Evaluation of Reliquefaction Behavior of Coastal Embankment Due to Successive Earthquakes Based on Shaking Table Tests
Abstract
1. Introduction
2. Liquefaction and Reliquefaction Mechanisms
3. Materials and Methods
3.1. Ground Properties and Embankment Specifications
3.2. Seismic Waves
3.3. Experimental Method
4. Results and Discussion
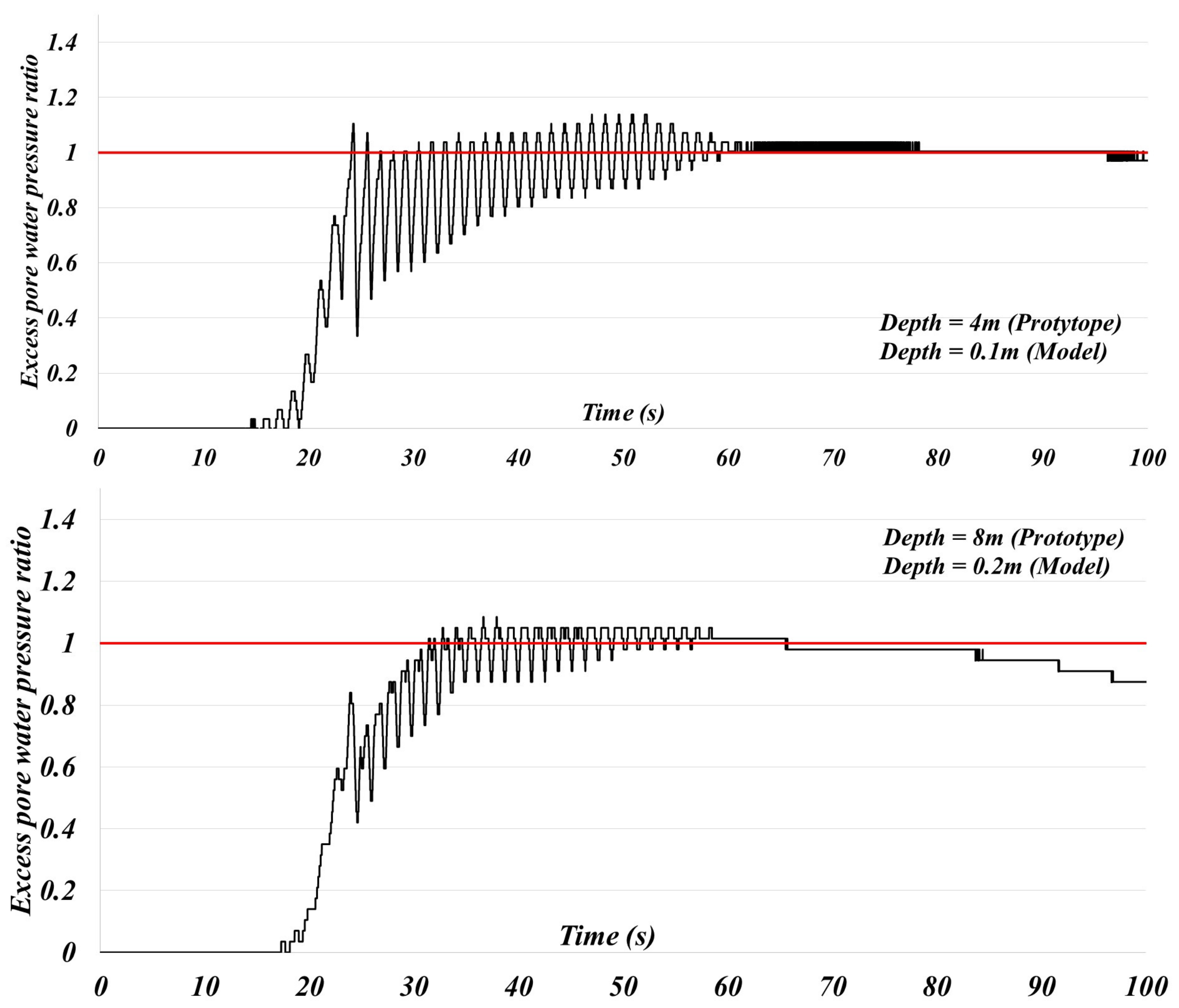
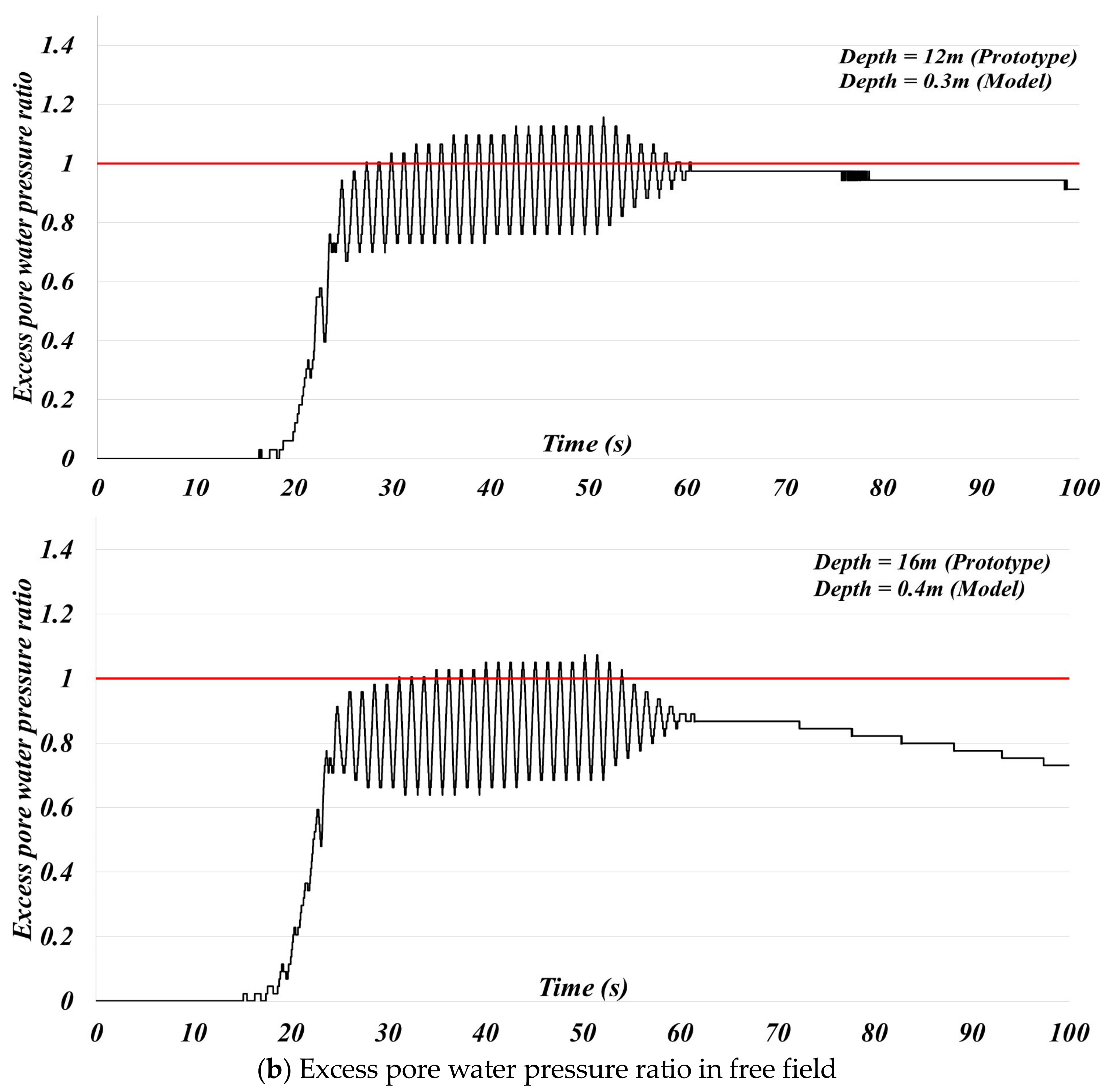
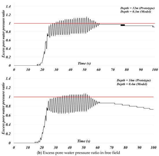
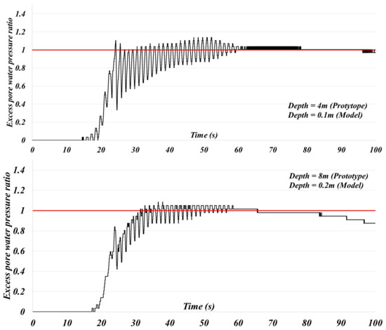
4.1. Liquefiable Ground Case (Case 1)
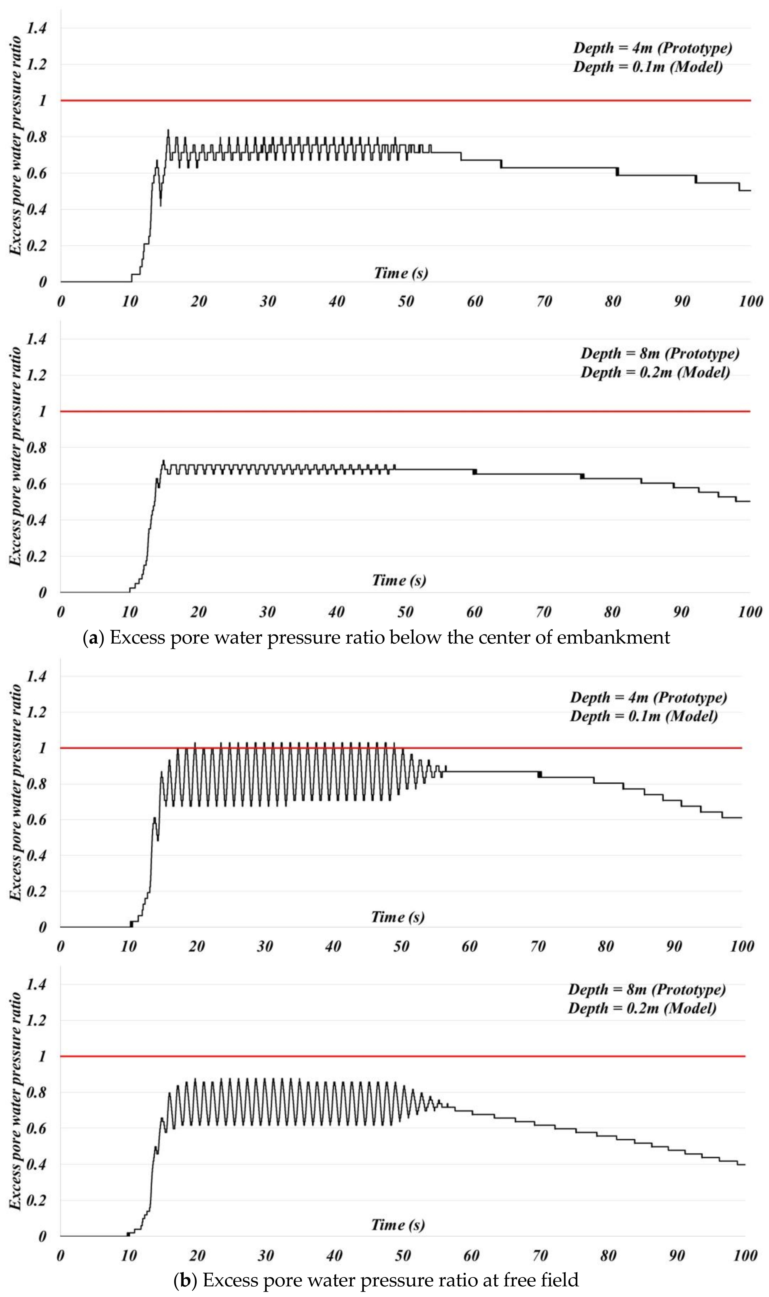
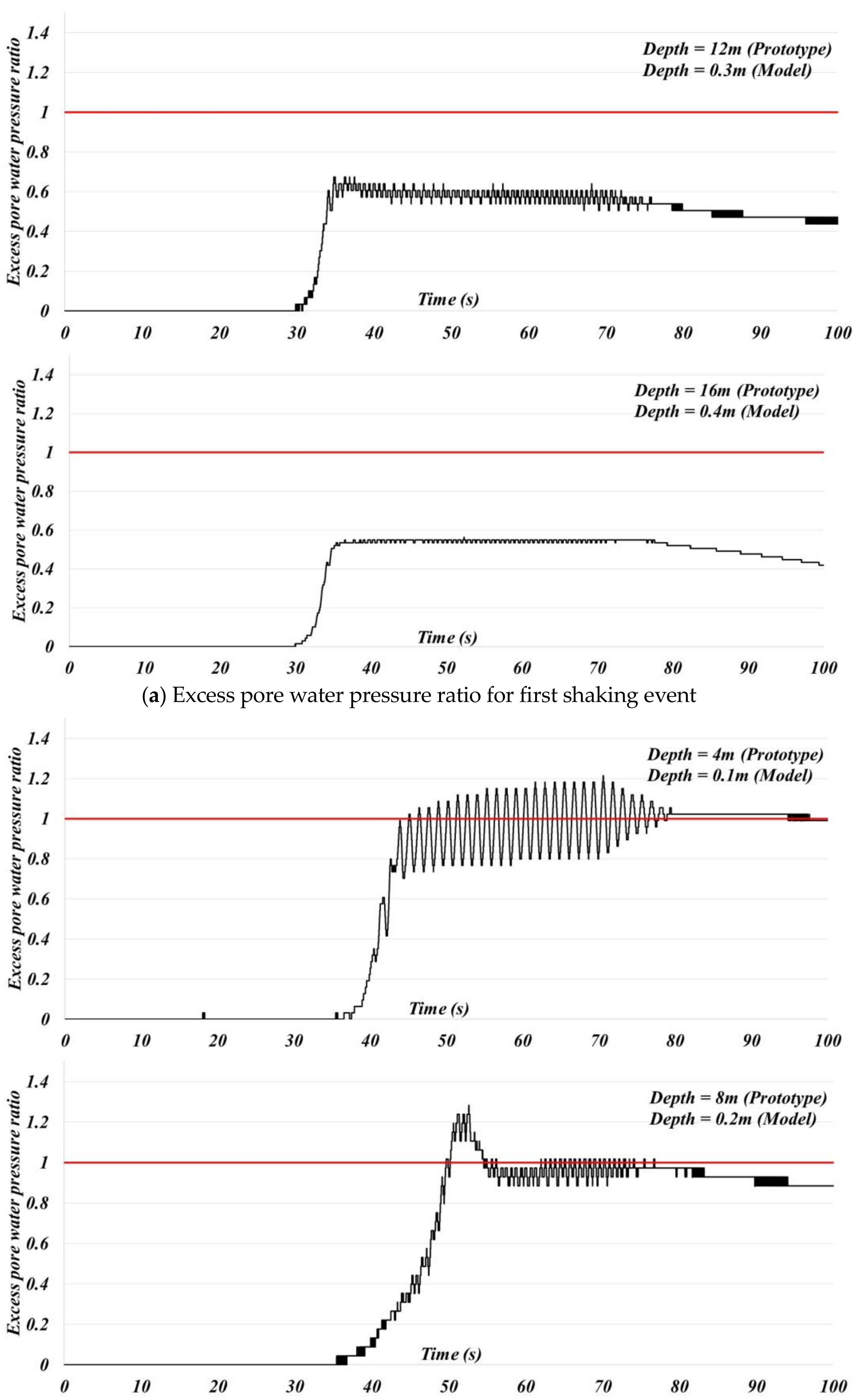
