The Responses of Crop Yield and Greenhouse Gas Emissions to Straw Returning from Staple Crops: A Meta-Analysis
Abstract
1. Introduction
2. Materials and Methods
2.1. Dataset Compilation
2.2. Data Classification
2.3. The Meta-Analysis
2.4. The Statistical Analysis
3. Results
3.1. Meta-Data Overview
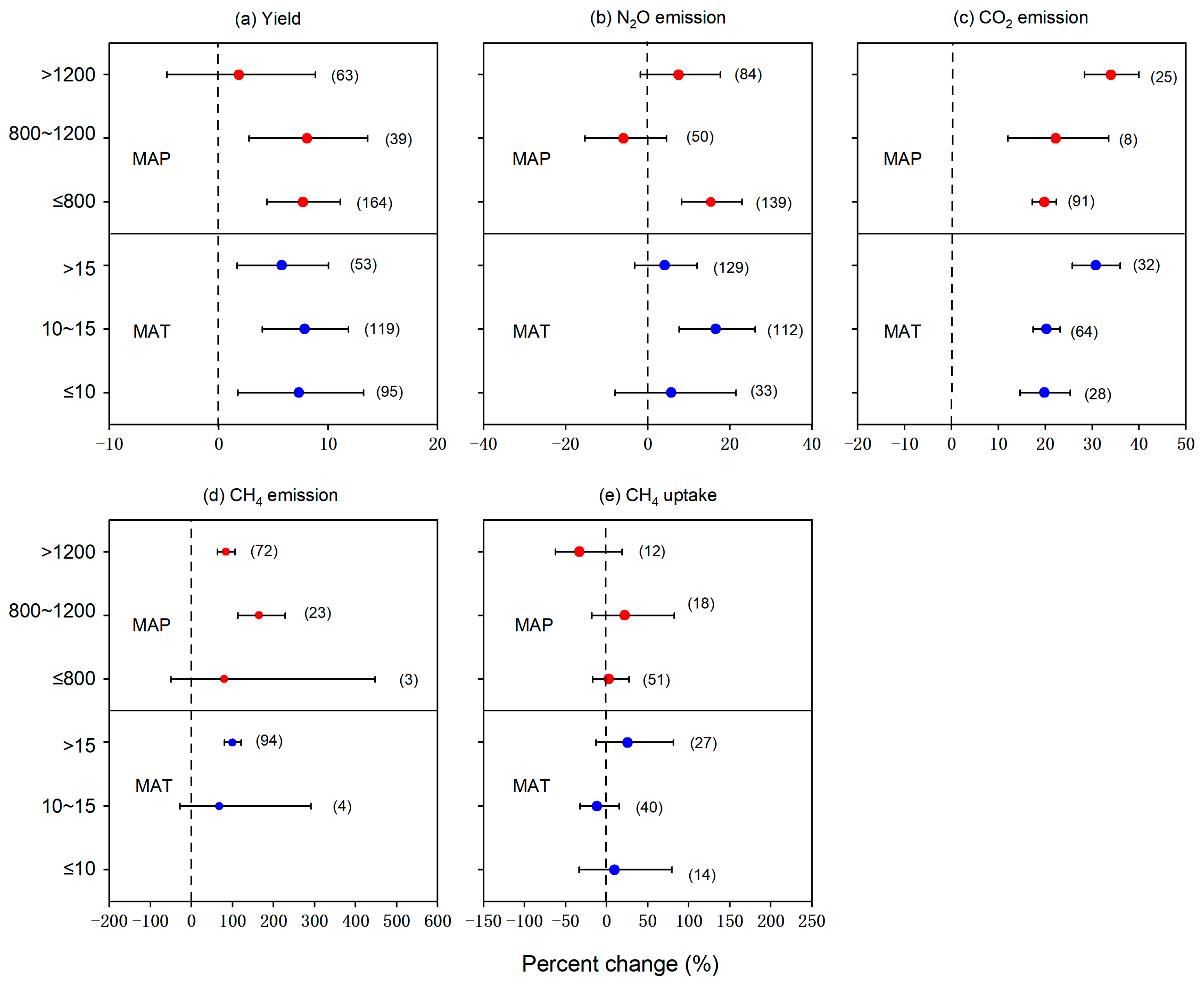
3.2. Crop Yield and GHG Emissions as Affected by Climatic Conditions
3.3. Crop Yield and GHG Emissions as Affected by the Soil Properties
3.4. Crop Yield and GHG Emissions as Affected by Field Management Practices
3.5. The Difference in the Response of Crop Yield and GHG Emissions to Influencing Factors
4. Discussion
4.1. Straw Returning and Yield
4.2. Straw Returning and N2O Emissions
4.3. Straw Returning and CO2 Emissions
4.4. Straw Returning and CH4 Fluxes
5. Conclusions
Supplementary Materials
Author Contributions
Funding
Institutional Review Board Statement
Data Availability Statement
Conflicts of Interest
References
- IPCC. Climate Change 2014-Mitigation of Climate Change: Working Group I Contribution to the Fourth Assessment Report of the IPCC; CambRidge University Press: Cambridge, UK, 2014. [Google Scholar]
- IPCC. Climate Change 2013 the Physical Science Basis: Working Group I Contribution to the Fifth Assessment Report of the IPCC; Cambridge University Press: Cambridge, UK, 2013. [Google Scholar]
- Fischer, R.A.; Connor, D.J. Issues for cropping and agricultural science in the next 20 years. Field Crops Res. 2018, 222, 121–142. [Google Scholar] [CrossRef]
- Huang, W.; Wu, J.F.; Pan, X.H.; Tan, X.M.; Zeng, Y.J.; Shi, Q.H.; Liu, T.J.; Zeng, Y.H. Effects of long-term straw return on soil organic carbon fractions and enzyme activities in a double-cropped rice paddy in South China. J. Integr. Agr. 2021, 20, 236–247. [Google Scholar] [CrossRef]
- Guo, C.; Li, M.; Chen, H. Study on the Influencing Factors of Green Agricultural Subsidies on Straw Resource Utilization Technology Adopted by Farmers in Heilongjiang Province, China. Agriculture 2025, 15, 93. [Google Scholar] [CrossRef]
- Gao, L.W.; Ma, L.; Zhang, W.F.; Wang, F.H.; Ma, W.Q.; Zhang, F.S. Estimation of nutrient resource quantity of crop straw and its utilization situation in China. Trans. Chin. Soc. Agric. Eng. 2009, 25, 173–179. (In Chinese) [Google Scholar]
- Liu, X.Y.; Li, S.T. Temporal and spatial distribution characteristics of crop straw nutrient resources and returning to farmland in China. Trans. Chin. Soc. Agric. Eng. 2017, 33, 1–19. (In Chinese) [Google Scholar]
- Hu, Y.J.; Sun, B.H.; Wu, S.F.; Feng, H.; Gao, M.X.; Zhang, B.B.; Liu, Y.Y. After-effects of straw and straw-derived biochar application on crop growth, yield, and soil properties in wheat (Triticum aestivum L.) -maize (Zea mays L.) rotations: A four-year field experiment. Sci. Total Environ. 2021, 780, 146560. [Google Scholar] [CrossRef]
