Sign in to use this feature.

Years

Between: -

Subjects

remove_circle_outline
remove_circle_outline
remove_circle_outline
remove_circle_outline
remove_circle_outline
remove_circle_outline
remove_circle_outline
remove_circle_outline
remove_circle_outline

Journals

Article Types

Countries / Regions

Search Results (82)

Search Parameters:
Keywords = rotating cage

Order results
Result details
Results per page
Select all
Export citation of selected articles as:
13 pages, 2497 KB  
Article
Is Anterior Longitudinal Ligament Rupture During Posterior Corrective Surgery for Adult Spinal Deformity a Phenomenon Unique to When Combined with Lateral Lumber Interbody Fusion? -Finite Element Analysis with Comparison to When Combined with Posterior Lumber Interbody Fusion-
by Takaya Imai, Hiroki Takeda, Yuichiro Abe, Koutaro Kageshima, Yuki Akaike, Soya Kawabata, Nobuyuki Fujita and Shinjiro Kaneko
J. Clin. Med. 2025, 14(21), 7460; https://doi.org/10.3390/jcm14217460 - 22 Oct 2025
Viewed by 344
Abstract
Background: The occurrence of ALL rupture during posterior correction of adult spinal deformity (ASD) was rare before the introduction of lateral lumbar interbody fusion (LLIF) but has become more frequent recently. It remains unclear whether this phenomenon is unique to LLIF-combined procedures [...] Read more.
Background: The occurrence of ALL rupture during posterior correction of adult spinal deformity (ASD) was rare before the introduction of lateral lumbar interbody fusion (LLIF) but has become more frequent recently. It remains unclear whether this phenomenon is unique to LLIF-combined procedures or primarily related to enhanced corrective ability. Methods: The research method used in this study is finite element analysis (FEA). Using preoperative computed tomography images, LLIF cage (L group) or posterior lumbar interbody fusion (PLIF) cage (P group) were placed in the disc space with identical lordotic angles and distances from the anterior vertebral body edge for the same patients’ samples. Finite element simulations of corrective procedures were conducted. A spring simulating the ALL was introduced into the FEA, and the load on the ALL was evaluated with either LLIF or PLIF cage placement. Spring elongation directly measured the load on the ALL, while the location of the rotation center served as an indirect evaluation. Two different types of corrective procedures were created, one of which is mimicking ASD correction. For both procedures, the load to ALL was measured using abovementioned parameters when either LLIF cage (L group) or PLIF cage (P group) was used. The load to ALL was compared between L group and P group. Results: The degree of spring elongation during the simulation of a corrective procedure significantly decreased in the L group compared to the P group only in the model which is mimicking ASD correction (p = 0.006, Cohen’s d = 2.33, Power (1−β) = 0.956). The rotation center was significantly more posteriorly located in the P group than that in the L group in both models. These differences were more obvious in the model mimicking ASD correction (p = 0.0013, Cohen’s d = 2.00, Power (1−β) = 0.891). Conclusions: Our findings suggest that the use of a PLIF cage, which has a longer anterior–posterior cage length, caused the posterior edge of the cage to act as a pivot point. This configuration places greater leverage on the ALL, potentially leading to rupture during posterior correction procedures. This phenomenon, ALL rupture during posterior correction for ASD, is thought to be associated with increased corrective capabilities rather than being specific to the geometry of the LLIF cage. Full article
(This article belongs to the Section Orthopedics)
Show Figures