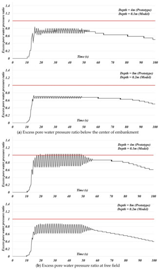
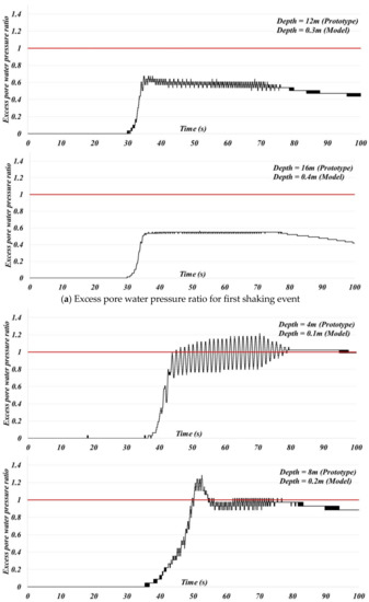
4.2. Liquefiable and Non-Liquefiable Ground Case (Case 2)
5. Conclusions
- (1)
- In Case 1, the liquefaction occurred above 12 m in the first and the second excitations in the free field and only occurred at the depth of 4 m in the third excitation. At the center of the embankment, the excess pore water pressure ratio exceeded unity above 8 m in the first excitation and only reached unity at the depth of 4 m in the second excitation. In this regard, the difference in the confining pressure caused by the overload pressure from the embankment most probably influenced the occurrence of liquefaction.
- (2)
- When the upper ground layer consisted of a non-liquefiable layer (Case 2), liquefaction did not occur in the first excitation and occurred in the third excitation. These results indicated that as the shaking load was applied, the water level in the liquefiable layer increased to the height of the non-liquefiable layer, and liquefaction occurred. This suggested that when there is a liquefiable layer under a non-liquefiable layer, liquefaction may occur due to aftershocks. In the case of general seismic design criteria, liquefaction risk assessment is not performed for soil layers higher than the groundwater level; however, if repeated aftershocks occur, unexpected liquefaction damage may occur due to an increment in the groundwater level.
- (3)
- In Case 1, the excess pore water pressure ratio decreased below unity after a relative density of 65% at a depth of 4 m. Additionally, in ground with a non-liquefiable layer, the excess pore water pressure ratio decreased after a relative density of approximately 63%. In both cases, liquefaction did not occur when the relative density was approximately 65% or higher, which can serve as a basis for gauging the likelihood of liquefaction when the relative density reaches a certain value.