- Meng, F.; Dungait, J.A.J.; Xu, X.; Bol, R.; Zhang, X.; Wu, W. Coupled incorporation of maize (Zea mays L.) straw with nitrogen fertilizer increased soil organic carbon in Fluvic Cambisol. Geoderma 2017, 304, 19–27. [Google Scholar] [CrossRef]
- Liu, E.; Yan, C.R.; Mei, X.R.; He, W.Q.; Bing, S.H.; Ding, L.P.; Liu, Q.; Liu, S.; Fan, T.L. Long-term effect of chemical fertilizer, straw, and manure on soil chemical and biological properties in northwest China. Geoderma 2010, 158, 173–180. [Google Scholar] [CrossRef]
- Huang, S.; Zeng, Y.J.; Wu, J.F.; Shi, Q.H.; Pan, X.H. Effect of crop residue retention on rice yield in China: A meta-analysis. Field Crop. Res. 2013, 154, 188–194. [Google Scholar] [CrossRef]
- Taa, A.; Tanner, D.; Bennie, A.T.P. Effects of stubble management, tillage and cropping sequence on wheat production in the south-eastern highlands of Ethiopia. Soil Tillage Res. 2004, 76, 69–82. [Google Scholar] [CrossRef]
- Dong, Q.G.; Yang, Y.C.; Yu, K.; Feng, H. Effects of straw mulching and plastic film mulching on improving soil organic carbon and nitrogen fractions, crop yield and water use efficiency in the Loess Plateau, China. Agric. Water Manag. 2018, 201, 133–143. [Google Scholar] [CrossRef]
- Chai, R.S.; Wang, Q.Y.; Ye, X.X.; Jiang, B.; Zhao, Q.; Wang, Q.; Zhang, L.G.; Gao, H.J. Nitrogen resource quantity of main grain crop straw in China and the potential of synthetic nitrogen substitution under straw returning. J. Agro-Environ. Sci. 2019, 38, 2583–2593. (In Chinese) [Google Scholar]
- Heintze, G.; Eickenscheidt, T.; Schmidhalter, U.; Drosier, M. Influence of soil organic carbon on greenhouse gas emission potential after application of biogas residues or cattle slurry: Results from a pot experiment. Pedosphere 2017, 27, 807–821. [Google Scholar] [CrossRef]
- Li, S.; Li, Y.B.; Li, X.S.; Tian, X.H.; Zhao, A.Q.; Wang, S.J.; Wang, S.X.; Shi, J.L. Effect of straw management on carbon sequestration and grain production in a maize-wheat cropping system in Anthrosol of the Guanzhong Plain. Soil Till. Res. 2016, 157, 43–51. [Google Scholar] [CrossRef]
- Al-Kaisi, M.M.; Yin, X. Tillage and crop residue effects on soil carbon and carbon dioxide emission in corn-soybean rotations. J. Environ. Qual. 2005, 34, 437–445. [Google Scholar] [CrossRef] [PubMed]
- Yao, Z.S.; Zheng, X.; Wang, R.; Xie, B.H.; Butterbach-Bahl, K.; Zhu, J.G. Nitrous oxide and methane fluxes from a rice–wheat crop rotation under wheat residue incorporation and no-tillage practices. Atmos. Environ. 2013, 79, 641–649. [Google Scholar] [CrossRef]
