Abstract
Understanding how agricultural conservation practices influence soil and rhizosphere microbiomes is critical for advancing sustainable crop production and soil health. While Panicum virgatum L. (switchgrass) is widely used in conservation agriculture for its potential to enhance soil carbon storage, limited research has explored how planting density and cultivar selection affect microbial communities and soil properties. This study aimed to evaluate the effects of four switchgrass cultivars planted at two densities on soil and root microbiomes, as well as key edaphic parameters, over a growing season in a common garden experiment in southeast Mississippi. High planting density resulted in higher soil carbon and organic matter, and marginally higher soil nitrogen, but had negligible effects on the microbiomes. In contrast, switchgrass cultivars minimally affected soil properties, but differed in their microbiomes. Both microbiomes and soil properties varied temporally, likely due to plant nutrient uptake and microbial activity. These findings demonstrate that while planting density can enhance soil carbon sequestration, microbiomes are strongly shaped by cultivar selection and temporal dynamics. This study contributes to optimizing conservation agriculture practices to promote soil health and long-term ecosystem sustainability.
1. Introduction
Panicum virgatum L. (switchgrass) is a perennial warm-season grass native to North America and widely adapted across diverse climates and soil types. Its resilience to biotic and abiotic stress, low input requirements, and perennial growth habit make it an excellent candidate for conservation agriculture. Switchgrass stands provide essential ecosystem services, including soil, water, and wildlife conservation, carbon sequestration, and restoration of nutrient- and water-limited marginal lands [1,2,3].
Switchgrass adaptability to diverse environmental conditions across North America has led to the development of distinct upland and lowland ecotypes that differ in traits such as yield potential, climate tolerance, disease resistance, and nutrient use efficiency [1,4,5,6,7,8,9]. These traits are particularly important in low-fertility soils typical of marginal lands targeted for sustainable agriculture. As interest grows in optimizing switchgrass for low-input systems, increasing attention has been given to its interactions with root- and soil-associated microbiomes, which influence plant health, productivity, and long-term soil function [10,11,12,13,14,15,16].
Plants host diverse microbiomes in all tissues, primarily composed of local soil bacteria [17]. However, both biotic and abiotic factors can rapidly alter the composition, diversity, and function of these microbial communities [6,18,19,20]. Prior studies have concluded that mindful switchgrass microbiome manipulation has the potential to enhance plant growth and productivity [21,22], reduce the plant abiotic stress [18,23,24], facilitate nutrient uptake [25], and improve disease resistance and suppress pests [26]. Further, switchgrass-associated soil microbiomes provide ecosystem services essential to agricultural conservation, such as carbon sequestration and maintenance of soil biodiversity [27]. For example, plant genotypes can affect microbiome assembly [10,28,29,30]. Plant genotypes vary in the quantity and type of exudates released [28,29], root architecture [30,31], and immune signaling [10,13], all of which may influence microbial recruitment and activity in the rhizosphere. These mechanisms suggest that even among conspecific cultivars, genetic background can lead to subtle but functionally important differences in soil and rhizosphere microbiomes. Although plant genotype can influence microbiome composition [6,11], the effects of conspecific cultivars are often minor compared to those of environmental conditions [15]. For example, several studies have concluded that switchgrass microbiome composition is more strongly controlled by edaphic factors that mask plant species or genotype effects [15,32,33,34,35,36].
Many agricultural management approaches exist to maintain and restore soil resources and influence physical and chemical soil properties in production systems. While these approaches can indirectly affect microbial communities, there are currently few direct tools available to intentionally and predictably manipulate them. Growing switchgrass as a perennial crop with minimal inputs on marginal lands is similar to regenerative agriculture regimes and a branch of sustainable conservation agriculture management. The core concept of regenerative agriculture is sustainable plant productivity to restore the soil fertility and health, omit inorganic NPK fertilization, improve water retention, increase soil biodiversity, and incorporate or sequester organic carbon into the soil [37,38,39,40]. While prior studies have explored the effects of management on switchgrass-associated microbiome [20,41,42,43], the influence of specific tools, especially those widely used in conservation agriculture, remains poorly understood. One such tool is planting density, which has the potential to significantly alter plant-microbe interactions. Variation in plant density can modify the microenvironment for the plant growth by exposing plants to different levels of UV stress, soil and leaf wetness levels, soil and canopy moisture, and as well as different levels of intraspecific competition [44,45,46,47]. These changes can influence plant physiology, such as root exudation, and create spatial and temporal heterogeneity in resource availability, all of which can affect microbial community assembly and function. In addition, nutrient competition between plant roots and soil microorganisms represents another critical mechanism linking plant density and soil microbial dynamics. As plant density increases, greater root biomass and nutrient uptake can intensify belowground competition for essential elements such as nitrogen, phosphorus, and potassium. This enhanced nutrient demand by plants may reduce nutrient availability for soil microbes, thereby selecting for microbial taxa adapted to low-nutrient conditions and altering overall microbial community composition and function [48,49]. Despite this, the effects of planting density on rhizosphere and soil microbiomes have received limited attention in field-grown perennial systems like switchgrass. Only a few studies have attempted to link planting density with microbial dynamics [50,51,52], leaving a critical gap in understanding how this readily adjustable factor might be leveraged to optimize soil microbial communities in low-input agricultural systems.
Minimal soil disturbance and omission of inorganic fertilizers are among the main principles in regenerative agriculture. Because of the minimal management, natural processes and temporal dynamics can drive the microbiome assembly and compositional shifts in these systems. Seasonal environmental variability (e.g., temperature or soil moisture) and coinciding changes in host physiology can alter plant carbon inputs into the soil and shape microbial communities therein [19,53,54,55,56,57]. Although some studies have emphasized the importance of seasonality in switchgrass microbiome composition [6,19], temporal dynamics of biotic and abiotic factors in field-grown switchgrass systems remain largely unexplored.
Understanding plant microbiome dynamics is critical for conservation agriculture. To address existing knowledge gaps, this study broadly investigated temporal dynamics associated with switchgrass roots and soils, their differences among switchgrass cultivars, and the effects of planting densities. We aimed to test hypotheses that switchgrass cultivar choices, planting densities, and/or seasonal dynamics shape microbiomes as well as affect edaphic characteristics such as soil carbon storage and plant-available nutrients within a conservation agriculture system. The specific research objectives were to (1) evaluate differences in the composition and diversity of microbiomes associated with roots and soils of four switchgrass cultivars, (2) explore how high- and low-density plantings may impact switchgrass microbiomes, and (3) examine the seasonal dynamics of switchgrass-associated microbiomes below ground. We hypothesized that (1) microbiome composition and diversity will differ among switchgrass cultivars due to genotypic effects on rhizosphere recruitment; (2) planting density will alter microbial community composition and soil properties, with high-density stands fostering more complex microbial interactions and greater soil carbon accumulation; and, (3) temporal dynamics will be the dominant driver of microbiome shifts, reflecting seasonal changes in environmental conditions and plant development.
2. Materials and Methods
2.1. Site Description
We utilized a switchgrass conservation agriculture experiment that the Department of the U.S. Army established in 2012 at the Center for Conservation Research, Alcorn State University, Lorman, MS (31°90′01″ N–91°15′30″ W) [58]. Since its establishment, this experiment has been continuously managed under regenerative agriculture conditions. The management regime mimics natural systems by maintaining a continuous switchgrass cover crop, minimizing soil disturbance, omitting inorganic NPK fertilization, and using the crop residue as the winter soil cover after the annual harvest [39,40]. The soil at the site is Memphis Silt Loam—composed of thermic silt and clay, and the climate is within the humid subtropical zone with mean annual precipitation of 1473 mm, almost evenly distributed throughout the year and with mean annual temperature of 18.4 °C. The climate is characterized by the absence of severe winter (November–February) with a minimal chance of snow and hot long summers (May–September) with average temperatures of 14 °C and 31 °C, respectively.
The experimental design includes four replicate blocks in a randomized complete block split-plot design with four full plots split into two subplots (Figure S1). Each full plot within a block includes one of four switchgrass lowland cultivars (‘Alamo’, ‘BoMaster’, ‘Colony’, or ‘Kanlow’) initially planted in subplots representing either high- (HDP) or low density (LDP) with 12.7 and 10.2 cm between plants, respectively. Each subplot measures 4.6 m long and 0.46 m wide (45 and 36 seedlings per row in HDP and LDP, respectively). As per this design, each experimental block includes eight treatment combinations (4 cultivars × 2 densities) with four replicate blocks for 32 experimental units. Since the four cultivars were planted in the common environment, the experimental design is considered a common garden experiment aimed to minimize the variability in soil characteristics and environmental conditions to permit better dissection of cultivar-by-management effects [59].
2.2. Switchgrass Cultivars
The cultivars in the experiment represent lowland ecotypes and were selected from over a dozen based on highly reliable germination and performance at the experimental site. The cultivar ‘Alamo’ was released in 1978 by USDA NRCS. It is adopted throughout most of the U.S. and primarily used for livestock feed, soil stabilization, wildlife conservation, and as a biofuel source [60]. Cultivars ‘BoMaster’ and ‘Colony’ were released in 2006 and 2009, respectively [61,62], and selected for their high biomass and dry matter yield. Cultivar ‘Kanlow’ was released in 1963 and is commonly used for erosion control, as livestock feed, and in wildlife conservation, as well as for biofuel [63]. During the growing season, these switchgrass cultivars can reach up to 3 m in height, and much of the root biomass resides in the top 30 cm of soil. The yields depend on the cultivars. Among the four cultivars in this experiment, ‘Alamo’ and ‘Colony’ can produce the greatest biomass, yielding 26.67 tons of dry matter ha−1 and up to 30.22 tons ha−1, respectively. The other two cultivars tend to yield less: ‘BoMaster’ 23.99 tons ha−1 and ‘Kanlow’ 25.54 tons ha−1 dry biomass [58].
2.3. Soil and Root Sampling
The soils and roots were sampled six times during the 2018 growing season (March to November). The first sampling (Week 1; 14 March) was scheduled a week after the first leaf emergence of all the grass cultivars in the spring. One cultivar, ‘BoMaster’, was delayed compared to others and was only starting to emerge at the first sampling. We repeated sampling based on an approximate log2 schedule: Week 2 (23 March); Week 4 (5 April); Week 8 (30 April); Week 16—the mid-season (24 June); and Week 38—the end of season (29 November). The last sampling was scheduled one week before the average pre-frost. Across the six sampling events, we collected 192 roots and 192 soil samples for a total of 384 samples (32 experimental units * 6 times * 2 compartments (soil and roots)).
We sampled three 15 cm x 5 cm soil cores adjacent to a plant within each subplot. The three soil cores were composited into one and manually mixed. Roots were manually separated from the homogenized samples and washed in water immediately after collecting. Root and soil samples were sealed in polyethylene bags and transported on ice to the laboratory at Alcorn State University, where they were placed in a 4 °C refrigerator until the next day (~15 h). The following day, the root samples were divided into two ~100 g aliquots: (1) for storage as a frozen archive at −20 °C at Alcorn State University and (2) for shipping on dry ice to Kansas State University for metabarcode analyses. The soil samples were divided into three aliquots: (1) two 50 mL Falcon tubes for analyses of soil chemistry; (2) several 50 mL centrifuge tubes for a frozen archive stored at −20 °C at Alcorn State University; and (3) ~200 g for shipping on dry ice to Kansas State University for metabarcode analyses.
2.4. Soil Chemistry Analyses
One aliquot reserved for soil chemistry analyses was sent to Kansas State University Soil Testing Laboratory (https://www.agronomy.k-state.edu/services/soiltesting/, accessed on 20 September 2020), where it was analyzed for total N% and total C%. Total N% and total C% were measured by dry combustion using a LECO TruSpec CN combustion analyzer (LECO, St. Joseph, MI, USA) on weight percent basis from a 0.15 g of prepared soil homogenate. Another aliquot was shipped to Waypoint Analytical (Memphis, TN, USA), where it was analyzed for soil pH, P, K, and OM. Soil pH was measured using the saturation paste method using 1:1 soil and water ratio. Available soil P and K were determined using a modified Mehlich method (Mehlich III extraction) from 2 g of soil homogenate [64]. One gram of dry soil was used to estimate OM content through loss on ignition as described in [65].
