. Dynamics of a biofouling community in finfish aquaculture: A case study from the South Adriatic Sea. Biofouling 2019, 35, 696–709. [Google Scholar] [CrossRef]
- Ali, A.M. Dynamic Behavior of Jacket Type Offshore Structure. Jordan J. Civ. Eng. 2012, 6, 418–435. [Google Scholar]
- Raheem, S.E.A. Nonlinear behaviour of steel fixed offshore platform under environmental loads. Ships Offshore Struct. 2016, 11, 1–15. [Google Scholar]
- Shi, W.; Park, H.; Chung, C.; Baek, J.; Kim, Y.; Kim, C. Load analysis and comparison of different jacket foundations. Renew. Energy 2013, 54, 201–210. [Google Scholar] [CrossRef]
- Shi, W.; Park, H.; Han, J.; Na, S.; Kim, C. A study on the effect of different modeling parameters on the dynamic response of a jacket-type offshore wind turbine in the Korean Southwest Sea. Renew. Energy 2013, 58, 50–59. [Google Scholar] [CrossRef]
- Terro, M.J.; Abdel-Rohman, M. Wave Induced Forces in Offshore Structures Using Linear and Nonlinear Forms of Morison’s equation. J. Vib. Control 2007, 13, 139–157. [Google Scholar] [CrossRef]
- Bi, C.W.; Zhao, Y.P.; Dong, G.H. Experimental study on the effects of farmed fish on the hydrodynamic characteristics of the net cage. Aquaculture 2020, 524, 735239. [Google Scholar] [CrossRef]
- Bi, C.W.; Zhao, Y.P.; Dong, G.H.; Zheng, Y.N.; Gui, F.K. A numerical analysis on the hydrodynamic characteristics of net cages using coupled fluid–structure interaction model. Aquac. Eng. 2014, 59, 1–12. [Google Scholar] [CrossRef]
- Gansel, L.C.; Rackebrandt, S.; Oppedal, F.; McClimans, T.A. Flow fields inside stocked fish cages and the near environment. J. Offshore Mech. Arct. Eng. 2014, 136, 031201. [Google Scholar] [CrossRef]
- Patursson, Ø.; Swift, M.R.; Tsukrov, I.; Simonsen, K.; Baldwin, K.; Fredriksson, D.W.; Celikkol, B. Development of a porous media model with application to flow through and around a net panel. Ocean Eng. 2010, 37, 314–324. [Google Scholar] [CrossRef]
- Winthereig-Rasmussen, H.; Simonsen, K.; Patursson, Ø. Flow through fish farming sea cages: Comparing computational fluid dynamics simulations with scaled and full-scale experimental data. Ocean Eng. 2016, 124, 21–31. [Google Scholar] [CrossRef]
- Bi, C.W.; Zhao, Y.P.; Dong, G.H.; Cui, Y.; Gui, F.K. Experimental and numerical investigation on the damping effect of net cages in waves. J. Fluids Struct. 2015, 55, 122–138. [Google Scholar] [CrossRef]
- Lader, P.F.; Olsen, A.; Jensen, A.; Sveen, J.K.; Fredheim, A.; Enerhaug, B. Experimental investigation of the interaction between waves and net structures—Damping mechanism. Aquac. Eng. 2007, 37, 100–114. [Google Scholar] [CrossRef]
- Martin, T.; Tsarau, A.; Bihs, H. A numerical framework for modelling the dynamics of open ocean aquaculture structures in viscous fluids. Appl. Ocean Res. 2021, 106, 102410. [Google Scholar] [CrossRef]
- DeCew, J.; Tsukrov, I.; Risso, A.; Swift, M.R.; Celikkol, B. Modeling of dynamic behavior of a single-point moored submersible fish cage under currents. Aquac. Eng. 2010, 43, 38–45. [Google Scholar] [CrossRef]
- Dong, G.H.; Xu, T.J.; Zhao, Y.P.; Li, Y.C.; Gui, F.K. Numerical simulation of hydrodynamic behavior of gravity cage in irregular waves. Aquac. Eng. 2010, 42, 90–101. [Google Scholar] [CrossRef]
- Huang, C.C.; Tang, H.J.; Liu, J.Y. Dynamical analysis of net cage structures for marine aquaculture: Numerical simulation and model testing. Aquac. Eng. 2006, 35, 258–270. [Google Scholar] [CrossRef]
- Kim, T.; Lee, J.; Fredriksson, D.W.; DeCew, J.; Drach, A.; Moon, K. Engineering analysis of a submersible abalone aquaculture cage system for deployment in exposed marine environments. Aquac. Eng. 2014, 63, 72–88. [Google Scholar] [CrossRef]
- Lader, P.F.; Enerhaug, B. Experimental investigation of forces and geometry of a net cage in uniform flow. IEEE J. Ocean Eng. 2005, 30, 79–84. [Google Scholar] [CrossRef]
- Liu, H.F.; Bi, C.W.; Zhao, Y.P. Experimental and numerical study of the hydrodynamic characteristics of a semisubmersible aquaculture facility in waves. Ocean Eng. 2020, 214, 107714. [Google Scholar] [CrossRef]
- Tsukrov, I.; Drach, A.; DeCew, J.; Swift, M.R.; Celikkol, B. Characterization of geometry and normal drag coefficients of copper nets. Ocean Eng. 2011, 38, 1979–1988. [Google Scholar] [CrossRef]