- Wang, L.; Qin, T.; Liu, T.Q.; Guo, L.J.; Zhai, Z. Inclusion of microbial inoculants with straw mulch enhances grain yields from rice fields in central China. Food Energy Secur. 2020, 9, e230. [Google Scholar] [CrossRef]
- Zhang, D.X.; Pan, G.X.; Wu, G.; Kibue, G.W.; Li, L.; Zhang, X.; Zheng, J.; Zheng, J.; Cheng, J.; Joseph, S. Biochar helps enhance maize productivity and reduce greenhouse gas emissions under balanced fertilization in a rainfed low fertility inceptisol. Chemosphere 2016, 142, 106–113. [Google Scholar] [CrossRef] [PubMed]
- Lin, S.; Iqbal, J.; Hu, R.G.; Shaaban, M.; Cai, J.B.; Chen, X. Nitrous oxide emissions from yellow brown soil as affected by incorporation of crop residues with different carbon-to-nitrogen ratios: A case study in central China. Arch. Environ. Contam. Toxicol. 2013, 65, 183–192. [Google Scholar] [CrossRef] [PubMed]
- Pei, S.W.; Zhang, Y.Y.; Liu, J.F.; Mu, Y.J.; Lun, X.X. Greenhouse gas emission under the treatments of fertilization and wheat straw returning during the maize growing seasons. Environ. Chem. 2012, 31, 407–413. [Google Scholar]
- Yeboah, S.; Zhang, R.; Cai, L.; Song, M.; Li, L.L.; Xie, J.H.; Luo, Z.Z.; Wu, J.; Zhang, J. Greenhouse gas emissions in a spring wheat-feld pea sequence under diferent tillage practices in semi-arid Northwest China. Nutr. Cycl. Agroecosyst. 2016, 106, 77–91. [Google Scholar] [CrossRef]
- Chen, H.; Liu, J.; Zhang, A.; Chen, J.; Cheng, G.; Sun, B.; Pi, X.; Dyck, M.; Si, B.; Zhao, Y.; et al. Effects of straw and plastic film mulching on greenhouse gas emissions in Loess Plateau, China: A field study of 2 consecutive wheat-maize rotation cycles. Sci. Total Environ. 2017, 579, 814–824. [Google Scholar] [CrossRef] [PubMed]
- Gao, F.; Li, B.; Ren, B.; Zhao, B.; Liu, P.; Zhang, J. Effects of residue management strategies on greenhouse gases and yield under double cropping of winter wheat and summer maize. Sci. Total Environ. 2019, 687, 1138–1146. [Google Scholar] [CrossRef] [PubMed]
- Zheng, J.; Wang, H.; Fan, J.; Zhang, F.; Guo, J.; Lao, Z.; Zhuang, Q. Wheat straw mulching with nitrification inhibitor application improves grain yield and economic benefit while mitigating gaseous emissions from a dryland maize field in northwest China. Field Crop. Res. 2021, 265, 108125. [Google Scholar] [CrossRef]
- Wang, N.J.; Ding, D.Y.; Malone, R.W.; Chen, H.X.; Wei, Y.S.; Zhang, T.B.; Luo, X.Q.; Li, C.; Chu, X.S.; Feng, H. When does plastic-film mulching yield more for dryland maize in the Loess Plateau of China? A meta-analysis. Agric. Water Manag. 2020, 240, 106290. [Google Scholar] [CrossRef]