2.5. DNA Extraction and Metabarcode Sequencing
Aliquots of the sampled roots and soils were shipped to Kansas State University on dry ice and stored at −20 °C until further processed for the metabarcode analyses. Root samples were ground by hand in liquid nitrogen using autoclave-sterilized mortars and pestles. We acknowledge that the microbiome represented by the root samples includes microbes from both internal root tissues and external surfaces, as some soil-associated microbes likely remained in the root samples. However, for simplicity, we refer to these samples as “roots” throughout this contribution. Mortars and pestles were autoclaved for 20 min at 121 °C between samples. DNA was extracted from ~0.25 g of the ground roots or ~0.25 g of thawed and homogenized soil using a MoBio PowerSoil DNA Isolation Kit (MoBio Laboratories, Inc., Carlsbad, CA, USA) per the manufacturer’s protocol. The DNA yield was estimated using a Nanodrop ND2000 spectrophotometer (Thermo Scientific, Wilmington, DE, USA) and normalized to 2 ng/μL.
We PCR-amplified the bacterial variable region v4 of the small subunit of the ribosomal RNA gene using forward 515f and reverse 806r primers [66]; both forward and reverse primers included 12 bp molecular identifiers (MIDs). All PCR reactions were performed in triplicate 50 μL reactions. Each PCR reaction included 10 μL (20 ng) of the template, 200 μmol of each deoxynucleotide, 1 µmol of forward and reverse primers, 10 μL of 5X Green HF PCR buffer (Thermo Scientific, Wilmington, DE, USA), 14.75 μL of molecular grade water and 0.5 units of the proofreading Phusion Green Hot Start II High-Fidelity DNA polymerase (Thermo Scientific, Wilmington, DE, USA). PCR amplification was performed using Eppendorf MasterCyclers (Eppendorf, Hamburg, Germany) and included an initial denaturation at 98 °C for 30 s, followed by 30 cycles with denaturation at 98 °C for 10 s, annealing for 30 s at 50 °C, extension for 1 min at 72 °C, with final extension for 10 min at 72 °C. Positive and negative controls were included to detect contamination during the sample processing. We used Escherichia coli as a positive control. Molecular-grade RNA- and DNA-free H2O was used as a negative control.
All PCR products were visualized by agarose gel (1.5%) electrophoresis to ensure successful amplification and correct amplicon size. The triplicate amplicons were combined into one per sample and cleaned using the Omega Mag-bind® RXNPure Plus system (Omega Bio-tek, Norcross, GA, USA) following a modified manufacturer protocol using a 1:1 ratio of magnetic beads to the PCR volume and two rinse steps with 80% ethanol. The cleaned product was quantified using a Nanodrop ND2000 spectrophotometer (Thermo Scientific, Wilmington, DE, USA), and 200 ng of amplicons from each sample pooled for sequencing. Illumina-specific primers and adapters were added in four PCR cycles with KAPA Hyper Prep Kit (Roche, Pleasenton, CA, USA) and 0.5 µg starting DNA. Libraries were sequenced (2 × 300 cycles) using Illumina MiSeq Personal Sequencing System at the Integrated Genomic Facility at Kansas State University.
2.6. Sequence Data Processing
A total of 21,605,332 bacterial sequences were processed using the mothur pipeline (v. 1.48.0; [67] as per the MiSeq standard operational protocol [68]. Sequences were extracted from paired-end .fastq files, contiged and any sequences with ambiguous bases, sequences with more than 1 base pair (bp) mismatch with primer and any mismatches to the sample-specific 12 bp MIDs, or homopolymers longer than 9 bp were omitted. This resulted in a total of 13,481,728 sequences. The sequence data are available from the NCBI Sequence Read Archive (Bioproject Accessions PRJNA868384 and PRJNA868389).
We aligned the sequences against SILVA (v. 138; [69]) reference and pre-clustered near-identical (>99% similar) sequences [70] to minimize potentially erroneous reads. Sequences were binned to Amplicon Sequence Variants (ASVs) and ASVs represented by only one sequence in the entire dataset were removed. We iteratively (100 iterations) estimated bacterial richness and diversity for each sample using mothur (v. 1.48.0; [67]). To minimize biases resulting from differences in sequencing depths among the libraries, we rarefied the root and soil samples to 5000 and 10,000 sequences per sample, respectively, as recommended in [71]. To determine how well our sampling represented the resident diversity, we estimated Good’s coverage (the ratio between singleton ASVs and total number of ASVs in a sample). For richness and diversity, we estimated observed (SObs) and extrapolated (Chao1) ASV richness, as well as Shannon’s diversity (H’) and evenness (EH). The subsequent statistical analyses for microbial richness, diversity and composition were performed using R studio [72].
2.7. Statistical Analysis
Soil chemistry and microbiome richness and diversity data were log-transformed before analyses to correct for non-normality and heteroscedasticity, except for percent data (%C, %N, %OM) that were arcsine square root transformed. We used linear mixed effect models to test for effects of time (continuous variable with six levels: Week1, Week2, Week4, Week8, Week16, and Week38), cultivars (categorical variable with four levels: Alamo, BoMaster, Colony, and Kanlow), and planting density (categorical variable two levels: HDP and LDP). The interaction terms between fixed factors were included to assess the potential combined effects of these factors. The blocking factor was included as a random effect. The model was fitted using the lmer() function from the lmer package in R Studio [73]. The treatment-level differences were assessed using Type I ANOVA, which tested the significance of the fixed effects and their interactions. To identify the specific groups driving the differences among the categorical factors, we used Pairwise Tukey’s Honestly Significant Difference (HSD) tests (R Studio v 4.1.1) [72].
To test for the temporal and management choice (cultivar and planting density) effects on the microbial community composition, we used permutational multivariate analysis of variance (PERMANOVA) [74]. Our models included time, cultivar, and planting density as main effects along with all their two- and three-way interactions. Because these models do not account for random effects, we also included block as a main effect to test for any spurious spatial effects. To identify treatments that differed in our PERMANOVAs, we performed pairwise comparisons using the pairwise.adonis function. To identify those root and soil microbiome ASVs that were disproportionately more abundant in one treatment than in others, we analyzed these data for indicators using the “multipatt()” function (P = 0.001) of the indicspecies package in R-Studio [75].
2.8. Data Visualization
To visualize the switchgrass soil- and root-associated microbiomes, we calculated Bray–Curtis dissimilarity matrices and visualized these data using Non-Metric Multidimensional Scaling (NMDS) ordinations with ggplot2 package in R Studio [76]. The ggplot2 package was also used to visualize temporal trends in microbial diversity metrics and to display the relative abundances of selected taxa across cultivars and over time. Bar plots of dominant microbial phyla were created using the “geom_bar” function in ggplot2 to highlight changes in community composition over the growing season.
3. Results
3.1. Effects of Planting Density, Cultivars, and Season on Edaphic Variables
We evaluated basic edaphic attributes to document management choice effects and seasonal dynamics. Interactions among the explanatory variables were generally absent (Table S1), but some edaphic properties varied among the planting densities or switchgrass cultivars (Figure 1, Tables S1 and S2). Soils associated with high switchgrass planting densities had higher soil OM and C (Figure 1A,B, Table S2), as well as marginally higher in soil N% (Figure 1C), but lower pH (Figure 1D, Table S2). Cultivar effects were minimal (Table S2), except for Kanlow, which had slightly higher pH than Bomaster (Tukey’s HSD: P = 0.007) and marginally so than Alamo (Tukey’s HSD: P = 0.059) (Figure 1E).
Figure 1.
Soil Chemistry Seasonal Dynamics. Key edaphic variable responses to switchgrass planting density (high-density planting—HDP vs. low-density planting—LDP) across a growing season. Note that data are combined across all four switchgrass cultivars (Alamo, Bomaster, Colony, and Kanlow) as the cultivar effects were minimal except for soil pH (E). (A) Soil Organic Matter (SOM) % (B) Soil Total C% (C) Soil Total N% (D) Soil pH (E) Soil pH (F) Soil C:N ratio (G) Soil P and (H) Soil K were sampled from one week after the first leaf emergence to the end of the growing season for a total of 38 weeks; x-axes are in log2 scale. The figures represent the linear mixed effect models with effects of time (continuous variable with six levels: 0—Week1, 1—Week2, 2—Week4, 3—Week8, 4—Week16, and 5—Week38), (categorical variable with four levels: Alamo, BoMaster, Colony, and Kanlow) and planting density (categorical variable two levels: HDP and LDP). Spatial “Block” was included as a random effect. Means and standard deviations are included in Table S1.
All measured edaphic variables were seasonally dynamic—or marginally so (total C%; P = 0.0812) with many declining over the growing season. For example, C:N ratio (95% confidence interval for the slope estimate: (–0.115, –0.057)) (Figure 1F), soil P (–0.128, –0.080) (Figure 1G), and soil K (–0.230, –0.149) (Figure 1H) declined as indicated by the negative slope terms for log2-transformed time. Weekly means for cultivars and planting densities for the measured edaphic attributes are presented in Table S3.
3.2. Relative Taxon Abundances in Soil- and Root-Associated Microbial Communities
Using 16S rRNA metabarcoding, we characterized root- and soil-associated bacterial communities. After quality control, we retained ~422,000 sequences (representing 75,967 non-singleton ASVs with estimated 77.2 ± 8.4% Good’s coverage) for roots and ~850,000 sequences (132,470 non-singleton ASVs with estimated 64.3 ± 5.3% Good’s coverage) for soils. The root microbiomes were dominated by Proteobacteria (32.1%), (11.3%), Acidobacterioita (10.5%), Bacteroidota (7.4%), and Planctomycetota (7.2%), Verrucomicrobiota (5.4%); other phyla were present in abundances lower than 5% (Figure 2, Table S4). Some root ASV sequences (6% of all root sequences) remained unclassified at the phylum level. The soil microbiomes shared similar dominant phyla but with different rank order and a higher proportion of unclassified taxa. These microbiomes were also dominated by Proteobacteria (21.6% of all soil sequences), but were followed by Acidobacteriota (13.8%), Actinomycetota (12.0%), Planctomycetota (10.1%), and Verrucomicrobiota (6.9%); other phyla were present in abundances lower than 5% (Figure 2, Table S4). A total of 7% of the soil sequences remained unclassified at the phylum level.
Figure 2.
Overall Relative Abundance of Bacterial Phyla in Roots and Soil. Overall relative abundance of bacterial phyla in the root and soil microbiomes associated with switchgrass in a conservation agriculture setting. Data are summarized across the four cultivars (Alamo, Bomaster, Colony, and Kanlow) and two planting densities (high-density planting—HDP and low-density planting—LDP) over the course of one growing season.
3.3. Effects of Planting Density, Cultivars, and Season on Alpha-Diversity and Community Composition in Soil- and Root-Associated Microbiomes
There were no consistent richness or diversity responses to planting density in the soil (Table S5) or root (Table S6) microbiomes (Table S7). Similarly, ASV richness and diversity rarely differed among the cultivars, although observed and extrapolated richness estimates differed among cultivars in soil but not in the roots. Bomaster had lower observed (SObs) (Tukey’s Pairwise test: P < 0.05) soil ASV richness than Kanlow and lower extrapolated soil ASV richness (Chao1) than Kanlow (Tukey’s Pairwise test: P < 0.05) and Alamo (Tukey’s Pairwise test: P < 0.05). However, these differences were largely attributable to two Bomaster soil samples that had low richness, particularly in high-density planting. The ASV diversity (H’) and evenness (EH’) estimates did not vary among the cultivars, even though there was some evidence for interaction between the cultivar and time of sampling (Tables S5 and S7).
Soil microbiome diversity and richness varied over time, highlighting the temporal microbiome dynamics (Tables S5 and S7). Weekly means of cultivars and planting densities of the soil- and root-associated microbiome richness and diversity measurements are presented in Tables S8 and S9, respectively. Over the 38-week sampling, the soil microbiome richness, diversity, and evenness consistently declined (Figure 3), suggesting an increase in the dominant ASVs at the cost of low-abundance ASVs. The root microbiomes were also seasonally dynamic (Figure 4). Even though observed richness did not change over the 38-week sampling, the root microbiome extrapolated richness declined, reflecting the trend in the soil microbiome (Tables S6 and S7). However, this root microbiome decline was less linear than that in the soil microbiome, as the second and third sampling times (Weeks 2 and 4) had higher extrapolated richness than other sampling times. In contrast to the soil microbiomes, root microbiome diversity and evenness increased over the growing season, suggesting homogenization of these communities during the growing season (Tables S8 and S9).
