Nematicidal Extracts of Chinaberry, Parsley and Rocket Are Safe to Eisenia fetida, Enchytraeus albidus, Daphnia magna and Danio rerio
Abstract
1. Introduction
2. Materials and Methods
2.1. Preparation of Extracts
2.2. Bioassays
2.2.1. Earthworm Reproduction Test—E. fetida
2.2.2. Enchytraeid Reproduction Test
2.2.3. Acute Toxicity Test on Crustacean D. magna
2.2.4. Zebrafish Embryo Acute Toxicity Test
2.2.5. Bioassay for the Assessment of the Possible Effects on the Liver of Zebrafish Embryos
2.3. Statistical Analysis
3. Results
3.1. Impact of Tested Extract on Non-Target Soil Organisms
3.2. Impact of Tested Extract on Non-Target Aquatic Organisms
3.2.1. D. magna
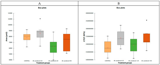
3.2.2. Zebrafish
4. Discussion
5. Conclusions
Supplementary Materials
Author Contributions
Funding
Data Availability Statement
Acknowledgments
Conflicts of Interest
Abbreviations
| OECD | Organisation for Economic Co-operation and Development |
| LC50 | LC50 (Lethal Concentration 50) |
| RKN | Root Knot Nematodes |
| IPM | Integrated Pest Management |
| MWE | Melia Water Extract |
| NOEC | No Observed Effect Concentration |
References
- Eugui, D.; Escobar, C.; Velasco, P.; Poveda, J. Glucosinolates as an effective tool in plant-parasitic nematodes control: Exploiting natural plant defenses. Appl. Soil Ecol. 2022, 176, 104497. [Google Scholar] [CrossRef]
- Ragozzino, A.; d’Errico, G. Interactions between Nematodes and Fungi: A Concise Review. Redia 2011, 94, 123–125. [Google Scholar]
- Banerjee, D.; Adhikary, S.; Bhattacharya, S.; Chakraborty, A.; Dutta, S.; Chatterjee, S.; Ganguly, A.; Nanda, S.; Rajak, P. Breaking boundaries: Artificial intelligence for pesticide detection and eco-friendly degradation. Environ. Res. 2024, 241, 117601. [Google Scholar] [CrossRef]
- EU-Pesticides-Database. Active Substances, Safeners and Synergists. Available online: https://ec.europa.eu/food/plant/pesticides/eu-pesticides-database/start/screen/active-substances (accessed on 10 October 2024).
- Regulation-(EC)-No-1107/2009. REGULATION (EC) No 1107/2009 Concerning the Placing of Plant Protection Products on the Market and Repealing Council Directives 79/117/EEC and 91/414/EEC. Available online: https://op.europa.eu/en/publication-detail/-/publication/0d8e53c6-6933-11e8-ab9c-01aa75ed71a1/language-en (accessed on 10 October 2024).
- Punniyakotti, P.; Vinayagam, S.; Rajamohan, R.; Priya, S.D.; Moovendhan, M.; Sundaram, T. Environmental fate and ecotoxicological behaviour of pesticides and insecticides in non-target environments: Nanotechnology-based mitigation strategies. J. Environ. Chem. Eng. 2024, 12, 113349. [Google Scholar] [CrossRef]
- Regulation-(EU)-No-283/2013. Commission Regulation (EU) No 283/2013 of 1 March 2013 Setting out the Data Requirements for Active Substances, in Accordance with Regulation (EC) No 1107/2009 of the European Parliament and of the Council Concerning the Placing of Plant Protection Products on the Market. Available online: https://eur-lex.europa.eu/eli/reg/2013/283/oj/eng (accessed on 4 September 2024).
- Regulation-(EU)-No-284/2013. Commission Regulation (EU) No 284/2013 of 1 March 2013 Setting out the Data Requirements for Plant Protection Products, in Accordance with Regulation (EC) No 1107/2009 of the European Parliament and of the Council Concerning the Placing of Plant Protection Products on the Market. Available online: https://eur-lex.europa.eu/eli/reg/2013/284/oj/eng (accessed on 4 September 2024).