- Du, Y.; Cui, B.; Zhang, Q.; Wang, Z.; Sun, J.; Niu, W. Effects of manure fertilizer on crop yield and soil properties in China: A meta-analysis. Catena 2020, 193, 104617. [Google Scholar] [CrossRef]
- Hedges, L.V.; Gurevitch, J.; Curtis, P.S. The meta-analysis of response ratios in experimental ecology. Ecology 1999, 80, 1150–1156. [Google Scholar] [CrossRef]
- Wei, H.H.; Zhang, F.; Zhang, K.P.; Qin, R.Z.; Zhang, W.J.; Sun, G.J.; Huang, J. Effects of soil mulching on staple crop yield and greenhouse gas emissions in China: A meta-analysis. Field Crop. Res. 2022, 284, 108566. [Google Scholar] [CrossRef]
- Palmieri, N.; Forleo, M.B.; Giannoccaro, G.; Suardi, A. Environmental impact of cereal straw management: An on-farm assessment. J. Clean. Prod. 2017, 142, 2950–2964. [Google Scholar] [CrossRef]
- Liu, P.; He, J.; Li, H.W.; Wang, Q.J.; Lu, C.Y.; Zheng, K.; Liu, W.Z.; Zhao, H.B.; Lou, S.Y. Effect of straw retention on crop yield, soil properties, water use efficiency and greenhouse gas emission in China: A Meta-Analysis. Int. J. Plant Prod. 2019, 113, 347–367. [Google Scholar] [CrossRef]
- Zhang, J.; Wang, H.; Liu, J.; Chen, H.; Du, Y.; Li, J.; Sun, H.; Peng, T.; Zhao, Q. Influence of water potential and soil type on conventional japonica super rice yield and soil enzyme activities. J. Integr. Agric. 2017, 16, 1044–1052. [Google Scholar] [CrossRef]
- Schmidt, M.W.I.; Torn, M.S.; Abiven, S.; Dittmar, T.; Guggenberger, G.; Janssens, I.A.; Kleber, M.; Kogel-Knabner, I.; Lehmann, J.; Manning, D.A.C. Persistence of soil organic matter as an ecosystem property. Nature 2011, 478, 49. [Google Scholar] [CrossRef] [PubMed]
- Wang, H.H.; Shen, M.X.; Hui, D.F.; Chen, J.; Sun, G.F.; Wang, X.; Lu, C.Y.; Sheng, J.; Chen, L.G.; Luo, Y.Q.; et al. Straw incorporation influences soil organic carbon sequestration, greenhouse gas emission, and crop yields in a Chinese rice (Oryza sativa L.)-wheat (Triticum aestivum L.) cropping system. Soil Tillage Res. 2019, 195, 104377. [Google Scholar] [CrossRef]
- Barros, M.V.; Salvador, R.; Francisco, A.C.; Piekarski, C.M. Mapping of research lines on circular economy practices in agriculture: From waste to energy. Renew. Renew. Sustain. Energy Rev. 2020, 131, 109958. [Google Scholar] [CrossRef]
- Liu, C.; Lu, M.; Cui, J.; Li, B.; Fang, C. Effects of straw carbon input on carbon dynamics in agricultural soils: A meta-analysis. Glob. Chang. Biol. 2014, 20, 1366–1381. [Google Scholar] [CrossRef]
- Arunrat, N.; Kongsurakan, P.; Sereenonchai, S.; Hatano, R. Soil organic carbon in sandy paddy fields of northeast Thailand: A review. Agronomy 2020, 10, 1061. [Google Scholar] [CrossRef]
- Blanco-Canqui, H.; Lal, R. Impacts of long-term wheat straw management on soil hydraulic properties under no-tillage. Soil Sci. Soc. Am. J. 2007, 71, 1166–1173. [Google Scholar] [CrossRef]
