Abstract
The extensive application of fungicides in citrus packinghouses to mitigate economic losses has resulted in the emergence of fungicide-resistant biotypes of Penicillium spp. Furthermore, many countries have implemented strict monitoring of fungicide residues to protect consumer health and the ecosystem. Maximum residue limits (MRLs) have been established in accordance with Codex Alimentarius standards, which present challenges for exports, as exceeding MRLs may restrict market access. This study aimed to identify fungicide-resistant strains of Penicillium spp. in a Moroccan citrus packinghouse and to assess the efficacy of GRAS (Generally Recognized As Safe) salts as eco-friendly alternatives for controlling these resistant strains through in vitro and in vivo tests. A total of 31 Penicillium isolates, labeled H1 to H31, were collected; 10 were identified as P. digitatum and 21 were identified as P. italicum. Resistance to thiabendazole (61.3%) and imazalil (58.1%) was notable, with some isolates showing dual resistance. In vitro, potassium sorbate, sodium benzoate, and sodium tetraborate salts were highly effective at inhibiting the mycelial growth of resistant isolates, at a concentration of 0.3% (p < 0.0001). In vivo tests on ‘Nadorcott’ fruits demonstrated that 2% and 4% salt solutions effectively prevented the development of green and blue molds caused by Penicillium spp. and showed strong curative effects, resulting in nearly 100% inhibition of most fungal isolates. Additionally, preventive salt treatments increased the accumulation of phenolic and flavonoid compounds, while in fruits treated with sodium benzoate, chitinase and peroxidase activities were significantly enhanced.
1. Introduction
Citrus fruits are among the most widely consumed cultivars worldwide because of their high nutritional richness and abundance of bioactive compounds such as flavonoids, terpenes, carotenoids and limonoids [1]. In 2020, global citrus production exceeded 143 million tons (MT), highlighting their importance in the agricultural sector in more than 140 countries around the world [2,3].
Currently, Morocco has emerged as a prominent and significant contributor to this industry worldwide, with a land area of 129,000 ha. The country achieves an annual production of 2.4 MT [4], with 597,000 metric tons of citrus fruits, including tangerines/mandarins, lemons/limes, and oranges, being exported [5]. Generally, citrus fruits are stored before export to preserve their quality and ensure they comply with international standards upon arrival. However, they remain highly susceptible to microbial decay, leading to reduced shelf life and significant economic losses [6]. The genus Penicillium represents a significant and persistent challenge on a global scale [7] and in Morocco [8]. Postharvest fruit rots caused by Penicillium spp. constitute a major component of decay losses in oranges and mandarins during the commercialization period, accounting for approximately 55–80% of total postharvest decay and 30–55% of decay occurring specifically in storage rooms in the packinghouse [9]. Green mold, caused by Penicillium digitatum (Pers.:Fr.) Sacc, is responsible for up to 90% of total losses [10]. Blue mold, resulting from the fungus Penicillium italicum Wehmer, represents a major challenge in cold storage, as it spreads rapidly to neighboring fruits in packed containers [11,12]. A recent study identified both P. digitatum and P. italicum as the most prevalent pathogens affecting stored mandarin fruit, with a combined prevalence of 59.6% reported in 2015 [13].
Effective sanitation and careful handling are essential for managing postharvest decay caused by Penicillium spp. in citrus packing [14]. For decades, synthetic fungicides such as thiabendazole (TBZ), imazalil (IMZ), fludioxonil, and guazatine have been widely used through drenching and wax coating [15,16]. Nevertheless, the intensive and repeated application of chemical products has resulted in the emergence of fungicide-resistant strains. This phenomenon, defined as the stable and inheritable alteration in the pathogen adaptation, reduces its sensitivity to fungicides. It is normally caused by either a single or multiple genetic mutations [17,18]. A number of studies have provided evidence that both P. digitatum and P. italicum have developed resistance to commonly used fungicides [19]. Resistance to benzimidazole fungicides has been identified in numerous fungal species, including both fungi. The resistance associated with mutations in the beta-tubulin gene leads to changes in the amino acid sequence at the benzimidazole-binding site [20,21]. Alongside this, resistance to demethylation inhibitor (DMI) fungicides is mainly caused by two key molecular mechanisms. The first involves point mutation occurs in the coding region of target gene CYP51s, and the resultant 14α-demethylase cannot bind to drugs or has a decreased drug affinity, The second mechanism is the overexpression of the CYP51 gene, leading to an increased level of the enzyme, thereby necessitating higher fungicide concentrations to effectively inhibit its activity [22].