- Pelosi, C.; Joimel, S.; Makowski, D. Searching for a more sensitive earthworm species to be used in pesticide homologation tests—A meta-analysis. Chemosphere 2013, 90, 895–900. [Google Scholar] [CrossRef] [PubMed]
- Spurgeon, D.J.; Weeks, J.M.; Van Gestel, C.A.M. A summary of eleven years progress in earthworm ecotoxicology. Pedobiologia 2003, 47, 588–606. [Google Scholar] [CrossRef]
- Joimel, S.; Chassain, J.; Artru, M.; Faburé, J. Collembola are Among the Most Pesticide-Sensitive Soil Fauna Groups: A Meta-Analysis. Environ. Toxicol. Chem. 2022, 41, 2333–2341. [Google Scholar] [CrossRef]
- SANCO/10329/2002-rev-2-final. Guidance Document on Terrestrial Ecotoxicology Under Council Directive 91/414/EEC. Available online: https://food.ec.europa.eu/system/files/2016-10/pesticides_ppp_app-proc_guide_ecotox_terrestrial.pdf (accessed on 20 August 2024).
- EFSA-Panel-PPR. Scientific Opinion addressing the state of the science on risk assessment of plant protection products for non-target arthropods. EFSA J. 2015, 13, 3996. [Google Scholar]
- Anjum, B.; Thakuri, S.C.; Panwar, M.; Jahan, T.; Juyal, V.K.; Rashmi, N.V. Global current scenario and future prospectus of biorationals. In Biorationals and Biopesticides; Kumar, R., de Oliveira, M.S., de Aguiar Andrade, E.H., Suyal, D.C., Soni, R., Eds.; De Gruyter: Berlin, Germany, 2024; pp. 23–45. [Google Scholar]
- Ntalli, N.G.; Caboni, P. Botanical nematicides in the mediterranean basin. Phytochem. Rev. 2012, 11, 351–359. [Google Scholar] [CrossRef]
- Ntalli, N.G.; Caboni, P. Botanical Nematicides: A Review. J. Agric. Food Chem. 2012, 60, 9929–9940. [Google Scholar] [CrossRef]
- Ntalli, N.; Adamski, Z.; Doula, M.; Monokrousos, N. Nematicidal Amendments and Soil Remediation. Plants 2020, 9, 429. [Google Scholar] [CrossRef]
- Peiris, P.U.S. Use of botanicals in root-knot nematode control: A meta-analysis. J. Plant Dis. Protect. 2021, 128, 913–922. [Google Scholar] [CrossRef]
- SANCO/11470/2012: Guidance Document on Botanical Active Substances Used in Plant Protection Products, revision.8-20-March-2014. Available online: https://food.ec.europa.eu/system/files/2016-10/pesticides_ppp_app-proc_guide_doss_botanicals-rev-8.pdf (accessed on 3 October 2022).
- Abd-Elgawad, M.M.M. Optimizing Safe Approaches to Manage Plant-Parasitic Nematodes. Plants 2021, 10, 1911. [Google Scholar] [CrossRef]
- D’Addabbo, T.; Avato, P. Chemical Composition and Nematicidal Properties of Sixteen Essential Oils-A Review. Plants 2021, 10, 1368. [Google Scholar] [CrossRef] [PubMed]
- Sarri, K.; Mourouzidou, S.; Ntalli, N.; Monokrousos, N. Recent Advances and Developments in the Nematicidal Activity of Essential Oils and Their Components against Root-Knot Nematodes. Agronomy 2024, 14, 213. [Google Scholar] [CrossRef]
- Theofilidou, A.; Argyropoulou, M.D.; Ntalli, N.; Kekelis, P.; Mourouzidou, S.; Zafeiriou, I.; Tsiropoulos, N.G.; Monokrousos, N. Assessing the Role of Botanical Nematicide in Enhancing the Structure of the Free-Living Nematode Community. Soil Syst. 2023, 7, 80. [Google Scholar] [CrossRef]
- Aissani, N.; Urgeghe, P.P.; Oplos, C.; Saba, M.; Tocco, G.; Petretto, G.L.; Eloh, K.; Menkissogu-Spiroudi, U.; Ntalli, N.; Caboni, P. Nematicidal Activity of the Volatilome of Eruca sativa on Meloidogyne incognita. J. Agric. Food Chem. 2015, 63, 6120–6125. [Google Scholar] [CrossRef]
- Caboni, P.; Saba, M.; Oplos, C.; Aissani, N.; Maxia, A.; Menkissoglu-Spiroudi, U.; Casu, L.; Ntalli, N. Nematicidal activity of furanocoumarins from parsley against Meloidogyne spp. Pest Manag. Sci. 2015, 71, 1099–1105. [Google Scholar] [CrossRef]
- Ntalli, N.G.; Menkissoglu-Spiroudi, U.; Giannakou, I. Nematicidal activity of powder and extracts of Melia azedarach fruits against Meloidogyne incognita. Ann. Appl. Biol. 2010, 156, 309–317. [Google Scholar] [CrossRef]
- Ntalli, N.; Monokrousos, N.; Rumbos, C.; Kontea, D.; Zioga, D.; Argyropoulou, M.D.; Menkissoglu-Spiroudi, U.; Tsiropoulos, N.G. Greenhouse biofumigation with Melia azedarach controls Meloidogyne spp. and enhances soil biological activity. J. Pest. Sci. 2018, 91, 29–40. [Google Scholar] [CrossRef]
- Cavoski, I.; Chami, Z.A.; Bouzebboudja, F.; Sasanelli, N.; Simeone, V.; Mondelli, D.; Miano, T.; Sarais, G.; Ntalli, N.G.; Caboni, P. Melia azedarach controls Meloidogyne incognita and triggers plant defense mechanisms on cucumber. Crop. Prot. 2012, 35, 85–90. [Google Scholar] [CrossRef]
- OECD Test No. 222: Earthworm Reproduction Test (Eisenia fetida/Eisenia andrei). Available online: https://www.oecd.org/en/publications/test-no-222-earthworm-reproduction-test-eisenia-fetida-eisenia-andrei_9789264264496-en.html (accessed on 3 November 2023).