- (4)
- In this study, it was confirmed that even if liquefaction does not occur at the main earthquake, liquefaction occurs due to aftershocks caused by a rise in the groundwater level. In a general seismic design criterion, liquefaction assessment is performed only for soil layers below the groundwater level; however, if aftershocks occur, unexpected liquefaction damage may occur to coastal embankments. Therefore, to mitigate the earthquake risk of liquefaction for coastal embankments, it is necessary to evaluate liquefaction due to aftershocks even when the groundwater level of the ground layer under an embankment is low.
Author Contributions
Funding
Institutional Review Board Statement
Informed Consent Statement
Data Availability Statement
Conflicts of Interest
References
- Yasuda, S.; Tohno, I. Sites of reliquefaction caused by the 1983 Nihonkai-Chubu earthquake. Soils Found. 1988, 28, 61–72. [Google Scholar] [CrossRef] [PubMed]
- Sims, J.D.; Garvin, C.D. Recurrent liquefaction induced by the 1989 Loma Prieta earthquake and 1990 and 1991 aftershocks: Implications for paleoseismicity studies. Bull. Sies. Soc. Am. 1995, 85, 51–65. [Google Scholar]
- Yasuda, S.; Harada, K.; Ishikawa, K.; Kanemaru, Y. Characteristics of liquefaction in Tokyo Bay area by the 2011 Great East Japan earthquake. Soils Found. 2021, 52, 793–810. [Google Scholar] [CrossRef]
- Cubrinovski, M.; Henderson, D.; Bradley, B. Liquefaction Impacts in Residential Areas in the 2010–2011 Christchurch Earthquakes; University of Canterbury: Christchurch, New Zealand, 2012. [Google Scholar]
- Quigley, M.C.; Bastin, S.; Bradley, B.A. Recurrent liquefaction in Christchurch, New Zealand, during the Canterbury earthquake sequence. Geology 2013, 41, 419–422. [Google Scholar] [CrossRef]
- Lees, J.J.; Ballagh, R.H.; Orense, R.P.; Van Ballegooy, S. CPT-based analysis of liquefaction and re-liquefaction following the Canterbury earthquake sequence. Soil Dyn. Earthq. Eng. 2015, 79, 304–314. [Google Scholar] [CrossRef]
- Bouferra, R.; Benseddiq, N.; Shahrour, I. Saturation and preloading effects on the cyclic behavior of sand. Int. J. Geomech. 2007, 7, 396–401. [Google Scholar] [CrossRef]
- El-Sekelly, W.; Abdoun, T.; Dobry, R. PRESHAKE: A database for centrifuge modeling of the effect of seismic preshaking history on the liquefaction resistance of sands. Earthq. Spectra 2016, 32, 1925–1940. [Google Scholar] [CrossRef]
- Toyota, H.; Takada, S. Variation of liquefaction strength induced by monotonic and cyclic loading histories. J. Geotech. Geoenviron. Eng. 2017, 143, 04016120. [Google Scholar] [CrossRef]
- Teparaksa, J.; Koseki, J. Effect of past history on liquefaction resistance of level ground in shaking table test. Géotechnique Lett. 2018, 8, 256–261. [Google Scholar] [CrossRef]
- Ye, B.; Zhang, L.; Wang, H.; Zhang, X.; Lu, P.; Ren, F. Centrifuge model testing on reliquefaction characteristics of sand. Bull. Earthq. Eng. 2019, 17, 141–157. [Google Scholar] [CrossRef]
- Ohara, S.; Yamamoto, T.; Yurino, H. Experimental study on reliquefaction potential of saturated sand deposit. In Proceedings of the 10th WCEE, Madrid, Spain, 23 July 1992; Volume 3, pp. 1425–1430. [Google Scholar]
- Oda, M.; Kawamoto, K.; Suzuki, K.; Fujimori, H.; Sato, M. Microstructural interpretation on reliquefaction of saturated granular soils under cyclic loading. J. Geotech. Geoenviron. Eng. 2001, 127, 416–423. [Google Scholar] [CrossRef]