Furthermore, external markets impose rigorous quality standards for the export of citrus fruits, which must adhere to a series of specific requirements, including the restricted use of pesticides. The latest regulations from the European Union, Austria, and the United Kingdom are known to permit stricter MRLs for agrochemicals, and exceeding these levels can lead to the rejection of the fruits [23]. Due to this situation, it is imperative to explore innovative and alternative nonpolluting solutions, particularly in cases where conventional fungicides are not accessible. In this context, the implementation of GRAS salts in postharvest treatment has gained attention because of several factors, including their commercial availability, ease of application, cost-effectiveness, antimicrobial properties, and environmental safety [24,25,26]. In addition to these practical advantages, these salts are known for their antifungal action due to their pH, which inhibits fungal sporulation and mycelial growth. Furthermore, they also activate host defense pathways.
The objective of this study was to collect Penicillium spp. strains from a packinghouse to assess their resistance to routinely employed fungicides targeting Penicillium rots. Furthermore, the potential of GRAS salts will be investigated through in vitro and in vivo methodologies to address resistant isolates and assess their effects on enzyme activity, total phenolic content, and total flavonoid content. Our research is to identify innovative postharvest management solutions for citrus diseases caused by fungicide-resistant strains, ultimately to more sustainable agricultural practices within the industry.
2. Materials and Methods
2.1. Collection and Identification of Isolates from the Packinghouse
Penicillium species were collected in September 2022 from a citrus packinghouse in Morocco. A portable air sampler (PBI Surface Air Systems SAS Super 100 Bio Microbial Air Sampler) was employed to gather air samples from various locations within the commercial packinghouse and deposit them onto a potato dextrose agar (PDA) Petri dish. The control sample was prepared without any treatment, whereas the experimental samples were treated with 0.1 mg/L of the active ingredient imazalil (50%, Fungaflor 500 g/L), and 1.5 mg/L of thiabendazole (50%, Tecto 500 g/L SC). Additional plates were directly exposed to the packinghouse environment for 10 min. After a 72 h incubation at 25 °C, a single colony originating from an individual conidium was transferred onto fresh PDA medium, and the resulting culture was maintained as a unique isolate. The Penicillium species of the isolates were definitively identified as P. italicum or P. digitatum based on macroscopic and microscopic observations. Indeed, the evaluation of the cultural characteristics of isolates relies on the color, shape of colonies, and their pigmentation. The microscopic examination focused on the morphology of the conidia and mycelia, which were then corroborated by the application of taxonomic identification keys [27].
2.2. Characterization of Fungal Sensitivity to Fungicides
A total of 31 Penicillium strains, labeled H1 to H31, were evaluated for their sensitivity to fungicides. The sensitivity was assessed on PDA medium supplemented with IMZ doses of 0, 0.01, 0.1, 1, 2.5, and 10 µg/mL as well as with TBZ doses of 0, 0.05, 0.1, 1, 10, and 25 µg/mL. Subsequently, 17 µL of a conidial suspension, adjusted to 105 conidia/mL using a hemacytometer, was inoculated in the center of the Petri dishes. Three replicate plates were prepared and incubated at 25 °C for seven days. On the basis of the mycelial growth results, the isolates were classified as resistant to IMZ and TBZ if mycelial development was observed at concentrations of 0.1 and 10 µg/mL, respectively [28,29]. The percentage inhibition was determined relative to colony diameters on unamended plates for each specific isolate [30]. For all isolates, the EC50 values, defined as the concentrations that inhibited colony diameter on PDA by 50%, were calculated by linear regression between the probit of the relative growth and the logarithm of the fungicide concentration [31].
2.3. Performance of GRAS Salts in Preventing Penicillium spp. Strains Resistant to Fungicides
In response to the rise of resistant fungi and the limited availability of alternative control products, this part of the study aims to assess the efficacy of salts in mitigating the development of Penicillium isolates that are resistant and sensitive to fungicides, as observed in previous experiment part. In vitro and in vivo investigations were conducted utilizing three natural salts: potassium sorbate (C6H7KO2; MW (150.22 g/mol); E-202), sodium benzoate (C7H5NaO2; MW (144.1 g/mol); E-211), and sodium tetraborate decahydrate (Na2B4O7.10H20; MW (201.27 g/mol); E-285) [32].
