Path Planning in the Case of Swarm Unmanned Surface Vehicles for Visiting Multiple Targets
Abstract
1. Introduction
2. Materials and Methods
2.1. Swarm Approach of USV Path Planning Problem
2.2. Objective Terms of the USV Path Planning Problem
- -
- Term 1 for the minimization of traveled distance.where and are the sets of nodes and the edges of the graph, respectively; is the Euclidean distance metric between node and node . and are the geographical coordinates of nodes and on horizontal and vertical axes, respectively.
- -
- Term 2 for the minimization of brute changes along the path (Figure 2).where is the angle that is formed from the edges and .
- -
- Term 3 for the minimization of the fuel consumption of the USV.where is the fuel consumption per unit time , and and are the velocities of the USV and of the currents, respectively. The term is included in the model, since if a USV is moving against the currents, more energy is needed to retain a certain velocity during a route [24,32,34,36,51,52].
2.3. Ant Colony Optimization Algorithm with Fuzzy Logic
| Algorithm 1: ACO pseudoalgorithm |
| Input: variables of ACO |
| // current best solution does not exist |
| while termination criteria are not met do |
| // the set of the path at the current iteration is empty |
| for do |
| if or then |
| end for |
| end while |
| Output: current best solution |
2.3.1. FIS1 1: Mamdani Fuzzy Inference System (ACO-Mamdani)
2.3.2. FIS 2: Takagi–Sugeno–Kang Fuzzy Inference System (ACO-TSK)
3. Evaluation Methodology
3.1. Experimental Setup
3.2. Comparative Evaluation of Clustering Algorithms
3.3. Comparative Evaluation of Path Planning Algorithms
- The objective criteria: (i) distance; (ii) brute turns; and (iii) fuel consumption;
- Path quality based on the defuzzification value of Mamdani and TSK FISs;
- The computing time;
4. Results and Discussion
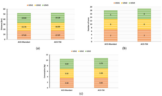
4.1. Results
4.2. Discussion
5. Conclusions
Author Contributions
Funding
Institutional Review Board Statement
Informed Consent Statement
Data Availability Statement
Conflicts of Interest
References
- Ntakolia, C.; Iakovidis, D.K. A Route Planning Framework for Smart Wearable Assistive Navigation Systems. SN Appl. Sci. 2021, 3, 104. [Google Scholar] [CrossRef]
- Vasilijević, A.; Nađ, Đ.; Mandić, F.; Mišković, N.; Vukić, Z. Coordinated Navigation of Surface and Underwater Marine Robotic Vehicles for Ocean Sampling and Environmental Monitoring. IEEE/ASME Trans. Mechatron. 2017, 22, 1174–1184. [Google Scholar] [CrossRef]
- Yang, T.H.; Hsiung, S.H.; Kuo, C.H.; Tsai, Y.D.; Peng, K.C.; Peng, K.C.; Hsieh, Y.C.; Shen, Z.J.; Feng, J.; Kuo, C. Development of unmanned surface vehicle for water quality monitoring and measurement. In Proceedings of the IEEE International Conference on Applied System Invention (ICASI), Chiba, Japan, 13–17 April 2018; pp. 566–569. [Google Scholar]
