Phosphorus Fertilization Reduces Soil Microbial Necromass Carbon Content in Tillage Layer of Dry Farmland on Loess Plateau
Abstract
1. Introduction
2. Materials and Methods
2.1. Site Description
2.2. Experimental Design
2.3. Sample Collection
2.4. Measurement Methods
2.4.1. Measurement of Soil Biochemical Properties
2.4.2. Measurement of Soil Enzyme Activity
2.4.3. Measurement of Soil Amino Sugars
2.5. Statistical Analyses
3. Results
3.1. Effect of Nitrogen and Phosphorus Fertilization on Soil Properties
3.2. Effects of Combined Fertilization of Nitrogen and Phosphorus on Soil Amino Sugars
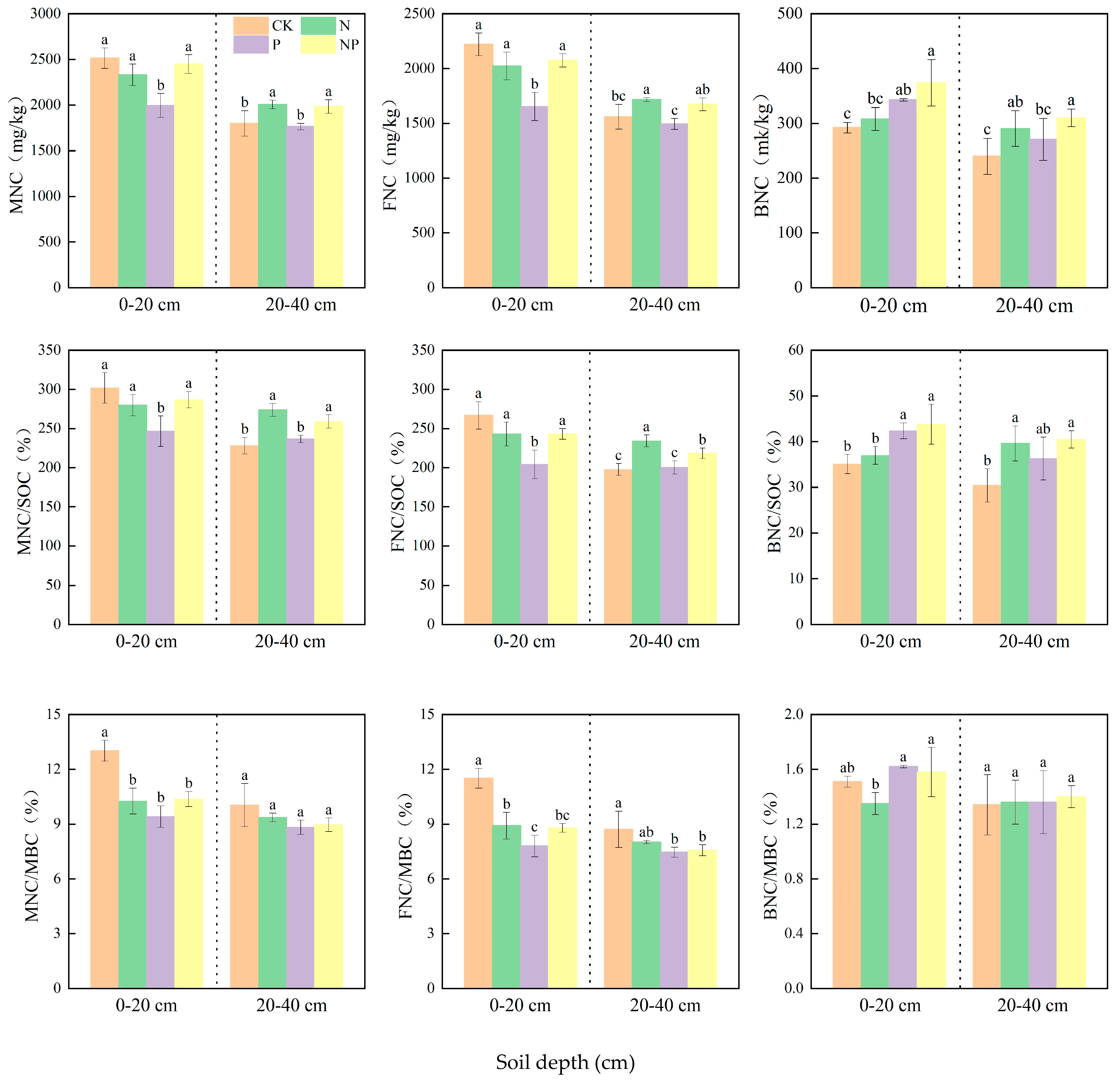
3.3. Effects of Combined Fertilization of Nitrogen and Phosphorus on Microbial Necromass Carbon
3.4. Effects of Combined Fertilization of Nitrogen and Phosphorus on Soil Extracellular Enzymes
3.5. Influencing Factors of MNC Under Combined Fertilization of Nitrogen and Phosphorus
4. Discussion
4.1. Impacts of Combined Fertilization of Nitrogen and Phosphorus on Soil MNC
4.2. Influencing Factors of Soil MNC
5. Limitations
6. Conclusions
Author Contributions
Funding
Data Availability Statement
Conflicts of Interest
References
- Liang, C.; Amelung, W.; Lehmann, J.; Kästner, M. Quantitative assessment of microbial necromass contribution to soil organic matter. Glob. Change Biol. 2019, 25, 3578–3590. [Google Scholar] [CrossRef] [PubMed]
- Qi, P.; Chen, J.; Wang, X.; Zhang, R.; Cai, L.; Li, Z.; Jiao, Y.; Han, G. Changes in soil particulate and mineral-associated organic carbon concentrations under nitrogen addition in China—A meta-analysis. Plant Soil 2023, 489, 439–452. [Google Scholar] [CrossRef]
- Zhou, R.; Liu, Y.; Dungait, J.; Kumar, A.; Wang, J.; Tiemann, L.; Zhang, F.; Kuzyakov, Y.; Tian, J. Microbial necromass in cropland soils: A global meta-analysis of management effects. Glob. Change Biol. 2023, 29, 1998–2014. [Google Scholar] [CrossRef] [PubMed]
- Kindler, R.; Miltner, A.; Richnow, H.; Kästner, M. Fate of gram-negative bacterial biomass in soil mineralization and contribution to SOM. Soil Biol. Biochem. 2006, 38, 2860–2870. [Google Scholar] [CrossRef]
- Liang, C.; Schimel, J.; Jastrow, J. The importance of anabolism in microbial control over soil carbon storage. Nat. Microbiol. 2017, 2, 17105. [Google Scholar] [CrossRef]
- Liang, C.; Zhu, X. The soil Microbial Carbon Pump as a new concept for terrestrial carbon sequestration. Sci. China Earth Sci. 2021, 64, 545–558. [Google Scholar] [CrossRef]