Figure 1

18 pages, 5967 KB  
Article
Effect of Rotational Speed Fluctuation Parameters on Dynamic Characteristics of Angular Contact Ball Bearings
by Haibin He, Jun Feng, Zuoxiang Zhu, Jinmei Guo and Guohu Luo
Symmetry 2025, 17(10), 1761; https://doi.org/10.3390/sym17101761 - 18 Oct 2025
Viewed by 448
Abstract
The fluctuation in the rotational speed of the inner ring can lead to significant instability in the motion of both the inner ring and the cage of rolling bearings. This instability seriously impacts the operational performance and service life of the bearings. In [...] Read more.
The fluctuation in the rotational speed of the inner ring can lead to significant instability in the motion of both the inner ring and the cage of rolling bearings. This instability seriously impacts the operational performance and service life of the bearings. In this paper, a nonlinear dynamic model of a fully flexible angular contact ball bearing was established by comprehensively considering various nonlinear factors, including elastic contact relationships, internal collisions, friction, and clearance. The dynamic characteristics of the inner ring and cage under sinusoidal rotational speed fluctuations were studied. The effects of amplitude and frequency of rotational speed fluctuation of the inner ring on the motion stability of the inner ring and cage were analyzed. The results show that a greater the fluctuation amplitude leads to a higher the fluctuation amplitude in the cage’s rotational speed curve, while a higher fluctuation frequency correlates with an increased frequency in the cage’s rotational speed curve. These results indicate that increases in both the amplitude and frequency of rotational speed fluctuations result in more pronounced oscillations of the inner ring. The validity of the model was confirmed by comparing the LS-DYNA results with the analytical results and experimental results. The research findings can provide a theoretical foundation for enhancing motion stability and optimizing design of the bearings. Full article
(This article belongs to the Section Engineering and Materials)
Show Figures

Graphical abstract

9 pages, 1000 KB  
Communication
Crystal Structure of 3-(Anthracen-2′-yl)-ortho-carborane
by Kyrill Yu. Suponitsky, Akim V. Shmal’ko, Sergey A. Anufriev and Igor B. Sivaev
Molbank 2025, 2025(4), M2071; https://doi.org/10.3390/M2071 - 10 Oct 2025
Viewed by 467
Abstract
Crystal molecular structure of 3-(anthracen-2′-yl)-ortho-carborane was determined by single crystal X-ray diffraction study at 100 K. The asymmetric cell unit contains two enantiomeric pairs of molecules, in one of which the intramolecular dihydrogen bond CH...HB is formed with the participation of [...] Read more.
Crystal molecular structure of 3-(anthracen-2′-yl)-ortho-carborane was determined by single crystal X-ray diffraction study at 100 K. The asymmetric cell unit contains two enantiomeric pairs of molecules, in one of which the intramolecular dihydrogen bond CH...HB is formed with the participation of the C(1)H hydrogen of the anthracene substituent, and in the other with the participation of the C(3)H hydrogen. In all molecules, the polycyclic aromatic and carborane fragments are rotated relative to each other in such a way that the C-C bond of the ortho-carborane cage is approximately parallel to the plane of the aromatic substituent. According to quantum chemical calculations, the minimum energy corresponds to the formation of an intramolecular dihydrogen bond C(1)H...HB(4/7), whereas the C(3)H...HB(4/7) bond is formed rather as a result of intermolecular interactions in the crystal lattice. Full article
(This article belongs to the Section Structure Determination)
Show Figures

Figure 1

14 pages, 4882 KB  
Article
Three-Phase Small-Power Low-Speed Induction Motor with Can-Type Rotor
by Krzysztof Sołtys and Krzysztof Kluszczyński
Energies 2025, 18(18), 4850; https://doi.org/10.3390/en18184850 - 12 Sep 2025
Viewed by 610
Abstract
To explore possible design solutions for induction motors, we designed and tested a three-phase small-power induction motor with a can-type rotor and a stationary internal ferromagnetic core, a design not previously described in the technical literature. This three-phase motor combines certain features of [...] Read more.
To explore possible design solutions for induction motors, we designed and tested a three-phase small-power induction motor with a can-type rotor and a stationary internal ferromagnetic core, a design not previously described in the technical literature. This three-phase motor combines certain features of a reliable solid-rotor motor, a two-rotor layer motor, and a motor in which the rotating thin aluminium layer is separated from the stationary inner ferromagnetic core. The motor prototype was based on a mass-produced, small-power, three-phase squirrel-cage motor. Its operating properties and characteristics were tested, highlighting its potential application as a special-purpose drive or a very interesting case for teaching purposes in laboratories of electrical machines. Measurements confirmed theoretical predictions and enabled the formation of a motor equivalent circuit with shunt and series branch parameters, among which magnetization reactance and rotor resistance varied with rotational speed. The main advantages of the motor are its simple rotor construction, low rotational speed, low-rotor inertia and good dynamics, as well as reliable operation across the entire range of useful torque from no-load to short-circuit conditions, without the risk of overheating. Full article
Show Figures

