Analysis of Phenotypic and Tensile Mechanical Properties of Seed Rope and Its Impact on Plant Root Growth
Abstract
1. Introduction
1.1. Materials and Methods
1.1.1. Experimental Materials and Equipment
1.1.2. Experimental Methods
1.2. Experimental Results and Analysis
2. Electron Microscopy Scanning Analysis of Tensile Fracture Surface
2.1. Materials and Methods
2.1.1. Experimental Materials and Equipment
2.1.2. Experimental Methods
2.1.3. Result Analysis
3. Phenotypic Study on the Effect of Seed Rope on Root Growth
3.1. Experimental Materials
3.2. Experimental Methods
3.3. Root Scanning
3.3.1. Experimental Equipment
3.3.2. Experimental Methods
3.4. Experimental Methods
4. Discussion
- In order to observe the microstructure of the broken rope under different stress conditions, explore the microscopic changes in different ropes under tensile stress and shear stress, and further understand the mechanical mechanism of the rope under external forces, the cross-sections of the broken ropes under two stress conditions were scanned and observed by electron microscopy. We obtained the overall situation diagram and single fiber diagram of the fracture section of ropes of different materials under different stress conditions, and observed the differences in the degree of disorder of the failure surface and the degree of fiber surface damage.
- A tensile test was conducted on the seed rope woven with a combination of thread and non-woven fabric, and it can be seen that its tensile curve is divided into two distinct stages. In the future, more different rope weaving methods can be explored to enhance the adaptability of the automatic rope breaking mechanism.
- Current research on rope direct-seeding machines can only automate rope breaking using shear force, still requiring manual rope installation. To design an automatic rope-breaking mechanism that can clamp and pull out the seed rope after tensile stress, this study used a universal testing machine to measure the critical tensile stress for breaking seed ropes containing six types of seeds (rice, Chinese cabbage, cabbage, lettuce, Indian lettuce, and celery) made from paper and non-woven fabric. The tensile performance of the seed rope is key for laying and breaking processes, providing data for the automatic mechanism’s stress range. However, only small seeds were tested. Future research should focus on larger seeds to expand the mechanism’s applicability for direct-seeding more seed types.
5. Conclusions
- The tensile strength range of the paper material seed rope is approximately 1.80–2.89 N/mm 2, the elongation at break range is approximately 31.4–47.5%, and the critical stress range is approximately 5.67–9.06 N. The tensile strength range of non-woven fabric rope is approximately 0.91–1.23 N/mm 2, the elongation at break range is approximately 160.3–284.2%, and the critical stress range is approximately 2.86–3.86 N. The results show that during the operation of the automatic rope-breaking mechanism in the rope direct-seeding machine, the stress required to break the paper material rope was slightly higher than that of the non-woven fabric rope, but its elongation rate was lower, resulting in a shorter operating time of the mechanism. For the seed rope woven with a combination of thread and non-woven fabric, high tension is required when breaking the rope, and it also requires a long running time.
- By analyzing the electron microscope scanning images of the fracture cross-sections of various types of ropes under different materials, stresses, and processing conditions, it was found that under tensile stress, the fracture cross-sections of all types of ropes were more disordered and the damage was stronger than under shear stress. In addition, the fiber surface of the seed rope soaked for 24 h showed slight damage, resulting in a slight decrease in the critical tensile stress value of the seed rope after soaking.
