Airborne and Underwater Noise Produced by a Hovercraft in the North Caspian Region: Pressure and Particle Motion Measurements
Abstract
1. Introduction
- Type: Griffon Hoverwork BHT130 hovercraft;
- Dimensions: Length: 30 m; beam: 13 m;
- Power system: Four diesel engines: two lift engines (900 HP each); two propulsion engines (1200 HP each);
- Propellers: Two 6-blade propellers.
- A hovercraft’s airborne noise has been measured in accordance with an ISO standard [14]. However, very shallow water (<5 m depth) conditions of the Ural-Caspian Channel and the North Caspian shelf do not fit the requirements of the ISO standard for underwater noise measurements. ISO 17208-1:2016 requires a water depth of 150 m [15]. The Ural-Caspian Channel has almost abrupt shores, an average depth of ≈5 m, width of ≈140 m, and river-specific muddy bottom. The water depth of the Caspian Sea near the Ural River estuary is ≈2 m. Therefore, the measured underwater noise parameters of the hovercraft relate to this specific region only. These very parameters of the hovercraft noise are required to assess the potential negative impact of the noise on the fish fauna within the environmentally sensitive shallow-water region. Exceeding the underwater noise precautionary threshold of 130 dB re 1 µPa has been considered as an onset of the negative behavioral response of fish [8,9,16,17].
- It was anticipated that underwater noise from a hovercraft would be lower and airborne noise would be higher than those of the vessels with marine screw propellers or water-jet propellers. The noise produced by the engine, propellers, and hull vibrations of such vessels is well transmitted to the water column and propagates there. Engines and propellers are the major sources of hovercraft noise [10,11,12,13,18]. However, once a hovercraft reaches cruising speed, the cushion contact with the water surface is almost negligible, which eliminates the direct transmission of noise and vibration from a hull into the water column. For a hovercraft, the only source of underwater noise is airborne noise, which is poorly transmitted through the air–water interface with reflection coefficient of 99.88% at normal incidence. Therefore, in contrast with ordinary vessels, a low level of underwater noise was expected during the hovercraft passage at a cruising and maximum speed (almost no contact of a skirt with the water’s surface). A hovercraft in motion rises above the water’s surface and generates noise which differs from the high-amplitude underwater noise of conventional ships with screw propellers. Its airborne noise is similar to that of aircrafts or helicopters as they all use air propellers that are the main source of airborne noise, which mainly reflects from air–water interface and weakly penetrates into water.
- Field experiments were carried out in the Ural-Caspian Channel (a man-made riverbed of the Ural River) in July-August 2017, August 2019, and May 2022 (Figure 2). The accuracy of noise measurements in the Spring of 2022 was limited due to the high wind speed (≥5 m/s) and strong current (up to 1 m/s) in the Ural River. In the meantime, nesting of rare bird species and fish spawning occurs during this very period. Low-frequency pseudo sound was produced by vortices around the PGS and affected the underwater noise recordings. Note that the main energy of pseudo sound is concentrated in the infrasound band. For the data collected at high current speeds, the infrasound part of noise spectra should be either filtered or simply ignored as born by non-acoustic phenomena. The latter was conducted. The frequency range from 100 Hz to 1650 Hz was chosen to calculate the particle velocity from the acoustic pressure time series.
- Particle velocity measurements of the hovercraft underwater noise were conducted using a self-designed pressure gradient sensor (PGS) which consisted of four non-coplanar hydrophones (Figure 3b). A finite-difference approximation of the spatial derivatives of the pressure field measured by these hydrophones makes it possible to assess three orthogonal projections of the particle velocity [18,19,20,21]. In [6], a similar PGS was used to study the impulse noise produced by pile driving. In [7], the particle acceleration sensors recorded underwater noise during seismic surveys. In [22], a PGS-type receiver was used to quantify ambient particle acceleration in coral reef soundscapes as well as for particle acceleration levels estimation due to the noise of boats.