Figure 1

18 pages, 4336 KB  
Article
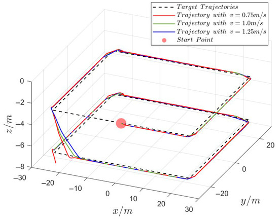
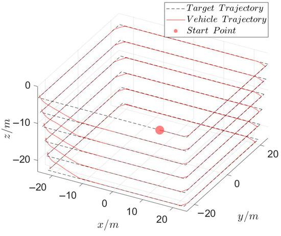
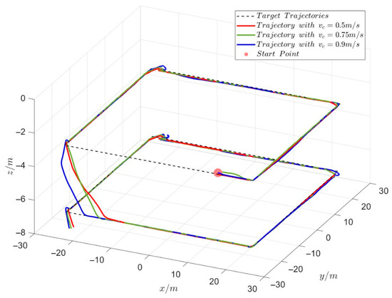
Autonomous Inspection Strategies and Simulation for Large Aquaculture Net Cages Based on Deep Visual Perception
by Keru Cai, Cong Li, Qian Sun, Yijun Liu, Hongyi Ye and Yuwang Xu
J. Mar. Sci. Eng. 2025, 13(9), 1736; https://doi.org/10.3390/jmse13091736 - 9 Sep 2025
Viewed by 987
Abstract
In China, a single large deep-sea net cage can raise nearly one million fish. If the fish net is damaged and the fish escape, it can lead to significant economic losses and ecological damage. Therefore, the inspection and maintenance of deep-sea aquaculture net [...] Read more.
In China, a single large deep-sea net cage can raise nearly one million fish. If the fish net is damaged and the fish escape, it can lead to significant economic losses and ecological damage. Therefore, the inspection and maintenance of deep-sea aquaculture net cages are very important. Currently, the inspection of fish nets relies primarily on manual remote control, and underwater positioning often uses ultra-short baseline systems, which depend on specialized personnel and have high costs. This paper proposes an autonomous inspection strategy for large aquaculture net cages based on deep visual perception. It utilizes stereo cameras to identify the relative distance and attitude angles between the robot and the sides of fish net as well as the fish net ahead. A PID method is employed to control the underwater autonomous net patrol robot to conduct operations with fixed depth, fixed distance, and attitude holding around the net. By integrating the Gazebo physical simulation platform with the ROS (Robot Operating System), a simulation environment for the underwater autonomous net patrol robot was constructed. The study investigated the inspection performance of the robot under different speed conditions, both in still water and considering current conditions. By comparing the actual operating trajectory with the expected trajectory, the proposed autonomous inspection strategy was validated. Moreover, the study examined the operation state under sudden disturbance forces, where the robot deviated six meters from the net cage and rotated 70 degrees. The simulation results indicate that under this control strategy, the robot can quickly recover its desired pose and continue executing the inspection task. Full article
Show Figures