Author Contributions
Funding
Institutional Review Board Statement
Data Availability Statement
Acknowledgments
Conflicts of Interest
References
- Sun, L. Power farming. Rope seeding. Grain Oil Process. Food Mach. 1973, 8–9. [Google Scholar] [CrossRef]
- Han, D.; Ren, E.; Liu, C. Design and Experimental Study of Hand held Rice Seed Rope Livestreaming Machine. Agric. Mech. Res. 2019, 41, 144–148+164. [Google Scholar]
- Han, S.; Ren, W.; Li, G. Improvement Design and Finite Element Analysis of Main Working Components of Rice Seed Rope Livestreaming Machine. Agric. Mech. Res. 2016, 38, 62–65+75. [Google Scholar]
- Xu, Y.; Ren, W.; Huang, W.; Lv, P.; Zhang, Y.; Zhang, B. Design and Experimental Study on Key Components of Rice Direct-seeding Machine. J. Shenyang Agric. Univ. 2016, 47, 687–694. [Google Scholar]
- Wentao, R.; Xiaorong, L.; Aiju, K.; Benhua, Z.; Hongguang, C.; Yi, Y. Design of Rice Seed Rope Livestreaming Machine. J. Shenyang Agric. Univ. 2009, 40, 62–66. [Google Scholar]
- Liu, S.; Yang, R.; Wang, J.; Yin, B.; Zhang, M.; Ma, Y.; Pan, S. Design and experiment of a carrot seeder with one row and two rows based on the planting rope mode. Agric. Mech. Res. 2023, 45, 88–93. [Google Scholar]
- Ren, W.; Dai, L.; Cui, H. The Effect of Modified Corn Starch Adhesive on the Quality of Seed Rope Twisting. J. Agric. Eng. 2010, 26, 164–169. [Google Scholar]
- Ren, W.; Che, Z.; Liu, J. Experimental study on the effect of paddy field mud on the adhesion of agricultural paper film. J. Agric. Eng. 2011, 27, 129–133. [Google Scholar]
- Zhang, B. Design and Experimental Study of a Small Rice Seed Rope Livestreaming Machine; Shenyang Agricultural University: Shenyang, China, 2018. [Google Scholar]
- Zhang, B.; Liu, D.; Xi, X.; Zhang, Y.; Chen, C.; Qu, J.; Dong, H.; Zhang, R. The Analysis of the Applications of Crop Seed Material Sowing Technology and Equipment: A Review. Appl. Sci. 2021, 11, 11228. [Google Scholar] [CrossRef]
- Lv, X.; Ren, W.; Lv, X. Design of the playback mechanism for rice seed rope player. Agric. Mech. Res. 2008, 96–98. [Google Scholar] [CrossRef]
- Zhang, Y. Development and Experimental Study of Rice Seed Rope Livestreaming Machine; Shenyang Agricultural University: Shenyang, China, 2006. [Google Scholar]
- Xin, M.; Ren, W.; Song, Y.; Wu, L.; Cui, H.; Kong, A.; Liu, C.; Wang, Y. Automatic Rope Cutting Device for Rope Direct-Seeding Machine. ZL201410101111, 6 April 2016. [Google Scholar]
- Liang, Z. Rope Cutting Device and Crop Sowing Machine. ZL202121398332, 14 December 2021. [Google Scholar]
- Naik, D.L.; Sharma, A.; Chada, R.R.; Kiran, R.; Sirotiak, T. Modified pullout test for indirect characterization of natural fiber and cementitious matrix interface properties. Constr. Build. Mater. 2019, 208, 381–393. [Google Scholar] [CrossRef]