- Zhao, Y.P.; Li, Y.C.; Dong, G.H.; Gui, F.K.; Teng, B. A numerical study on dynamic properties of the gravity cage in combined wave-current flow. Ocean Eng. 2007, 34, 2350–2363. [Google Scholar] [CrossRef]
- Zhao, Y.P.; Chen, Q.P.; Bi, C.W.; Cui, Y. Experimental investigation on hydrodynamic coefficients of a column-stabilized fish cage in waves. J. Mar. Sci. Eng. 2019, 7, 418. [Google Scholar] [CrossRef]
- Zhao, Y.P.; Bi, C.W.; Chen, Q.P. Numerical investigation of nonlinear wave loads on a trestle-netting enclosure aquaculture facility. Ocean Eng. 2022, 257, 111610. [Google Scholar] [CrossRef]
- Morison, J.R.; Johnson, J.W.; Schaaf, S.A. The force exerted by surface waves on piles. J. Pet. Technol. 1950, 2, 149–154. [Google Scholar] [CrossRef]
- Wilson, J.F. Dynamics of offshore Structures; John Wiley & Sons, Inc.: New York, NY, USA, 1984. [Google Scholar]
- Chakrabarti, S.K. Hydrodynamics of Offshore Structures; Computational Mechanics Publications: Southampton, UK; SpringerVerlag: Heidelberg, Germany, 1987. [Google Scholar]
- Fenton, J.D. A Fifth-Order Stokes Theory for Steady Waves. J. Waterw. Port Coast. Ocean Eng. 1985, 111, 216–234. [Google Scholar] [CrossRef]
- Zhao, S.X.; Bi, C.W.; Zhang, D.L.; Yu, H.F. Hydrodynamic response analysis of a 10,000-ton offshore electrical platform in waves using a modified finite element model. Ocean Eng. 2021, 233, 109194. [Google Scholar] [CrossRef]































| Component | Length (m) | Outside Diameter (m) | Inner Diameter (m) | Quantity |
|---|---|---|---|---|
| Pipe_1 | 12 | 2 | 1.9 | 8 |
| Pipe_2 | 108 | 2.5 | 2.38 | 1 |
| Pipe_3 | 100 | 1 | 0.94 | 8 |
| Pipe_4 | 7.67 | 1 | 0.94 | 48 |
| Pipe_5 | 10 | 1 | 0.94 | 48 |
| Pipe_6 | 30 | 2 | 1.9 | 4 |
| Pipe_7 | 16.89 | 1 | 0.94 | 8 |
| Pipe_8 | 11 | 2 | 1.9 | 8 |
| Case No. | Wave Height H (m) | Wave Period T (s) | Velocity (m/s) | Attack Angle β (°) |
|---|---|---|---|---|
| A1 | 3 | 9.3 | Upper velocity 1.93 m/s Middle velocity 1.47 m/s Bottom velocity 0.96 m/s | 0 |
| A2 | 3 | 10.8 | 0 | |
| A3 | 3 | 12.4 | 0 | |
| A4 | 6 | 12.4 | 0 | |
| A5 | 9 | 12.4 | 0 | |
| A6 | 3 | 12.4 | 45 | |
| A7 | 3 | 12.4 | 90 |
| Water Level No. | Water Level | Value (m) |
|---|---|---|
| A | Extremely high water level | 41.73 |
| B | Designed high water level | 39.04 |
| C | Normal water level | 33.64 |
| D | Designed low water level | 30.14 |
| E | Extremely low water level | 28.52 |
Disclaimer/Publisher’s Note: The statements, opinions and data contained in all publications are solely those of the individual author(s) and contributor(s) and not of MDPI and/or the editor(s). MDPI and/or the editor(s) disclaim responsibility for any injury to people or property resulting from any ideas, methods, instructions or products referred to in the content. |
© 2023 by the authors. Licensee MDPI, Basel, Switzerland. This article is an open access article distributed under the terms and conditions of the Creative Commons Attribution (CC BY) license (https://creativecommons.org/licenses/by/4.0/).
Share and Cite
Shen, K.; Bi, C.; Jiang, Z.; Guo, S.; Wang, B. Hydrodynamic Response Analysis of a Fixed Aquaculture Platform with a Horizontal Cylindrical Cage in Combined Waves and Currents. J. Mar. Sci. Eng. 2023, 11, 1413. https://doi.org/10.3390/jmse11071413
Shen K, Bi C, Jiang Z, Guo S, Wang B. Hydrodynamic Response Analysis of a Fixed Aquaculture Platform with a Horizontal Cylindrical Cage in Combined Waves and Currents. Journal of Marine Science and Engineering. 2023; 11(7):1413. https://doi.org/10.3390/jmse11071413
Chicago/Turabian StyleShen, Kanmin, Chunwei Bi, Zhenqiang Jiang, Shouan Guo, and Bin Wang. 2023. "Hydrodynamic Response Analysis of a Fixed Aquaculture Platform with a Horizontal Cylindrical Cage in Combined Waves and Currents" Journal of Marine Science and Engineering 11, no. 7: 1413. https://doi.org/10.3390/jmse11071413
APA StyleShen, K., Bi, C., Jiang, Z., Guo, S., & Wang, B. (2023). Hydrodynamic Response Analysis of a Fixed Aquaculture Platform with a Horizontal Cylindrical Cage in Combined Waves and Currents. Journal of Marine Science and Engineering, 11(7), 1413. https://doi.org/10.3390/jmse11071413