Figure 1

16 pages, 3729 KB  
Article
Throttling Effect and Erosion Research of Ultra-High-Pressure Grease Nozzles
by Shaobo Feng, Zhixiong Xu, Hongtao Liu, Bao Zhang, Fumin Gao, Hongtao Jing and Pan Yang
Processes 2025, 13(8), 2555; https://doi.org/10.3390/pr13082555 - 13 Aug 2025
Viewed by 549
Abstract
To accommodate the extreme thermodynamic effects and erosion damage in throttling equipment for ultra-high-pressure natural gas wells (175 MPa), a coupled multiphase flow erosion numerical model for nozzles was established. This model incorporates a real gas compressibility factor correction and is based on [...] Read more.
To accommodate the extreme thermodynamic effects and erosion damage in throttling equipment for ultra-high-pressure natural gas wells (175 MPa), a coupled multiphase flow erosion numerical model for nozzles was established. This model incorporates a real gas compressibility factor correction and is based on the renormalized k-ε RNG (Renormalization Group k-epsilon model, a turbulence model that simulates the effects of vortices and rotation in the mean flow by modifying turbulent viscosity) turbulence model and the Discrete Phase Model (DPM, a multiphase flow model based on the Eulerian–Lagrangian framework). The study revealed that the nozzle flow characteristics follow an equal-percentage nonlinear regulation pattern. Choked flow occurs at the throttling orifice throat due to supersonic velocity (Ma ≈ 3.5), resulting in a mass flow rate governed solely by the upstream total pressure. The Joule–Thomson effect induces a drastic temperature drop of 273 K. The outlet temperature drops below the critical temperature for methane hydrate phase transition, thereby presenting a substantial risk of hydrate formation and ice blockage in the downstream outlet segment. Erosion analysis indicates that particles accumulate in the 180° backside region of the cage sleeve under the influence of secondary flow. At a 30% opening, micro-jet impact causes the maximum erosion rate to surge to 3.47 kg/(m2·s), while a minimum erosion rate is observed at a 50% opening. Across all opening levels, the maximum erosion rate consistently concentrates on the oblique section of the plunger front. Results demonstrate that removing the front chamfer of the plunger effectively improves the internal erosion profile. These findings provide a theoretical basis for the reliability design and risk prevention of surface equipment in deep ultra-high-pressure gas wells. Full article
(This article belongs to the Special Issue Multiphase Flow Process and Separation Technology)
Show Figures

Figure 1

16 pages, 3138 KB  
Article
Analysis of Vibration Characteristics of Angular Contact Ball Bearings in Aviation Engines Under Changing Conditions
by Yanfang Dong, Zibo Yan, Jianyong Sun, Wei Yu, Hai Zhang, Wenbo Zhou and Jihao Jin
Aerospace 2025, 12(7), 623; https://doi.org/10.3390/aerospace12070623 - 11 Jul 2025
Viewed by 797
Abstract
This paper addresses the vibration characteristics of angular contact ball bearings in aircraft engines under variable load conditions. Based on multibody dynamics theory, a dynamic model of the bearing was established. Vibration data under actual operating conditions were obtained using an experimental test [...] Read more.
This paper addresses the vibration characteristics of angular contact ball bearings in aircraft engines under variable load conditions. Based on multibody dynamics theory, a dynamic model of the bearing was established. Vibration data under actual operating conditions were obtained using an experimental test platform. This study systematically investigated the influence of rotational speed, axial load, and radial load on the vibration acceleration level of the bearing outer ring. Through a comparison of simulation and experimental data (with an error rate below 10%), the reliability of the model was validated. The results indicate that the bearing vibration acceleration level exhibits a nonlinear increasing relationship with rotational speed. An increase in radial load significantly amplifies the amplitude of acceleration-level fluctuations, while appropriately increasing axial load can reduce bearing vibration intensity. Under variable load coupling conditions, the dynamic interaction between axial and radial forces results in complex nonlinear vibration responses, with a 2 s acceleration time achieving the optimal balance between vibration suppression and efficiency (steady-state average of 70.4 dB). Additionally, the morphological characteristics of the cage center-of-gravity trajectory (such as trajectory disorder and poor smoothness) are closely related to vibration characteristics, revealing the critical role of dynamic load changes in bearing stability. The research results provide a theoretical basis for optimizing the operating conditions, vibration control, and reliability design of aircraft engine bearings. Full article
Show Figures