2. Materials and Methods
2.1. Metrics of Underwater Noise
- Time dependence of the sound pressure level (SPL)
- Sound exposure level (SEL)
- Time dependence of the particle velocity level (VL)
2.2. Airborne Noise Measurement Methods
3. Results
3.1. Measured Underwater Sound Pressure and Sound Exposure Levels of the Hovercraft
3.2. Particle Velocity Estimates of the Hovercraft Underwater Noise
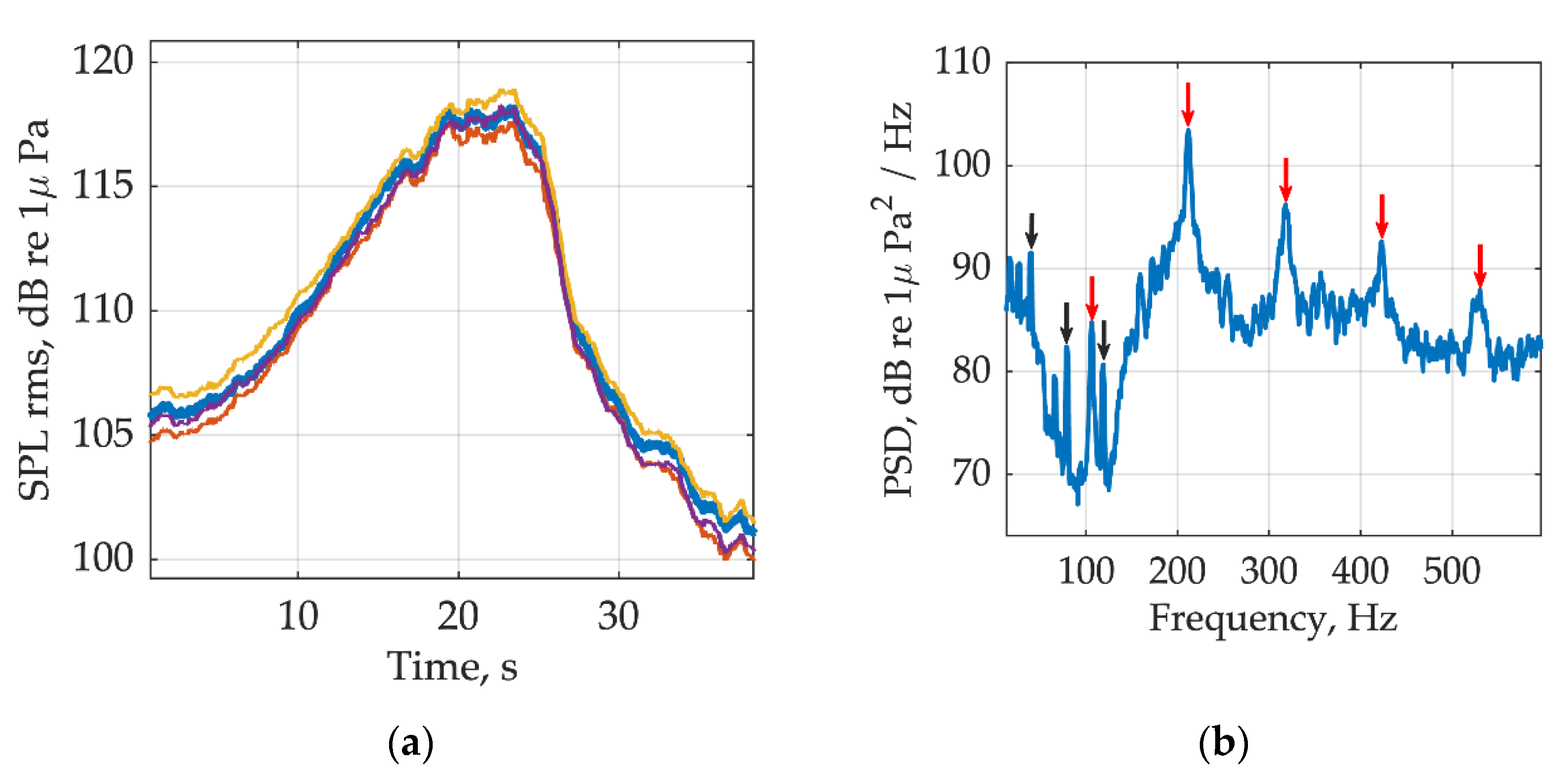
3.3. Directivity of the Hovercraft Underwater Noise
- Simultaneous recording of the time-dependent sound pressure level at a hydrophone, distance between the hovercraft and a hydrophone, azimuthal angle between the hovercraft heading, and the hovercraft–hydrophone direction.