- Cao, Y.; Ding, J.; Li, J.; Xin, Z.; Ren, S.; Wang, T. Necromass-derived soil organic carbon and its drivers at the global scale. Soil Biol. Biochem. 2023, 181, 109025. [Google Scholar] [CrossRef]
- Wang, B.; An, S.; Liang, C.; Liu, Y.; Kuzyakov, Y. Microbial necromass as the source of soil organic carbon in global ecosystems. Soil Biol. Biochem. 2021, 162, 108422. [Google Scholar] [CrossRef]
- Wang, C.; Wang, X.; Zhang, Y.; Morrissey, E.; Liu, Y.; Sun, L.; Qu, L.; Sang, C.; Zhang, H.; Li, G.; et al. Integrating microbial community properties, biomass and necromass to predict cropland soil organic carbon. ISME Commun. 2023, 3, 86. [Google Scholar] [CrossRef]
- Hu, J.; Huang, C.; Zhou, S.; Liu, X.; Dijkstra, F. Nitrogen addition increases microbial necromass in croplands and bacterial necromass in forests: A global meta-analysis. Soil Biol. Biochem. 2022, 165, 108–134. [Google Scholar] [CrossRef]
- Jiang, J.; Wang, Y.; Liu, F.; Du, Y.; Zhuang, W.; Chang, Z.; Yu, M.; Yan, J. Antagonistic and additive interactions dominate the responses of belowground carbon-cycling processes to nitrogen and phosphorus additions. Soil Biol. Biochem. 2021, 156, 108216. [Google Scholar] [CrossRef]
- Ma, T.; Yang, Z.; Shi, B.; Gao, W.; Li, Y.; Zhu, J.; He, J. Phosphorus supply suppressed microbial necromass but stimulated plant lignin phenols accumulation in soils of alpine grassland on the Tibetan Plateau. Geoderma 2023, 431, 116376. [Google Scholar] [CrossRef]
- Hu, Q.; Liu, T.; Ding, H.; Li, C.; Tan, W.; Ming, Y.; Liu, J.; Cao, C. Effects of nitrogen fertilizer on soil microbial residues and their contribution to soil organic carbon and total nitrogen in a rice-wheat system. Appl. Soil Ecol. 2023, 181, 104648. [Google Scholar] [CrossRef]
- Liang, C.; Gutknecht, J.; Balser, T. Microbial lipid and amino sugar responses to long-term simulated global environmental changes in a California annual grassland. Front. Microbiol. 2015, 6, 385–389. [Google Scholar] [CrossRef] [PubMed]
- Li, X.; Zhang, W.; Tian, Q.; Lv, H.; Ding, X.; He, H. Transformation of urea to amino sugar and its effect on dynamics of soil amino sugar pool. Acta Pedol Ogica Sin. 2011, 48, 1189–1195. [Google Scholar]
- Luo, R.; Kuzyakov, Y.; Zhu, B.; Qiang, W.; Zhang, Y.; Pang, X. Phosphorus addition decreases plant lignin but increases microbial necromass contribution to soil organic carbon in a subalpine forest. Glob. Change Biol. 2022, 28, 4194–4210. [Google Scholar] [CrossRef]