Figure 1

22 pages, 18733 KB  
Article
An Approach for Predicting the Vibro-Impact Behavior of Angular Contact Ball Bearing Considering Variable Clearance
by Yuqi Zhou, Xu Peng and Yu Chen
Lubricants 2025, 13(5), 216; https://doi.org/10.3390/lubricants13050216 - 14 May 2025
Cited by 1 | Viewed by 772
Abstract
This work develops a comprehensive analysis method to examine the nonlinear dynamic response of angular contact ball bearings (ACBBs) with variable clearance. Based on the elastic contact theory and friction principle, the nonlinear contact-impact behavior of the ACBB is systematically investigated. A multibody [...] Read more.
This work develops a comprehensive analysis method to examine the nonlinear dynamic response of angular contact ball bearings (ACBBs) with variable clearance. Based on the elastic contact theory and friction principle, the nonlinear contact-impact behavior of the ACBB is systematically investigated. A multibody dynamics model incorporating three-dimensional clearance effects is developed. First, the nonlinear vibro-impact dynamics model of the ACBB is presented considering the influence of variable clearance. Second, the kinematic analysis of the ACBB with clearance is planned, and performance tests are performed under variable conditions, which demonstrate the effectiveness of the proposed method. Furthermore, a comparative analysis of a numerical simulation of the ACBBs with variable clearance is performed. The results show that the increase in rotation speed and external load would cause the high-frequency contact impact between ball and raceway. The decline of the deviation ratio for the cage’s mass center velocity illustrates that the motion trajectory of ACBB would be irregular. Full article
(This article belongs to the Special Issue Advances in Lubricated Bearings, 2nd Edition)
Show Figures

Figure 1

15 pages, 5293 KB  
Article
Biomechanical Optimization of Lumbar Fusion Cages with a Porous Design: A Finite Element Analysis
by Chenkai Zhu, Kan Deng, Zhenzong Shao and Yong Wang
Appl. Sci. 2025, 15(10), 5384; https://doi.org/10.3390/app15105384 - 12 May 2025
Viewed by 2444
Abstract
Lumbar interbody fusion (LIF) is a standard treatment for spinal instability, yet postoperative subsidence and adjacent segment degeneration (ASD) remain critical challenges. This study evaluates the biomechanical efficacy of personalized porous fusion cages—featuring Gyroid (G-Cage) and Voronoi (V-Cage) architectures—against classic (C-Cage) and personalized [...] Read more.
Lumbar interbody fusion (LIF) is a standard treatment for spinal instability, yet postoperative subsidence and adjacent segment degeneration (ASD) remain critical challenges. This study evaluates the biomechanical efficacy of personalized porous fusion cages—featuring Gyroid (G-Cage) and Voronoi (V-Cage) architectures—against classic (C-Cage) and personalized (P-Cage) designs, aiming to enhance stability and mitigate subsidence risks. A finite element model of the L3–L4 segment, derived from CT scans of a healthy male volunteer, was developed to simulate six motion modes (compression, rotation, flexion, extension, and left/right bending). Biomechanical parameters, including range of motion (ROM), cage stress, endplate stress, and displacement, were analyzed. The results demonstrated that the V-Cage exhibited superior performance, reducing ROM by 51% in extension, cage stress by 41.7% in compression, and endplate stress by 63.7% in right bending compared to the C-Cage. The porous designs (G-Cage, V-Cage) exhibited biomimetic stress distribution and minimized micromotion, which was attributed to their trabecular-like architectures. These findings highlight the Voronoi-based porous cage as a biomechanically optimized solution, offering enhanced stability and reduced subsidence risk when compared to classic implants. The study underscores the potential of patient-specific porous designs in advancing LIF outcomes, warranting further clinical validation to translate computational insights into practical applications. Full article
(This article belongs to the Special Issue Advances in Biomimetic Design and Materials)
Show Figures