- Li, J.; Ye, X.; Zhang, Y.; Chen, J.; Yu, N.; Zou, H. Maize straw deep-burying promotes soil bacteria community abundance and improves soil fertility. J. Soil Sci. Plant Nut. 2021, 2, 1397–1407. [Google Scholar] [CrossRef]
- Zou, H.T.; Ye, X.H.; Li, J.Q.; Lu, J.; Fan, Q.F.; Yu, N.; Zhang, Y.L.; Dang, X.L.; Zhang, Y.L. Effects of straw return in deep soils with urea addition on the soil organic carbon fractions in a semi-arid temperate cornfield. PLoS ONE 2016, 11, 0153214. [Google Scholar] [CrossRef] [PubMed]
- Wang, X.D.; He, C.; Cheng, H.Y.; Liu, B.Y.; Li, S.S.; Wang, Q.; Liu, Y.; Zhao, X.; Zhang, H.L. Responses of greenhouse gas emissions to residue returning in China’s croplands and influential factors: A meta-analysis. J. Environ. Manag. 2021, 289, 112486. [Google Scholar] [CrossRef]
- Liang, F.; Li, B.; Vogt, R.D.; Mulder, J.; Song, H.; Chen, J.; Guo, J. Straw return exacerbates soil acidification in major Chinese croplands. Resour. Conserv. Recycl. 2023, 198, 107176. [Google Scholar] [CrossRef]
- Long, S.P.; Zhu, X.G.; Naidu, S.L.; Ort, D.R. Can improvement in photosynthesis increase crop yields? Plant Cell Environ. 2006, 29, 315–330. [Google Scholar] [CrossRef]
- Lu, X.L. A meta-analysis of the effects of crop residue return on crop yields and water use efficiency. PLoS ONE 2020, 15, e0231740. [Google Scholar] [CrossRef] [PubMed]
- Qin, W.; Hu, C.S.; Oenema, O. Soil mulching significantly enhances yields and water and nitrogen use efficiencies of maize and wheat: A meta-analysis. Sci. Rep. 2015, 5, 16210. [Google Scholar] [CrossRef] [PubMed]
- Zhang, Z.Q.; Qiang, H.J.; McHugh, A.D.; He, J.; Li, H.W.; Wang, Q.J.; Lu, Z.Y. Effect of conservation farming practices on soil organic matter and stratification in a mono-cropping system of Northern China. Soil Tillage Res. 2016, 156, 173–181. [Google Scholar] [CrossRef]
- Li, Z.; Yang, X.; Cui, S.; Yang, Q.; Yang, X.l.; Li, J.; Shen, Y. Developing sustainable cropping systems by integrating crop rotation with conservation tillage practices on the Loess Plateau, a long-term imperative. Field Crop. Res. 2018, 222, 164–179. [Google Scholar] [CrossRef]
- Luo, G.J.; Kiese, R.; Wolf, B.; Butterbach-Bahl, K. Effects of soil temperature and moisture on methane uptake and nitrous oxide emissions across three different ecosystem types. Biogeosciences 2013, 10, 3205–3219. [Google Scholar] [CrossRef]
- Pärn, J.; Verhoeven, J.T.A.; Butterbach-Bahl, K.; Dise, N.B.; Ullah, S.; Aasa, A.; Egorov, S.; Espenberg, M.; Järveoja, J.; Jauhiainen, J.; et al. Nitrogen-rich organic soils under warm well-drained conditions are global nitrous oxide emission hotspots. Nat. Commun. 2018, 9, 1–8. [Google Scholar]