- OECD Test No. 220: Enchytraeid Reproduction Test. Available online: https://www.oecd.org/en/publications/test-no-220-enchytraeid-reproduction-test_9789264264472-en.html (accessed on 3 November 2023).
- OECD Test No. 202: Daphnia sp. Acute Immobilisation Test. Available online: https://www.oecd.org/en/publications/test-no-202-daphnia-sp-acute-immobilisation-test_9789264069947-en.html (accessed on 3 November 2023).
- OECD Test No. 236: Fish Embryo Acute Toxicity (FET) Test. Available online: https://www.oecd.org/en/publications/test-no-236-fish-embryo-acute-toxicity-fet-test_9789264203709-en.html (accessed on 12 June 2022).
- Popescu, V.S.; Zhang, L.; Papa, G.; Giuliani, C.; Ribaudo, G.; Abate, G.; Bulgari, D.; Mac Sweeney, E.; Pucci, M.; Bottoni, M.; et al. Ecotoxicological evaluation of an aqueous phytoextract of Melia azedarach L. Sci. Total Environ. 2024, 950, 175314. [Google Scholar] [CrossRef]
- Mohan, S.S.; Hilda, S.; Chandrasehar, G.; Goparaju, A. Effect of Spirulina Platensis Extracts on Earthworm, Eisenia Fetida. J. Adv. Sci. Res. 2019, 10, 130–136. [Google Scholar]
- Sharma, A.; Sharma, R.; Arora, R.; Arora, S.; Singh, B.; Sharma, U. Quantitative and Qualitative Analysis of Eruca sativa and Brassica juncea Seeds by UPLC-DAD and UPLC-ESI-QTOF. Nat. Prod. Commun. 2017, 12, 1485–1489. [Google Scholar] [CrossRef]
- Ferreira, F.S.; de Oliveira, V.S.; Chávez, D.W.H.; Chaves, D.S.; Riger, C.J.; Sawaya, A.C.H.F.; Guizellini, G.M.; Sampaio, G.R.; Torres, E.A.F.D.; Saldanha, T. Bioactive compounds of parsley (Petroselinum crispum), chives (Allium schoenoprasum L) and their mixture (Brazilian cheiro-verde) as promising antioxidant and anti-cholesterol oxidation agents in a food system. Food Res. Int. 2022, 151, 110864. [Google Scholar] [CrossRef] [PubMed]
- Benelli, G.; Pavela, R.; Cianfaglione, K.; Sender, J.; Danuta, U.; Maslanko, W.; Canale, A.; Barboni, L.; Petrelli, R.; Zeppa, L.; et al. Ascaridole-rich essential oil from marsh rosemary (Ledum palustre) growing in Poland exerts insecticidal activity on mosquitoes, moths and flies without serious effects on non-target organisms and human cells. Food Chem. Toxicol. 2020, 138, 111184. [Google Scholar] [CrossRef]
- Kowalczyk, A.; Kupczynski, R.; Galeska, E.; Araujo, J.P.; Czerniawska-Piatkowska, E. Clinical Application of Bioextracts in Supporting the Reproductive System of Animals and Humans: Potential and Limitations. Evid. Based Complement. Alternat. Med. 2022, 2022, 4766409. [Google Scholar] [CrossRef] [PubMed]
- Almadiy, A.A.; Nenaah, G.E.; Albogami, B.Z.; Shawer, D.M.; Alasmari, S. Cupressus sempervirens Essential Oil, Nanoemulsion, and Major Terpenes as Sustainable Green Pesticides against the Rice Weevil. Sustainability 2023, 15, 8021. [Google Scholar] [CrossRef]
- Sivanesh, H.; Sundar, N.S.; Senthil-Nathan, S.; Stanley-Raja, V.; Ramasubramanian, R.; Karthi, S.; Chanthini, K.M.P.; Almoallim, H.S.M.; Alharbi, S.A. Toxicity of Suaeda maritima (L) against the Scirpophaga incertulas (W) and Xanthomonas oryzae pv. oryzae (Xoo) disease and its non-target effect on earthworm, Eisenia fetida Savigny. Toxin Rev. 2022, 41, 143–153. [Google Scholar] [CrossRef]