Figure 1

20 pages, 8195 KB  
Article
Cage Strength Analysis and Improvement of High-Speed Deep Groove Ball Bearings
by Wenhu Zhang, Shengjie Du, Heng Tian and Li Huang
Machines 2025, 13(3), 241; https://doi.org/10.3390/machines13030241 - 17 Mar 2025
Cited by 2 | Viewed by 1619
Abstract
The cage strength is a critical factor that constrains performance of high-speed deep groove ball bearing (DGBB) used in the drive motor of new energy vehicles. This paper presents a rigid-flexible coupling dynamic model for high-speed DGBBs, based on interactions dynamic of the [...] Read more.
The cage strength is a critical factor that constrains performance of high-speed deep groove ball bearing (DGBB) used in the drive motor of new energy vehicles. This paper presents a rigid-flexible coupling dynamic model for high-speed DGBBs, based on interactions dynamic of the flexible crown cage, balls, and rings. This study systematically analyzed the cage weaknesses in strength, and explored how factors such as the pocket clearance, claw length, modification radius and bottom thickness influence cage strength. In addition, an improved design aimed at enhancing cage strength was proposed. The results indicate that the cage strength is more sensitive to the inner-ring speed. Particularly, both the maximum stress and deformation in the radial direction increase sharply when the speed exceeds a threshold of 18,000 r/min. Additionally, an increase in the bearing rotational acceleration leads to a 45.7% rise in the cage stress. Furthermore, the sensitivity of the cage strength to temperature also escalates with bearing speed; the maximum stress and deformation increase by 5% to 16% at 80 °C compared to that obtained at 25 °C. Based on the structural influence on the cage strength, a structural improvement is proposed. With a pocket clearance of 0.23 mm, a claw length of 2.3 mm, a bottom thickness of 2.4 mm, and a shaping radius of 7.0 mm, the strength of the cage was evaluated both before and after the improvements. The results indicated that the enhanced cage exhibited superior strength. Full article
(This article belongs to the Section Electrical Machines and Drives)
Show Figures

Figure 1

23 pages, 4921 KB  
Article
Inverse System Decoupling Control of Composite Cage Rotor Bearingless Induction Motor Based on Support Vector Machine Optimized by Improved Simulated Annealing-Genetic Algorithm
by Chengling Lu, Junhui Cheng, Qifeng Ding, Gang Zhang, Jie Fang, Lei Zhang, Chengtao Du and Yanxue Zhang
Actuators 2025, 14(3), 125; https://doi.org/10.3390/act14030125 - 5 Mar 2025
Cited by 2 | Viewed by 1058
Abstract
To address the inherent nonlinearity and strong coupling among rotor displacement, speed, and flux linkage in the composite cage rotor bearingless induction motor (CCR-BIM), an inverse system decoupling control strategy based on a support vector machine (SVM) optimized by the improved simulated annealing-genetic [...] Read more.
To address the inherent nonlinearity and strong coupling among rotor displacement, speed, and flux linkage in the composite cage rotor bearingless induction motor (CCR-BIM), an inverse system decoupling control strategy based on a support vector machine (SVM) optimized by the improved simulated annealing-genetic algorithm (ISA-GA) is proposed. First, based on the structure and working principle of CCR-BIM, the mathematical model of CCR-BIM is derived, and its reversibility is rigorously analyzed. Subsequently, an SVM regression equation is established, and the SVM kernel function parameters are optimized using the ISA-GA to train a high-precision inverse system decoupling control model. Finally, the inverse system is cascaded with the original system to construct a pseudo-linear system model, achieving linearization and decoupling control of CCR-BIM. To verify the effectiveness and practicability of the proposed decoupling control strategy, the proposed control method is compared with the traditional inverse system decoupling control strategy through simulation and experimentation. Both simulation and experimental results demonstrate that the proposed decoupling control strategy can effectively achieve decoupling control of rotor displacement, rotational speed, and flux linkage in CCR-BIM. Full article
(This article belongs to the Section Control Systems)
Show Figures