- Wilde, G.A.; Murphy, R.R. User Interface for Unmanned Surface Vehicles Used to Rescue Drowning Victims. In Proceedings of the 2018 IEEE International Symposium on Safety, Security, and Rescue Robotics (SSRR), Philadelphia, PA, USA, 6–8 August 2018; pp. 1–8. [Google Scholar]
- Zhou, C.; Gu, S.; Wen, Y.; Du, Z.; Xiao, C.; Huang, L.; Zhu, M. The Review Unmanned Surface Vehicle Path Planning: Based on Multi-Modality Constraint. Ocean Eng. 2020, 200, 107043. [Google Scholar] [CrossRef]
- Ntakolia, C.; Caceres, H.; Coletsos, J. A Dynamic Integer Programming Approach for Free Flight Air Traffic Management (ATM) Scenario with 4D-Trajectories and Energy Efficiency Aspects. Optim. Lett. 2020, 14, 1659–1680. [Google Scholar] [CrossRef]
- Aggarwal, S.; Kumar, N. Path Planning Techniques for Unmanned Aerial Vehicles: A Review, Solutions, and Challenges. Comput. Commun. 2020, 149, 270–299. [Google Scholar] [CrossRef]
- Ntakolia, C.; Lyridis, D.V. An−D Ant Colony Optimization with Fuzzy Logic for Air Traffic Flow Management. Oper. Res. Int. J. 2022, 22, 5035–5053. [Google Scholar] [CrossRef]
- Ntakolia, C.; Kalimeri, A.; Coletsos, J. A Two-Level Hierarchical Framework for Air Traffic Flow Management. Int. J. Decis. Support Syst. 2021, 4, 271–292. [Google Scholar] [CrossRef]
- Ntakolia, C.; Dimas, G.; Iakovidis, D.K. User-Centered System Design for Assisted Navigation of Visually Impaired Individuals in Outdoor Cultural Environments. Univ. Access. Inf. Soc. 2020, 21, 249–274. [Google Scholar] [CrossRef]
- Dimas, G.; Ntakolia, C.; Iakovidis, D.K. Obstacle Detection Based on Generative Adversarial Networks and Fuzzy Sets for Computer-Assisted Navigation. In Proceedings of the Engineering Applications of Neural Networks, Crete, Greece, 24–26 May 2019; Macintyre, J., Iliadis, L., Maglogiannis, I., Jayne, C., Eds.; Springer International Publishing: Cham, Switzerland, 2019; pp. 533–544. [Google Scholar]
- Singh, Y.; Sharma, S.; Sutton, R.; Hatton, D.; Khan, A. A Constrained A* Approach towards Optimal Path Planning for an Unmanned Surface Vehicle in a Maritime Environment Containing Dynamic Obstacles and Ocean Currents. Ocean Eng. 2018, 169, 187–201. [Google Scholar] [CrossRef]
- Song, R.; Liu, Y.; Bucknall, R. Smoothed A* Algorithm for Practical Unmanned Surface Vehicle Path Planning. Appl. Ocean Res. 2019, 83, 9–20. [Google Scholar] [CrossRef]
- Singh, Y.; Sharma, S.; Sutton, R.; Hatton, D. Optimal Path Planning of an Unmanned Surface Vehicle in a Real- Time Marine Environment Using a Dijkstra Algorithm. In Marine Navigation; CRC Press: Boca Raton, FL, USA, 2017; ISBN 978-1-315-09913-2. [Google Scholar]
- Mirjalili, S.; Song Dong, J.; Lewis, A. Ant Colony Optimizer: Theory, Literature Review, and Application in AUV Path Planning. In Nature-Inspired Optimizers: Theories, Literature Reviews and Applications; Mirjalili, S., Song Dong, J., Lewis, A., Eds.; Studies in Computational Intelligence; Springer International Publishing: Cham, Switzerland, 2020; pp. 7–21. ISBN 978-3-030-12127-3. [Google Scholar]
- Wang, H.; Guo, F.; Yao, H.; He, S.; Xu, X. Collision Avoidance Planning Method of USV Based on Improved Ant Colony Optimization Algorithm. IEEE Access 2019, 7, 52964–52975. [Google Scholar] [CrossRef]