- Yuan, Y.; Li, Y.; Mou, Z.; Kuang, L.; Wu, W.; Zhang, J.; Wang, F.; Hui, D.; Peñuelas, J.; Sardans, J.; et al. Phosphorus addition decreases microbial residual contribution to soil organic carbon pool in a tropical coastal forest. Glob. Change Biol. 2021, 27, 454–466. [Google Scholar] [CrossRef]
- Ma, S.; Chen, G.; Tian, D.; Du, E.; Xiao, W.; Jiang, L.; Zhou, Z.; Zhu, J.; He, H.; Zhu, B.; et al. Effects of seven-year nitrogen and phosphorus additions on soil microbial community structures and residues in a tropical forest in Hainan Island, China. Geoderma 2020, 361, 114034. [Google Scholar] [CrossRef]
- Wang, R. Effects of Long-Term Fertilization on Soil Organic Carbon Fractions in Dry Land of Loess Plateau. Ph.D. Thesis, Northwest A&F University, China, Yangling, China, 2020. [Google Scholar]
- Gan, R.; Qi, P.; Guo, G.; Wang, X.; Cai, L.; Hai, L.; Zhang, R. Effects of phosphorus addition on soil respiration component characteristics and carbon balance in dry farmlands of the Loess Plateau, Longzhong, China. J. Agro Environ. Sci. 2023, 42, 599–611. [Google Scholar]
- Bao, S. Soil Agrochemical Analysis; China Agriculture Press: Beijing, China, 2000; pp. 25–86. [Google Scholar]
- Wu, J.; Joergensen, R.; Pommerening, B.; Chaussod, R.; Brookes, P. Measurement of soil microbial biomass C by fumigation-extraction—An automated procedure. Soil Biol. Biochem. 1990, 22, 1167–1169. [Google Scholar] [CrossRef]
- Jenkinson, D. The determination of microbial biomass carbon and nitrogen in soil. In Advances in Nitrogen Cycling in Agricultural Ecosystem; Wilson, J.R., Ed.; CAB International: Wallingford, UK, 1998; pp. 368–386. [Google Scholar]
- Bell, C.; Fricks, B.; Rocca, J.; Steinweg, J.; Mcmahon, S.; Wallenstein, M. High-throughput fluorometric measurement of potential soil extracellular enzyme activities. J. Vis. Exp. Jove 2013, 81, e50961. [Google Scholar] [CrossRef]
- Zhang, X.; Amelung, W. Gas chromatographic determination of muramic acid, glucosamine, mannosamine, and galactosamine in soils. Soil Biol. Biochem. 1996, 28, 1201–1206. [Google Scholar] [CrossRef]
- Grace, J. Structural Equation Modeling and Natural Systems; Cambridge University Press: Cambridge, UK, 2006; pp. 78–96. [Google Scholar]
- Wu, W.; Feng, J.; Wang, X.; Xiao, J.; Qin, W.; Zhu, B. The response of soil microbial necromass carbon to global change: A global meta-analysis. Catena 2025, 249, 108693. [Google Scholar] [CrossRef]
- García-Palacios, P.; Gross, N.; Gaitán, J.; Maestre, F. Climate mediates the biodiversity–ecosystem stability relationship globally. Proc. Natl. Acad. Sci. USA 2018, 115, 8400–8405. [Google Scholar] [CrossRef]