- Bain, C.; Davies, P.; Bles, G.; Marco, Y.; Barnet, J. Influence of bedding-in on the tensile performance of HMPE fiber ropes. Ocean Eng. 2020, 203, 107144. [Google Scholar] [CrossRef]
- Shaw, V.P.; Mukhopadhyay, A. Behaviour of Stretch Denim Fabric under Tensile Load. Fibers Polym. 2022, 23, 295–302. [Google Scholar] [CrossRef]
- Fedorko, G.; Molnár, V.; Michalik, P.; Dovica, M.; Kelemenová, T.; Toth, T. Failure analysis of conveyor belt samples under tensile load. J. Ind. Text. 2019, 48, 1364–1383. [Google Scholar] [CrossRef]
- McSwain, A.C.; McSwain, A.C.; Berube, K.A.; Cusatis, G.; Landis, E.N. Confinement effects on fiber pullout forces for ultra-high-performance concrete. Cem. Concr. Compos. 2018, 91, 53–58. [Google Scholar] [CrossRef]
- Muna, I.I.; Mieloszyk, M.; Rimasauskiene, R.; Maqsood, N.; Rimasauskas, M. Thermal Effects on Mechanical Strength of Additive Manufactured CFRP Composites at Stable and Cyclic Temperature. Polymers 2022, 14, 4680. [Google Scholar] [CrossRef] [PubMed]
- Halabi, Y.; Xu, H.; Yu, Z.; Alhaddad, W.; Dreier, I. Experimental-based statistical models for the tensile characterization of synthetic fiber ropes: A machine learning approach. Sci. Rep. 2023, 13, 17768. [Google Scholar] [CrossRef] [PubMed]
- Akgun, M.; Becerir, B.; Alpay, H.R. Assessing the relationship among fabric constructional parameters, fractional reflectances and cover factors of polyester fabrics by experimental and mathematical methods. Fibers Polym. 2010, 11, 291–302. [Google Scholar] [CrossRef]
- Akgun, M.; Becerir, B.; Alpay, H.R. Reflectance prediction of colored polyester fabrics by a novel formula. Fibers Polym. 2014, 15, 126–137. [Google Scholar] [CrossRef]
- Middendorf, P.; Van Den Broucke, B.; Gessler, A.; Maidl, F.; Metzner, C. Material characterization of non-crimp braided CFRP for aeronautic applications. In Proceedings of the 9th International Conference on Textile Composites, Newark, NJ, USA, 13–15 October 2008. [Google Scholar]
- Metzner, C.; Gessler, A.; Weimer, C.; Beier, U.; Middendorf, P. Performance assessment on unidirectional braided CFRP materials. In Proceedings of the SEICO Conference, Paris, France, 10–11 March 2014. [Google Scholar]
- Shi, L.; Yang, Y.; Yan, J. Research on the tensile properties of two-dimensional biaxial unidirectional woven layered composite materials. Compos. Sci. Eng. 2018, 63–67. [Google Scholar] [CrossRef]
- Cui, H. Development and Experimental Study of Rice Seed Rope Twisting Machine; Shenyang Agricultural University: Shenyang, China, 2012. [Google Scholar]
- GB/T16825.1-2008; Inspection of static uniaxial testing machines—Part 1: Inspection and calibration of force measuring systems for tensile and/or compressive testing machines. General Administration of Quality Supervision, Inspection and Quarantine of the People’s Republic of China: Beijing, China, 2008.