- Vagale, A.; Oucheikh, R.; Bye, R.T.; Osen, O.L.; Fossen, T.I. Path Planning and Collision Avoidance for Autonomous Surface Vehicles I: A Review. J. Mar. Sci. Technol. 2021, 26, 1292–1306. [Google Scholar] [CrossRef]
- Candeloro, M.; Lekkas, A.M.; Sørensen, A.J.; Fossen, T.I. Continuous Curvature Path Planning Using Voronoi Diagrams and Fermat’s Spirals. IFAC Proc. Vol. 2013, 46, 132–137. [Google Scholar] [CrossRef]
- Polvara, R.; Sharma, S.; Wan, J.; Manning, A.; Sutton, R. Obstacle Avoidance Approaches for Autonomous Navigation of Unmanned Surface Vehicles. J. Navig. 2018, 71, 241–256. [Google Scholar] [CrossRef]
- Luis, S.Y.; Reina, D.G.; Marín, S.L.T. A Multiagent Deep Reinforcement Learning Approach for Path Planning in Autonomous Surface Vehicles: The Ypacaraí Lake Patrolling Case. IEEE Access 2021, 9, 17084–17099. [Google Scholar] [CrossRef]
- Ayawli, B.B.K.; Chellali, R.; Appiah, A.Y.; Kyeremeh, F. An Overview of Nature-Inspired, Conventional, and Hybrid Methods of Autonomous Vehicle Path Planning. J. Adv. Transp. 2018, 2018, e8269698. [Google Scholar] [CrossRef]
- Liu, X.; Li, Y.; Zhang, J.; Zheng, J.; Yang, C. Self-Adaptive Dynamic Obstacle Avoidance and Path Planning for USV Under Complex Maritime Environment. IEEE Access 2019, 7, 114945–114954. [Google Scholar] [CrossRef]
- Chen, Y.; Bai, G.; Zhan, Y.; Hu, X.; Liu, J. Path Planning and Obstacle Avoiding of the USV Based on Improved ACO-APF Hybrid Algorithm With Adaptive Early-Warning. IEEE Access 2021, 9, 40728–40742. [Google Scholar] [CrossRef]
- Xia, G.; Han, Z.; Zhao, B.; Liu, C.; Wang, X. Global Path Planning for Unmanned Surface Vehicle Based on Improved Quantum Ant Colony Algorithm. Math. Probl. Eng. 2019, 2019, e2902170. [Google Scholar] [CrossRef]
- Zhongjing, L.; Junjie, F.; Zhaohui, L.; Jiahui, Y. Bayesian Network Based Ant Colony Optimization Algorithm for USV Path Planning in a Dynamic Environment. In Proceedings of the 2020 7th International Conference on Information, Cybernetics, and Computational Social Systems (ICCSS), Chengdu, China, 13–15 November 2020; pp. 547–551. [Google Scholar]
- Wang, H.; Zhang, J.; Dong, J. Application of Ant Colony and Immune Combined Optimization Algorithm in Path Planning of Unmanned Craft. AIP Adv. 2022, 12, 025313. [Google Scholar] [CrossRef]
- Zhang, J.; Zhang, F.; Liu, Z.; Li, Y. Efficient Path Planning Method of USV for Intelligent Target Search. J. Geovis. Spat. Anal. 2019, 3, 13. [Google Scholar] [CrossRef]
- Wang, N.; Jin, X.; Er, M.J. A Multilayer Path Planner for a USV under Complex Marine Environments. Ocean Eng. 2019, 184, 1–10. [Google Scholar] [CrossRef]
- Niu, H.; Lu, Y.; Savvaris, A.; Tsourdos, A. An Energy-Efficient Path Planning Algorithm for Unmanned Surface Vehicles. Ocean Eng. 2018, 161, 308–321. [Google Scholar] [CrossRef]
- Ding, F.; Zhang, Z.; Fu, M.; Wang, Y.; Wang, C. Energy-Efficient Path Planning and Control Approach of USV Based on Particle Swarm Optimization. In Proceedings of the OCEANS 2018 MTS/IEEE Charleston, Charleston, SC, USA, 22–25 October 2018; pp. 1–6. [Google Scholar]
