On the Predation of Doliolids (Tunicata, Thaliacea) on calanoid Copepods
Abstract
1. Introduction
2. Materials and Methods
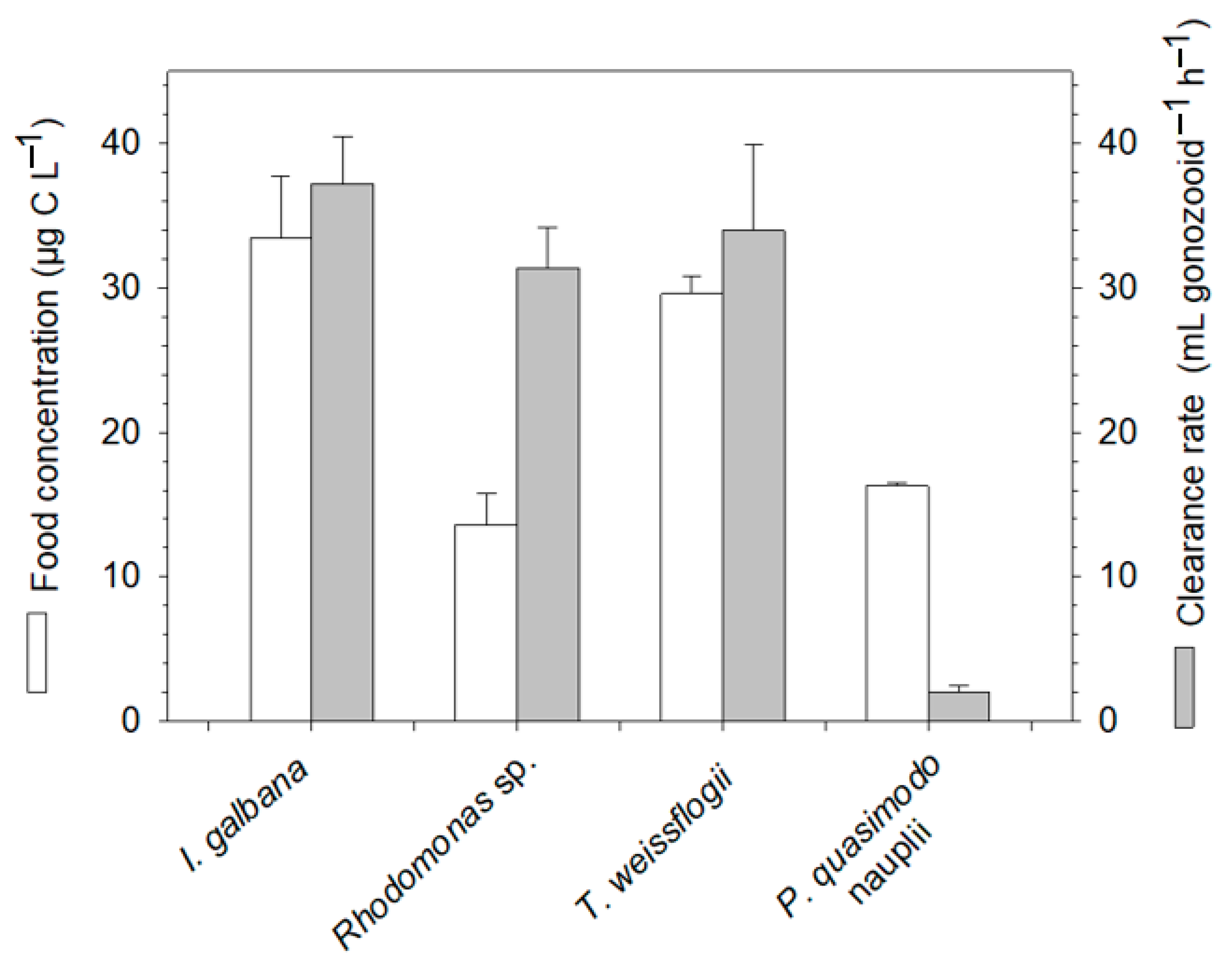
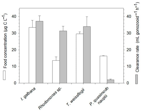
3. Results
4. Discussion
Author Contributions
Funding
Institutional Review Board Statement
Informed Consent Statement
Data Availability Statement
Acknowledgments
Conflicts of Interest
References
- Kiørboe, T.; Møhlenberg, F.; Tiselius, P. Propagation of planktonic copepods: Production and mortality of eggs. Hydrobiologia 1988, 167, 219–225. [Google Scholar] [CrossRef]
- Peterson, W.T.; Kimmerer, W.J. Processes controlling recruitment of the marine calanoid copepod Temora longicornis in Long Island Sound: Egg production, egg mortality, and cohort survival rates. Limnol. Oceanogr. 1994, 39, 1594–1605. [Google Scholar] [CrossRef]
- Ohman, M.D.; Hirche, H.-J. Density-dependent mortality in an oceanic copepod population. Nature 2001, 412, 638–641. [Google Scholar] [CrossRef]
- Frank-Gopolos, T.; Møller, E.F.; Nielsen, T.G. The role of egg cannibalism for the Calanus succession in the Disko Bay, Western Greenland. Limnol. Oceanogr. 2017, 62, 865–883. [Google Scholar] [CrossRef]
- Corrales- Ugalde, M.; Sponaugle, S.; Cowen, R.K.; Sutherland, K.R. Seasonal hydromedusan feeding patterns in an Eastern Boundary Current show consistent predation on primary consumers. J. Plankton Res. 2021, 43, 712–724. [Google Scholar] [CrossRef]
- Bonnet, D.; Titelman, J.; Harris, R. Calanus the cannibal. J. Plankton Res. 2004, 26, 937–948. [Google Scholar] [CrossRef]
- Boersma, M.; Wesche, A.; Hirche, H.-J. Predation of calanoid copepods on their own and other copepods’ offspring. Mar. Biol. 2014, 161, 733–743. [Google Scholar] [CrossRef]
- Paffenhöfer, G.-A.; Knowles, S.C. Omnivorousness in marine planktonic copepods. J. Plankton Res. 1980, 2, 355–365. [Google Scholar] [CrossRef]
- Paffenhöfer, G.-A.; Atkinson, L.P.; Lee, T.N.; Verity, P.G.; Bulluck, L.R., III. Distribution and abundance of thaliaceans and copepods off the southeastern U.S.A. during winter. Cont. Shelf Res. 1995, 15, 255–280. [Google Scholar] [CrossRef]
- Haskell, A.E.G.; Hofmann, E.E.; Paffenhöfer, G.-A.; Verity, P.G. Modeling the effects of doliolids on the plankton community structure of the southeastern U.S. continental shelf. J. Plankton Res. 1999, 21, 1725–1752. [Google Scholar] [CrossRef]
- Deibel, D. Blooms of the pelagic tunicate, Dolioletta gegenbauri: Are they associated with Gulf Stream frontal eddies? J. Mar. Res. 1985, 43, 211–236. [Google Scholar] [CrossRef]
- Deevey, G.B. Quantity and composition of the zooplankton of Block Island Sound. Bull. Bingham Oceanogr. Coll. 1952, 13, 120–164. [Google Scholar]