- GB/T3923.1-2013; Textiles—Tensile properties of fabrics—Part 1: Determination of tensile strength and elongation at break—Strip method. General Administration of Quality Supervision, Inspection and Quarantine of the People’s Republic of China: Beijing, China, 2013.
- GB/T12914-2018; Measurement of Tensile Strength of Paper and Paperboard. State Administration for Market Regulation: Beijing, China, 2018.
- Shu, D. Mechanical Properties of Engineering Materials; Machinery Industry Press: Beijing, China, 2007. [Google Scholar]























| Varieties | Width/mm | Thickness/mm | Material |
|---|---|---|---|
| Paper | 19 | 0.03 | Plant Fiber |
| Non-woven fabrics | 23 | 0.07 | Polyvinyl Acetate (PVAC) |
| Varieties | Length/mm | Width/mm | Thickness/mm | 1000 Grain Weight/g | Natural Repose Angle/° |
|---|---|---|---|---|---|
| Rice | 9.42 | 2.29 | 1.89 | 21.148 | 31.55 |
| Chinese Cabbage | 1.47 | 1.45 | 1.44 | 3.059 | 27.34 |
| Flowering Chinese Cabbage | 1.40 | 1.40 | 1.40 | 2.354 | 26.29 |
| Lettuce | 3.55 | 1.06 | 0.59 | 1.290 | 31.34 |
| Leaf-used Lettuce | 4.02 | 1.04 | 0.59 | 1.129 | 32.70 |
| Celery | 1.66 | 0.88 | 0.83 | 0.447 | 35.79 |
| Seed Variety | Wood Pulp Paper | Standard Deviation | Non-Woven Fabric | Standard Deviation |
|---|---|---|---|---|
| Non-soaked rice seeds | 1.84 | 0.31 | 0.92 | 0.11 |
| Soaked rice seeds | 1.81 | 0.21 | 0.91 | 0.06 |
| Non-soaked Chinese Cabbage | 2.01 | 0.26 | 1.21 | 0.10 |
| Soaked Chinese cabbage | 2.01 | 0.26 | 1.15 | 0.11 |
| Non-soaked bok choy | 2.11 | 0.37 | 1.20 | 0.09 |
| Soaked bok choy | 2.14 | 0.28 | 1.14 | 0.09 |
| Non-soaked lettuce | 1.20 | 0.38 | 1.19 | 0.12 |
| Soaked lettuce | 2.28 | 0.14 | 1.19 | 0.09 |
| Non-soaked wheatgrass | 2.23 | 0.36 | 1.23 | 0.08 |
| Soaked wheatgrass | 2.06 | 0.36 | 1.11 | 0.05 |
| Non-soaked celery | 2.72 | 0.47 | 1.10 | 0.04 |
| Soaked celery | 2.88 | 0.29 | 1.02 | 0.07 |
| Raw materials without Wrapped seeds | 2.69 | 0.23 | 1.09 | 0.09 |
| Seed Variety | Wood Pulp Paper | Standard Deviation | Non-Woven Fabric | Standard Deviation |
|---|---|---|---|---|
| Non-soaked rice seeds | 37.54 | 0.12 | 240.25 | 0.72 |
| Soaked rice seeds | 37.13 | 0.05 | 160.29 | 0.22 |
| Non-soaked Chinese cabbage | 37.98 | 0.10 | 256.56 | 0.47 |
| Soaked Chinese cabbage | 34.43 | 0.04 | 252.56 | 0.75 |
| Non-soaked bok choy | 32.95 | 0.06 | 262.76 | 0.52 |
| Soaked bok choy | 47.54 | 0.08 | 240.52 | 0.35 |
| Non-soaked lettuce | 34.80 | 0.04 | 284.22 | 0.47 |
| Soaked lettuce | 39.11 | 0.04 | 254.37 | 0.36 |
| Non-soaked wheatgrass | 33.21 | 0.06 | 257.11 | 0.40 |
| Soaked wheatgrass | 37.29 | 0.08 | 254.14 | 0.70 |
| Non-soaked celery | 39.43 | 0.10 | 228.90 | 0.21 |