- Folio, D.; Ferreira, A. Two-Dimensional Robust Magnetic Resonance Navigation of a Ferromagnetic Microrobot Using Pareto Optimality. IEEE Trans. Robot. 2017, 33, 583–593. [Google Scholar] [CrossRef]
- Ntakolia, C.; Lyridis, D.V. A Swarm Intelligence Graph-Based Pathfinding Algorithm Based on Fuzzy Logic (SIGPAF): A Case Study on Unmanned Surface Vehicle Multi-Objective Path Planning. J. Mar. Sci. Eng. 2021, 9, 1243. [Google Scholar] [CrossRef]
- Yu, K.; Liang, X.; Li, M.; Chen, Z.; Yao, Y.; Li, X.; Zhao, Z.; Teng, Y. USV Path Planning Method with Velocity Variation and Global Optimisation Based on AIS Service Platform. Ocean Eng. 2021, 236, 109560. [Google Scholar] [CrossRef]
- Ma, Y.; Hu, M.; Yan, X. Multi-Objective Path Planning for Unmanned Surface Vehicle with Currents Effects. ISA Trans. 2018, 75, 137–156. [Google Scholar] [CrossRef]
- Hu, L.; Naeem, W.; Rajabally, E.; Watson, G.; Mills, T.; Bhuiyan, Z.; Raeburn, C.; Salter, I.; Pekcan, C. A Multiobjective Optimization Approach for COLREGs-Compliant Path Planning of Autonomous Surface Vehicles Verified on Networked Bridge Simulators. IEEE Trans. Intell. Transp. Syst. 2020, 21, 1167–1179. [Google Scholar] [CrossRef]
- Lyridis, D.V. An Improved Ant Colony Optimization Algorithm for Unmanned Surface Vehicle Local Path Planning with Multi-Modality Constraints. Ocean Eng. 2021, 241, 109890. [Google Scholar] [CrossRef]
- Wang, N.; Xu, H. Dynamics-Constrained Global-Local Hybrid Path Planning of an Autonomous Surface Vehicle. IEEE Trans. Veh. Technol. 2020, 69, 6928–6942. [Google Scholar] [CrossRef]
- Ntakolia, C.; Iakovidis, D.K. A Swarm Intelligence Graph-Based Pathfinding Algorithm (SIGPA) for Multi-Objective Route Planning. Comput. Oper. Res. 2021, 133, 105358. [Google Scholar] [CrossRef]
- Peralta, F.; Arzamendia, M.; Gregor, D.; Reina, D.G.; Toral, S. A Comparison of Local Path Planning Techniques of Autonomous Surface Vehicles for Monitoring Applications: The Ypacarai Lake Case-Study. Sensors 2020, 20, 1488. [Google Scholar] [CrossRef]
- Tan, G.; Zhuang, J.; Zou, J.; Wan, L. Adaptive Adjustable Fast Marching Square Method Based Path Planning for the Swarm of Heterogeneous Unmanned Surface Vehicles (USVs). Ocean Eng. 2023, 268, 113432. [Google Scholar] [CrossRef]
- Tan, G.; Zou, J.; Zhuang, J.; Wan, L.; Sun, H.; Sun, Z. Fast Marching Square Method Based Intelligent Navigation of the Unmanned Surface Vehicle Swarm in Restricted Waters. Appl. Ocean Res. 2020, 95, 102018. [Google Scholar] [CrossRef]
- MahmoudZadeh, S.; Abbasi, A.; Yazdani, A.; Wang, H.; Liu, Y. Uninterrupted Path Planning System for Multi-USV Sampling Mission in a Cluttered Ocean Environment. Ocean Eng. 2022, 254, 111328. [Google Scholar] [CrossRef]
- Ma, Y.; Zhao, Y.; Incecik, A.; Yan, X.; Wang, Y.; Li, Z. A Collision Avoidance Approach via Negotiation Protocol for a Swarm of USVs. Ocean Eng. 2021, 224, 108713. [Google Scholar] [CrossRef]