- Zhao, T.; Ye, J. 3D DEM Simulation on the Reliquefaction Behavior of Sand Considering the Effect of Reconsolidation Degree. J. Earthq. Eng. 2022, 12, 1–23. [Google Scholar] [CrossRef]
- Ha, I.S.; Olson, S.M.; Seo, M.W.; Kim, M.M. Evaluation of reliquefaction resistance using shaking table tests. Soil Dyn. Earthq. Eng. 2011, 31, 682–691. [Google Scholar] [CrossRef]
- Nepal, D.B.; Deng, J.; Chen, J.; Maakoe, T. Re-liquefaction of sand in shaking table. Mater. Sci. Eng. 2020, 758, 012050. [Google Scholar] [CrossRef]
- El-Shafee, O.; Abdoun, T.; Zeghal, M. Centrifuge modeling and analysis of site liquefaction subjected to biaxial dynamic excitations. Geotechnique 2016, 67, 260–271. [Google Scholar] [CrossRef]
- El-Shafee, O.; Abdoun, T.; Zeghal, M. Physical modeling and analysis of site lique-faction subjected to biaxial dynamic excitations. Innov. Infrastruct. Sol. 2018, 3, 173–185. [Google Scholar]
- Reyes, A.; Adinata, J.; Taiebat, M. Impact of bidirectional seismic shearing on the volumetric response of sand deposits. J. Soil Dyn. Earthq. Eng. 2019, 125, 105665. [Google Scholar] [CrossRef]
- Reyes, A.; Adinata, J.; Taiebat, M. Liquefaction hazard evaluation under bidirectional seismic shearing: Optimal ground motion intensity measures. In Proceedings of the VII ICEGE 7th International Conference on Earthquake Geotechnical Engineering, Rome, Italy, 17–20 June 2019. [Google Scholar]
- Zeghal, M.; El-Shafee, O.; Abdoun, T. Analysis of soil liquefaction using centrifuge tests of a site subjected to biaxial shaking. J. Soil Dyn. Eqrthq. Eng. 2018, 114, 229–241. [Google Scholar] [CrossRef]
- Ye, J.; Lu, Q. Seismic dynamics of a pipeline shallowly buried in loosely deposited seabed foundation. Ocean. Eng. 2022, 243, 110194. [Google Scholar] [CrossRef]
- Ye, J.; Wang, G. Seismic dynamics of offshore breakwater on liquefiable seabed foundation. Soil Dyn. Earthq. Eng. 2015, 76, 86–99. [Google Scholar] [CrossRef]
- Aydingun, O.; Adalier, K. Numerical analysis of seismically induced liquefaction in earth embankment foundations. Part I. Benchmark model. Can. Geotech. J. 2003, 40, 753–765. [Google Scholar] [CrossRef]
- Ishikawa, H.; Saito, K.; Nakagawa, K.; Uzuoka, R. Liquefaction analysis of a damaged river levee during the 2011 Tohoku earthquake. In Proceedings of the 14th International Conference of the International Association for Computer Methods and Advances in Geomechanics, Kyoto, Japan, 22–25 September 2014. [Google Scholar]
- Kwon, S.Y.; Yoo, M. Numerical Analysis Method for Liquefaction-induced Damage Evaluation to Railway Structure. KSCE J. Civil Eng. 2022, 26, 3752–3763. [Google Scholar] [CrossRef]
- Lopez-Caballero, F.; Modaressi, A.; Stamatopoulos, C. Numerical evaluation of earthquake settlements of road embankments and mitigation by preloading. Int. J. Geomech. 2016, 16, C4015006. [Google Scholar] [CrossRef]
- Maharjan, M.; Takahashi, A. Liquefaction-induced deformation of earthen embankments on non-homogeneous soil deposits under sequential ground motions. Soil Dyn. Earthq. Eng. 2014, 66, 113–124. [Google Scholar] [CrossRef]
- Oka, F.; Tsai, P.; Kimoto, S.; Kato, R. Damage patterns of river embankments due to the 2011 off the Pacific Coast of Tohoku Earthquake and a numerical modeling of the deformation of river embankments with a clayey subsoil layer. Soils Found. 2012, 52, 890–909. [Google Scholar] [CrossRef]
- Singh, R.; Roy, D.; Jain, S.K. Analysis of earth dams affected by the 2001 Bhuj Earthquake. Eng. Geol. 2005, 80, 282–291. [Google Scholar] [CrossRef]