- Ambler, J.W.; Kumar, A.; Moisan, T.A.; Aulenbach, D.L.; Day, M.C.; Dix, S.A.; Winsor, M.A. Seasonal and spatial patterns of Penilia avirostris and three tunicate species in the southern Mid-Atlantic Bight. Cont. Shelf Res. 2013, 69, 141–154. [Google Scholar] [CrossRef]
- Di Mauro, R.; Kupchik, M.J.; Benfield, M.C. Abundant plankton-sized microplastic particles in shelf waters of the northern Gulf of Mexico. Environ. Pollut. 2017, 230, 798–809. [Google Scholar] [CrossRef]
- Greer, A.T.; Woodson, C.B.; Smith, C.E.; Guigand, C.M.; Cowen, R.K. Examining zooplankton patch structure and its implications for trophic interactions in the northern Gulf of Mexico. J. Plankton Res. 2016, 38, 1115–1134. [Google Scholar] [CrossRef]
- Crocker, K.M.; Alldredge, A.L.; Steinberg, D.K. Feeding rates of the doliolid, Dolioletta gegenbauri, on diatoms and bacteria. J. Plankton Res. 1991, 13, 77–82. [Google Scholar] [CrossRef]
- Mackas, D.L.; Washburn, L.; Smith, S.L. Zooplankton community pattern associated with a California Current cold filament. J.Geophys. Res. 1991, 96, 14781–14797. [Google Scholar] [CrossRef]
- Nakamura, Y. Blooms of tunicates Oikopleura spp. and Dolioletta gegenbauri in the Seto Inland Sea, Japan, during summer. Hydrobiologia 1998, 385, 183–192. [Google Scholar] [CrossRef]
- Takahashi, K.; Ichikawa, T.; Fukugama, C.; Yamane, Y.; Kahehi, S.; Okazaki, Y.; Kubota, H.; Furuya, K. In situ observations of a doliolid bloom in a warm water filament using a video plankton recorder: Bloom development, fate, and effect on biogeochemical cycles and planktonic food webs. Limnol. Oceanogr. 2015, 60, 1763–1780. [Google Scholar] [CrossRef]
- Ishak, N.H.A.; Tadokoro, A.; Okazaki, Y.; Kahehi, S.; Suyama, S.; Takahashi, K. Distribution, biomass, and species composition of salps and doliolids in the Oyashio-Kuroshio transitional region: Potential impact of massive bloom on the pelagic food web. J. Oceanogr. 2020, 76, 351–363. [Google Scholar] [CrossRef]
- Paffenhöfer, G.-A.; Gibson, D.M. Determination of generation time and asexual fecundity of doliolids (Tunicata, Thaliacea). J. Plankton Res. 1999, 21, 1183–1189. [Google Scholar] [CrossRef][Green Version]
- Frost, B.W. Effects of size and concentration of food particles on the feeding behavior of the marine planktonic copepod Calanus pacificus. Limnol. Oceanogr. 1972, 17, 805–815. [Google Scholar] [CrossRef]
- Zar, J.H. Biostatistical Analysis; Prentice-Hall, Inc.: Englewood Cliffs, NJ, USA, 1974; p. 620. [Google Scholar]
- Conover, W.J. Practical Non-Parametric Statistics; Wiley: New York, NY, USA, 1980; p. 493. [Google Scholar]
- Checkley, D.M., Jr. The egg production of a marine planktonic copepod in relation to its food supply: Laboratory studies. Limnol. Oceanogr. 1980, 25, 430–446. [Google Scholar] [CrossRef]