- Wu, X.; Liu, Y.; Xie, S.; Guo, Y. Collaborative Defense with Multiple USVs and UAVs Based on Swarm Intelligence. J. Shanghai Jiaotong Univ. (Sci.) 2020, 25, 51–56. [Google Scholar] [CrossRef]
- Zhao, Z.; Zhu, B.; Zhou, Y.; Yao, P.; Yu, J. Cooperative Path Planning of Multiple Unmanned Surface Vehicles for Search and Coverage Task. Drones 2023, 7, 21. [Google Scholar] [CrossRef]
- Wu, G.; Xu, T.; Sun, Y.; Zhang, J. Review of Multiple Unmanned Surface Vessels Collaborative Search and Hunting Based on Swarm Intelligence. Int. J. Adv. Robot. Syst. 2022, 19, 17298806221091884. [Google Scholar] [CrossRef]
- Ntakolia, C.; Kokkotis, C.; Moustakidis, S.; Tsaopoulos, D. A Machine Learning Pipeline for Predicting Joint Space Narrowing in Knee Osteoarthritis Patients. In Proceedings of the 2020 IEEE 20th International Conference on Bioinformatics and Bioengineering (BIBE), Cincinnati, OH, USA, 26–28 October 2020; pp. 934–941. [Google Scholar]
- Murtagh, F.; Legendre, P. Ward’s Hierarchical Agglomerative Clustering Method: Which Algorithms Implement Ward’s Criterion? J. Classification 2014, 31, 274–295. [Google Scholar] [CrossRef]
- Zhang, T.; Ramakrishnan, R.; Livny, M. BIRCH: An Efficient Data Clustering Method for Very Large Databases. SIGMOD Rec. 1996, 25, 103–114. [Google Scholar] [CrossRef]
- Zhang, T.; Ramakrishnan, R.; Livny, M. BIRCH: A New Data Clustering Algorithm and Its Applications. Data Min. Knowl. Discov. 1997, 42, 141–182. [Google Scholar] [CrossRef]
- Chen, Z.; Zhang, Y.; Zhang, Y.; Nie, Y.; Tang, J.; Zhu, S. A Hybrid Path Planning Algorithm for Unmanned Surface Vehicles in Complex Environment With Dynamic Obstacles. IEEE Access 2019, 7, 126439–126449. [Google Scholar] [CrossRef]
- Ntakolia, C.; Lyridis, D.V. A Comparative Study on Ant Colony Optimization Algorithm Approaches for Solving Multi-Objective Path Planning Problems in Case of Unmanned Surface Vehicles. Ocean Eng. 2022, 255, 111418. [Google Scholar] [CrossRef]
- Dorigo, M.; Blum, C. Ant Colony Optimization Theory: A Survey. Theor. Comput. Sci. 2005, 344, 243–278. [Google Scholar] [CrossRef]
- Jang, J.S.R.; Sun, C.T.; Mizutani, E. Neuro-Fuzzy and Soft Computing-A Computational Approach to Learning and Machine Intelligence [Book Review]. IEEE Trans. Autom. Control 1997, 42, 1482–1484. [Google Scholar] [CrossRef]
- Ntakolia, C.; Platanitis, K.S.; Kladis, G.P.; Skliros, C.; Zagorianos, A.D. A Genetic Algorithm Enhanced with Fuzzy-Logic for Multi-Objective Unmanned Aircraft Vehicle Path Planning Missions. In Proceedings of the 2022 International Conference on Unmanned Aircraft Systems (ICUAS), Dubrovnik, Croatia, 21–24 June 2022; pp. 114–123. [Google Scholar]
- Ntakolia, C.; Priftis, D.; Charakopoulou-Travlou, M.; Rannou, I.; Magklara, K.; Giannopoulou, I.; Kotsis, K.; Serdari, A.; Tsalamanios, E.; Grigoriadou, A.; et al. An Explainable Machine Learning Approach for COVID-19′s Impact on Mood States of Children and Adolescents during the First Lockdown in Greece. Healthcare 2022, 10, 149. [Google Scholar] [CrossRef]