Figure 3.
Temporal Dynamics of Bacterial Diversity in Soil. Soil bacterial richness and diversity responses to different switchgrass cultivars (Alamo, Bomaster, Colony, and Kanlow) across a growing season. Data are combined for the two planting densities (high-density planting—HDP and low-density planting—LDP), as only minimal planting density effects were observed. Soil samples were collected from one week after the first leaf emergence to the end of the growing season, spanning a total of 38 weeks, to assess (A) Observed richness (SObs), (B) Extrapolated Richness (Chao1), (C) Shannon’s diversity index (H’), and (D) Shannon’s evenness (EH). Results represent linear mixed-effects models accounting for time (continuous variable with six levels: 0—Week1, 1—Week2, 2—Week4, 3—Week8, 4—Week16, and 5—Week38), cultivar (categorical variable with four levels: Alamo, Bomaster, Colony, and Kanlow), and planting density (categorical variable with two levels: HDP and LDP). “Block” was included as a random effect to account for spatial variability.
Figure 4.
Temporal Dynamics of Bacterial Diversity in Roots. Root-associated bacterial richness and diversity responses to different switchgrass cultivars (Alamo, Bomaster, Colony, and Kanlow) across a growing season. Data are combined for the two planting densities (high-density planting—HDP and low-density planting—LDP), as minimal density effects were observed. Samples were collected from one week after the first leaf emergence to the end of the growing season, spanning a total of 38 weeks, to assess (A) Observed richness (SObs), (B) Extrapolated Richness (Chao1), (C) Shannon’s diversity index (H’), and (D) Shannon’s evenness (EH). Results are derived from a linear mixed-effects model accounting for time (continuous variable with six levels: 0—Week1, 1—Week2, 2—Week4, 3—Week8, 4—Week16, and 5—Week38), cultivar (categorical variable with four levels: Alamo, Bomaster, Colony, and Kanlow), and planting density (categorical variable with two levels: HDP and LDP). “Block” was included as a random effect to account for spatial variability.
Consistent with the results for root and soil microbiome richness and diversity, NMDS ordinations and PERMANOVA analyses confirmed the lack of planting density effects on community composition (Figure 5, Tables S10–S12). However, cultivar effects were observed in the soil microbiomes, particularly associated with Kanlow, which differed from Bomaster and Colony (pairwise PERMANOVA: P < 0.01) and tended to also differ from Alamo (pairwise PERMANOVA: P = 0.084). These differences were potentially attributable to soil and root indicator taxa associated with the cultivar Kanlow. Specifically, the Kanlow root microbiome included six indicator ASVs assigned to five classes: Planctomycetes (1 ASV), Armatimonadia (1), Verrucomicrobiae (2), Oligoflexia (1), and Chlamydiae (1) (Table S13). The Kanlow soil microbiome harbored a greater diversity of indicator ASVs (n = 185), with notable classes such as Gammaproteobacteria (24 ASVs), Planctomycetes (15), Chlamydiae (13), Verrucomicrobiae (13), Bacteroidia (12), Parcubacteria (12), and Alphaproteobacteria (12) (Table S14). These results suggest that the cultivar-specific effects on the soil microbiome, particularly Kanlow, may reflect the more complex and diverse microbial community in the soil compared to the root. This finding was surprising because the root microbiome would presumably be under tighter host control.
Figure 5.
The Temporal Dynamics of Switchgrass Root and Soil Microbiome Composition. (A) NMDS ordination (stress = 0.19) of switchgrass root microbiomes across six sampling time points (Week 1, Week 2, Week 4, Week 8, Week 16, and Week 38). The ordination visualizes changes in bacterial community composition in the roots over time (visualized in colors and symbols) based on a Bray–Curtis distance matrix. (B) NMDS ordination (stress = 0.16) of switchgrass soil microbiomes at the same six sampling intervals (Week 1, Week 2, Week 4, Week 8, Week 16, and Week 38). The ordination visualizes temporal changes in microbiome composition in the soil, also derived from the Bray–Curtis distance matrix.
The root and soil microbiomes were also temporally dynamic (Figure 3, Figure 4 and Figure 5 and S2, Tables S11 and S12). Although tightly clustered and variable, the root microbiomes differed among all six time points (pairwise PERMANOVA: P < 0.05), except for weeks 4 and 8 (Figure 4). The soil microbiomes were temporally less dynamic (Figure 4). The early growing season soil microbiomes (weeks 1 through 8) did not differ from each other (pairwise PERMANOVA: P > 0.15) but differed from those in the late season (weeks 16 and 38) (pairwise PERMANOVA: P < 0.05). Samples from weeks 2 and 4 were an exception as they differed from each other (pairwise PERMANOVA: P = 0.03). Although we observed changes in evenness, we did not find corresponding changes in overall community heterogeneity, as inferred from the betadisper analysis. To further explore which broadly inclusive taxa attributed to the observed temporal community dynamics in the soil (Figure 6A, Table S15) and roots (Figure 6B, Table S16), we analyzed dominant phyla. In the root microbiomes, we analyzed the nine phyla (Proteobacteria, 54.14%; Bacteroidota, 8.2%; Actinobacteriota, 7.8%; Firmicutes, 7.4%; Acidobacteriota, 6.8%; Planctomycetota, 2.7%; Chloroflexi, 2.7%; Myxococcota, 2.7%; Verrucomicrobiota, 2.6%) present in relative abundances greater than 1% using the mixed effect models we used for our analyses for richness and diversity. Among these phyla, only the Phylum Bacteroidota and Proteobacteria in root microbiomes shifted in relative abundance during the growing season (Figure 7A,B). In soil microbiomes, we also analyzed the nine phyla (Proteobacteria, 20.9%; Actinobacteriota, 13.3%; Acidobacteriota, 11.2%; Planctomycetota, 10.4%; Verrucomicrobiota, 7.2%; Chloroflexi, 5.1%; Myxococcota, 4.5%; Patescibacteria, 3.4%; Bacteroidota, 4.8%; Firmicutes, 3.19%) present in relative abundances greater than 1%. While Bacteroidota declined during the growing season in soil, Proteobacteria increased in abundance. Bacteroidota decline also depended on the planting density and tended to decline more steeply in the low-density planting as indicated by the interaction effect (Figure 7C).
Figure 6.
Temporal Dynamics of Bacterial Phyla in Root and Soil. Relative abundance of bacterial phyla in the switchgrass root and soil microbiomes. Data are combined across the four cultivars (Alamo, BoMaster, Colony, and Kanlow) and the two planting densities and presented over one growing season across six time points (Week 1, Week 2, Week 4, Week 8, Week 16, and Week 38). The figure illustrates the relative abundance of sequences assigned to bacterial taxa within the switchgrass (A) soils and (B) roots.
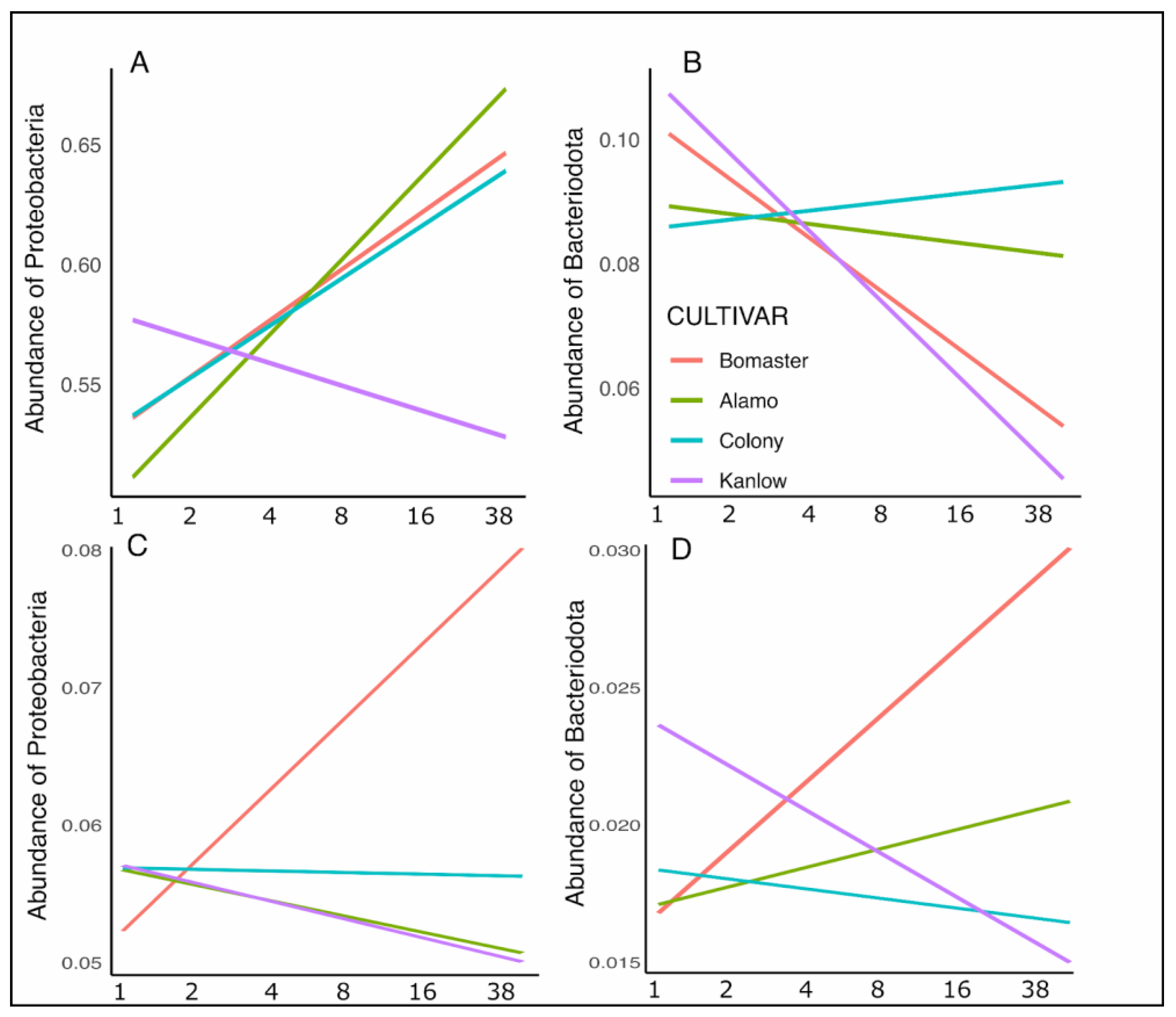
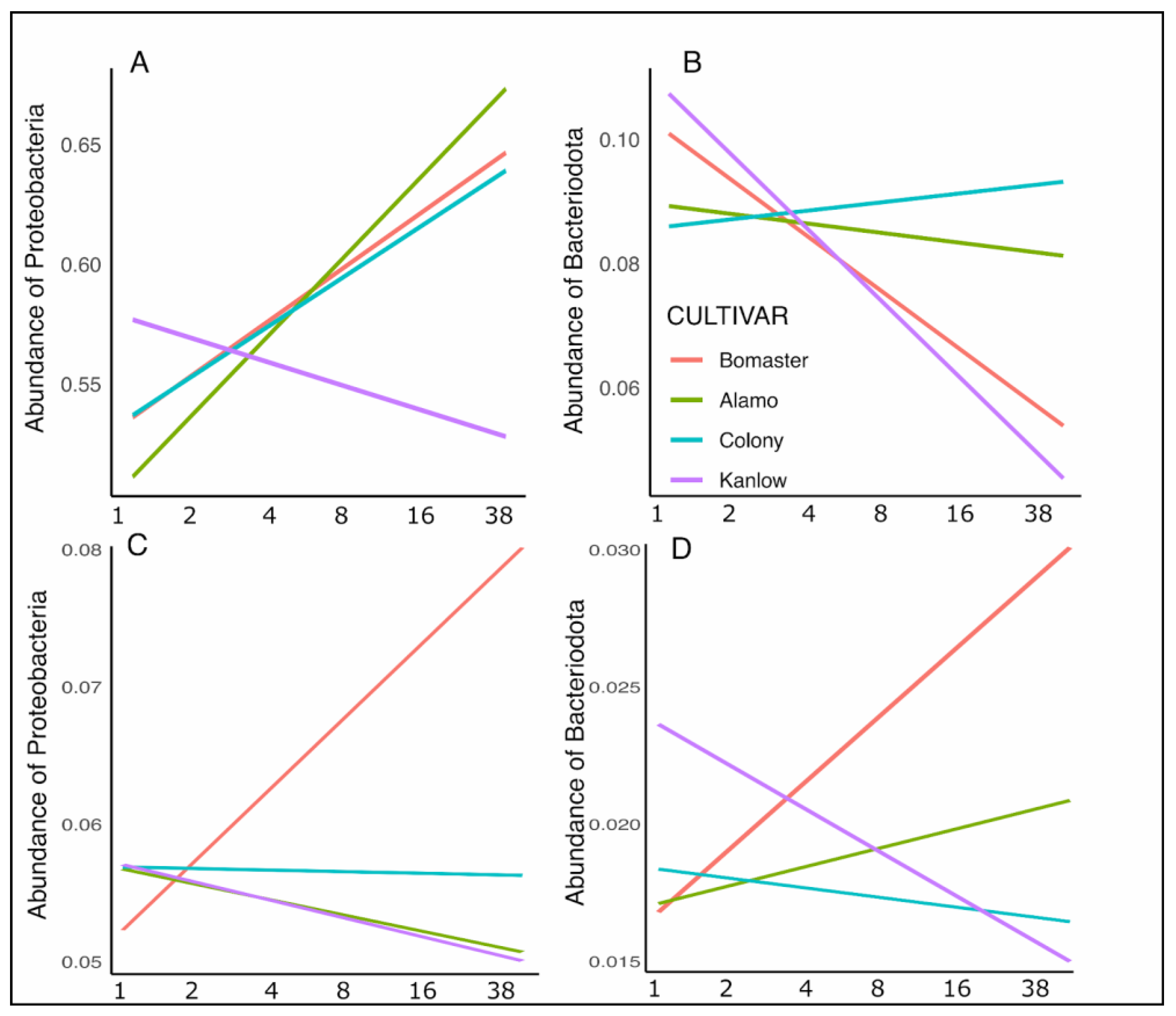
Figure 7.