- Guo, C.; Liu, X. Effect of soil mulching on agricultural greenhouse gas emissions in China: A meta-analysis. PLoS ONE 2022, 17, e0262120. [Google Scholar] [CrossRef] [PubMed]
- Liu, C.Y.; Wang, K.; Meng, S.X.; Zheng, X.H.; Zhou, Z.X.; Han, S.H.; Chen, D.L.; Yang, Z.P. Effects of irrigation, fertilization and crop straw management on nitrous oxide and nitric oxide emissions from a wheat–maize rotation field in northern China. Agric. Ecosyst. Environ. 2011, 140, 226–233. [Google Scholar] [CrossRef]
- Chen, H.; Li, X.; Hu, F.; Shi, W. Soil nitrous oxide emissions following crop residue addition: A meta-analysis. Glob. Chang. Biol. 2013, 19, 2956–2964. [Google Scholar] [CrossRef] [PubMed]
- Echegaray-Cabrera, I.; Cruz-Villacorta, L.; Ramos-Fernández, L.; Bonilla-Cordova, M.; Heros-Aguilar, E.; Flores del Pino, L. Effect of alternate wetting and drying on the emission of greenhouse gases from rice fields on the northern coast of Peru. Agronomy 2024, 14, 0248. [Google Scholar] [CrossRef]
- Ma, E.D.; Zhang, G.B.; Ma, J.; Xu, H.; Cai, Z.C.; Yagi, C.K. Effects of rice straw returning methods on N2O emission during wheat-growing season. Nutr. Cycl. Agroecosyst. 2010, 88, 463–469. [Google Scholar] [CrossRef]
- Zhang, R.; Zhao, X.; Chao, P.; Liu, S.L.; Xue, J.F.; Zhang, X.Q.; Chen, F.; Zhang, H.L. Meta-analysis on effects of residue retention on soil N2O emissions and influence factors in China. Trans. Chin. Soc. Agric. Eng. 2015, 11, 1–6. [Google Scholar]
- Huang, T.T.; Wen, S.Y.; Zhang, M.X.; Pan, Y.Y.; Chen, X.P.; Pu, X.; Zhang, M.M.; Dang, P.F.; Meng, M.; Wang, W.; et al. Effect on greenhouse gas emissions (CH4 and N2O) of straw mulching or its incorporation in farmland ecosystems in China. Sustain. Prod. Consum. 2024, 46, 223–232. [Google Scholar] [CrossRef]
- Huang, Q.; Zhang, G.; Song, K.; Zhu, X.; Shen, W.; Xu, H. Dynamic interactions of nitrogen fertilizer and straw application on greenhouse gas emissions and sequestration of soil carbon and nitrogen: A 13-year field study. Agr. Ecosyst. Environ. 2022, 325, 107753. [Google Scholar] [CrossRef]
- Oorts, K.; Merckx, R.; Gréhan, E.; Labreuche, J.; Nicolardot, B. Determinants of annual fluxes of CO2 and N2O in long-term no-tillage and conventional tillage systems in northern France. Soil Tillage Res. 2007, 95, 133–148. [Google Scholar] [CrossRef]
- Feng, J.; Chen, C.; Zhang, Y.; Song, Z.; Deng, A.; Zheng, C.; Zhang, W. Impacts of cropping practices on yield-scaled greenhouse gas emissions from rice fields in China: A meta-analysis. Agric. Ecosyst. Environ. 2013, 164, 220–228. [Google Scholar] [CrossRef]