- Stamatopoulos, C.; Aneroussis, S. Sliding-block back analyses of liquefaction-induced slides. In Proceedings of the 13th World Conference on Earthquake Engineering, Vancouver, BC, Canada, 1–6 August 2004; p. 3209. [Google Scholar]
- Han, J.T. Please explain the definition of liquefaction and how to design the pile foundation in liquefiable soils. Korean Soc. Civ. Eng. Mag. 2012, 60, 90–93. [Google Scholar]
- Ha, I.S.; Kim, M. Evaluation of characteristics of re-liquefaction resistance in saturated sand deposits using 1-g shaking table test. J. Korean Geotech. Soc. 2005, 21, 65–70. [Google Scholar]
- ATC. Seismic Evaluation and Retrofit of Concrete Building; Report ATC; Applied Technology Council: Redwood City, CA, USA, 1996; Volume 40. [Google Scholar]
- Iai, S. Similitude for shaking table tests on soil-structure-fluid model in 1g gravitational field. Soils Found. 1989, 29, 105–118. [Google Scholar] [CrossRef]
- Byrne, P.M.; Park, S.S.; Beaty, M.; Sharp, M.; Gonzalez, L.; Abdoun, T. Numerical modeling of liquefaction and comparison with centrifuge tests. Can. Geotech. J. 2004, 41, 193–211. [Google Scholar] [CrossRef]
- Hazirbaba, K.; Omarow, M. Strain-based assessment of liquefaction and seismic settlement of saturated sand. Cogent Eng. 2019, 6, 1537788. [Google Scholar] [CrossRef]
- Yoo, M.T.; Han, J.T.; Choi, J.I.; Kwon, S.Y. Development of predicting method for dynamic pile behavior by using centrifuge tests considering the kinematic load effect. Bull. Earthq. Eng. 2017, 15, 967–989. [Google Scholar] [CrossRef]
- Al-Jeznawi, D.; Mohamed Jais, I.B.; Albusoda, B.S.; Alzabeebee, S.; Keawsawasvong, S.; Khalid, N. Numerical Study of the Seismic Response of Closed-Ended Pipe Pile in Cohesionless Soils. Transp. Infrastuct. Geotechnol. 2023, 10, 1–27. [Google Scholar] [CrossRef]
- Sharp, M.K.; Dobry, R.; Abdoun, T. Liquefaction Centrifuge Modeling of Sands of Different Permeability. J. Geotech. Geoenviron. Eng. 2003, 129, 1083–1091. [Google Scholar] [CrossRef]



















| Parameter | Value |
|---|---|
| Specific gravity, | 2.65 |
| Maximum void ratio, | 0.93 |
| Minimum void ratio, | 0.43 |
| Relative density, (%) | 50 |
| Residual friction angle, (°) | 30.5 |
| Mean particle size, (mm) | 0.11 |
| Uniformity coefficient, | 2.89 |
| Coefficient of curvature, | 1.07 |
| Permeability, k (m/s) | 2.51 × 10−4 |
| Parameter | Prototype | Model | Similitude Relationship |
|---|---|---|---|
| Top (mm) | 14,000 | 350 | |
| Bottom (mm) | 28,400 | 710 | |
| Height (mm) | 4000 | 100 | |
| Length (mm) | 20,000 | 500 | |
| Volume () | 1.696 × 109 | 26,500 | |
| Density () | 2000 | 2000 | 1 |
| Load (kg) | 3,392,000 | 53 | |
| Stress () | 5971.83 | 149.30 |
| Case | Composition of Facilities | Thickness of the Lower Liquefiable Layer (m) | Thickness of the Upper Non-Liquefiable Layer (m) | Note |
|---|---|---|---|---|
| Case 1 | Embankment (h = 0.1 m, slope: 1:1.8 fixed) | 0.500 (20) * | 0 | Performance with 1–5 vibrations to confirm reliquefaction behavior |
| Case 2 | 0.325 (12.5) * | 0.175 (7.5) * |
| Event Number | Excess Pore Water Pressure Ratio (Depth: 4 m) | Excess Pore Water Pressure Ratio (Depth: 8 m) | Excess Pore Water Pressure Ratio (Depth: 12 m) | Excess Pore Water Pressure Ratio (Depth: 16 m) |
|---|---|---|---|---|
| First | 1.14 | 1.09 | 0.93 | 0.85 |
| Second | 1.01 | 0.85 | 0.87 | 0.80 |
| Third | 0.84 | 0.73 | 0.71 | 0.70 |
| Fourth | 0.70 | 0.65 | 0.62 | 0.62 |
| Fifth | 0.54 | 0.60 | 0.57 | 0.57 |
| Event Number | Excess Pore Water Pressure Ratio (Depth: 4 m) | Excess Pore Water Pressure Ratio (Depth: 8 m) | Excess Pore Water Pressure Ratio (Depth: 12 m) | Excess Pore Water Pressure Ratio (Depth: 16 m) |