Abundance of Bacteroidota and Proteobacteria in Switchgrass Cultivar Roots and Soil across the Growing Season. (A) Proteobacteria in root samples increased over time across a growing season, except for cultivar Kanlow. (B) Bacteroidota abundance change over time was cultivar-dependent. Bacteroidota in root samples declined in abundance as the season progressed, except for cultivar Colony. (C) Proteobacteria abundance change over time was cultivar-dependent. Proteobacteria abundance decreased in Alamo and Kanlow cultivars, remained stable in Colony, and increased in Bomaster. (D) Bacteroidota abundance change over time was cultivar-dependent. Bacteroidota in soil samples increased over time across a growing season in cultivars Alamo and Bomaster and decreased in Kanlow and Colony.
Because permutational ANOVA analogs do not support random effects, we included the spatial blocking variable as a main effect in our community analyses. Surprisingly, and despite our common garden experiment, in which all treatments are in close proximity, there was some evidence for a spatial (block) effect on both root and soil microbiome composition (Tables S11 and S12). However, although the PERMANOVA suggested these spatial effects, the adjusted pairwise tests failed to detect any differences among the four blocks (P > 0.05).
4. Discussion
We aimed to evaluate how abiotic and biotic attributes vary over time during one growing season (38 weeks) among four switchgrass cultivars planted in two different densities and maintained under conservation agriculture principles. While high-density planting resulted in higher soil C and OM, and marginally higher soil N, these changes had a limited influence on microbiomes. In contrast, cultivar identity, particularly Kanlow, appeared to shape soil microbiome composition, despite minimal effects on measured soil chemistry. Our data and analyses also highlight the temporal dynamics in edaphic properties and in both the soil and root microbiomes. Our findings suggest that temporal dynamics have a greater effect on the switchgrass-associated microbiomes and their assembly than the management choices, even if those management choices may shift edaphic properties in a manner that aligns with the goals of conservation agriculture.
4.1. Edaphic Responses
Our analyses suggested that high switchgrass planting densities may assist in increasing soil C storage and, subsequently, also N availability. While planting density reportedly influences soil properties, its effects are often context-dependent and non-linear, varying by species, climate, and management practices [45,77,78,79,80]. In our study, switchgrass produced abundant labile biomass that remained in the experimental units and, therefore, was largely incorporated into the SOM. Under the conservation agriculture regime used at our site, approximately 30% of the harvested biomass is returned to the soil, supporting nutrient cycling and promoting long-term soil health.
Some soil attributes, including a decline in P, were temporally dynamic, likely reflecting patterns of plant uptake and microbial processing. However, switchgrass cultivars had little effect on edaphic properties, which is somewhat surprising given the physiological and phenological differences among cultivars [58]. Similarly, others have reported physiological and metabolic differences among switchgrass cultivars during plant development [6,11,18,19,36,81]. However, these metabolic differences may be inconsistent. For example, in a greenhouse experiment, the relative abundances of soluble amino acids exudated by roots differed among two cultivars at six weeks but not earlier (at 1.5 weeks) or later (16 weeks) [6]. Like other cultivar-specific traits, such as differences in survival and productivity among others [6,82,83,84], differences in cultivar performance reflect the underlying effects of the genetic background. Our common garden experiment aimed to minimize the variability in soil and environmental conditions to permit better dissection of the effects of the two management choices targeted here. The absence of cultivar effects is somewhat surprising, as the experiment had been in place for six years at the time of sampling and should have permitted discernment of the differences among switchgrass cultivars and management practices. Our data suggest that the edaphic attributes may vary temporally and among the planting densities, but less so among the switchgrass cultivars. Alternatively, cultivar-driven effects may be more pronounced within the rhizosphere, where root exudates play a more direct role.
4.2. Soil and Root-Associated Microbiome Diversity and Composition Responses
The soil and root microbiomes were compositionally predictable. Soil microbiomes were twice as rich in ASVs as the root microbiomes, consistent with the well-documented host filtering effect, whereby plants selectively shape root microbiome composition through mechanisms such as root exudation [85,86]. Overall, community composition across both compartments matched previous reports from switchgrass systems [10,12,13,19,32,87,88,89], and was dominated by Proteobacteria, Acidobacteriota, Actinobacteriota, Planctomycetota, and Verrucomicrobiota [19,20,87,88,90,91]. The differences in the taxon rank ordering were unsurprising, as Actinobacteria replaced Acidobacteria as the second most dominant taxon in the roots. Both phyla are common in the roots, but Acidobacteria tend to be more frequent in the bulk soil surrounding the roots, whereas Actinobacteria more commonly utilize the readily available root exudates [85,92,93].
While neither planting density nor cultivars significantly influenced microbiome diversity, we detected subtle cultivar-specific differences in composition, particularly in the soil. This finding contrasts with some studies that have reported density-driven shifts in plant microbiomes [49,94]. Interestingly, Kanlow was associated with a higher observed and extrapolated soil microbiome richness than Bomaster. These differences, however, appeared to be primarily driven by two low-richness Bomaster samples, especially in high-density plantings. Beyond that potentially spurious observation, we observed no evidence for variation in diversity metrics among the cultivars, suggesting that although the relative abundance of bacterial taxa may vary slightly among cultivars, the microbiome richness and diversity are comparable. These data align with other studies reporting limited cultivar-specific effects on microbial alpha-diversity [95,96]. This lack of consistent cultivar-specific effects on microbiome diversity may be due to the strong temporal dynamics that potentially masked the cultivar effects [95,96,97].
Our analyses of temporal trends highlighted a consistent decline in soil microbiome richness, diversity, and evenness, indicating a shift towards a few abundant and dominant ASVs. This trend suggests that as the growing season progressed, the microbial community became increasingly dominated by a smaller subset of taxa, potentially correlating with shifts in resource availability, environmental factors, and/or plant-microbe interactions [98]. It is of note that these trends in microbiome responses corroborate temporal changes in the edaphic variables [36,99,100]. A similar pattern has been reported in other studies, where soil microbiomes shift towards dominance by some specific taxa, often correlating with changes in nutrient availability (e.g., C, P, or N), resulting from plant uptake and subsequent tissue decomposition [99,101,102,103,104,105,106,107]. Additionally, few fast-growing bacteria can rapidly immobilize nutrients, thus contributing to declining microbiome diversity [108,109].
The temporal dynamics of the root microbiome were more complex than those in the soil. Although observed richness remained relatively stable over the 38-week sampling period, extrapolated richness declined, mirroring patterns in the soil microbiome. This less linear decline in roots may reflect transient shifts in microbial populations influenced by fluctuating root exudate profiles and changing nutrient availability, which likely supported a broader range of taxa during early plant development (weeks 2 and 4). This suggests that, while the overall microbial richness did not change drastically, the less abundant species may have been outcompeted by more dominant taxa as the growing season progressed [110,111,112]. Interestingly, unlike the soil microbiome, the diversity and evenness of the root microbiome increased over the growing season. Although the increasing evenness suggests that ASVs became more evenly distributed within these communities, our dispersion analyses did not support any community homogenization. This may be due to plant-mediated modulation of the microbial community and changes in nutrient availability as plant nutrient demands shift throughout the growing season [111,113,114,115]. As root exudates and plant-microbe interactions are important in shaping the root microbiomes, these temporal changes may reflect the continuous influence of plant growth and metabolism on microbial succession [115,116]. Roots, as a more nutrient-rich environment than the surrounding soils, likely select for microbiomes that are actively shaped by plant roots and their exudates [117]. The soil microbiome, being less influenced by direct plant inputs, may experience more gradual shifts driven by less dynamic nutrient availability and microbial competition in a more resource-limited environment. Overall, our data on the soil- and root-associated microbiome diversity suggest that they are more responsive to seasonal changes than to the management choices empirically manipulated here.
Like our analyses of the microbiome diversity, our analyses of microbiome composition provided no strong evidence for planting density effects, either in the soil or roots, while suggesting some cultivar-specific effects in the soil microbiome. In line with other observations, the soil microbiomes associated with Kanlow were distinct from Colony and Bomaster, despite similarities in overall richness and diversity metrics. These compositional differences likely reflect species rank reordering rather than the presence of unique taxa, a pattern often indicative of subtle but meaningful shifts in community structure driven by host plant traits [118,119,120], possibly reflecting specific interactions between the host cultivars and their associated microbiomes. To explore these differences further, we conducted indicator taxon analyses, which revealed that several bacterial groups, like Planctomycetes, Armatimonadetes, Verrucomicrobiae, and Chlamydiae were more abundant in the soils associated with Kanlow than with other cultivars. These taxa may be responding to specific root-derived metabolites, suggesting that Kanlow exerts a unique selective influence on the surrounding microbial community. Given prior evidence that switchgrass cultivars vary in root exudates, it is possible that Kanlow produces a distinct exudate suite, highlighting the cultivar-specific effect on the associated microbial communities [121]. These findings support the idea that host cultivars can shape microbiome composition through their unique root exudate profiles. This mechanism could influence the selection of cultivars to help optimize sustainable land management strategies.