- Naderi, B.; Zandieh, M.; Roshanaei, V. Scheduling Hybrid Flowshops with Sequence Dependent Setup Times to Minimize Makespan and Maximum Tardiness. Int. J. Adv. Manuf. Technol. 2009, 41, 1186–1198. [Google Scholar] [CrossRef]
- Sadeghi, J.; Mousavi, S.M.; Niaki, S.T.A.; Sadeghi, S. Optimizing a Multi-Vendor Multi-Retailer Vendor Managed Inventory Problem: Two Tuned Meta-Heuristic Algorithms. Knowl.-Based Syst. 2013, 50, 159–170. [Google Scholar] [CrossRef]
- Yan, Z.; Li, J.; Wu, Y.; Zhang, G. A Real-Time Path Planning Algorithm for AUV in Unknown Underwater Environment Based on Combining PSO and Waypoint Guidance. Sensors 2018, 19, 20. [Google Scholar] [CrossRef]
- Ntakolia, C.; Koutsiou, D.-C.; Iakovidis, D. Emotion-Aware Brainstorm Optimization. Res. Sq. 2022. [Google Scholar] [CrossRef]
- Derrac, J.; García, S.; Molina, D.; Herrera, F. A Practical Tutorial on the Use of Nonparametric Statistical Tests as a Methodology for Comparing Evolutionary and Swarm Intelligence Algorithms. Swarm Evol. Comput. 2011, 1, 3–18. [Google Scholar] [CrossRef]
- Carrasco, J.; García, S.; Rueda, M.; Das, S.; Herrera, F. Recent Trends in the Use of Statistical Tests for Comparing Swarm and Evolutionary Computing Algorithms: Practical Guidelines and a Critical Review. Swarm Evol. Comput. 2020, 54, 100665. [Google Scholar] [CrossRef]
- Puente-Castro, A.; Rivero, D.; Pazos, A.; Fernandez-Blanco, E. A Review of Artificial Intelligence Applied to Path Planning in UAV Swarms. Neural Comput. Appl. 2022, 34, 153–170. [Google Scholar] [CrossRef]
- Zhou, Y.; Rao, B.; Wang, W. UAV Swarm Intelligence: Recent Advances and Future Trends. IEEE Access 2020, 8, 183856–183878. [Google Scholar] [CrossRef]
- Ho, D.-T.; Grøtli, E.I.; Sujit, P.B.; Johansen, T.A.; Sousa, J.B. Cluster-Based Communication Topology Selection and UAV Path Planning in Wireless Sensor Networks. In Proceedings of the 2013 International Conference on Unmanned Aircraft Systems (ICUAS), Atlanta, Georgia, USA, 28–31 May 2013; pp. 59–68. [Google Scholar]
- Wang, Y.; Bai, P.; Liang, X.; Wang, W.; Zhang, J.; Fu, Q. Reconnaissance Mission Conducted by UAV Swarms Based on Distributed PSO Path Planning Algorithms. IEEE Access 2019, 7, 105086–105099. [Google Scholar] [CrossRef]
- Hamam, A.; Georganas, N.D. A Comparison of Mamdani and Sugeno Fuzzy Inference Systems for Evaluating the Quality of Experience of Hapto-Audio-Visual Applications. In Proceedings of the 2008 IEEE International Workshop on Haptic Audio visual Environments and Games, Ottawa, ON, Canada, 18–19 October 2008; pp. 87–92. [Google Scholar]
- Xiang, X.; Yu, C.; Lapierre, L.; Zhang, J.; Zhang, Q. Survey on Fuzzy-Logic-Based Guidance and Control of Marine Surface Vehicles and Underwater Vehicles. Int. J. Fuzzy Syst. 2018, 20, 572–586. [Google Scholar] [CrossRef]
- Wang, Y.; Chen, Y. A Comparison of Mamdani and Sugeno Fuzzy Inference Systems for Traffic Flow Prediction. J. Comput. 2014, 9, 12–21. [Google Scholar] [CrossRef]