- Wang, H.M.; Zheng, J.; Fun, J.L.; Zhang, F.C.; Huang, C.H. Grain yield and greenhouse gas emissions from maize and wheat fields under plastic film and straw mulching: A meta-analysis. Field Crop Res. 2021, 270, 108210. [Google Scholar] [CrossRef]
- Hu, Y.J.; Li, D.H.; Wu, Y.; Liu, S.Y.; Li, L.; Chen, W.Q.; Wu, S.F.; Meng, Q.X.; Feng, H.; Siddique, K.H.M. Mitigating greenhouse gas emissions by replacing inorganic fertilizer with organic fertilizer in wheat–maize rotation systems in China. J. Environ. Manag. 2023, 344, 118494. [Google Scholar] [CrossRef] [PubMed]
- Tang, J.; Han, Y.; Liu, S.; Li, Z.Y.; Li, N. Diurnal variation of soil CO2 fluxes in different land use types during growing season in Western Jilin Province. Ecol. Environ. Sci. 2012, 21, 33–37. (In Chinese) [Google Scholar]
- Kasper, M.; Buchan, G.D.; Mentler, A.; Blum, W.E.H. Influence of soil tillage systems on aggregate stability and the distribution of C and N in different aggregate fractions. Soil Tillage Res. 2009, 105, 192–199. [Google Scholar] [CrossRef]
- Weller, S.; Kraus, D.; Ayag, K.; Wassmann, R.; Alberto, M.; Butterbach-Bahl, K.; Kiese, R. Methane and nitrous oxide emissions from rice and maize production in diversified rice cropping systems. Nutr. Cycl. Agroecosyst. 2015, 101, 37–53. [Google Scholar] [CrossRef]
- Yan, Z.W.; Tang, S.R.; He, Z.L.; Cheng, H.G.; Twagirayezu, G.; Zhao, J.S.; Xiang, R.B.; Hu, R.G.; Lin, S. Biochar addition under straw return reduces carbon dioxide and nitrous oxide emissions in acidic tea field soil. J. Environ. Manag. 2024, 370, 122498. [Google Scholar] [CrossRef] [PubMed]
- He, Z.J.; Cao, H.X.; Qi, C.; Hu, Q.Y.; Liang, J.P.; Li, Z.J. Straw management in paddy fields can reduce greenhouse gas emissions: A global meta-analysis. Field Crop. Res. 2024, 306, 109218. [Google Scholar] [CrossRef]
- Wang, N.; Yu, J.G.; Zhao, Y.H.; Chang, Z.Z.; Shi, X.X.; Ma, L.Q.; Li, H.B. Straw enhanced CO2 and CH4 but decreased N2O emissions from flooded paddy soils: Changes in microbial community compositions. Atmos. Environ. 2018, 174, 171–179. [Google Scholar] [CrossRef]
- Vermoesen, A.; Ramon, H.; Cleemput, O.; Faculteit, V.D.L. Composition of the soil gas phase: Permanent gases and hydrocarbons. Pedologie 1991, 41, 119–132. [Google Scholar]
- Cuello, J.P.; Hwang, H.Y.; Gutierrez, J.; Kim, S.Y.; Kim, P.J. Impact of plastic film mulching on increasing greenhouse gas emissions in temperate upland soil during maize cultivation. Appl. Soil Ecol. 2015, 91, 48–57. [Google Scholar] [CrossRef]
- Jiang, Y.; Qian, H.; Huang, S.; Zhang, X.; Wang, L.; Zhang, L.; Shen, M.; Xiao, X.; Chen, F.; Zhang, H.; et al. Acclimation of methane emissions from rice paddy fields to straw addition. Sci. Adv. 2019, 5, eaau9038. [Google Scholar] [CrossRef]