Consistent with our analyses of edaphic properties and microbiome diversity, the microbiome composition was also temporally dynamic. The root-associated microbiomes varied across the six time points, with the exception of weeks 4 and 8 that did not differ. This suggests that the root microbiome is compositionally sensitive to temporal changes, and potentially driven by fluctuations in root exudates, nutrient availability, and plant development [99,107,117]. In contrast, the soil microbiomes were less variable and differed only between the early (weeks 1–8) and late (weeks 16 and 38) season. Notably, weeks 2 and 4 were an exception and differed from each other, possibly because of transient environmental factors or plant developmental changes. To further explore which broadly inclusive taxa attributed to the observed temporal dynamics in the roots and soil microbiome, we analyzed the nine phyla in roots (Proteobacteria, 57%; Bacteroidota, 8.1%; Firmicutes, 8.3%; Actinobacteriota, 7.7%; Acidobacteriota, 6.3%; Chloroflexi, 2.5%; Myxococcota, 2.6%; Planctomycetota, 2.0%; Verrucomicrobiota, 2.0%) (Table S16) and nine phyla in soil (Proteobacteria, 29.6%; Acidobacteriota, 16.6%; Actinobacteriota, 10.9%; Planctomycetota, 5.7%; Verrucomicrobiota, 5.7%; Chloroflexi, 5.4%; Bacteroidota, 5.3%; Firmicutes, 4.2%; Myxococcota, 3.4%) (Table S15) present in relative abundances greater than 1% using the mixed effect models we used for our analyses for richness and diversity. These analyses revealed that the relative abundances of Proteobacteria in the roots increased as the growing season progressed. The temporal decline of Bacteroidota interacted with the switchgrass cultivars (P = 0.021), such that the decline was particularly pronounced in the cultivar Kanlow (Figure 7A,B). The Proteobacteria and Bacteroidota were also temporally dynamic in soil, and both had interaction effects with cultivars (P < 0.05) (Figure 7C,D). While Kanlow had the most pronounced decline over the season, both taxa increased in abundance over time with the Bomaster cultivar. This is in line with our speculation that Kanlow and Bomaster differ in their root metabolites and exudates. These metabolites and exudates potentially selectively promote specific bacteria, highlighting the cultivar-specific effects on the associated microbiomes.
4.3. Limitations of the Study
While our study provides insight into the role of cultivar identity and planting density in shaping microbiomes over time, we acknowledge some limitations of our work. First, our findings are based on a single growing season and geographic location, and further study across diverse environments and multiple years would strengthen the generalizability of these results. For example, while high-density planting showed a higher soil organic carbon content, we recognize a key limitation: our study did not measure carbon losses, such as microbial respiration or CO2 flux. Since carbon sequestration depends on the balance between carbon inputs and outputs, the observed increase in soil OM alone does not confirm long-term carbon sequestration. Future studies are needed to assess carbon turnover and stabilization mechanisms to fully evaluate the sequestration potential of density planting in the switchgrass system. Second, we did not directly measure root exudates, which limits our ability to mechanistically link exudate chemistry to microbiome composition, especially in the case of the cultivar Kanlow. Finally, a growing body of research attempts to directly elucidate the microbial functional potential instead of speculating on functions based on taxonomic profiles. Future studies may focus on how the observed compositional changes translate to ecosystem functions. Despite these limitations, the common garden design and coinciding edaphic measurements reported here provide a foundation for understanding how planting densities and cultivar choices can affect soil health in conservation agriculture systems.
4.4. Overall Conclusions and Potential Applications
In conclusion, this study aims to improve our understanding of how simple management choices, specifically planting density and cultivar selection, affect soil and root microbiomes within a conservation agriculture framework. Our results show that higher planting densities improve soil quality by enhancing SOM and increasing C sequestration, with marginal gains in N availability. While cultivar effects on soil chemistry were minimal, they did influence microbial community composition, especially in the soil. Microbial diversity, however, was largely unaffected by either planting density or cultivar, with seasonal dynamics as the primary driver of the soil- and root-associated microbiomes. This highlights the importance of temporal sampling and considering seasonal trajectories when interpreting microbiome responses in agroecosystems.
Compared to the observed temporal effects, switchgrass planting densities and/or the choice of cultivars had only a little effect on the microbiome richness/diversity or its composition. Although our results highlight the importance of seasonal dynamics, we wish to emphasize that thoughtful selection of management practices has the potential to manipulate edaphic properties and microbial community assembly to aid in meeting the goals of conservation agriculture. It is of note that our indicator taxon analyses suggested many soil-inhabiting taxa that differed among the cultivars.
From the application perspective, our results suggest that increasing planting density is a promising strategy to sequester soil C and increase soil OM. It is of note that these are the main goals in conservation agriculture, especially on degraded or marginal lands where perennial grasses such as switchgrass are commonly used. Additionally, cultivar-specific effects on microbial taxa suggest future opportunities for selecting plant varieties and other perennial grasses that can promote beneficial soil microbial communities. Continued research into the function of these taxa could inform targeted microbiome management strategies that support soil health, sustainability, and resilience in agricultural systems.
Supplementary Materials
The following supporting information can be downloaded at: https://www.mdpi.com/article/10.3390/agriculture15212274/s1, Figure S1: Experimental Design of Panicum virgatum Plot Located in Alcorn State University Biological Station. Figure S2: The NMDS plot with positive controls. Table S1: ANOVA tables and corresponding pairwise comparisons of the key edaphic variable responses across a growing season. Table S2: The effect of management choices and seasonal trends on edaphic attributes. Full linear mixed effect model, ANOVA table and pairwise comparisons for soil chemistry. Table S3: Temporal dynamics chemical properties shown using weekly means. Table S4: Relative abundance of bulk soil and root associated bacteria over the growing season. Table S5: The effect of management choices and seasonal trends on edaphic attributes. Full linear mixed effect model, ANOVA table and pairwise comparisons for alpha diversity in soil. Table S6: The effect of management choices and seasonal trends on edaphic attributes. Full linear mixed effect model, ANOVA table and pairwise comparisons for alpha diversity in root. Table S7: ANOVA tables and corresponding pairwise comparisons of the richness and diversity estimates for switchgrass roots and soils across a growing season. Table S8: Temporal dynamics of microbial community richness and diversity in soil shown using weekly means. Table S9: Temporal dynamics of microbial community richness and diversity in root shown using weekly means. Table S10: PERMANOVA tables and corresponding pairwise tests of the community composition for soil and root samples across a growing season. Table S11: The effect of management choices and seasonal trends on community composition of soil bacterial communities. Full PERMANOVA table and pairwise comparisons for community composition in soil. Table S12: The effect of management choices and seasonal trends on community composition of root bacterial communities. Full PERMANOVA table and pairwise comparisons for community composition in roots. Table S13: Taxon indicators associated with Kanlow roots. Table S14: Taxon indicators associated with Kanlow soil. Table S15: Temporal dynamics of main bacterial phylum in soils. Table S16: Temporal dynamics of main bacterial phylum in roots.
Author Contributions
K.M. designed the study. G.P. established the plots in 2012. K.M. and A.K. collected the soil and roots. A.K. extracted DNA with Nanodrop quality analysis. A.J. and A.K. performed 16S rRNA bioinformatics analysis, data analysis. A.K. and A.J. wrote the manuscript, prepared figures, and Supplementary Files. K.M., G.P. and H.L.T. aided in manuscript and figure revisions, K.M. and A.J. acquired funding for this study. All authors read, contributed to manuscript revision, and approved the submitted version. All authors have read and agreed to the published version of the manuscript.
Funding
This research was funded by the USDA AFRI award #2017-67014-26265 “Microbiomes And Their Metaproteome-Inferred Functions In Four Switchgrass Varieties Cultivated Under Two Densities For Soil Conservation”.
Institutional Review Board Statement
Not applicable.
Data Availability Statement
The dataset presented in this study can be found in online repositories. The names of the repository/repositories and accession number(s) can be found below: soil—PRJNA868389; root PRJNA868384.
Acknowledgments
We would like to thank all those who assisted in the sampling and data acquisition: Ananda Nanjundaswamy, Michael Felton Jr. and Joseph Bridges. We are grateful for the technical assistance by Alina Akhunova, Monica Fernandez De Soto, and Jie Ren at the Integrated Genomic Facility at Kansas State University (https://www.k-state.edu/igenomics/, accessed on 9 January 2019).