|---|---|---|---|---|
| First | 1.22 | N/A | 1.15 | 1.07 |
| Second | 1.15 | 1.05 | 0.92 | |
| Third | 1.02 | 0.87 | 0.84 | |
| Fourth | 0.92 | 0.85 | 0.73 | |
| Fifth | 0.82 | 0.72 | 0.68 |
| Event Number | Shake 1 | Shake 2 | Shake 3 | Shake 4 | Shake 5 |
|---|---|---|---|---|---|
| Settlement (prototype) (Accumulated settlement), m | 1.96 (1.96) | 0.78 (2.74) | 0.29 (3.03) | 0.15 (3.18) | 0.12 (3.3) |
| Settlement (model) (Accumulated settlement), m | 0.049 (0.049) | 0.019 (0.068) | 0.007 (0.075) | 0.004 (0.079) | 0.003 (0.082) |
| Relative density, % | 59.4 | 63.1 | 64.5 | 65.3 | 65.8 |
| Event Number | Excess Pore Water Pressure Ratio (Depth: 4 m) | Excess Pore Water Pressure Ratio (Depth: 8 m) | Excess Pore Water Pressure Ratio (Depth: 12 m) | Excess Pore Water Pressure Ratio (Depth: 16 m) |
|---|---|---|---|---|
| First | 0.00 | 0.60 | 0.67 | 0.56 |
| Second | 0.42 | 0.70 | 0.73 | 0.63 |
| Third | 1.21 | 1.28 | 0.92 | 0.81 |
| Fourth | 1.01 | 0.92 | 0.83 | 0.76 |
| Fifth | 0.85 | 0.78 | 0.76 | 0.68 |
| Event Number | Excess Pore Water Pressure Ratio (Depth: 4 m) | Excess Pore Water Pressure Ratio (Depth: 8 m) | Excess Pore Water Pressure Ratio (Depth: 12 m) | Excess Pore Water Pressure Ratio (Depth: 16 m) |
|---|---|---|---|---|
| First | 0.00 | N/A | 0.83 | 0.63 |
| Second | 0.53 | 0.91 | 0.78 | |
| Third | 1.18 | 1.02 | 0.87 | |
| Fourth | 1.07 | 0.93 | 0.82 | |
| Fifth | 0.91 | 0.81 | 0.75 |
| Event Number | Shake 1 | Shake 2 | Shake 3 | Shake 4 | Shake 5 |
|---|---|---|---|---|---|
| Settlement (prototype) (Accumulated settlement), m | 0.13 (0.13) | 0.25 (0.38) | 1.59 (1.97) | 0.51 (2.48) | 0.40 (2.88) |
| Settlement (model) (Accumulated settlement), m | 0.003 (0.003) | 0.007 (0.010) | 0.040 (0.050) | 0.013 (0.063) | 0.010 (0.073) |
| Relative density, % | 50.6 | 51.9 | 59.5 | 61.9 | 63.9 |
Disclaimer/Publisher’s Note: The statements, opinions and data contained in all publications are solely those of the individual author(s) and contributor(s) and not of MDPI and/or the editor(s). MDPI and/or the editor(s) disclaim responsibility for any injury to people or property resulting from any ideas, methods, instructions or products referred to in the content. |
© 2023 by the authors. Licensee MDPI, Basel, Switzerland. This article is an open access article distributed under the terms and conditions of the Creative Commons Attribution (CC BY) license (https://creativecommons.org/licenses/by/4.0/).
Share and Cite
Yoo, M.; Kwon, S.Y. Evaluation of Reliquefaction Behavior of Coastal Embankment Due to Successive Earthquakes Based on Shaking Table Tests. J. Mar. Sci. Eng. 2023, 11, 1002. https://doi.org/10.3390/jmse11051002
Yoo M, Kwon SY. Evaluation of Reliquefaction Behavior of Coastal Embankment Due to Successive Earthquakes Based on Shaking Table Tests. Journal of Marine Science and Engineering. 2023; 11(5):1002. https://doi.org/10.3390/jmse11051002
Chicago/Turabian StyleYoo, Mintaek, and Sun Yong Kwon. 2023. "Evaluation of Reliquefaction Behavior of Coastal Embankment Due to Successive Earthquakes Based on Shaking Table Tests" Journal of Marine Science and Engineering 11, no. 5: 1002. https://doi.org/10.3390/jmse11051002
APA StyleYoo, M., & Kwon, S. Y. (2023). Evaluation of Reliquefaction Behavior of Coastal Embankment Due to Successive Earthquakes Based on Shaking Table Tests. Journal of Marine Science and Engineering, 11(5), 1002. https://doi.org/10.3390/jmse11051002