| Soaked celery | 31.46 | 0.01 | 233.04 | 0.51 |
| Raw materials without wrapped seeds | 13.43 | 0.05 | 144.34 | 0.20 |
| Seed Variety | Wood Pulp Paper | Standard Deviation | Non-Woven Fabric | Standard Deviation |
|---|---|---|---|---|
| Non-soaked rice seeds | 5.78 | 0.99 | 2.89 | 0.33 |
| Soaked rice seeds | 5.67 | 0.66 | 2.87 | 0.26 |
| Non-soaked Chinese cabbage | 6.33 | 0.81 | 3.81 | 0.31 |
| Soaked Chinese cabbage | 6.31 | 0.81 | 3.62 | 0.13 |
| Non-soaked bok choy | 6.64 | 1.15 | 3.76 | 0.28 |
| Soaked bok choy | 6.74 | 0.87 | 3.58 | 0.28 |
| Non-soaked lettuce | 6.64 | 1.18 | 3.75 | 0.38 |
| Soaked lettuce | 7.16 | 0.43 | 3.73 | 0.29 |
| Non-soaked wheatgrass | 7.02 | 1.12 | 3.86 | 0.24 |
| Soaked wheatgrass | 6.46 | 0.67 | 3.49 | 0.15 |
| Non-soaked celery | 8.53 | 1.47 | 3.46 | 0.14 |
| Soaked celery | 9.06 | 0.92 | 3.19 | 0.22 |
| Raw materials without wrapped seeds | 8.44 | 0.62 | 3.42 | 0.35 |
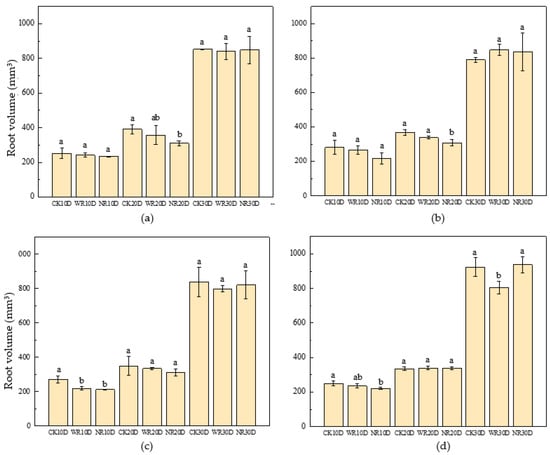
| Treatments (Days) | Root Total Length (mm) | Root Projection Area (mm2) | Root Surface Area (mm2) | Root Volume (mm3) | Root Tip Number (Pieces) |
|---|---|---|---|---|---|
| CK10 | 242.36 ± 13.00 | 11.60 ± 0.70 | 34.72 ± 2.21 | 252.36 ± 29.23 | 1897.67 ± 156.03 |
| WR10 | 242.29 ± 12.32 | 11.27 ± 0.11 | 33.69 ± 0.36 | 242.29 ± 12.32 | 2063.67 ± 199.48 |
| NR10 | 234.64 ± 1.99 | 11.02 ± 0.16 | 32.92 ± 0.51 | 234.64 ± 1.99 | 2104.33 ± 36.77 |
| CK20 | 380.33 ± 6.02 | 14.91 ± 1.85 | 46.84 ± 5.80 | 392.33 ± 26.55 | 3815.33 ± 166.31 |
| WR20 | 336.93 ± 19.97 | 12.18 ± 0.98 | 38.25 ± 3.08 | 356.93 ± 54.33 | 3784.33 ± 442.18 |
| NR20 | 309.77 ± 14.41 | 13.83 ± 0.44 | 43.46 ± 1.38 | 309.77 ± 14.41 | 2976.33 ± 34.65 |
| CK30 | 852.42 ± 2.02 | 25.88 ± 1.01 | 86.16 ± 3.17 | 852.42 ± 2.02 | 7211.00 ± 220.95 |
| WR30 | 857.24 ± 18.74 | 25.55 ± 0.66 | 85.14 ± 2.06 | 840.57 ± 47.05 | 6954.00 ± 659.16 |
| NR30 | 841.74 ± 69.44 | 24.97 ± 2.56 | 83.30 ± 8.04 | 848.40 ± 78.93 | 7080.00 ± 303.89 |
| Growth Indicators | 10D | 20D | 30D | |||
|---|---|---|---|---|---|---|
| F | SE | F | SE | F | SE | |
| Total root length | 0.545 | 0.606 | 7.740 | 0.003 | 0.109 | 0.898 |
| Root projection area | 1.402 | 0.316 | 3.741 | 0.088 | 0.238 | 0.795 |
| Root surface area | 1.402 | 0.316 | 3.741 | 0.088 | 0.238 | 0.795 |
| Root volume | 0.704 | 0.531 | 3.995 | 0.079 | 0.039 | 0.962 |
| Number of root tips | 1.647 | 0.269 | 9.076 | 0.015 | 0.258 | 0.781 |
| Treatments (Days) | Root Total Length (mm) | Root Projection Area (mm2) | Root Surface Area (mm2) | Root Volume (mm3) | Root Tip Number (Pieces) |
|---|---|---|---|---|---|
| CK10 | 271.81 ± 22.33 | 11.95 ± 0.78 | 35.81 ± 2.46 | 281.81 ± 38.82 | 2961.33 ± 408.40 |
| WR10 | 266.64 ± 15.25 | 11.65 ± 0.56 | 34.87 ± 1.76 | 265.64 ± 22.73 | 2599.67 ± 197.58 |