Conflicts of Interest
The authors declare no conflicts of interest.
References
- Follett, R.F.; Vogel, K.P.; Varvel, G.E.; Mitchell, R.B.; Kimble, J. Soil Carbon Sequestration by Switchgrass and No-Till Maize Grown for Bioenergy. Bioenergy Res. 2012, 5, 866–875. [Google Scholar] [CrossRef]
- Howard Skinner, R.; Zegada-Lizarazu, W.; Schmidt, J.P. Environmental Impacts of Switchgrass Management for Bioenergy Production. In Switchgrass: A Valuable Biomass Crop for Energy; Monti, A., Ed.; Springer: London, UK, 2012; pp. 129–152. ISBN 9781447129035. [Google Scholar]
- Werling, B.P.; Dickson, T.L.; Isaacs, R.; Gaines, H.; Gratton, C.; Gross, K.L.; Liere, H.; Malmstrom, C.M.; Meehan, T.D.; Ruan, L.; et al. Perennial Grasslands Enhance Biodiversity and Multiple Ecosystem Services in Bioenergy Landscapes. Proc. Natl. Acad. Sci. USA 2014, 111, 1652–1657. [Google Scholar] [CrossRef]
- Lowry, D.B.; Behrman, K.D.; Grabowski, P.; Morris, G.P.; Kiniry, J.R.; Juenger, T.E. Adaptations between Ecotypes and along Environmental Gradients in Panicum virgatum. Am. Nat. 2014, 183, 682–692. [Google Scholar] [CrossRef]
- Mitchell, R.; Vogel, K.P.; Sarath, G. Managing and Enhancing Switchgrass as a Bioenergy Feedstock. Biofuels Bioprod. Biorefin. 2008, 2, 530–539. [Google Scholar] [CrossRef]
- Rodrigues, R.R.; Moon, J.; Zhao, B.; Williams, M.A. Microbial Communities and Diazotrophic Activity Differ in the Root-Zone of Alamo and Dacotah Switchgrass Feedstocks. Glob. Chang. Biol. Bioenergy 2017, 9, 1057–1070. [Google Scholar] [CrossRef]
- Sawyer, A.; Staley, C.; Lamb, J.; Sheaffer, C.; Kaiser, T.; Gutknecht, J.; Sadowsky, M.J.; Rosen, C. Cultivar and Phosphorus Effects on Switchgrass Yield and Rhizosphere Microbial Diversity. Appl. Microbiol. Biotechnol. 2019, 103, 1973–1987. [Google Scholar] [CrossRef] [PubMed]
- Zalapa, J.E.; Price, D.L.; Kaeppler, S.M.; Tobias, C.M.; Okada, M.; Casler, M.D. Hierarchical Classification of Switchgrass Genotypes Using SSR and Chloroplast Sequences: Ecotypes, Ploidies, Gene Pools, and Cultivars. Theor. Appl. Genet. 2011, 122, 805–817. [Google Scholar] [CrossRef]
- Zhang, Y.; Zalapa, J.E.; Jakubowski, A.R.; Price, D.L.; Acharya, A.; Wei, Y.; Brummer, E.C.; Kaeppler, S.M.; Casler, M.D. Post-Glacial Evolution of Panicum virgatum: Centers of Diversity and Gene Pools Revealed by SSR Markers and cpDNA Sequences. Genetica 2011, 139, 933–948. [Google Scholar] [CrossRef]
- Beschoren da Costa, P.; Benucci, G.M.N.; Chou, M.-Y.; Van Wyk, J.; Chretien, M.; Bonito, G. Soil Origin and Plant Genotype Modulate Switchgrass Aboveground Productivity and Root Microbiome Assembly. mBio 2022, 13, e0007922. [Google Scholar] [CrossRef] [PubMed]
- Sutherland, J.; Bell, T.; Trexler, R.V.; Carlson, J.E.; Lasky, J.R. Host Genomic Influence on Bacterial Composition in the Switchgrass Rhizosphere. Mol. Ecol. 2022, 31, 3934–3950. [Google Scholar] [CrossRef]
- Bell-Dereske, L.P.; Benucci, G.M.N.; da Costa, P.B.; Bonito, G.; Friesen, M.L.; Tiemann, L.K.; Evans, S.E. Regional Biogeography versus Intra-Annual Dynamics of the Root and Soil Microbiome. Environ. Microbiome 2023, 18, 50. [Google Scholar] [CrossRef]
- Edwards, J.A.; Saran, U.B.; Bonnette, J.; MacQueen, A.; Yin, J.; Nguyen, T.U.; Schmutz, J.; Grimwood, J.; Pennacchio, L.A.; Daum, C.; et al. Genetic Determinants of Switchgrass-Root-Associated Microbiota in Field Sites Spanning Its Natural Range. Curr. Biol. 2023, 33, 1926–1938.e6. [Google Scholar] [CrossRef]
- Stonoha-Arther, C.; Panke-Buisse, K.; Duff, A.J.; Molodchenko, A.; Casler, M.D. Rhizosphere Microbial Community Structure in High-Producing, Low-Input Switchgrass Families. PLoS ONE 2024, 19, e0308753. [Google Scholar] [CrossRef]
- Mosier, S.; Kelly, L.; Ozlu, E.; Robertson, G.P. Switchgrass (Panicum virgatum L.) Cultivars Have Similar Impacts on Soil Carbon and Nitrogen Stocks and Microbial Function. Glob. Chang. Biol. Bioenergy 2024, 16, e13125. [Google Scholar] [CrossRef]
- Sutherland, J.; Bell, T.H.; Bonos, S.; Tkach, C.; Hansen, J.; Crawford, R.; Carlson, J.E.; Lasky, J.R. Bacterial Assembly in the Switchgrass Rhizosphere Is Shaped by Phylogeny, Host Genotype, and Growing Site. Phytobiomes J. 2025, 9, 468–484. [Google Scholar] [CrossRef]
- Mendes, R.; Garbeva, P.; Raaijmakers, J.M. The Rhizosphere Microbiome: Significance of Plant Beneficial, Plant Pathogenic, and Human Pathogenic Microorganisms. FEMS Microbiol. Rev. 2013, 37, 634–663. [Google Scholar] [CrossRef] [PubMed]
- Ghimire, S.R.; Craven, K.D. Enhancement of Switchgrass (Panicum virgatum L.) Biomass Production under Drought Conditions by the Ectomycorrhizal Fungus Sebacina Vermifera. Appl. Environ. Microbiol. 2011, 77, 7063–7067. [Google Scholar] [CrossRef]
- Chen, H.; Yang, Z.K.; Yip, D.; Morris, R.H.; Lebreux, S.J.; Cregger, M.A.; Klingeman, D.M.; Hui, D.; Hettich, R.L.; Wilhelm, S.W.; et al. One-Time Nitrogen Fertilization Shifts Switchgrass Soil Microbiomes within a Context of Larger Spatial and Temporal Variation. PLoS ONE 2019, 14, e0211310. [Google Scholar] [CrossRef]
- Grady, K.L.; Sorensen, J.W.; Stopnisek, N.; Guittar, J.; Shade, A. Assembly and Seasonality of Core Phyllosphere Microbiota on Perennial Biofuel Crops. Nat. Commun. 2019, 10, 4135. [Google Scholar] [CrossRef]
- Kim, S.; Lowman, S.; Hou, G.; Nowak, J.; Flinn, B.; Mei, C. Growth Promotion and Colonization of Switchgrass (Panicum virgatum) Cv. Alamo by Bacterial Endophyte Burkholderia Phytofirmans Strain PsJN. Biotechnol. Biofuels 2012, 5, 37. [Google Scholar] [CrossRef] [PubMed]
- Ray, P.; Ishiga, T.; Decker, S.R.; Turner, G.B.; Craven, K.D. A Novel Delivery System for the Root Symbiotic Fungus, Sebacina Vermifera, and Consequent Biomass Enhancement of Low Lignin COMT Switchgrass Lines. Bioenergy Res. 2015, 8, 922–933. [Google Scholar] [CrossRef]
- Wang, B.; Seiler, J.R.; Mei, C. A Microbial Endophyte Enhanced Growth of Switchgrass under Two Drought Cycles Improving Leaf Level Physiology and Leaf Development. Environ. Exp. Bot. 2016, 122, 100–108. [Google Scholar] [CrossRef]
- Sher, Y.; Baker, N.R.; Herman, D.; Fossum, C.; Hale, L.; Zhang, X.; Nuccio, E.; Saha, M.; Zhou, J.; Pett-Ridge, J.; et al. Microbial Extracellular Polysaccharide Production and Aggregate Stability Controlled by Switchgrass (Panicum virgatum) Root Biomass and Soil Water Potential. Soil Biol. Biochem. 2020, 143, 107742. [Google Scholar] [CrossRef]
- Clark, R.B.; Baligar, V.C.; Zobel, R.W. Response of Mycorrhizal Switchgrass to Phosphorus Fractions in Acidic Soil. Commun. Soil Sci. Plant Anal. 2005, 36, 1337–1359. [Google Scholar] [CrossRef]
- Emery, S.M.; Reid, M.L.; Bell-Dereske, L.; Gross, K.L. Soil Mycorrhizal and Nematode Diversity Vary in Response to Bioenergy Crop Identity and Fertilization. Glob. Chang. Biol. Bioenergy 2017, 9, 1644–1656. [Google Scholar] [CrossRef]
- Chamberlain, J.F.; Miller, S.A. Policy Incentives for Switchgrass Production Using Valuation of Non-Market Ecosystem Services. Energy Policy 2012, 48, 526–536. [Google Scholar] [CrossRef]
- Chen, L.; Liu, Y. The Function of Root Exudates in the Root Colonization by Beneficial Soil Rhizobacteria. Biology 2024, 13, 95. [Google Scholar] [CrossRef] [PubMed]
- García de Salamone, I.E.; Funes, J.M.; Di Salvo, L.P.; Escobar-Ortega, J.S.; D’Auria, F.; Ferrando, L.; Fernandez-Scavino, A. Inoculation of Paddy Rice with Azospirillum Brasilense and Pseudomonas Fluorescens: Impact of Plant Genotypes on Rhizosphere Microbial Communities and Field Crop Production. Appl. Soil Ecol. 2012, 61, 196–204. [Google Scholar] [CrossRef]
- Zhao, J.; Bodner, G.; Rewald, B.; Leitner, D.; Nagel, K.A.; Nakhforoosh, A. Root Architecture Simulation Improves the Inference from Seedling Root Phenotyping towards Mature Root Systems. J. Exp. Bot. 2017, 68, 965–982. [Google Scholar] [CrossRef] [PubMed]
- Galindo-Castañeda, T.; Hartmann, M.; Lynch, J.P. Location: Root Architecture Structures Rhizosphere Microbial Associations. J. Exp. Bot. 2024, 75, 594–604. [Google Scholar] [CrossRef]
- Brodsky, O.L.; Shek, K.L.; Dinwiddie, D.; Bruner, S.G.; Gill, A.S.; Hoch, J.M.; Palmer, M.I.; McGuire, K.L. Microbial Communities in Bioswale Soils and Their Relationships to Soil Properties, Plant Species, and Plant Physiology. Front. Microbiol. 2019, 10, 2368. [Google Scholar] [CrossRef]
- Jesus, E.d.C.; Liang, C.; Quensen, J.F.; Susilawati, E.; Jackson, R.D.; Balser, T.C.; Tiedje, J.M. Influence of Corn, Switchgrass, and Prairie Cropping Systems on Soil Microbial Communities in the Upper Midwest of the United States. Glob. Change Biol. Bioenergy 2016, 8, 481–494. [Google Scholar] [CrossRef]
- Whitaker, B.K.; Reynolds, H.L.; Clay, K. Foliar Fungal Endophyte Communities Are Structured by Environment but Not Host Ecotype in Panicum virgatum (switchgrass). Ecology 2018, 99, 2703–2711. [Google Scholar] [CrossRef] [PubMed]
- Hargreaves, S.K.; Williams, R.J.; Hofmockel, K.S. Environmental Filtering of Microbial Communities in Agricultural Soil Shifts with Crop Growth. PLoS ONE 2015, 10, e0134345. [Google Scholar] [CrossRef] [PubMed]
- Ulbrich, T.C.; Friesen, M.L.; Roley, S.S.; Tiemann, L.K.; Evans, S.E. Intraspecific Variability in Root Traits and Edaphic Conditions Influence Soil Microbiomes across 12 Switchgrass Cultivars. Phytobiomes J. 2021, 5, 108–120. [Google Scholar] [CrossRef]
- Elevitch, C.R.; Mazaroli, D.N.; Ragone, D. Agroforestry Standards for Regenerative Agriculture. Sustainability 2018, 10, 3337. [Google Scholar] [CrossRef]
- Gordon, E.; Davila, F.; Riedy, C. Transforming Landscapes and Mindscapes through Regenerative Agriculture. Agric. Human Values 2022, 39, 809–826. [Google Scholar] [CrossRef]
- Hoorman, J.J.; Islam, R.; Sundermeier, A.; Reeder, R. Using Cover Crops to Convert to No-Till. 2009. Available online: https://ohioline.osu.edu/factsheet/SAG-11 (accessed on 25 October 2025).
- Hoorman, J.J.; Sundermeier, A. Using Cover Crops to Improve Soil and Water Quality. Available online: https://ohioline.osu.edu/factsheet/anr-57 (accessed on 25 October 2025).