Figure 1

18 pages, 3993 KB  
Article
Modeling the Droplet Size Distribution of Atomizers with Different Cage Diameters for Large-Payload Unmanned Aerial Vehicles (UAVs)
by Jiajun Yang, Longlong Li, Qing Tang, Peng Hu, Wenlong Yan and Ruirui Zhang
Agronomy 2025, 15(3), 647; https://doi.org/10.3390/agronomy15030647 - 4 Mar 2025
Cited by 3 | Viewed by 1875
Abstract
Spraying drift is a key concern in aerial spraying and relates closely to droplet size. With the growing application of large-load UAVs, large-load plant protection UAVs lack corresponding spraying devices. The rotary cage atomizer, suitable for high-flow aerial spraying, is a better option [...] Read more.
Spraying drift is a key concern in aerial spraying and relates closely to droplet size. With the growing application of large-load UAVs, large-load plant protection UAVs lack corresponding spraying devices. The rotary cage atomizer, suitable for high-flow aerial spraying, is a better option for large-load plant protection UAVs’ spraying needs. A modified rotating cage atomizer based on the AU5000 atomizer in manned aircraft was designed, with cage diameters of 76 mm, 86 mm, 96 mm, 106 mm, and 116 mm. Based on the IEA-I high-speed wind tunnel, this study investigated the impacts of different wind speeds, flow rates, and cage diameters on the atomization characteristic distribution of the modified atomizer and established a model. The results show that when other variables remain constant, for every 1 mm increase in cage diameter, the average droplet size decreases by 0.944 μm. The R2 of the predicted values and the measured values of the droplet size model is 0.917. Under the conditions of 50 m/s, 58.3 m/s, and 66.6 m/s wind speeds, as the cage diameter increases, Relative Span (RS) shows a trend of first increasing and then decreasing. Among them, the RS of the 106 mm cage diameter is usually the highest. This study can provide a reference for the aerial spraying scheme of large-payload plant protection UAVs, such as the selection of the diameter of the rotating cage. Full article
Show Figures

Figure 1

18 pages, 7252 KB  
Article
Research on Dynamic Modeling and Vibration Characterization of Integrated Bearings
by Chuanxiao Zhi, Jingyu Zhai, Baogang Wen and Ning Li
Appl. Sci. 2025, 15(1), 98; https://doi.org/10.3390/app15010098 - 26 Dec 2024
Cited by 1 | Viewed by 1295
Abstract
Integrated bearings, characterized by their unique structure, feature an inner ring that is seamlessly integrated with the shaft. This study is based on the theoretical framework of rolling bearing dynamics and considers bearing friction, lubrication, and Hertz elastic contact theory. A dynamic simulation [...] Read more.
Integrated bearings, characterized by their unique structure, feature an inner ring that is seamlessly integrated with the shaft. This study is based on the theoretical framework of rolling bearing dynamics and considers bearing friction, lubrication, and Hertz elastic contact theory. A dynamic simulation model considering the interaction between the components of the rolling bearing is established. Additionally, a subroutine for calculating the interaction forces between the bearing components was written in C and compiled into a dynamic link library, which was then integrated with the dynamic simulation software. To solve and simulate the dynamics of the integrated bearing model, a sophisticated combination of a refined integration method and the predictor-corrector Adams–Bashforth–Moulton multistep technique was employed. The theoretical analysis offers insights into the vibration characteristics of the integrated bearings across different structural and operational parameters. Results indicate that a judicious selection of parameters, such as the curvature radius ratio of the inner and outer grooves and the gap of the cage pockets, can significantly enhance the bearings’ vibration and noise reduction capabilities. Furthermore, the application of an appropriate axial preload effectively reduces bearing vibrations, and there exists an optimal range of rotational speeds that minimizes these vibrations. Full article
(This article belongs to the Section Acoustics and Vibrations)
Show Figures