- Normalization of to a nominal distance of 1 m using the spherical decay law, .
- Merging the time series of and to obtain angular dependence .
3.4. Comparison of the Underwater Noise Produced by the Hovercrafts at Different Speeds and by Other Vessels
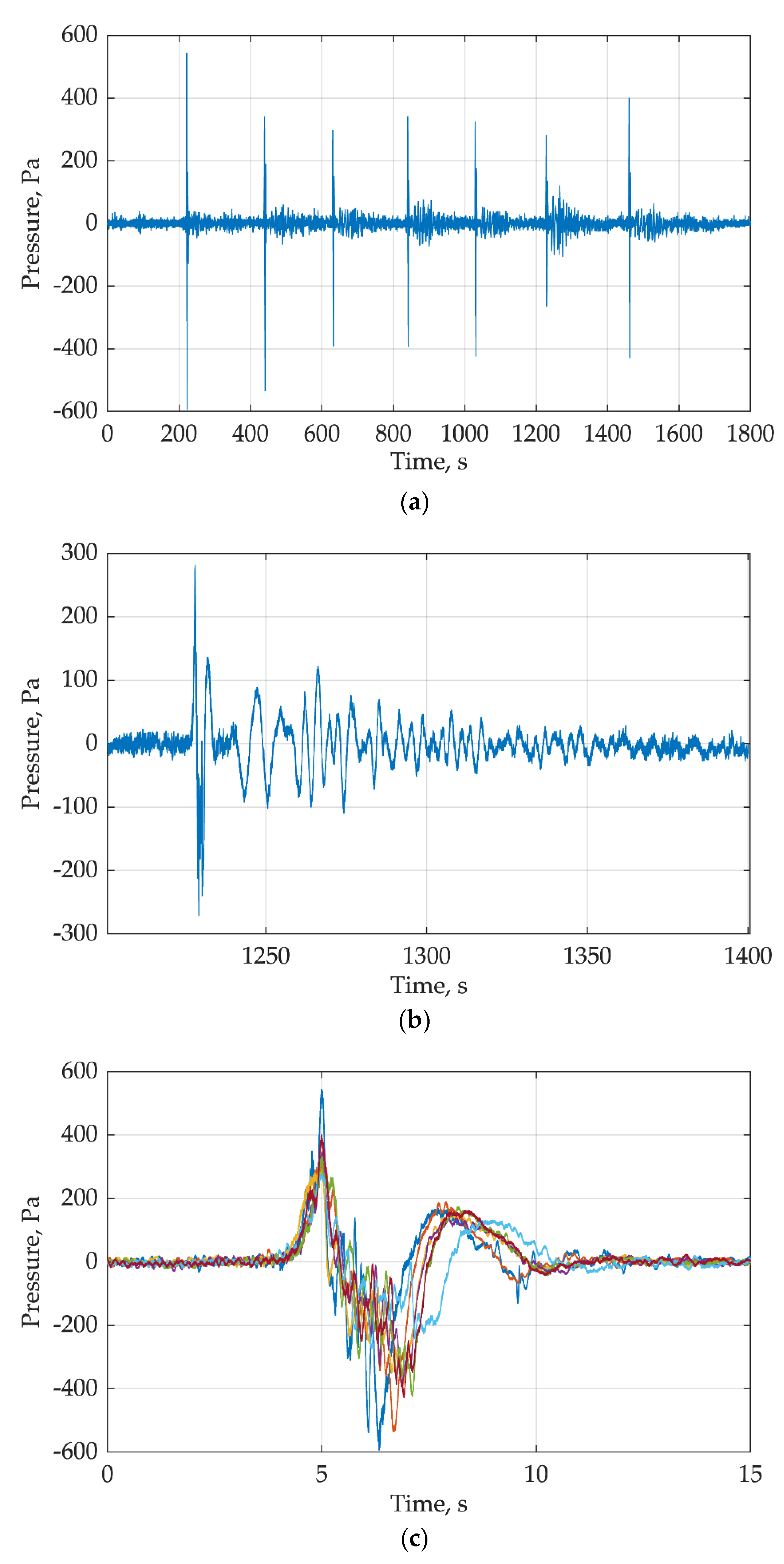
3.5. Hydrodynamic Pressure Surge under the Hovercraft Cushion
3.6. Airborne Noise of the Hovercraft
4. Discussion and Conclusions
- There is a strong dependence of the sound pressure level, sound exposure level, and particle velocity level on the hovercraft speed, with minimums at the cruising speed. Using the plane wave approximation, the particle velocity level of underwater noise can be retrieved from the sound pressure level with an accuracy of ≈3 dB at the range of ≈ 20–50 m in the frequency band 100–1650 Hz.