- Žabka, M.; Pavela, R.; Kovaríková, K.; Triska, J.; Vrchotová, N.; Bednár, J. Antifungal and Insecticidal Potential of the Essential Oil from Ocimum sanctum L. against Dangerous Fungal and Insect Species and Its Safety for Non-Target Useful Soil Species Eisenia fetida (Savigny, 1826). Plants 2021, 10, 2180. [Google Scholar] [CrossRef] [PubMed]
- Benelli, G.; Pavela, R.; Cianfaglione, K.; Nagy, D.U.; Canale, A.; Maggi, F. Evaluation of two invasive plant invaders in Europe (Solidago canadensis and Solidago gigantea) as possible sources of botanical insecticides. J. Pest Sci. 2019, 92, 805–821. [Google Scholar] [CrossRef]
- Benelli, G.; Pavela, R.; Petrelli, R.; Cappellacci, L.; Canale, A.; Senthil-Nathan, S.; Maggi, F. Not just popular spices! Essential oils from Cuminum cyminum and Pimpinella anisum are toxic to insect pests and vectors without affecting non-target invertebrates. Ind. Crop. Prod. 2018, 124, 236–243. [Google Scholar] [CrossRef]
- Sundar, N.S.; Karthi, S.; Sivanesh, H.; Stanley-Raja, V.; Chanthini, K.M.P.; Ramasubramanian, R.; Ramkumar, G.; Ponsankar, A.; Narayanan, K.R.; Vasantha-Srinivasan, P.; et al. Efficacy of Precocene I from Desmosstachya bipinnata as an effective bioactive molecules against the Spodoptera litura fab. and its impact on Eisenia fetida savigny. Molecules 2021, 26, 6384. [Google Scholar] [CrossRef]
- Ponsankar, A.; Sahayaraj, K.; Senthil-Nathan, S.; Vasantha-Srinivasan, P.; Karthi, S.; Thanigaivel, A.; Petchidurai, G.; Madasamy, M.; Hunter, W.B. Toxicity and developmental effect of cucurbitacin E from Citrullus colocynthis L. (Cucurbitales: Cucurbitaceae) against Spodoptera litura Fab. and a non-target earthworm Eisenia fetida Savigny. Environ. Sci. Pollut. Res. Int. 2020, 27, 23390–23401. [Google Scholar] [CrossRef]
- Pavela, R.; Pavoni, L.; Bonacucina, G.; Cespi, M.; Kavallieratos, N.G.; Cappellacci, L.; Petrelli, R.; Maggi, F.; Benelli, G. Rationale for developing novel mosquito larvicides based on isofuranodiene microemulsions. J. Pest. Sci. 2019, 92, 909–921. [Google Scholar] [CrossRef]
- Zhao, R.; Wang, H.H.; Gao, J.; Zhang, Y.J.; Li, X.; Zhou, J.J.; Liang, P.; Gao, X.W.; Gu, S.H. Plant volatile compound methyl benzoate is highly effective against and safe to non-target organisms as an eco-friendly botanical-insecticide. Ecotox. Environ. Safe 2022, 245, 114101. [Google Scholar] [CrossRef]
- Maphanga, V.B.; Skalicka-Wozniak, K.; Budzynska, B.; Enslin, G.M.; Viljoen, A.M. Screening selected medicinal plants for potential anxiolytic activity using an in vivo zebrafish model. Psychopharmacology 2020, 237, 3641–3652. [Google Scholar] [CrossRef] [PubMed]


| Endpoint | E. fetida | En. albidus | ||||
|---|---|---|---|---|---|---|
| Control | M. azedarach | P. crispum | E. sativa | Control | M. azedarach | |
| Mortality of adult worms after 4 weeks (%) | 0.0 | 0.0 | 0.0 | 0.0 | 2.5 | 5.0 |
| Mean biomass change 1 (%) | 2.3 ± 1.1 | 3.4 ± 1.0 a | 5.0 ± 2.9 a | 6.2 ± 1.2 b | n.a. | n.a. |
| Mean number of juveniles 2 | 129.0 ± 3.6 | 128.3 ± 4.5 a | 164.0 ± 18.4 b | 125.0 ± 3.5 a | 26.5 ± 3.8 | 26.8 ± 3.5 a |