- Paffenhöfer, G.-A.; Lee, T.N. Summer upwelling on the southeastern continental shelf of the U.S.A. during 1981. Distribution and abundance of particulate matter. Prog. Oceanogr. 1987, 19, 373–401. [Google Scholar] [CrossRef]
- Gibson, D.M.; Paffenhöfer, G.-A. Feeding and growth rates of the doliolid Dolioletta gegenbauri Uljanin (Tunicata, Thaliacea). J. Plankton Res. 2000, 22, 1485–1500. [Google Scholar] [CrossRef]
- Köster, M.; Sietmann, R.; Meuche, A.; Paffenhöfer, G.-A. The ultrastructure od a doliolid and a copepod fecal pellet. J. Plankton Res. 2011, 33, 1538–1549. [Google Scholar] [CrossRef]
- Patonai, K.; El-Shaffey, H.; Paffenhöfer, G.-A. Sinking velocities of fecal pellets of doliolids and calanoid copepods. J. Plankton Res. 2011, 33, 1146–1150. [Google Scholar] [CrossRef]
- Deibel, D.; Paffenhöfer, G.-A. Cinematographic analysis of the feeding mechanism of the pelagic tunicate Doliolum nationalis. Bull. Mar. Sci. 1988, 43, 404–412. [Google Scholar]
- Paffenhöfer, G.-A.; Sherman, B.K.; Lee, T.N. Summer upwelling on the southeastern continental shelf of the U.S.A. during 1981. Zooplankton abundance and distribution. Prog. Oceanog. 1987, 19, 403–436. [Google Scholar] [CrossRef]
- Landry, M.R. Predatory feeding behavior of a marine copepod, Labidocera trispinosa. Limnol. Oceanogr. 1978, 23, 1103–1113. [Google Scholar] [CrossRef]
- Paffenhöfer, G.-A. Grazing and ingestion rates of nauplii, copepodids and adults of the marine planktonic copepod Calanus helgolandicus. Mar. Biol. 1971, 11, 286–298. [Google Scholar] [CrossRef]
- Paffenhöfer, G.-A.; Lewis, K.D. Perceptive performance and feeding behavior of calanoid copepods. J. Plankton Res. 1990, 12, 933–946. [Google Scholar] [CrossRef]
- Paffenhöfer, G.-A.; Van Sant, K.B. The feeding response of a marine planktonic copepod to quantity and quality of particles. Mar. Ecol. Prog. Ser. 1985, 27, 55–65. [Google Scholar] [CrossRef]
- Paffenhöfer, G.-A. Zooplankton distribution as related to summer hydrographic conditions in Onslow Bay, North Carolina. Bull. Mar. Sci. 1980, 30, 819–832. [Google Scholar]
- Deibel, D.; Paffenhöfer, G.-A. Predictability of patches of neritic salps and doliolids (Tunicata, Thaliacea). J. Plankton Res. 2009, 31, 1571–1579. [Google Scholar] [CrossRef]
- Paffenhöfer, G.-A.; Wester, B.T.; Nicholas, W.D. Zooplankton abundance in relation to state and type of intrusions onto the southeastern United States shelf during summer. J. Mar. Res. 1984, 42, 995–1017. [Google Scholar] [CrossRef]
- Hopkins, T.L.; Torres, J.J. Midwater food web in the vicinity of a marginal ice zone in the western Weddell Sea. Deep-Sea Res. 1989, 36, 543–560. [Google Scholar] [CrossRef]
