Numerical Simulation of the Interaction between Solitary Waves and Underwater Barriers Using a VPM–THINC/QQ-Coupled Model
Abstract
1. Introduction
2. Numerical Model
2.1. Governing Equations
2.2. VPM–THINC/QQ Model
- Update the velocity field from to by solving the diffusion terms,
- Update the velocity field from to by adding the effects of surface tension and gravity force,
- To make the intermediate velocity field satisfy the mass conservation in Equation (1), it must be corrected by the following projection step. First, the pressure field at step is obtained by solving the Poisson equation,then, the velocity field is corrected by projecting the pressure field,
2.3. Wave-Maker with a Relaxation Region
3. Assessment of the VPM–THINC/QQ
3.1. Comparison between the VPM–THINC/QQ Model and interFoam Solver
3.2. Verification of the VPM–THINC/QQ Model
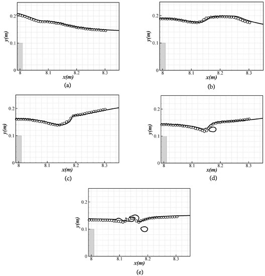
3.2.1. Free Surface
3.2.2. Velocity Distribution and Vorticity Field
3.2.3. Wave forces
4. Application of the VPM–THINC/QQ Model
4.1. The RTD Coefficients with Single Underwater Barrier
4.2. The RTD Coefficients with Double Underwater Barriers
5. Conclusions
Author Contributions
Funding
Institutional Review Board Statement
Informed Consent Statement
Data Availability Statement
Conflicts of Interest
References
- Levin, B.W.; Nosov, M.A. Propagation of a Tsunami in the Ocean and Its Interaction with the Coast. In Physics of Tsunamis; Springer: Cham, Switzerland, 2016; pp. 311–358. [Google Scholar] [CrossRef]
- Qu, K.; Ren, X.Y.; Kraatz, S. Numerical investigation of tsunami-like wave hydrodynamic characteristics and its comparison with solitary wave. Appl. Ocean Res. 2017, 63, 36–48. [Google Scholar] [CrossRef]
- Synolakis, C. The Runup of Solitary Waves. J. Fluid Mech. 1987, 185, 523–545. [Google Scholar] [CrossRef]
- Maiti, S.; Sen, D. Computation of solitary waves during propagation and runup on a slope. Ocean Eng. 1999, 55, 1063–1083. [Google Scholar] [CrossRef]
- Wu, N.; Hsiao, S.; Chen, H.; Kuai, R.Y.; Qi, M.; Li, J. Numerical study on the propagation of solitary waves in the near-shore. Ocean Eng. 2018, 165, 155–163. [Google Scholar] [CrossRef]
- Ying, L.; Fredric, R. Solitary Wave Runup on Plane Slopes. J. Waterw. Port Coast. Ocean Eng. 2001, 127, 33–44. [Google Scholar] [CrossRef]
- Liang, D.; Liu, H.; Tang, H.; Rana, R. Comparison Between Boussinesq and Shallow-Water Models in Predicting Solitary Wave Runup on Plane Beaches. Coast. Eng. J. 2013, 55, 1350014-1–1350014-24. [Google Scholar] [CrossRef]
- Hsiao, S.; Hsu, T.; Lin, T.; Chang, Y. On the evolution and run-up of breaking solitary waves on a mild sloping beach. Coast. Eng. 2008, 55, 975–988. [Google Scholar] [CrossRef]
- Chang, Y.; Hwang, K.; Hwung, H. Large-scale laboratory measurements of solitary wave inundation on a 1:20 slope. Coast. Eng. 2009, 56, 1022–1034. [Google Scholar] [CrossRef]
- Smith, L.; Jensen, A.; Pedersen, G. Investigation of breaking and non-breaking solitary waves and measurements of swash zone dynamics on a 5° beach. Coast. Eng. 2017, 120, 38–46. [Google Scholar] [CrossRef]
- Kim, S.K.; Liu, P.L.-F.; Liggett, J.A. Boundary integral equation solutions for solitary wave generation, propagation and run-up. Coast. Eng. 1983, 7, 299–317. [Google Scholar] [CrossRef]