- Underwater noise level ( or ) variation does not exceed ≈3 dB depending on the site of measurements and environmental conditions. This indicates a similarity of waveguide parameters at various points in the Ural River Estuary.
- Nonuniform noise radiation pattern in a horizontal plane is observed both underwater and in the air. This pattern is necessary to know for the accurate prediction of safety zones for the fauna.
- Hydrodynamic pressure surge under the hovercraft cushion at the maximum speed is about 1 kPa at 4 m depth. Its effect on the fish fauna is a matter of further research.
Supplementary Materials
Author Contributions
Funding
Institutional Review Board Statement
Informed Consent Statement
Data Availability Statement
Acknowledgments
Conflicts of Interest
References
- Jiménez-Arranz, G.; Banda, N.; Cook, S.; Wyatt, R. Review of Existing Data on Underwater Sounds Produced by the Oil and Gas Industry. In E&P Sound & Marine Life (JIP); Seiche Ltd.: Holsworthy, UK, 2008. [Google Scholar]
- McKenna, M.F.; Ross, D.; Wiggins, S.M.; Hildebrand, J.A. Underwater radiated noise from modern commercial ships. J. Acoust. Soc. Am. 2012, 131, 92–103. [Google Scholar] [CrossRef] [PubMed]
- Rutenko, A.N.; Ushchipovskii, V.G. Estimates of acoustic noise generated by supply vessels working with oil-drilling platforms. Acoust. Phys. 2015, 61, 556–563. [Google Scholar] [CrossRef]
- Blackwell, S.B.; Greene, C.R., Jr. Underwater and in-air sounds from a small hovercraft. J. Acoust. Soc. Am. 2005, 118, 3646–3652. [Google Scholar] [CrossRef]
- Guan, S.; Brookens, T.; Vignola, J. Use of Underwater Acoustics in Marine Conservation and Policy: Previous Advances, Current Status, and Future Needs. J. Mar. Sci. Eng. 2021, 9, 173. [Google Scholar] [CrossRef]
- MacGillivray, A.; Racca, R. Sound pressure and particle velocity measurements from marine pile driving with bubble curtain mitigation. Can. Acoust. 2006, 34, 58. [Google Scholar]
- McCauley, R.D.; Meekan, M.G.; Parsons, M.J.G. Acoustic Pressure, Particle Motion, and Induced Ground Motion Signals from a Commercial Seismic Survey Array and Potential Implications for Environmental Monitoring. J. Mar. Sci. Eng. 2021, 9, 571. [Google Scholar] [CrossRef]
- Popper, A.N.; Hawkins, A.D.; Halvorsen, M.B. Anthropogenic Sound and Fishes. In Research Report, Prepared for US Department of Transportation; FTA: New York, NY, USA, 2019. [Google Scholar]
- Popper, A.N.; Hawkins, A.D.; Fay, R.R.; Mann, D.A.; Bartol, S.; Carlson, T.J.; Coombs, S.; Ellison, W.T.; Gentry, R.L.; Halvorsen, M.B. ASA S3/SC1. 4 TR-2014 Sound Exposure Guidelines for Fishes and Sea Turtles: A Technical Report Prepared by ANSI-Accredited Standards Committee S3/SC1 and Registered with ANSI; Springer: Berlin/Heidelberg, Germany, 2014. [Google Scholar]