- Ishak, N.H.A.; Clementson, L.A.; Eriksen, R.S.; van den Enden, R.L.; Williams, G.D.; Swadling, K.M. Gut contents and isotopic profiles of Salpa fusiformis and Thalia democratica. Mar. Biol. 2017, 164, 144. [Google Scholar] [CrossRef]
- Köster, M.; Paffenhöfer, G.-A. How efficiently can doliolids (Tunicata, Thaliacea) utilize phytoplankton and their own fecal pellets? J. Plankton Res. 2017, 39, 305–315. [Google Scholar] [CrossRef]
- Paffenhöfer, G.-A.; Köster, M. Digestion of diatoms by planktonic copepods and doliolids. Mar. Ecol. Prog. Ser. 2005, 297, 303–310. [Google Scholar] [CrossRef]
- Poulsen, L.K.; Moldrup, M.; Berge, T.; Hansen, P.J. Feeding on copepod fecal pellets: A new trophic role of dinoflagellates as detritivores. Mar. Ecol. Prog. Ser. 2011, 441, 65–78. [Google Scholar] [CrossRef]



| Species and Stage | Temperature | Clearance Rate | References | ||
|---|---|---|---|---|---|
| (°C) | (mL−1 Copepod−1 Day−1) | ||||
| Eggs | Nauplii | Phytoplankton | |||
| Calanus helgolandicus female | 13–15 | 320 | >102 | n.d. | Bonnet et al., 2004 [6] |
| Temora longicornis female | 10 | 161 | >120 | n.d. | Boersma et al., 2014 [7] |
| Centropages hamatus female | 10 | 94 | <195 | n.d. | |
| Centropages typicus female | 10 | 159 | <224 | n.d. | |
| Temora stylifera female | 20 | n.d. | 139 | <360 | Paffenhöfer and Knowles unpubl.results |
| Centropages furcatus/velificatus female | 20 | n.d. | 230 | >60 | |
| Calanus helgolandicus female | 15 | n.d. | n.d. | 530 | Paffenhöfer 1971 [33] |
| Dolioletta gegenbauri | 20 | 648 | 69 | 670 | This paper |
| Gonozooids/ Phorozooids | |||||
Publisher’s Note: MDPI stays neutral with regard to jurisdictional claims in published maps and institutional affiliations. |
© 2022 by the authors. Licensee MDPI, Basel, Switzerland. This article is an open access article distributed under the terms and conditions of the Creative Commons Attribution (CC BY) license (https://creativecommons.org/licenses/by/4.0/).
Share and Cite
Köster, M.; Paffenhöfer, G.-A. On the Predation of Doliolids (Tunicata, Thaliacea) on calanoid Copepods. J. Mar. Sci. Eng. 2022, 10, 1293. https://doi.org/10.3390/jmse10091293
Köster M, Paffenhöfer G-A. On the Predation of Doliolids (Tunicata, Thaliacea) on calanoid Copepods. Journal of Marine Science and Engineering. 2022; 10(9):1293. https://doi.org/10.3390/jmse10091293
Chicago/Turabian StyleKöster, Marion, and Gustav-Adolf Paffenhöfer. 2022. "On the Predation of Doliolids (Tunicata, Thaliacea) on calanoid Copepods" Journal of Marine Science and Engineering 10, no. 9: 1293. https://doi.org/10.3390/jmse10091293
APA StyleKöster, M., & Paffenhöfer, G.-A. (2022). On the Predation of Doliolids (Tunicata, Thaliacea) on calanoid Copepods. Journal of Marine Science and Engineering, 10(9), 1293. https://doi.org/10.3390/jmse10091293