| NR10 | 224.29 ± 21.57 | 10.41 ± 0.96 | 30.98 ± 3.01 | 217.62 ± 32.44 | 2303.00 ± 52.46 |
| CK20 | 367.71 ± 15.14 | 15.34 ± 0.57 | 48.20 ± 1.79 | 367.71 ± 15.14 | 3435.67 ± 138.00 |
| WR20 | 338.85 ± 7.88 | 12.43 ± 1.65 | 39.05 ± 5.18 | 338.85 ± 7.88 | 3919.00 ± 473.27 |
| NR20 | 308.24 ± 18.26 | 13.64 ± 0.59 | 42.87 ± 1.87 | 308.24 ± 18.26 | 2895.33 ± 32.93 |
| CK30 | 789.62 ± 14.56 | 22.53 ± 0.56 | 75.66 ± 1.76 | 789.62 ± 14.56 | 6530.00 ± 210.95 |
| WR30 | 846.33 ± 32.58 | 23.90 ± 0.80 | 79.95 ± 2.52 | 846.33 ± 32.58 | 7164.67 ± 512.55 |
| NR30 | 818.02 ± 92.82 | 24.92 ± 3.08 | 78.30 ± 9.68 | 836.35 ± 108.81 | 6733.00 ± 625.19 |
| Growth Indicators | 10D | 20D | 30D | |||
|---|---|---|---|---|---|---|
| F | SE | F | SE | F | SE | |
| Total root length | 5.113 | 0.051 | 12.741 | 0.007 | 0.732 | 0.520 |
| Root projection area | 3.241 | 0.111 | 5.671 | 0.041 | 1.236 | 0.355 |
| Root surface area | 3.241 | 0.111 | 5.671 | 0.041 | 0.400 | 0.682 |
| Root volume | 3.261 | 0.110 | 12.741 | 0.007 | 0.629 | 0.565 |
| Number of root tips | 4.690 | 0.059 | 9.668 | 0.130 | 1.354 | 0.327 |
| Treatments (Days) | Root Total Length (mm) | Root Projection Area (mm2) | Root Surface Area (mm2) | Root Volume (mm3) | Root Tip Number (Pieces) |
|---|---|---|---|---|---|
| CK10 | 274.51 ± 13.55 | 12.30 ± 0.20 | 36.93 ± 0.62 | 271.17 ± 19.12 | 1842.67 ± 144.81 |
| WR10 | 218.77 ± 10.56 | 11.12 ± 0.16 | 33.23 ± 0.51 | 218.77 ± 10.56 | 1728.33 ± 72.25 |
| NR10 | 212.00 ± 2.22 | 11.02 ± 0.12 | 32.89 ± 0.38 | 212.00 ± 2.22 | 1696.33 ± 62.01 |
| CK20 | 329.47 ± 20.85 | 13.57 ± 2.41 | 42.64 ± 7.58 | 349.47 ± 55.44 | 3620.33 ± 380.66 |
| WR20 | 334.32 ± 7.43 | 11.62 ± 0.29 | 36.52 ± 0.92 | 334.32 ± 7.43 | 3828.67 ± 116.75 |
| NR20 | 304.34 ± 11.39 | 13.00 ± 1.36 | 40.84 ± 4.26 | 311.00 ± 21.56 | 3223.33 ± 692.45 |
| CK30 | 856.38 ± 64.46 | 23.59 ± 2.26 | 78.99 ± 7.11 | 839.71 ± 86.40 | 7003.00 ± 807.72 |
| WR30 | 798.87 ± 18.05 | 23.34 ± 0.47 | 78.21 ± 1.48 | 798.87 ± 18.05 | 7058.33 ± 141.62 |
| NR30 | 804.02 ± 54.98 | 23.81 ± 1.97 | 79.68 ± 6.20 | 820.69 ± 81.93 | 7168.00 ± 358.62 |
| Growth Indicators | 10D | 20D | 30D | |||
|---|---|---|---|---|---|---|
| F | SE | F | SE | F | SE | |
| Total root length | 35.307 | 0.000 | 3.761 | 0.087 | 1.214 | 0.361 |
| Root projection area | 58.080 | 0.000 | 1.164 | 0.374 | 0.054 | 0.948 |
| Root surface area | 58.090 | 0.000 | 1.164 | 0.374 | 0.054 | 0.948 |
| Root volume | 19.581 | 0.002 | 0.940 | 0.441 | 0.259 | 0.780 |
| Number of root tips | 1.773 | 0.248 | 1.334 | 0.332 | 0.079 | 0.925 |
| Treatments (Days) | Root Total Length (mm) | Root Projection Area (mm2) | Root Surface Area (mm2) | Root Volume (mm3) | Root Tip Number (Pieces) |
|---|---|---|---|---|---|
| CK10 | 249.96 ± 13.06 | 11.39 ± 0.38 | 34.08 ± 1.20 | 249.96 ± 13.06 | 2368.00 ± 38.97 |