- Seabra-Santos, F.J.; Renouard, D.P.; Temperville, A.M. Numerical and experimental study of the transformation of a solitary wave over a shelf or isolated obstacle. J. Fluid Mech. 1987, 176, 117–134. [Google Scholar] [CrossRef]
- Li, J.; Liu, H.; Gong, K.; Tan, S.K.; Shao, S. SPH modeling of solitary wave fissions over uneven bottoms. Coast. Eng. 2012, 60, 261–275. [Google Scholar] [CrossRef]
- Liu, P.L.-F.; Cheng, Y. A numerical study of the evolution of a solitary wave over a shelf. Phys. Fluids 2001, 13, 1160–1667. [Google Scholar] [CrossRef]
- Lin, P. A numerical study of solitary wave interaction with rectangular obstacles. Coast. Eng. 2004, 51, 35–51. [Google Scholar] [CrossRef]
- Lara, J.L.; Losada, I.J.; Maza, M.; Guanche, R. Breaking solitary wave evolution over a porous underwater step. Coast. Eng. 2011, 58, 837–850. [Google Scholar] [CrossRef]
- Wu, Y.; Hsiao, S. Propagation of solitary waves over a submerged permeable breakwater. Coast. Eng. 2013, 81, 1–18. [Google Scholar] [CrossRef]
- An, C.K.; Jian, H.T.; Liu, P.L.-F. Vortex generation and evolution in water waves propagating over a submerged rectangular obstacle: Part I. Solitary waves. Coast. Eng. 2001, 44, 13–36. [Google Scholar] [CrossRef]
- Zhou, Q.; Zhan, J.M.; Li, Y.S. Numerical Study of Interaction between Solitary Wave and Two Submerged Obstacles in Tandem. J. Coast. Res. 2014, 30, 975–992. [Google Scholar] [CrossRef]
- Wang, K.-H.; Wu, T.Y.; Yates, G.T. Three-Dimensional Scattering of Solitary Waves by Vertical Cylinder. J. Waterw. Port Coast. Ocean Eng. 1992, 118, 551–566. [Google Scholar] [CrossRef]
- Zhao, M.; Cheng, L.; Teng, B. Numerical simulation of solitary wave scattering by a circular cylinder array. Ocean Eng. 2007, 34, 489–499. [Google Scholar] [CrossRef]
- Aristodemo, F.; Tripepi, G.; Meringolo, D.D.; Veltri, P. Solitary wave-induced forces on horizontal circular cylinders: Laboratory experiments and SPH simulations. Coast. Eng. 2017, 129, 17–35. [Google Scholar] [CrossRef]
- Ramprasad, S.; Niels, M.; Nadir, A.; Steven, P.; Curtis, S. Large-scale solitary wave simulation with implicit incompressible SPH. J. Ocean Eng. Mar. Energy 2016, 2, 313–329. [Google Scholar] [CrossRef]
- Liang, D.; Jian, W.; Shao, S.; Chen, R.; Yang, K. Incompressible SPH simulation of solitary wave interaction with movable seawalls. J. Fluids Struct. 2017, 69, 72–88. [Google Scholar] [CrossRef]
- Wroniszewski, P.A.; Verschaeve, J.C.G.; Pedersen, G.K. Benchmarking of Navier–Stokes codes for free surface simulations by means of a solitary wave. Coast. Eng. 2014, 91, 1–17. [Google Scholar] [CrossRef]
- Guignard, S.; Marcer, R.; Rey, V.; Kharif, C.; Fraunié, P. Solitary wave breaking on sloping beaches: 2-D two phase flow numerical simulation by SL-VOF method. Eur. J. Mech. B/Fluids 2001, 20, 57–74. [Google Scholar] [CrossRef]
- Lo, E.Y.M.; Shao, S. Simulation of near-shore solitary wave mechanics by an incompressible SPH method. Appl. Ocean Res. 2002, 24, 275–286. [Google Scholar] [CrossRef]
- Tsung, W.-S.; Hsiao, S.-C.; Lin, T.-C. Numerical simulation of solitary wave run-up and overtopping using Boussinesq-type model. J. Hydrodyn. Ser. B 2012, 24, 899–913. [Google Scholar] [CrossRef]
- Stansby, P.K. Solitary wave run up and overtopping by a semi-implicit finite-volume shallow-water Boussinesq model. J. Hydraul. Res. 2003, 41, 639–647. [Google Scholar] [CrossRef]