| Change of reproduction compared to control 3 (%) | - | 0.5 | −27.1 4 | 3.1 | - | −0.9 |
| NOECbiomass | - | ≥1000 mg test item/kg dry soil | ≥1000 mg test item/kg dry soil | ≥1000 mg test item/kg dry soil | - | n.a. |
| NOECreproduction | - | ≥1000 mg test item/kg dry soil | ≥1000 mg test item/kg dry soil | ≥1000 mg test item/kg dry soil | - | ≥1000 mg test item/kg dry soil |
| LC50 | - | >1000 mg test item/kg dry soil | >1000 mg test item/kg dry soil | >1000 mg test item/kg dry soil | - | >1000 mg test item/kg dry soil |
| Tested Extract | Treatment Groups (% Immobilization/Mortality, n = 4) | |||||
|---|---|---|---|---|---|---|
| 0 (Control) | 10 mg/L | 18 mg/L | 32 mg/L | 56 mg/L | 100 mg/L | |
| M. azedarach | 0.0 | 9.5 | 5.0 | 9.5 | 5.0 | 31.8 |
| P. crispum | 0.0 | Not tested | 5.0 | |||
| E. sativa | 0.0 | Not tested | 5.0 | |||
| Extract | Tested Concentrations (mg/L) | ||||
|---|---|---|---|---|---|
| 0 | 0.1 | 1 | 10 | 100 | |
| M. azedarach | 0.0 | 0.0 | 0.0 | 7.5 | 100 |
| P. crispum | 0.0 | 0.0 | 0.0 | 0.0 | 10.0 |
| E. sativa | 0.0 | 0.0 | 0.0 | 5.0 | 0.0 |
| Extract | Tested Concentrations (mg/L) | |||||
|---|---|---|---|---|---|---|
| M. azedarach | 0 | 5.0 | 10.0 | 20.0 | 40.0 | 80.0 |
| 0.0 | 0.0 | 0.0 | 7.5 | 22.5 | 82.5 | |
| P. crispum | 0 | 6.25 | 12.5 | 25.0 | 50.0 | 100.0 |
| 0.0 | 0.0 | 0.0 | 0.0 | 0.0 | 0.0 | |
| E. sativa | 0.0 | 0.0 | 0.0 | 0.0 | 0.0 | 0.0 |
Disclaimer/Publisher’s Note: The statements, opinions and data contained in all publications are solely those of the individual author(s) and contributor(s) and not of MDPI and/or the editor(s). MDPI and/or the editor(s) disclaim responsibility for any injury to people or property resulting from any ideas, methods, instructions or products referred to in the content. |
© 2025 by the authors. Licensee MDPI, Basel, Switzerland. This article is an open access article distributed under the terms and conditions of the Creative Commons Attribution (CC BY) license (https://creativecommons.org/licenses/by/4.0/).
Share and Cite
Anastasiadou, P.; Ntalli, N.; Kyriakopoulou, K.; Kasiotis, K.M. Nematicidal Extracts of Chinaberry, Parsley and Rocket Are Safe to Eisenia fetida, Enchytraeus albidus, Daphnia magna and Danio rerio. Agriculture 2025, 15, 436. https://doi.org/10.3390/agriculture15040436
Anastasiadou P, Ntalli N, Kyriakopoulou K, Kasiotis KM. Nematicidal Extracts of Chinaberry, Parsley and Rocket Are Safe to Eisenia fetida, Enchytraeus albidus, Daphnia magna and Danio rerio. Agriculture. 2025; 15(4):436. https://doi.org/10.3390/agriculture15040436
Chicago/Turabian StyleAnastasiadou, Pelagia, Nikoletta Ntalli, Katerina Kyriakopoulou, and Konstantinos M. Kasiotis. 2025. "Nematicidal Extracts of Chinaberry, Parsley and Rocket Are Safe to Eisenia fetida, Enchytraeus albidus, Daphnia magna and Danio rerio" Agriculture 15, no. 4: 436. https://doi.org/10.3390/agriculture15040436
APA StyleAnastasiadou, P., Ntalli, N., Kyriakopoulou, K., & Kasiotis, K. M. (2025). Nematicidal Extracts of Chinaberry, Parsley and Rocket Are Safe to Eisenia fetida, Enchytraeus albidus, Daphnia magna and Danio rerio. Agriculture, 15(4), 436. https://doi.org/10.3390/agriculture15040436