Figure 1

23 pages, 7518 KB  
Article
Application of Squirrel Cage Generator Control System Utilizing Direct Torque Control Method as the Shaft Generator in a Seagoing Ship
by Maciej Kozak, Roman Bronsky and Marcin Matuszak
Energies 2024, 17(23), 5985; https://doi.org/10.3390/en17235985 - 28 Nov 2024
Viewed by 1208
Abstract
The squirrel cage induction generator or SCIG (Squirrel Cage Induction Generator) belongs to the family of induction machines, which are currently used as the most common electrical machines. The use of power electronic converter systems along with advanced control vector algorithms allows for [...] Read more.
The squirrel cage induction generator or SCIG (Squirrel Cage Induction Generator) belongs to the family of induction machines, which are currently used as the most common electrical machines. The use of power electronic converter systems along with advanced control vector algorithms allows for the implementation of the effective operation of squirrel cage generators in various conditions. Up to now, there are a few practical realizations of squirrel cage generators, which are installed on board the vessels; mostly, these generators act as shaft generators, and it originates from the rules that require self-excitement of main electrical generators, acting as an immediate ready-to-use voltage source. In this article, we present a solution that utilizes an SCIG that operates with varying rotational speed as a shaft generator but can also act as an emergency propeller drive in case of main combustion engine failure. The main achievement of the presented work was the creation of a control table prepared for real-time software of the machine-side inverter. The data for the table were collected during the experimental research, and such a setup allowed us to use a DTC-controlled SCIG as a generator that rotated with variable speed and under changing load. Full article
(This article belongs to the Section F1: Electrical Power System)
Show Figures

Figure 1

13 pages, 1707 KB  
Article
Think Beyond the Room: Measuring Relative Humidity in the Home Cage and Its Impact on Reproduction in Laboratory Mice, Mus musculus
by Amanda J. Barabas, Ronald A. Conlon and Craig A. Hodges
Animals 2024, 14(22), 3164; https://doi.org/10.3390/ani14223164 - 5 Nov 2024
Viewed by 2426
Abstract
Relative humidity (RH) is measured in vivaria with a broad range to accommodate seasonal fluctuations. It is assumed that measurements in the room (macroenvironment) reflect those in the cage (microenvironment). However, there is limited data comparing RH in the macroenvironment to the microenvironment [...] Read more.
Relative humidity (RH) is measured in vivaria with a broad range to accommodate seasonal fluctuations. It is assumed that measurements in the room (macroenvironment) reflect those in the cage (microenvironment). However, there is limited data comparing RH in the macroenvironment to the microenvironment and how the mice may be affected by variations in RH that fall within husbandry recommendations. This study aimed to compare RH in the macroenvironment to that of the microenvironment in various group sizes of laboratory mice; and examine how variation in microenvironmental RH impacts pup survival. Temperature and RH were measured using a temperature/humidity data logger attached to a solid top cage lid. The lid was rotated across N = 48 breeding trios and N = 33 same sex cages on a C57BL/6J background. Further, once a week, a single breeding trio was selected (N = 23) to compare RH readings to weekly rates of pup loss in a larger breeding colony. Across all cages, RH was higher in the microenvironment than the macroenvironment. RH was universally higher in the summer than in the winter, and increased with group size. For breeding cages, as microenvironmental RH increased, the proportion of pups lost each week decreased in a linear relationship. No threshold of decreased mortality could be identified. These data highlight RH as a potential extrinsic factor. While these patterns are correlational, they warrant further research focused on the causative role of RH on mouse welfare. Full article
(This article belongs to the Special Issue Care and Well-Being of Laboratory Animals)
Show Figures

Figure 1

Back to TopTop