- Hentout, A.; Maoudj, A.; Aouache, M. A Review of the Literature on Fuzzy-Logic Approaches for Collision-Free Path Planning of Manipulator Robots. Artif. Intell. Rev. 2023, 56, 3369–3444. [Google Scholar] [CrossRef]
- Patle, B.K.; Babu, L.G.; Pandey, A.; Parhi, D.R.K.; Jagadeesh, A. A Review: On Path Planning Strategies for Navigation of Mobile Robot. Def. Technol. 2019, 15, 582–606. [Google Scholar] [CrossRef]









| Path Length | Path Deviations | Energy Consumption | Path Optimality |
|---|---|---|---|
| Short | Smooth | Low | Very High |
| Short | Smooth | Medium | High |
| Short | Moderate | Low | High |
| Moderate | Smooth | Low | High |
| Short | Moderate | Medium | Medium |
| Moderate | Smooth | Medium | Medium |
| Moderate | Moderate | Low or Medium | Medium |
| Moderate | Moderate or Brut | Medium or High | Low |
| Moderate or Long | Moderate | Medium or High | Low |
| Moderate or Long | Moderate or Brut | Medium | Low |
| Long | Brut | High | Very Low |
| Clustering Algorithm | Silhouette Coefficient | Calinski–Harabasz Index | Davies–Bouldin Index | Cumulative Evaluation Score |
|---|---|---|---|---|
| Mini Batch K-Means | 0.82 | 1301.34 | 0.36 | 3 |
| Ward | 0.82 | 1301.34 | 0.36 | 3 |
| Birch | 0.77 | 1205.45 | 0.42 | 0 |
| Case Study | ACO-FIS | Swarm USVs | Distance (km) | Number of Turns | Consumption (kg) |
|---|---|---|---|---|---|
| CS1 | ACO-Mamdani | USV1 (red) | 17.61 ± 1.02 | 8 ± 1.48 | 3.75 ± 0.25 |
| USV2 (yellow) | 18.55 ± 0.98 | 9 ± 1.33 | 3.87 ± 0.13 | ||
| USV3 (blue) | 18.43 ± 1.04 | 5 ± 0.87 | 3.73 ± 0.37 | ||
| ACO-TSK | USV1 (red) | 17.63 ± 0.79 | 8 ± 1.08 | 3.78 ± 0.12 | |
| USV2 (yellow) | 18.62 ± 1.14 | 8 ± 1.09 | 3.89 ± 0.24 | ||
| USV3 (blue) | 18.43 ± 1.22 | 5 ± 0.88 | 3.72 ± 0.19 | ||
| CS2 | ACO-Mamdani | USV1 (red) | 17.22 ± 2.24 | 7 ± 1.01 | 3.58 ± 0.45 |
| USV2 (yellow) | 15.76 ± 1.95 | 6 ± 1.03 | 3.32 ± 0.54 | ||
| USV3 (blue) | 19.04 ± 0.88 | 5 ± 0.86 | 3.64 ± 0.15 | ||
| ACO-TSK | USV1 (red) | 17.37 ± 1.90 | 7 ± 1.03 | 3.65 ± 0.21 | |
| USV2 (yellow) | 16.05 ± 1.46 | 6 ± 0.92 | 3.38 ± 0.17 | ||
| USV3 (blue) | 19.18 ± 2.19 | 6 ± 0.88 | 3.79 ± 0.52 |
| Case Study | ACO-FIS | Optimality | Computing Time (ms) |
|---|---|---|---|
| CS1 | ACO-Mamdani | 0.82 ± 0.04 | 3.46 ± 0.03 |
| ACO-TSK | 0.80 ± 0.05 | 3.39 ± 0.02 | |
| CS2 | ACO-Mamdani | 0.75 ± 0.03 | 4.12 ± 0.02 |
| ACO-TSK | 0.66 ± 0.04 | 4.01 ± 0.01 |
| Case Study | ACO-FIS | Swarm USVs | RPD | RDI | ||
|---|---|---|---|---|---|---|
| CS1 | ACO-Mamdani | USV1 (red) | 0.00% | 3.33% | 0.00% | 58.09% |
| USV2 (yellow) | 5.34% | 93.07% | ||||
| USV3 (blue) | 4.66% | 81.19% | ||||
| ACO-TSK | USV1 (red) | 0.11% | 3.50% | 1.98% | 61.06% | |
| USV2 (yellow) | 5.74% | 100.00% | ||||
| USV3 (blue) | 4.66% | 81.19% | ||||
| CS2 | ACO-Mamdani | USV1 (red) | 9.26% | 10.03% | 0.426900585 | 46.20% |
| USV2 (yellow) | 0.00% | 0 | ||||
| USV3 (blue) | 20.81% | 0.959064327 | ||||
| ACO-TSK | USV1 (red) | 10.22% | 11.25% | 0.470760234 | 51.85% | |
| USV2 (yellow) | 1.84% | 0.084795322 | ||||