- Kallenbach, C.; Grandy, A.; Frey, S.; Diefendorf, A. Microbial physiology and necromass regulate agricultural soil carbon accumulation. Soil Biol. Biochem. 2015, 91, 279–290. [Google Scholar] [CrossRef]
- He, M.; Dijkstra, F. Phosphorus addition enhances loss of nitrogen in a phosphorus-poor soil. Soil Biol. Biochem. 2015, 82, 99–106. [Google Scholar] [CrossRef]
- Luo, R.; Kuzyakov, Y.; Liu, D.; Fan, J.; Luo, J.; Lindsey, S.; He, J.; Ding, W. Nutrient addition reduces carbon sequestration in a Tibetan grassland soil: Disentangling microbial and physical controls. Soil Biol. Biochem. 2020, 144, 107764. [Google Scholar] [CrossRef]
- Zhang, J.; Zhou, J.; Lambers, H.; Li, Y.; Qin, G.; Wang, J.; Li, Z.; Wang, F. Nitrogen and phosphorus addition exerted different influences on litter and soil carbon release in a tropical forest. Sci. Total Environ. 2022, 832, 155049. [Google Scholar] [CrossRef]
- Ding, X.; Zhang, B.; Wei, Z.; He, H.; Filley, T. Conversion of grassland into cropland affects microbial residue carbon retention in both surface and subsurface soils of a temperate agroecosystem. Biol. Fertil. Soils 2020, 56, 137–143. [Google Scholar] [CrossRef]
- Liang, C. Soil microbial carbon pump: Mechanism and appraisal. Soil Ecol. Lett. 2020, 2, 241–254. [Google Scholar] [CrossRef]
- Wang, X.; Zhang, W.; Zhou, F.; Liu, Y.; He, H.; Zhang, X. Distinct regulation of microbial processes in the immobilization of labile carbon in different soils. Soil Biol. Biochem. 2020, 142, 107723. [Google Scholar] [CrossRef]
- Lu, X.; Gilliam, F.; Guo, J.; Hou, E.; Kuang, Y. Decrease in soil pH has greater effects than increase in above-ground carbon inputs on soil organic carbon in terrestrial ecosystems of China under nitrogen enrichment. J. Appl. Ecol. 2022, 59, 768–778. [Google Scholar] [CrossRef]
- Lu, X.; Hou, E.; Guo, J.; Gilliam, F.; Li, J.; Tang, S.; Kuang, Y. Nitrogen addition stimulates soil aggregation and enhances carbon storage in terrestrial ecosystems of China: A meta-analysis. Glob. Change Biol. 2021, 27, 2780–2792. [Google Scholar] [CrossRef]
- He, M.; Fang, K.; Chen, L.; Feng, X.; Qin, S.; Kou, D.; He, H.; Liang, C.; Yang, Y. Depth-dependent drivers of soil microbial necromass carbon across Tibetan alpine grasslands. Glob. Change Biol. 2022, 28, 936–949. [Google Scholar] [CrossRef]
- Li, X.; Huang, J.; Qu, C.; Chen, W.; Chen, C.; Cai, P.; Huang, Q. Diverse regulations on the accumulation of fungal and bacterial necromass in cropland soils. Geoderma 2022, 410, 115675. [Google Scholar] [CrossRef]