- Jach-Smith, L.C.; Jackson, R.D. N Addition Undermines N Supplied by Arbuscular Mycorrhizal Fungi to Native Perennial Grasses. Soil Biol. Biochem. 2018, 116, 148–157. [Google Scholar] [CrossRef]
- Jach-Smith, L.C.; Jackson, R.D. Inorganic N Addition Replaces N Supplied to Switchgrass (Panicum virgatum) by Arbuscular Mycorrhizal Fungi. Ecol. Appl. 2020, 30, e02047. [Google Scholar] [CrossRef]
- Oates, L.G.; Duncan, D.S.; Gelfand, I.; Millar, N.; Robertson, G.P.; Jackson, R.D. Nitrous Oxide Emissions during Establishment of Eight Alternative Cellulosic Bioenergy Cropping Systems in the North Central United States. Glob. Chang. Biol. Bioenergy 2016, 8, 539–549. [Google Scholar] [CrossRef]
- Shirzad, M.S.; Bana, R.S.; Bamboriya, S.D. Planting Density and Nitrogen Management Effects on Productivity, Quality and Water-Use-Efficiency of Indian Mustard under Conservation Agriculture Based Pearl Millet–mustard System. J. Agric. Ecol. 2020, 10, 69–75. [Google Scholar] [CrossRef]
- Bai, Y.-F.; Shen, Y.-Y.; Jin, Y.-D.; Hong, Y.; Liu, Y.-Y.; Li, Y.-Q.; Liu, R.; Zhang, Z.-W.; Jiang, C.-Q.; Wang, Y.-J. Selective Thinning and Initial Planting Density Management Promote Biomass and Carbon Storage in a Chronosequence of Evergreen Conifer Plantations in Southeast China. Glob. Ecol. Conserv. 2020, 24, e01216. [Google Scholar] [CrossRef]
- Botare, A.B.; Bondar, U.S.; Patil, N.S.; Ghadage, S.S.; Deshmukh, B.J. Comparative Resource Use Structure and Resource Use Efficiency of Conventional Vs High Density Planting System of Bt Cotton in Yavatmal District of Maharashtra. Int. J. Agric. Food Sci. 2025, 7, 641–645. [Google Scholar] [CrossRef]
- Zaiats, A.; Requena-Mullor, J.M.; Germino, M.J.; Forbey, J.S.; Richardson, B.A.; Caughlin, T.T. Spatial Models Can Improve the Experimental Design of Field-Based Transplant Gardens by Preventing Bias due to Neighborhood Crowding. Ecol. Evol. 2022, 12, e9630. [Google Scholar] [CrossRef]
- Postma, J.A.; Hecht, V.L.; Hikosaka, K.; Nord, E.A.; Pons, T.L.; Poorter, H. Dividing the Pie: A Quantitative Review on Plant Density Responses. Plant Cell Environ. 2021, 44, 1072–1094. [Google Scholar] [CrossRef]
- Qiao, R.; Song, Z.; Chen, Y.; Xu, M.; Yang, Q.; Shen, X.; Yu, D.; Zhang, P.; Ding, C.; Guo, H. Planting Density Effect on Poplar Growth Traits and Soil Nutrient Availability, and Response of Microbial Community, Assembly and Function. BMC Plant Biol. 2024, 24, 1035. [Google Scholar] [CrossRef]
- Cavalieri, A.; Bak, F.; Garcia-Lemos, A.M.; Weiner, J.; Nicolaisen, M.H.; Nybroe, O. Effects of Intra- and Interspecific Plant Density on Rhizosphere Bacterial Communities. Front. Microbiol. 2020, 11, 1045. [Google Scholar] [CrossRef]
- Harker, K.N.; Clayton, G.W.; Blackshaw, R.E.; O’Donovan, J.T.; Stevenson, F.C. Seeding Rate, Herbicide Timing and Competitive Hybrids Contribute to Integrated Weed Management in Canola (Brassica Napus). Can. J. Plant Sci. 2003, 83, 433–440. [Google Scholar] [CrossRef]
- Lay, C.-Y.; Bell, T.H.; Hamel, C.; Harker, K.N.; Mohr, R.; Greer, C.W.; Yergeau, É.; St-Arnaud, M. Canola Root-Associated Microbiomes in the Canadian Prairies. Front. Microbiol. 2018, 9, 1188. [Google Scholar] [CrossRef] [PubMed]
- Ashworth, A.J.; DeBruyn, J.M.; Allen, F.L.; Radosevich, M.; Owens, P.R. Microbial Community Structure Is Affected by Cropping Sequences and Poultry Litter under Long-Term No-Tillage. Soil Biol. Biochem. 2017, 114, 210–219. [Google Scholar] [CrossRef]
- DeBruyn, J.M.; Nixon, L.T.; Fawaz, M.N.; Johnson, A.M.; Radosevich, M. Global Biogeography and Quantitative Seasonal Dynamics of Gemmatimonadetes in Soil. Appl. Environ. Microbiol. 2011, 77, 6295–6300. [Google Scholar] [CrossRef]
- Kramer, S.; Marhan, S.; Haslwimmer, H.; Ruess, L.; Kandeler, E. Temporal Variation in Surface and Subsoil Abundance and Function of the Soil Microbial Community in an Arable Soil. Soil Biol. Biochem. 2013, 61, 76–85. [Google Scholar] [CrossRef]
- Lewandowski, T.E.; Forrester, J.A.; Mladenoff, D.J.; Stoffel, J.L.; Gower, S.T.; D’Amato, A.W.; Balser, T.C. Soil Microbial Community Response and Recovery Following Group Selection Harvest: Temporal Patterns from an Experimental Harvest in a US Northern Hardwood Forest. For. Ecol. Manag. 2015, 340, 82–94. [Google Scholar] [CrossRef]
- Lauber, C.L.; Ramirez, K.S.; Aanderud, Z.; Lennon, J.; Fierer, N. Temporal Variability in Soil Microbial Communities across Land-Use Types. ISME J. 2013, 7, 1641–1650. [Google Scholar] [CrossRef]
- Vance, C.L. Plant Density Effect of Four Varieties of Switchgrass (Panicum virgatum L.) on Biomass Development and Nutrient Build-Up in Heavy Soil. Doctoral Dissertation, Alcorn State University, Lorman, MS, USA, 2015. [Google Scholar]
- Villemereuil, P.; Gaggiotti, O.E. A New FST-based Method to Uncover Local Adaptation Using Environmental Variables. Methods Ecol. Evol. 2015, 6, 1248–1258. [Google Scholar] [CrossRef]
- USDA-NRCS Released Brochure for “Alamo” Switchgrass (Panicum virgatum); Plant Materials Center: Knox City, TX, USA, 2012; Available online: https://www.nrcs.usda.gov/plantmaterials/txpmcrb11189.pdf (accessed on 25 October 2025).
- Burns, J.C.; Godshalk, E.B.; Timothy, D.H. Registration of “BoMaster” Switchgrass. J. Plant Regist. 2008, 2, 31–32. [Google Scholar] [CrossRef]
- Burns, J.C.; Godshalk, E.B.; Timothy, D.H. Registration of “colony” Lowland Switchgrass. J. Plant Regist. 2010, 4, 189–194. [Google Scholar] [CrossRef]
- USDA-NRCS Release Brochure for “Kanlow” Switchgrass (Panicum virgatum L.); USDA-Natural Resources Conservation Service. 2011. Available online: https://www.nrcs.usda.gov/plantmaterials/kspmcrb10373.pdf (accessed on 25 October 2025).
- Mehlich, A. Mehlich 3 Soil Test Extractant: A Modification of Mehlich 2 Extractant. Commun. Soil Sci. Plant Anal. 1984, 15, 1409–1416. [Google Scholar] [CrossRef]
- Combs, S.M.; Nathan, M.V.; Soil Organic Matter. In Recommended Chemical Soil Test Procedures for the North Central Region; North Central Regional Research Publication No. 221; 2015; pp. 57–62. Available online: https://extension.missouri.edu/sites/default/files/legacy_media/wysiwyg/Extensiondata/Pub/pdf/specialb/sb1001.pdf (accessed on 25 October 2025).
- Caporaso, J.G.; Lauber, C.L.; Walters, W.A.; Berg-Lyons, D.; Huntley, J.; Fierer, N.; Owens, S.M.; Betley, J.; Fraser, L.; Bauer, M.; et al. Ultra-High-Throughput Microbial Community Analysis on the Illumina HiSeq and MiSeq Platforms. ISME J. 2012, 6, 1621–1624. [Google Scholar] [CrossRef] [PubMed]
- Schloss, P.D.; Westcott, S.L.; Sahl, J.W.; Stres, B.; Thallinger, G.G.; Van Horn, D.J.; Weber, C.F.; Ryabin, T.; Hall, J.R.; Hartmann, M.; et al. Introducing Mothur: Open-Source, Platform-Independent, Community-Supported Software for Describing and Comparing Microbial Communities. Appl. Environ. Microbiol. 2009, 75, 7537–7541. [Google Scholar] [CrossRef]
- Kozich, J.J.; Westcott, S.L.; Baxter, N.T.; Highlander, S.K.; Schloss, P.D. Development of a Dual-Index Sequencing Strategy and Curation Pipeline for Analyzing Amplicon Sequence Data on the MiSeq Illumina Sequencing Platform. Appl. Environ. Microbiol. 2013, 79, 5112–5120. [Google Scholar] [CrossRef] [PubMed]
- Yilmaz, P.; Parfrey, L.W.; Yarza, P.; Gerken, J.; Pruesse, E.; Quast, C.; Schweer, T.; Peplies, J.; Ludwig, W.; Glöckner, F.O. The SILVA and “All-Species Living Tree Project (LTP)” Taxonomic Frameworks. Nucleic Acids Res. 2014, 42, D643–D648. [Google Scholar] [CrossRef]
- Huse, S.M.; Dethlefsen, L.; Huber, J.A.; Mark Welch, D.; Relman, D.A.; Sogin, M.L. Exploring Microbial Diversity and Taxonomy Using SSU rRNA Hypervariable Tag Sequencing. PLoS Genet. 2008, 4, e1000255. [Google Scholar] [CrossRef]
- Gihring, T.M.; Green, S.J.; Schadt, C.W. Massively Parallel rRNA Gene Sequencing Exacerbates the Potential for Biased Community Diversity Comparisons due to Variable Library Sizes. Environ. Microbiol. 2012, 14, 285–290. [Google Scholar] [CrossRef]
- R Core Team. R: A Language and Environment for Statistical Computing. Available online: https://www.R-project.org/ (accessed on 25 October 2025).
- Bates, D.; Mächler, M.; Bolker, B.; Walker, S. Fitting Linear Mixed-Effects Models Using lme4. J. Stat. Softw. 2015, 67, 1–48. [Google Scholar] [CrossRef]
- Oksanen, J.; Blanchet, F.G.; Friendly, M.; Kindt, R. Vegan: Community Ecology Package, R Package Version 2.5-6. 2019. 2020. Available online: https://cran.r-project.org/web/packages/vegan/index.html (accessed on 25 October 2025).
- De Cáceres, M.; Legendre, P. Associations between Species and Groups of Sites: Indices and Statistical Inference. Ecology 2009, 90, 3566–3574. [Google Scholar] [CrossRef]
- Wickham, H. ggplot2: Elegant Graphics for Data Analysis; Springer: New York, NY, USA, 2016; ISBN 9783319242774. [Google Scholar]
- Zhang, Y.; Liu, T.; Guo, J.; Tan, Z.; Dong, W.; Wang, H. Changes in the Understory Diversity of Secondary Pinus Tabulaeformis Forests Are the Result of Stand Density and Soil Properties. Glob. Ecol. Conserv. 2021, 28, e01628. [Google Scholar] [CrossRef]
- Ali, A.; Dai, D.; Akhtar, K.; Teng, M.; Yan, Z.; Urbina-Cardona, N.; Mullerova, J.; Zhou, Z. Response of Understory Vegetation, Tree Regeneration, and Soil Quality to Manipulated Stand Density in a Pinus Massoniana Plantation. Glob. Ecol. Conserv. 2019, 20, e00775. [Google Scholar] [CrossRef]
- Na, M.; Sun, X.; Zhang, Y.; Sun, Z.; Rousk, J. Higher Stand Densities Can Promote Soil Carbon Storage after Conversion of Temperate Mixed Natural Forests to Larch Plantations. Eur. J. For. Res. 2021, 140, 373–386. [Google Scholar] [CrossRef]
- Sanderson, M.A.; Reed, R.L. Switchgrass Growth and Development: Water, Nitrogen, and Plant Density Effects. J. Range Manag. 2000, 53, 221–227. [Google Scholar] [CrossRef]
- VanWallendael, A.; Benucci, G.M.N.; da Costa, P.B.; Fraser, L.; Sreedasyam, A.; Fritschi, F.; Juenger, T.E.; Lovell, J.T.; Bonito, G.; Lowry, D.B. Host Genotype Controls Ecological Change in the Leaf Fungal Microbiome. PLoS Biol. 2022, 20, e3001681. [Google Scholar] [CrossRef] [PubMed]
- Sanderson, M.A.; Reed, R.L.; Ocumpaugh, W.R.; Hussey, M.A.; Van Esbroeck, G.; Read, J.C.; Tischler, C.R.; Hons, F.M. Switchgrass Cultivars and Germplasm for Biomass Feedstock Production in Texas. Bioresour. Technol. 1999, 67, 209–219. [Google Scholar] [CrossRef]
- Casler, M.D.; Vogel, K.P.; Taliaferro, C.M.; Wynia, R.L. Latitudinal Adaptation of Switchgrass Populations. Crop Sci. 2004, 44, 293–303. [Google Scholar] [CrossRef]