- Vedenev, A.I.; Lunkov, A.A.; Shatravin, A.V.; Kochetov, O.Y. Measurements of the hovercraft noise for estimation of anthropogenic impact on ornytho- and ichthyofauna of Ural River Delta. In Proceedings of the XVI Brekhovskikh conference, Moscow, Russia; 2018; pp. 177–180. [Google Scholar]
- Vedenev, A.I.; Kochetov, O.Y.; Lunkov, A.A.; Shurup, A.S. Experimental study of the acoustic noise impact of a hovercraft. In Proceedings of the XXXV Session of Russian Acoustical Society, Moscow, Russia, 13–17 February 2023; GEOS: Moscow, Russia, 2023; pp. 420–426, ISBN 978-5-89118-863-1. [Google Scholar]
- Research Report “Assessment of Physical Exposure Hovercraft (ACV) on the Flora and Fauna of the Ural River and the Northern Caspian”, Noise research, KMG Systems & Services, RINA-KMGSS-6-2019-008/2019, Astana, Kazakhstan. 2019. Available online: https://kmgss.kz/project/8 (accessed on 16 May 2023).
- Summary Report “Assessment of Physical Impact of the Air-Cushion Vessels (ACV) on Flora and Fauna of the Ural River and the North Caspian”, Noise research, KMG Systems & Services, JO229077, Astana, Kazakhstan. 2020. Available online: https://kmgss.kz/project/8 (accessed on 16 May 2023).
- ISO 2922:2020; Acoustics—Measurements of Airborne Sound Emitted by Vessels on Inland Waterways and Harbours. ISO: Geneva, Switzerland, 2021. Available online: https://www.iso.org/standard/74023.html (accessed on 16 May 2023).
- ISO 17208-1:2016; Underwater acoustics—Quantities and Procedures for Description and Measurement of Underwater Sound from Ships—Part 1: Requirements for Precision Measurements in Deep Water Used for Comparison Purpose. ISO: Geneva, Switzerland, 2016. Available online: https://www.iso.org/standard/62408.html (accessed on 16 May 2023).
- Popper, A.N.; Hawkins, A.D. The importance of particle motion to fishes and invertebrates. J. Acoust. Soc. Am. 2018, 143, 470–488. [Google Scholar] [CrossRef]
- Hawkins, A.D.; Popper, A.N. A sound approach to assessing the impact of underwater noise on marine fishes and invertebrates. ICES J. Mar. Sci. 2017, 74, 635–651. [Google Scholar] [CrossRef]
- Roof, C.J.; Fleming, G.G. Hovercraft Underwater Noise Measurements in Alaska; United States Postal Service: Washington, DC, USA; John A. Volpe National Transportation System Center: Cambridge, MA, USA, 2001. Available online: https://rosap.ntl.bts.gov/view/dot/9520/dot_9520_DS1.pdf (accessed on 16 May 2023).