- Farhadi, A.; Ershadi, H.; Emdad, H.; Rad, E.G. Comparative study on the accuracy of solitary wave generations in an ISPH-based numerical wave flume. Appl. Ocean Res. 2016, 54, 115–136. [Google Scholar] [CrossRef]
- Ha, T.; Shim, J.; Lin, P.; Cho, Y. Three-dimensional numerical simulation of solitary wave run-up using the IB method. Coast. Eng. 2012, 84, 38–55. [Google Scholar] [CrossRef]
- Zelt, J.A. The run-up of nonbreaking and breaking solitary waves. Coast. Eng. 1991, 15, 205–246. [Google Scholar] [CrossRef]
- Suraj, D.; Lakshman, A.; Mario, F.T. Evaluating the performance of the two-phase flow solver interFoam. Comput. Sci. Discov. 2012, 5, 014016. [Google Scholar] [CrossRef]
- Paulsen, B.T.; Bredmose, H.; Bingham, H.B.; Jacobsen, N.G. Forcing of a bottom-mounted circular cylinder by steep regular water waves at finite depth. J. Fluid Mech. 2014, 755, 1–34. [Google Scholar] [CrossRef]
- Xie, B.; Ii, S.; Ikebata, A.; Xiao, F. A multi-moment finite volume method for incompressible Navier–Stokes equations on unstructured grids: Volume-average/point-value formulation. J. Comput. Phys. 2014, 277, 138–162. [Google Scholar] [CrossRef]
- Xie, B.; Jin, P.; Xiao, F. An unstructured-grid numerical model for interfacial multiphase fluids based on multi-moment finite volume formulation and THINC method. Int. J. Multiph. Flow 2017, 89, 375–398. [Google Scholar] [CrossRef]
- Zhang, Z.; Zhao, X.; Xie, B.; Nie, L. High-fidelity simulation of regular waves based on multi-moment finite volume formulation and THINC method. Appl. Ocean Res. 2019, 87, 81–94. [Google Scholar] [CrossRef]
- Xie, B.; Xiao, F. Toward efficient and accurate interface capturing on arbitrary hybrid unstructured grids: The THINC method with quadratic surface representation and Gaussian quadrature. J. Comput. Phys. 2017, 349, 415–440. [Google Scholar] [CrossRef]
- Wu, Y.-T.; Hsiao, S.-C.; Huang, Z.-C.; Hwang, K.-S. Propagation of solitary waves over a bottom-mounted barrier. Coast. Eng. 2012, 62, 31–47. [Google Scholar] [CrossRef]
- Wang, J.; He, G.; You, R.; Liu, P. Numerical study on interaction of a solitary wave with the submerged obstacle. Ocean Eng. 2018, 158, 1–14. [Google Scholar] [CrossRef]
- Prosperetti, A.; Tryggvason, G. Computational Methods For Multiphase Flow; Cambridge University Press: Cambridge, UK, 2009. [Google Scholar]
- Smagorinsky, J. General circulation experiments with the primitive equations: I. The basic experiment. Mon. Weather Rev. 1963, 91, 99–164. [Google Scholar] [CrossRef]
- Gottlieb, S.; Shu, C. Total Variation Diminishing Runge-Kutta Schemes. Math. Comput. 1998, 67, 73–85. [Google Scholar] [CrossRef]
- Wu, N.; Hsiao, S.; Chen, H.; Yang, R. The study on solitary waves generated by a piston-type wave maker. Ocean Eng. 2016, 117, 114–129. [Google Scholar] [CrossRef]
- Wu, N.; Tsay, T.; Chen, Y. Generation of stable solitary waves by a piston-type wave maker. Wave Motion 2014, 51, 240–255. [Google Scholar] [CrossRef]
- Katell, G.; Eric, B. Accuracy of solitary wave generation by a piston wave maker. J. Hydraul. Res. 2002, 40, 321–331. [Google Scholar] [CrossRef]
- Chen, Y.; Hsiao, S. Generation of 3D water waves using mass source wavemaker applied to Navier–Stokes model. Coast. Eng. 2016, 109, 76–95. [Google Scholar] [CrossRef]