- Abdalla, M.; Osborne, B.; Lanigan, G.; Forristal, D.; Williams, M.; Smith, P.; Jones, M.B. Conservation tillage systems: A review of its consequences for greenhouse gas emissions. Soil Use Manag. 2013, 29, 199–209. [Google Scholar] [CrossRef]
- Li, Y.; Hou, C.; Li, Y.; Guo, Z. Effects of no-till and straw mulch on greenhouse gas emission from farmland: A review. Ecol. Environ. Sci. 2014, 23, 1076–1083. (In Chinese) [Google Scholar]








| Climate | Soil Properties | Field Management Practices | ||||||||
|---|---|---|---|---|---|---|---|---|---|---|
| MAP (mm) | MAT (°C) | SOC (g kg–1) | pH | TN (g kg–1) | Crop Type | NFAR (kg ha–1) | SRM | Return Percentage | Return Duration (Years) | Tillage Method |
| <800 | ≤10 | ≤10 | ≤6.5 | ≤0.9 | Wheat | ≤120 | Others | Full | <3 | None |
| 800–1200 | 10–15 | 10–15 | 6.5–7.5 | 0.9–1.5 | Maize | 120–180 | MR | Partial | 3–7 | Plow |
| ≥1200 | >15 | 15–20 | >7.5 | >1.5 | Rice | 180–240 | ≥7 | Rotary | ||
| >20 | >240 | |||||||||
Disclaimer/Publisher’s Note: The statements, opinions and data contained in all publications are solely those of the individual author(s) and contributor(s) and not of MDPI and/or the editor(s). MDPI and/or the editor(s) disclaim responsibility for any injury to people or property resulting from any ideas, methods, instructions or products referred to in the content. |
© 2025 by the authors. Licensee MDPI, Basel, Switzerland. This article is an open access article distributed under the terms and conditions of the Creative Commons Attribution (CC BY) license (https://creativecommons.org/licenses/by/4.0/).
Share and Cite
Hu, Y.; Ma, P.; Yang, Z.; Liu, S.; Li, Y.; Li, L.; Wang, T.; Siddique, K.H.M. The Responses of Crop Yield and Greenhouse Gas Emissions to Straw Returning from Staple Crops: A Meta-Analysis. Agriculture 2025, 15, 408. https://doi.org/10.3390/agriculture15040408
Hu Y, Ma P, Yang Z, Liu S, Li Y, Li L, Wang T, Siddique KHM. The Responses of Crop Yield and Greenhouse Gas Emissions to Straw Returning from Staple Crops: A Meta-Analysis. Agriculture. 2025; 15(4):408. https://doi.org/10.3390/agriculture15040408
Chicago/Turabian StyleHu, Yajin, Penghui Ma, Zhihao Yang, Siyuan Liu, Yingchao Li, Ling Li, Tongchao Wang, and Kadambot H. M. Siddique. 2025. "The Responses of Crop Yield and Greenhouse Gas Emissions to Straw Returning from Staple Crops: A Meta-Analysis" Agriculture 15, no. 4: 408. https://doi.org/10.3390/agriculture15040408
APA StyleHu, Y., Ma, P., Yang, Z., Liu, S., Li, Y., Li, L., Wang, T., & Siddique, K. H. M. (2025). The Responses of Crop Yield and Greenhouse Gas Emissions to Straw Returning from Staple Crops: A Meta-Analysis. Agriculture, 15(4), 408. https://doi.org/10.3390/agriculture15040408