- Casler, M.D.; Boe, A.R. Cultivar × Environment Interactions in Switchgrass. Crop Sci. 2003, 43, 2226–2233. [Google Scholar] [CrossRef]
- Chen, J.-Z.; Huang, X.-L.; Sun, Q.-W.; Liu, J.-M. Bulk Soil Microbial Reservoir or Plant Recruitment Dominates Rhizosphere Microbial Community Assembly: Evidence from the Rare, Endangered Lauraceae Species Cinmaomum Migao. Ecol. Indic. 2023, 148, 110071. [Google Scholar] [CrossRef]
- Jones, P.; Garcia, B.J.; Furches, A.; Tuskan, G.A.; Jacobson, D. Plant Host-Associated Mechanisms for Microbial Selection. Front. Plant Sci. 2019, 10, 862. [Google Scholar] [CrossRef] [PubMed]
- Revillini, D.; Wilson, G.W.T.; Miller, R.M.; Lancione, R.; Johnson, N.C. Plant Diversity and Fertilizer Management Shape the Belowground Microbiome of Native Grass Bioenergy Feedstocks. Front. Plant Sci. 2019, 10, 1018. [Google Scholar] [CrossRef] [PubMed]
- Singer, E.; Bonnette, J.; Kenaley, S.C.; Woyke, T.; Juenger, T.E. Plant Compartment and Genetic Variation Drive Microbiome Composition in Switchgrass Roots. Environ. Microbiol. Rep. 2019, 11, 185–195. [Google Scholar] [CrossRef] [PubMed]
- Baker, N.R.; Zhalnina, K.; Yuan, M.; Herman, D.; Ceja-Navarro, J.A.; Sasse, J.; Jordan, J.S.; Bowen, B.P.; Wu, L.; Fossum, C.; et al. Nutrient and Moisture Limitations Reveal Keystone Metabolites Linking Rhizosphere Metabolomes and Microbiomes. Proc. Natl. Acad. Sci. USA 2024, 121, e2303439121. [Google Scholar] [CrossRef]
- Hestrin, R.; Lee, M.R.; Whitaker, B.K.; Pett-Ridge, J. The Switchgrass Microbiome: A Review of Structure, Function, and Taxonomic Distribution. Phytobiomes J. 2021, 5, 14–28. [Google Scholar] [CrossRef]
- Mao, Y.; Yannarell, A.C.; Mackie, R.I. Changes in N-Transforming Archaea and Bacteria in Soil during the Establishment of Bioenergy Crops. PLoS ONE 2011, 6, e24750. [Google Scholar] [CrossRef] [PubMed]
- Conradie, T.; Jacobs, K. Seasonal and Agricultural Response of Acidobacteria Present in Two Fynbos Rhizosphere Soils. Diversity 2020, 12, 277. [Google Scholar] [CrossRef]
- de Chaves, M.G.; Silva, G.G.Z.; Rossetto, R.; Edwards, R.A.; Tsai, S.M.; Navarrete, A.A. Acidobacteria Subgroups and Their Metabolic Potential for Carbon Degradation in Sugarcane Soil Amended with Vinasse and Nitrogen Fertilizers. Front. Microbiol. 2019, 10, 1680. [Google Scholar] [CrossRef]
- Hou, S.; Ren, H.; Fan, F.; Zhao, M.; Zhou, W.; Zhou, B.; Li, C. The Effects of Plant Density and Nitrogen Fertilization on Maize Yield and Soil Microbial Communities in the Black Soil Region of Northeast China. Geoderma 2023, 430, 116325. [Google Scholar] [CrossRef]
- Hu, J.; Miller, G.; Shi, W. Abundance, Diversity, and Composition of Root-Associated Microbial Communities Varied with Tall Fescue Cultivars under Water Deficit. Front. Microbiol. 2022, 13, 1078836. [Google Scholar] [CrossRef]
- Wolfgang, A.; Zachow, C.; Müller, H.; Grand, A.; Temme, N.; Tilcher, R.; Berg, G. Understanding the Impact of Cultivar, Seed Origin, and Substrate on Bacterial Diversity of the Sugar Beet Rhizosphere and Suppression of Soil-Borne Pathogens. Front. Plant Sci. 2020, 11, 560869. [Google Scholar] [CrossRef]
- Kazarina, A.; Sarkar, S.; Thapa, S.; Heeren, L.; Kamke, A.; Ward, K.; Hartung, E.; Ran, Q.; Galliart, M.; Jumpponen, A.; et al. Home-Field Advantage Affects the Local Adaptive Interaction between Andropogon Gerardii Ecotypes and Root-Associated Bacterial Communities. Microbiol. Spectr. 2023, 11, e0020823. [Google Scholar] [CrossRef]
- Lavallee, J.M.; Chomel, M.; Alvarez Segura, N.; de Castro, F.; Goodall, T.; Magilton, M.; Rhymes, J.M.; Delgado-Baquerizo, M.; Griffiths, R.I.; Baggs, E.M.; et al. Land Management Shapes Drought Responses of Dominant Soil Microbial Taxa across Grasslands. Nat. Commun. 2024, 15, 29. [Google Scholar] [CrossRef] [PubMed]
- Boeddinghaus, R.S.; Marhan, S.; Berner, D.; Boch, S.; Fischer, M.; Hölzel, N.; Kattge, J.; Klaus, V.H.; Kleinebecker, T.; Oelmann, Y.; et al. Plant Functional Trait Shifts Explain Concurrent Changes in the Structure and Function of Grassland Soil Microbial Communities. J. Ecol. 2019, 107, 2197–2210. [Google Scholar] [CrossRef]
- de Vries, F.T.; Manning, P.; Tallowin, J.R.B.; Mortimer, S.R.; Pilgrim, E.S.; Harrison, K.A.; Hobbs, P.J.; Quirk, H.; Shipley, B.; Cornelissen, J.H.C.; et al. Abiotic Drivers and Plant Traits Explain Landscape-Scale Patterns in Soil Microbial Communities. Ecol. Lett. 2012, 15, 1230–1239. [Google Scholar] [CrossRef]
- Delgado-Baquerizo, M.; Reich, P.B.; Trivedi, C.; Eldridge, D.J.; Abades, S.; Alfaro, F.D.; Bastida, F.; Berhe, A.A.; Cutler, N.A.; Gallardo, A.; et al. Multiple Elements of Soil Biodiversity Drive Ecosystem Functions across Biomes. Nat. Ecol. Evol. 2020, 4, 210–220. [Google Scholar] [CrossRef]
- Soliveres, S.; van der Plas, F.; Manning, P.; Prati, D.; Gossner, M.M.; Renner, S.C.; Alt, F.; Arndt, H.; Baumgartner, V.; Binkenstein, J.; et al. Biodiversity at Multiple Trophic Levels Is Needed for Ecosystem Multifunctionality. Nature 2016, 536, 456–459. [Google Scholar] [CrossRef]
- Wu, L.; Chen, H.; Chen, D.; Wang, S.; Wu, Y.; Wang, B.; Liu, S.; Yue, L.; Yu, J.; Bai, Y. Soil Biota Diversity and Plant Diversity Both Contributed to Ecosystem Stability in Grasslands. Ecol. Lett. 2023, 26, 858–868. [Google Scholar] [CrossRef]
- Hu, Z.; Delgado-Baquerizo, M.; Fanin, N.; Chen, X.; Zhou, Y.; Du, G.; Hu, F.; Jiang, L.; Hu, S.; Liu, M. Nutrient-Induced Acidification Modulates Soil Biodiversity-Function Relationships. Nat. Commun. 2024, 15, 2858. [Google Scholar] [CrossRef]
- Xin, Y.; Shi, Y.; He, W.-M. A Shift from Inorganic to Organic Nitrogen-Dominance Shapes Soil Microbiome Composition and Co-Occurrence Networks. Front. Microbiol. 2022, 13, 1074064. [Google Scholar] [CrossRef]
- Kostin, J.E.; Cesarz, S.; Lochner, A.; Schädler, M.; Macdonald, C.A.; Eisenhauer, N. Land-Use Drives the Temporal Stability and Magnitude of Soil Microbial Functions and Modulates Climate Effects. Ecol. Appl. 2021, 31, e02325. [Google Scholar] [CrossRef] [PubMed]
- Staley, C.; Ferrieri, A.P.; Tfaily, M.M.; Cui, Y.; Chu, R.K.; Wang, P.; Shaw, J.B.; Ansong, C.K.; Brewer, H.; Norbeck, A.D.; et al. Diurnal Cycling of Rhizosphere Bacterial Communities Is Associated with Shifts in Carbon Metabolism. Microbiome 2017, 5, 65. [Google Scholar] [CrossRef] [PubMed]
- Malik, A.A.; Martiny, J.B.H.; Brodie, E.L.; Martiny, A.C.; Treseder, K.K.; Allison, S.D. Defining Trait-Based Microbial Strategies with Consequences for Soil Carbon Cycling under Climate Change. ISME J. 2020, 14, 1–9. [Google Scholar] [CrossRef]
- Malik, A.A.; Puissant, J.; Goodall, T.; Allison, S.D.; Griffiths, R.I. Soil Microbial Communities with Greater Investment in Resource Acquisition Have Lower Growth Yield. Soil Biol. Biochem. 2019, 132, 36–39. [Google Scholar] [CrossRef]
- Lee, H.; Bloxham, B.; Gore, J. Resource Competition Can Explain Simplicity in Microbial Community Assembly. Proc. Natl. Acad. Sci. USA 2023, 120, e2212113120. [Google Scholar] [CrossRef]
- Tilman, D. Resource Competition and Community Structure. Monogr. Popul. Biol. 1982, 17, 1–296. [Google Scholar]
- White, E.P.; Adler, P.B.; Lauenroth, W.K.; Gill, R.A.; Greenberg, D.; Kaufman, D.M.; Rassweiler, A.; Rusak, J.A.; Smith, M.D.; Steinbeck, J.R.; et al. A Comparison of the Species–time Relationship across Ecosystems and Taxonomic Groups. Oikos 2006, 112, 185–195. [Google Scholar] [CrossRef]
- Pascale, A.; Proietti, S.; Pantelides, I.S.; Stringlis, I.A. Modulation of the Root Microbiome by Plant Molecules: The Basis for Targeted Disease Suppression and Plant Growth Promotion. Front. Plant Sci. 2019, 10, 1741. [Google Scholar] [CrossRef] [PubMed]
- Chung, Y.A.; Ke, P.-J.; Adler, P.B. Mechanistic Approaches to Investigate Soil Microbe-mediated Plant Competition. J. Ecol. 2023, 111, 1590–1597. [Google Scholar] [CrossRef]
- Hannula, S.E.; Kielak, A.M.; Steinauer, K.; Huberty, M.; Jongen, R.; De Long, J.R.; Heinen, R.; Bezemer, T.M. Time after Time: Temporal Variation in the Effects of Grass and Forb Species on Soil Bacterial and Fungal Communities. mBio 2019, 10, e02635-19. [Google Scholar] [CrossRef]
- Wei, G.; Li, M.; Zhang, G.; Chen, Z.; Wei, F.; Jiao, S.; Qian, J.; Wang, Y.; Wei, J.; Wang, Y.; et al. Temporal Dynamics of Rhizosphere Communities across the Life Cycle of Panax Notoginseng. Front. Microbiol. 2022, 13, 853077. [Google Scholar] [CrossRef]
- Zhalnina, K.; Louie, K.B.; Hao, Z.; Mansoori, N.; da Rocha, U.N.; Shi, S.; Cho, H.; Karaoz, U.; Loqué, D.; Bowen, B.P.; et al. Dynamic Root Exudate Chemistry and Microbial Substrate Preferences Drive Patterns in Rhizosphere Microbial Community Assembly. Nat. Microbiol. 2018, 3, 470–480. [Google Scholar] [CrossRef]
- Avolio, M.L.; Forrestel, E.J.; Chang, C.C.; La Pierre, K.J.; Burghardt, K.T.; Smith, M.D. Demystifying Dominant Species. New Phytol. 2019, 223, 1106–1126. [Google Scholar] [CrossRef]
- Cleland, E.E.; Collins, S.L.; Dickson, T.L.; Farrer, E.C.; Gross, K.L.; Gherardi, L.A.; Hallett, L.M.; Hobbs, R.J.; Hsu, J.S.; Turnbull, L.; et al. Sensitivity of Grassland Plant Community Composition to Spatial vs. Temporal Variation in Precipitation. Ecology 2013, 94, 1687–1696. [Google Scholar] [CrossRef] [PubMed]
- Collins, S.L.; Suding, K.N.; Cleland, E.E.; Batty, M.; Pennings, S.C.; Gross, K.L.; Grace, J.B.; Gough, L.; Fargione, J.E.; Clark, C.M. Rank Clocks and Plant Community Dynamics. Ecology 2008, 89, 3534–3541. [Google Scholar] [CrossRef] [PubMed]
- Kazarina, A.; Sarkar, S.; Adams, B.; Rodela, L.; Pogranichny, S.; Hartung, E.; Johnson, L.; Jumpponen, A.M.; Lee, S.T.M. Interaction of Plant-Derived Metabolites and Rhizobiome Functions Enhances Drought Stress Tolerance. Genome Biol. 2024, 26, 310. [Google Scholar] [CrossRef] [PubMed]
Disclaimer/Publisher’s Note: The statements, opinions and data contained in all publications are solely those of the individual author(s) and contributor(s) and not of MDPI and/or the editor(s). MDPI and/or the editor(s) disclaim responsibility for any injury to people or property resulting from any ideas, methods, instructions or products referred to in the content. |
© 2025 by the authors. Licensee MDPI, Basel, Switzerland. This article is an open access article distributed under the terms and conditions of the Creative Commons Attribution (CC BY) license (https://creativecommons.org/licenses/by/4.0/).