- Zheng, Q.; Hu, Y.; Zhang, S.; Noll, L.; Böckle, T.; Richter, A.; Wanek, W. Growth explains microbial carbon use efficiency across soils differing in land use and geology. Soil Biol. Biochem. 2019, 128, 45–55. [Google Scholar] [CrossRef]
- López-Mondéjar, R.; Brabcová, V.; Štursová, M.; Davidová, A.; Jansa, J.; Cajthaml, T.; Baldrian, P. Decomposer food web in a deciduous forest shows high share of generalist microorganisms and importance of microbial biomass recycling. ISME J. 2018, 12, 1768–1778. [Google Scholar] [CrossRef]
- Montgomery, D.C. Design and Analysis of Experiments, 9th ed.; John Wiley & Sons, Inc.: New York, NY, USA, 2006. [Google Scholar]
- Gomez, K.; Gomez, A. Statistical Procedures for Agricultural Research, 2nd ed.; Wiley: New York, NY, USA, 1984. [Google Scholar]



| Soil Layer | Treat- ment | SOC | TN | TP | AP | pH | MBC | MBN | MBC MBN |
|---|---|---|---|---|---|---|---|---|---|
| (g·kg−1) | (mg·kg−1) | (mg·kg−1) | |||||||
| 0–20 cm | CK | 8.34 ± 0.25 a | 0.82 ± 0.02 ab | 0.85 ± 0.07 c | 10.57 ± 0.38 c | 8.23 ± 0.08 a | 192.98 ± 3.06 d | 36.92 ± 1.38 b | 5.23 ± 0.28 a |
| N | 8.33 ± 0.21 a | 0.89 ± 0.03 a | 0.92 ± 0.02 bc | 6.96 ± 0.29 c | 8.02 ± 0.08 b | 227.37 ± 4.43 b | 56.56 ± 1.44 a | 4.02 ± 0.14 c | |
| P | 8.10 ± 0.33 a | 0.91 ± 0.06 a | 1.05 ± 0.05 a | 27.76 ± 1.11 b | 8.14 ± 0.05 ab | 211.90 ± 1.86 c | 48.27 ± 1.24 b | 4.39 ± 0.11 b | |
| NP | 8.53 ± 0.24 a | 0.80 ± 0.04 c | 0.98 ± 0.02 ab | 38.15 ± 7.98 a | 8.08 ± 0.05 b | 236.05 ± 2.51 a | 58.40 ± 0.57 a | 4.04 ± 0.02 c | |
| 20–40 cm | CK | 7.88 ± 0.29 a | 0.70 ± 0.01 b | 0.65 ± 0.01 c | 6.04 ± 0.42 c | 8.21 ± 0.15 a | 179.67 ± 7.82 c | 33.32 ± 2.02 c | 5.40 ± 0.25 a |
| N | 7.33 ± 0.31 ab | 0.73 ± 0.03 d | 0.70 ± 0.01 b | 5.75 ± 0.07 c | 8.04 ± 0.13 a | 214.32 ± 3.15 a | 49.80 ± 2.38 a | 4.31 ± 0.28 b | |
| P | 7.46 ± 0.10 ab | 0.60 ± 0.02 c | 0.72 ± 0.02 b | 21.70 ± 1.39 a | 8.07 ± 0.16 a | 200.28 ± 6.15 b | 42.97 ± 3.82 b | 4.69 ± 0.54 b | |
| NP | 7.66 ± 0.10 ab | 0.78 ± 0.03 a | 0.75 ± 0.01 a | 14.26 ± 1.50 b | 8.04 ± 0.04 a | 221.31 ± 2.68 a | 47.31 ± 1.06 ab | 4.68 ± 0.16 b | |
| Soil Layer | Treament | TASs (mg·kg−1) | GluN (mg·kg−1) | ManN (mg·kg−1) | GalN (mg·kg−1) | MurA (mg·kg−1) | GluN/MurA (%) |
|---|---|---|---|---|---|---|---|
| 0–20 cm | CK | 397.16 ± 14.06 a | 256.02 ± 11.83 a | 11.15 ± 0.92 a | 123.48 ± 8.29 a | 6.49 ± 0.21 c | 39.44 ± 1.04 a |