- Crocker, M.J.; Arenas, J.P. Fundamentals of the direct measurement of sound intensity and practical applications. Acoust. Phys. 2003, 49, 163–175. [Google Scholar] [CrossRef]
- Nedelec, S.L.; Ainslie, M.A.; Andersson, M.H.; Cheong, S.H.; Halvorsen, M.B.; Linné, M. Best Practice Guide for Underwater Particle Motion Measurement for Biological Applications. In Technical Report by the University of Exeter for the IOGP Marine Sound and Life Joint Industry Programme; University of Exeter: Falmouth, UK, 2021. [Google Scholar]
- Jansen, E.; Prior, M.; Brouns, E. On the conversion between sound pressure and particle motion. In Proceedings of the Meetings on Acoustics; Acoustical Society of America: Melville, NY, USA, 2019; Volume 37, p. 070012. [Google Scholar]
- Jones, I.T.; Gray, M.D.; Mooney, T.A. Soundscapes as heard by invertebrates and fishes: Particle motion measurements on coral reefs. J. Acoust. Soc. Am. 2022, 152, 399–415. [Google Scholar] [CrossRef]
- Nedelec, S.L.; Campbell, J.; Radford, A.N.; Simpson, S.D.; Merchant, N.D.; Fisher, D. Particle motion: The missing link in underwater acoustic ecology. Methods Ecol. Evol. 2016, 7, 836–842. [Google Scholar] [CrossRef]
- Gordienko, V.A. Vector-Phase Methods in Acoustics; Fizmatlit: Moscow, Russia, 2007. [Google Scholar]
- Richards, E.J.; Sharland, I.J. Hovercraft Noise and its Suppression. Aeronaut. Soc. 1965, 69, 387–398. [Google Scholar] [CrossRef]
- Lovesey, E. Hovercraft noise and vibration. J. Sound Vib. 1972, 20, 241–245. [Google Scholar] [CrossRef]
- Zaslavsky, Y.M.; Zaslavsky, V.Y. On the analysis of hovercraft air-acoustic field. Bull. Lobachevsky Univ. Nizhny Novgorod 2009, 3, 69. [Google Scholar]
- Badino, A.; Borelli, D.; Gaggero, T.; Rizzuto, E.; Schenone, C. Airborne noise emissions from ships: Experimental characterization of the source and propagation over land. Appl. Acoust. 2016, 104, 158–171. [Google Scholar] [CrossRef]
- Fredianelli, L.; Nastasi, M.; Bernardini, M.; Fidecaro, F.; Licitra, G. Pass-by Characterization of Noise Emitted by Different Categories of Seagoing Ships in Ports. Sustainability 2020, 12, 1740. [Google Scholar] [CrossRef]
- Nastasi, M.; Fredianelli, L.; Bernardini, M.; Teti, L.; Fidecaro, F.; Licitra, G. Parameters Affecting Noise Emitted by Ships Moving in Port Areas. Sustainability 2020, 12, 8742. [Google Scholar] [CrossRef]
- Maslov, A.V.; Kozina, N.; Shevchenko, V.P.; Klyuvitkin, A.A.; Sapozhnikov, P.V.; Zavialov, P.O. REE systematics in modern bottom sediments of the Caspian Sea and river deltas worldwide: Experience of comparison. Dokl. Earth Sci. 2017, 475, 797–802. [Google Scholar] [CrossRef]
- Katsnelson, B.; Katsman, R.; Lunkov, A.; Ostrovsky, I. Acoustical methodology for determination of gas content in aquatic sediments, with application to Lake Kinneret, Israel, as a case study. Limnol. Oceanogr. Methods 2017, 15, 531–541. [Google Scholar] [CrossRef]
- Lunkov, A.A.; Katsnelson, B.G. Using discrete low-frequency components of shipping noise for gassy sediment characterization in shallow water. J. Acoust. Soc. Am. 2020, 147, EL428–EL433. [Google Scholar] [CrossRef]
- Belov, A.I.; Kuznetsov, G.N. Spatial attenuation of different sound field components in a water layer and shallow-water sediments. Acoust. Phys. 2017, 63, 652–659. [Google Scholar] [CrossRef]
- Kuznetsov, G.N.; Stepanov, A.N. Approximate analytic representations of laws of attenuation in vector-scalar fields of multipole sources in a Pekeris waveguide. Acoust. Phys. 2017, 63, 660–672. [Google Scholar] [CrossRef]
- Ceraulo, M.; Bruintjes, R.; Benson, T.; Rossington, K.; Farina, A.; Buscaino, G. Relationships of sound pressure and particle velocity during pile driving in a flooded dock. Proc. Mtgs. Acoust. 2016, 27, 040007. [Google Scholar] [CrossRef]
- Hazelwood, R.A.; Macey, P.C. Modeling Water Motion near Seismic Waves Propagating across a Graded Seabed, as Generated by Man-Made Impacts. J. Mar. Sci. Eng. 2016, 4, 47. [Google Scholar] [CrossRef]
- Brekhovskikh, L.M.; Lysanov, Y.P. Fundamentals of Ocean Acoustics; Springer Science & Business Media: Berlin/Heidelberg, Germany, 2003. [Google Scholar]
- Nikseresht, A.H.; Alishahi, M.M.; Emdad, H. Complete flow field computation around an ACV (air-cushion vehicle) using 3D VOF with Lagrangian propagation in computational domain. Comput. Struct. 2008, 86, 627–641. [Google Scholar] [CrossRef]
- ISO 9613-2:1996; Acoustics—Attenuation of Sound during Propagation Outdoors—Part 2: General Method of Calculation. ISO: Geneva, Switzerland, 1996.