- Wu, Y.; Hsiao, S. Generation of stable and accurate solitary waves in a viscous numerical wave tank. Ocean Eng. 2018, 167, 102–113. [Google Scholar] [CrossRef]
- Niels, J.; David, F.; Jorgen, F. A wave generation toolbox for the open-source CFD library: OpenFoam. Int. J. Numer. Methods Fluids 2012, 70, 1073–1088. [Google Scholar] [CrossRef]
- Lee, J.J.; Skjelbreia, J.E.; Raichlen, F. Measurement of velocities in solitary waves. J. Waterw. Port Coast. Ocean Div. 1982, 108, 200–218. [Google Scholar] [CrossRef]
- Liu, P.L.-F.; Al-Banaa, K. Solitary wave runup and force on a vertical barrier. J. Fluid Mech. 2004, 505, 225–233. [Google Scholar] [CrossRef]
- Shao, S. SPH simulation of solitary wave interaction with a curtain-type breakwater. J. Hydraul. Res. 2005, 43, 366–375. [Google Scholar] [CrossRef]















| Cases | = 0.10 | = 0.15 | = 0.20 | = 0.35 | = 0.50 |
|---|---|---|---|---|---|
| = 0.5 | case1a | case2a | case3a | case4a | case5a |
| = 1.0 | case1b | case2b | case3b | case4b | case5b |
| = 1.5 | case1c | case2c | case3c | case4c | case5c |
| = 2.0 | case1d | case2d | case3d | case4d | case5d |
| = 2.5 | case1e | case2e | case3e | case4e | case5e |
| = 3.0 | case1f | case2f | case3f | case4f | case5f |
| = 3.5 | case1g | case2g | case3g | case4g | case5g |
| = 4.0 | case1h | case2h | case3h | case4h | case5h |
| = 4.5 | case1i | case2i | case3i | case4i | case5i |
| = 5.0 | case1j | case2j | case3j | case4j | case5j |
| = 5.5 | case1k | case2k | case3k | case4k | case5k |
| = 6.0 | case1l | case2l | case3l | case4l | case5l |
Disclaimer/Publisher’s Note: The statements, opinions and data contained in all publications are solely those of the individual author(s) and contributor(s) and not of MDPI and/or the editor(s). MDPI and/or the editor(s) disclaim responsibility for any injury to people or property resulting from any ideas, methods, instructions or products referred to in the content. |
© 2023 by the authors. Licensee MDPI, Basel, Switzerland. This article is an open access article distributed under the terms and conditions of the Creative Commons Attribution (CC BY) license (https://creativecommons.org/licenses/by/4.0/).
Share and Cite
Li, M.; Zhao, X.; Yin, M.; Zong, Y.; Lu, J.; Yao, S.; Qu, G.; Luan, H. Numerical Simulation of the Interaction between Solitary Waves and Underwater Barriers Using a VPM–THINC/QQ-Coupled Model. J. Mar. Sci. Eng. 2023, 11, 1011. https://doi.org/10.3390/jmse11051011
Li M, Zhao X, Yin M, Zong Y, Lu J, Yao S, Qu G, Luan H. Numerical Simulation of the Interaction between Solitary Waves and Underwater Barriers Using a VPM–THINC/QQ-Coupled Model. Journal of Marine Science and Engineering. 2023; 11(5):1011. https://doi.org/10.3390/jmse11051011
Chicago/Turabian StyleLi, Mengyu, Xizeng Zhao, Mingjian Yin, Yiyang Zong, Jinyou Lu, Shiming Yao, Geng Qu, and Hualong Luan. 2023. "Numerical Simulation of the Interaction between Solitary Waves and Underwater Barriers Using a VPM–THINC/QQ-Coupled Model" Journal of Marine Science and Engineering 11, no. 5: 1011. https://doi.org/10.3390/jmse11051011
APA StyleLi, M., Zhao, X., Yin, M., Zong, Y., Lu, J., Yao, S., Qu, G., & Luan, H. (2023). Numerical Simulation of the Interaction between Solitary Waves and Underwater Barriers Using a VPM–THINC/QQ-Coupled Model. Journal of Marine Science and Engineering, 11(5), 1011. https://doi.org/10.3390/jmse11051011