| N | 384.39 ± 12.88 a | 234.54 ± 13.83 a | 6.36 ± 0.43 b | 136.65 ± 0.966 a | 6.84 ± 0.46 bc | 34.43 ± 3.66 b | |
| P | 315.21 ± 27.89 b | 194.46 ± 14.42 b | 5.95 ± 1.27 b | 107.18 ± 12.41 b | 7.62 ± 0.04 ab | 25.52 ± 1.73 c | |
| NP | 384.03 ± 9.69 a | 242.27 ± 8.12 a | 7.07 ± 0.72 b | 126.39 ± 1.66 a | 8.31 ± 0.94 a | 29.34 ± 2.36 c | |
| 20–40 cm | CK | 313.81 ± 20.84 b | 180.81 ± 13.39 bc | 8.29 ± 0.32 ab | 119.38 ± 9.36 b | 5.33 ± 0.73 b | 34.17 ± 2.91 a |
| N | 357.75 ± 7.94 a | 199.85 ± 2.79 a | 10.57 ± 2.18 a | 140.88 ± 7.45 a | 6.45 ± 0.72 ab | 31.19 ± 2.94 a | |
| P | 299.03 ± 6.26 b | 174.58 ± 4.78 c | 6.12 ± 0.88 b | 112.32 ± 2.19 b | 6.02 ± 0.85 ab | 29.46 ± 4.92 a | |
| NP | 311.39 ± 3.62 b | 195.75 ± 7.05 ab | 8.54 ± 1.03 ab | 100.21 ± 4.12 c | 6.89 ± 0.36 a | 28.43 ± 0.46 a |
Disclaimer/Publisher’s Note: The statements, opinions and data contained in all publications are solely those of the individual author(s) and contributor(s) and not of MDPI and/or the editor(s). MDPI and/or the editor(s) disclaim responsibility for any injury to people or property resulting from any ideas, methods, instructions or products referred to in the content. |
© 2025 by the authors. Licensee MDPI, Basel, Switzerland. This article is an open access article distributed under the terms and conditions of the Creative Commons Attribution (CC BY) license (https://creativecommons.org/licenses/by/4.0/).
Share and Cite
Wang, X.; Li, H.; Liang, G.; Li, Z.; Qi, P.; Xue, J.; Chen, J.; Wu, J. Phosphorus Fertilization Reduces Soil Microbial Necromass Carbon Content in Tillage Layer of Dry Farmland on Loess Plateau. Agriculture 2025, 15, 485. https://doi.org/10.3390/agriculture15050485
Wang X, Li H, Liang G, Li Z, Qi P, Xue J, Chen J, Wu J. Phosphorus Fertilization Reduces Soil Microbial Necromass Carbon Content in Tillage Layer of Dry Farmland on Loess Plateau. Agriculture. 2025; 15(5):485. https://doi.org/10.3390/agriculture15050485
Chicago/Turabian StyleWang, Xiaojiao, Hailiang Li, Guopeng Liang, Zhiqiang Li, Peng Qi, Jianglong Xue, Ji Chen, and Jun Wu. 2025. "Phosphorus Fertilization Reduces Soil Microbial Necromass Carbon Content in Tillage Layer of Dry Farmland on Loess Plateau" Agriculture 15, no. 5: 485. https://doi.org/10.3390/agriculture15050485
APA StyleWang, X., Li, H., Liang, G., Li, Z., Qi, P., Xue, J., Chen, J., & Wu, J. (2025). Phosphorus Fertilization Reduces Soil Microbial Necromass Carbon Content in Tillage Layer of Dry Farmland on Loess Plateau. Agriculture, 15(5), 485. https://doi.org/10.3390/agriculture15050485