- Shannon, G.; McKenna, M.F.; Angeloni, L.M.; Crooks, K.R.; Fristrup, K.M.; Brown, E.; Warner, K.A.; Nelson, M.D.; White, C.; Briggs, J.; et al. A synthesis of two decades of research documenting the effects of noise on wildlife. Biol. Rev. 2016, 91, 982–1005. [Google Scholar] [CrossRef]














| Low speed (up to 7 m/s) | 115 | 126 | 50 |
| Cruising speed (7–15 m/s) | 110 | 116 | 45 |
| Maximum speed (more than 15 m/s) | 114 | 120 | 49 |
| of Underwater Noise (dB re. 1 μPa) at a Distance of 25 m | of Airborne Noise (dBA re. 20 μPa) at a Distance of 25 m | |
|---|---|---|
| Low speed (up to 7 m/s) | 115 | 103 |
| Cruising speed (7–15 m/s) | 110 | 93 |
| Maximum speed (more than 15 m/s) | 114 | 102 |
| Background | 99 | 50 |
Disclaimer/Publisher’s Note: The statements, opinions and data contained in all publications are solely those of the individual author(s) and contributor(s) and not of MDPI and/or the editor(s). MDPI and/or the editor(s) disclaim responsibility for any injury to people or property resulting from any ideas, methods, instructions or products referred to in the content. |
© 2023 by the authors. Licensee MDPI, Basel, Switzerland. This article is an open access article distributed under the terms and conditions of the Creative Commons Attribution (CC BY) license (https://creativecommons.org/licenses/by/4.0/).
Share and Cite
Vedenev, A.I.; Kochetov, O.Y.; Lunkov, A.A.; Shurup, A.S.; Kassymbekova, S.S. Airborne and Underwater Noise Produced by a Hovercraft in the North Caspian Region: Pressure and Particle Motion Measurements. J. Mar. Sci. Eng. 2023, 11, 1079. https://doi.org/10.3390/jmse11051079
Vedenev AI, Kochetov OY, Lunkov AA, Shurup AS, Kassymbekova SS. Airborne and Underwater Noise Produced by a Hovercraft in the North Caspian Region: Pressure and Particle Motion Measurements. Journal of Marine Science and Engineering. 2023; 11(5):1079. https://doi.org/10.3390/jmse11051079
Chicago/Turabian StyleVedenev, Alexandr I., Oleg Yu. Kochetov, Andrey A. Lunkov, Andrey S. Shurup, and Saltanat S. Kassymbekova. 2023. "Airborne and Underwater Noise Produced by a Hovercraft in the North Caspian Region: Pressure and Particle Motion Measurements" Journal of Marine Science and Engineering 11, no. 5: 1079. https://doi.org/10.3390/jmse11051079
APA StyleVedenev, A. I., Kochetov, O. Y., Lunkov, A. A., Shurup, A. S., & Kassymbekova, S. S. (2023). Airborne and Underwater Noise Produced by a Hovercraft in the North Caspian Region: Pressure and Particle Motion Measurements. Journal of Marine Science and Engineering, 11(5), 1079. https://doi.org/10.3390/jmse11051079