| WR10 | 234.82 ± 12.43 | 10.93 ± 0.24 | 32.61 ± 0.75 | 234.82 ± 12.43 | 2188.33 ± 70.71 |
| NR10 | 221.98 ± 2.62 | 10.86 ± 0.63 | 32.41 ± 0.20 | 221.98 ± 6.62 | 2120.00 ± 111.91 |
| CK20 | 335.74 ± 11.54 | 11.33 ± 0.25 | 35.59 ± 0.78 | 335.74 ± 11.54 | 4153.33 ± 59.28 |
| WR20 | 339.74 ± 10.94 | 11.47 ± 0.23 | 36.02 ± 0.71 | 339.74 ± 10.94 | 4251.00 ± 131.01 |
| NR20 | 338.30 ± 7.20 | 11.36 ± 0.20 | 35.68 ± 0.62 | 338.30 ± 7.20 | 4427.33 ± 9.87 |
| CK30 | 931.21 ± 45.30 | 25.82 ± 1.10 | 85.98 ± 3.45 | 924.55 ± 53.22 | 7952.33 ± 356.85 |
| WR30 | 812.18 ± 27.65 | 23.46 ± 0.57 | 78.56 ± 1.79 | 805.52 ± 37.06 | 7276.00 ± 402.54 |
| NR30 | 971.26 ± 23.79 | 26.83 ± 0.69 | 87.53 ± 1.30 | 937.93 ± 46.07 | 7363.33 ± 432.12 |
| Growth Indicators | 10D | 20D | 30D | |||
|---|---|---|---|---|---|---|
| F | SE | F | SE | F | SE | |
| Total root length | 4.779 | 0.057 | 0.121 | 0.888 | 18.213 | 0.003 |
| Root projection area | 3.629 | 0.093 | 0.316 | 0.741 | 13.394 | 0.006 |
| Root surface area | 3.629 | 0.093 | 0.316 | 0.741 | 12.307 | 0.008 |
| Root volume | 4.779 | 0.057 | 0.121 | 0.888 | 7.556 | 0.023 |
| Number of root tips | 7.755 | 0.022 | 8.354 | 0.018 | 2.558 | 0.157 |
Disclaimer/Publisher’s Note: The statements, opinions and data contained in all publications are solely those of the individual author(s) and contributor(s) and not of MDPI and/or the editor(s). MDPI and/or the editor(s) disclaim responsibility for any injury to people or property resulting from any ideas, methods, instructions or products referred to in the content. |
© 2025 by the authors. Licensee MDPI, Basel, Switzerland. This article is an open access article distributed under the terms and conditions of the Creative Commons Attribution (CC BY) license (https://creativecommons.org/licenses/by/4.0/).
Share and Cite
Na, Y.; Wang, L.; Si, Y.; Shi, X.; Wang, B. Analysis of Phenotypic and Tensile Mechanical Properties of Seed Rope and Its Impact on Plant Root Growth. Agriculture 2025, 15, 486. https://doi.org/10.3390/agriculture15050486
Na Y, Wang L, Si Y, Shi X, Wang B. Analysis of Phenotypic and Tensile Mechanical Properties of Seed Rope and Its Impact on Plant Root Growth. Agriculture. 2025; 15(5):486. https://doi.org/10.3390/agriculture15050486
Chicago/Turabian StyleNa, Yi, Lingshan Wang, Yehua Si, Xingrui Shi, and Baolong Wang. 2025. "Analysis of Phenotypic and Tensile Mechanical Properties of Seed Rope and Its Impact on Plant Root Growth" Agriculture 15, no. 5: 486. https://doi.org/10.3390/agriculture15050486
APA StyleNa, Y., Wang, L., Si, Y., Shi, X., & Wang, B. (2025). Analysis of Phenotypic and Tensile Mechanical Properties of Seed Rope and Its Impact on Plant Root Growth. Agriculture, 15(5), 486. https://doi.org/10.3390/agriculture15050486