| USV3 (blue) | 21.70% | 1 |
| Case Study | ACO-FIS | Swarm USVs | RPD | RDI | ||
|---|---|---|---|---|---|---|
| CS1 | ACO-Mamdani | USV1 (red) | 60.00% | 46.67% | 75.00% | 58.33% |
| USV2 (yellow) | 80.00% | 100.00% | ||||
| USV3 (blue) | 0.00% | 0.00% | ||||
| ACO-TSK | USV1 (red) | 60.00% | 40.00% | 75.00% | 50.00% | |
| USV2 (yellow) | 60.00% | 75.00% | ||||
| USV3 (blue) | 0.00% | 0.00% | ||||
| CS2 | ACO-Mamdani | USV1 (red) | 40.00% | 20.00% | 100.00% | 50.00% |
| USV2 (yellow) | 20.00% | 50.00% | ||||
| USV3 (blue) | 0.00% | 0.00% | ||||
| ACO-TSK | USV1 (red) | 40.00% | 26.67% | 100.00% | 66.67% | |
| USV2 (yellow) | 20.00% | 50.00% | ||||
| USV3 (blue) | 20.00% | 50.00% |
| Case Study | ACO-FIS | Swarm USVs | RPD | RDI | ||
|---|---|---|---|---|---|---|
| CS1 | ACO-Mamdani | USV1 (red) | 0.81% | 1.70% | 17.65% | 37.25% |
| USV2 (yellow) | 4.03% | 88.24% | ||||
| USV3 (blue) | 0.27% | 5.88% | ||||
| ACO-TSK | USV1 (red) | 1.61% | 2.06% | 35.29% | 45.10% | |
| USV2 (yellow) | 4.57% | 100.00% | ||||
| USV3 (blue) | 0.00% | 0.00% | ||||
| CS2 | ACO-Mamdani | USV1 (red) | 7.83% | 5.82% | 55.32% | 41.13% |
| USV2 (yellow) | 0.00% | 0.00% | ||||
| USV3 (blue) | 9.64% | 68.09% | ||||
| ACO-TSK | USV1 (red) | 9.94% | 8.63% | 70.21% | 60.99% | |
| USV2 (yellow) | 1.81% | 12.77% | ||||
| USV3 (blue) | 14.16% | 100.00% |
| Case Studies | |||
|---|---|---|---|
| CS1 | CS2 | All | |
| p-value | 1.05566 × 10−5 | 4.85828 × 10−122 | 1.05266 × 10−128 |
| Chi-square | 305.97 | 544.35 | 603.97 |
Disclaimer/Publisher’s Note: The statements, opinions and data contained in all publications are solely those of the individual author(s) and contributor(s) and not of MDPI and/or the editor(s). MDPI and/or the editor(s) disclaim responsibility for any injury to people or property resulting from any ideas, methods, instructions or products referred to in the content. |
© 2023 by the authors. Licensee MDPI, Basel, Switzerland. This article is an open access article distributed under the terms and conditions of the Creative Commons Attribution (CC BY) license (https://creativecommons.org/licenses/by/4.0/).
Share and Cite
Ntakolia, C.; Lyridis, D.V. Path Planning in the Case of Swarm Unmanned Surface Vehicles for Visiting Multiple Targets. J. Mar. Sci. Eng. 2023, 11, 719. https://doi.org/10.3390/jmse11040719
Ntakolia C, Lyridis DV. Path Planning in the Case of Swarm Unmanned Surface Vehicles for Visiting Multiple Targets. Journal of Marine Science and Engineering. 2023; 11(4):719. https://doi.org/10.3390/jmse11040719
Chicago/Turabian StyleNtakolia, Charis, and Dimitrios V. Lyridis. 2023. "Path Planning in the Case of Swarm Unmanned Surface Vehicles for Visiting Multiple Targets" Journal of Marine Science and Engineering 11, no. 4: 719. https://doi.org/10.3390/jmse11040719
APA StyleNtakolia, C., & Lyridis, D. V. (2023). Path Planning in the Case of Swarm Unmanned Surface Vehicles for Visiting Multiple Targets. Journal of Marine Science and Engineering, 11(4), 719. https://doi.org/10.3390/jmse11040719