2.3.1. In Vitro Antifungal Assay
In vitro studies were performed by incorporating the salt solutions into sterilized PDA medium to achieve final doses of 0, 0.05, 0.1, 0.2, and 0.3%, in accordance with the methodologies specified by [33,34]. PDA medium supplemented with different salt concentrations was immediately poured into Petri dishes. Subsequently, 17 µL of the spore suspension was inoculated onto each plate. Five replicates were prepared for each salt type, concentration, and fungal pathogen. After seven days of incubation at 25 °C, the mycelia growth rate inhibition was calculated using the formula provided by [35].
2.3.2. Preventive and Curative Antifungal Assessments
The in vivo tests were conducted on mature ‘Nadorcott’ mandarin citrus fruits, which were meticulously selected for uniformity of size, color, and the absence of disease symptoms. The fruits were disinfected via immersion in sodium hypochlorite solution (10%) for a period of two minutes, followed by rinsing. Two wounds, each measuring 4 mm in depth and 5 mm in width, were created on opposite sides of the equatorial axis of the fruit using a sterile cork-borer. The same GRAS salts were assessed for their preventive and curative properties against blue and green molds caused by 31 Penicillium spp. For preventive treatment, wounded fruits were immersed for two minutes in salt solutions at concentrations of 2 and 4%. Twenty-four hours later, the inoculation was performed by dropping 40 µL of each pathogen into the wound. For the curative experiment, the fruits were treated with each prepared salt solution 24 h after inoculation. The samples were subsequently placed into plastic cavity boxes containing the imbibed filter paper with SDW to maintain high relative humidity. Ten fruits per treatment were applied. The severity of the lesions was determined, after seven days of incubation at 25 °C, by measuring the diameter of the lesions produced around the inoculated points. The inhibition rates of the severity of the disease was calculated as previously reported [36].
2.3.3. Assessment of Total Phenolic and Flavonoid Contents
Two isolates, sensitive and resistant to fungicides, were used to evaluate phenolic compounds following salts treatment (4%). The compounds were extracted from the flavedo tissue of citrus fruits that had been treated and untreated samples after 48 h of inoculation. The phytochemicals were extracted using 5 mL of 1.2 M HCl in 80% methanol/water and vortexed for 1 min. The samples were then heated at 90 °C for 3 h, with vortexing every 30 min. After cooling to room temperature, the samples were diluted to 10 mL with methanol and centrifuged at 10,000× g for 5 min. The supernatant was subsequently used to determine the total phenolic and total flavonoid content [37].
The total phenolic content was quantified spectrophotometry using the Folin–Ciocateau reagent. First, 0.5 mL of extracts was added to 2.5 mL of Folin–Ciocalteau reagent (10%), followed by the addition of 4 mL of a 7.5% Na2CO3 solution. After 30 min of incubation at room temperature. The absorbance was measured at 765 nm. Gallic acid served as the standard, and the results were expressed as mg gallic acid equivalents (GAE) per g FW [38].
For total flavonoid quantification, the method outlined by Mare et al. [39] was used with slight modifications. Specifically, 0.25 mL of the extract was added to a test tube containing 1.25 mL of distilled water. Then, 0.075 mL of a 5% sodium nitrite (NaNO3) solution was added and left to stand for 5 min, followed by the addition of 0.15 mL of 10% aluminum chloride. After 6 min, 0.5 mL of 1 M sodium hydroxide was introduced. The mixture was then diluted with 0.275 mL of distilled water. Absorbance was measured at 510 nm, and the results were expressed as mg quercetin equivalents (QE) per g FW.
2.3.4. Assessment of Salt-Induced Defense Enzyme Activities: Chitinase and Peroxidase
The salt demonstrating the highest inhibition against the isolates in preventive activity was subsequently used to assess enzymatic activity. Protein were extracted from the flavedo tissue of ‘Valencia late’ citrus fruits, which were subjected to treatment with 4% sodium benzoate or left untreated, with a sampling interval of 48 h [40,41]. The protein concentration was quantified through the Bradford assay [42], using bovine serum albumin as a calibration standard and measuring the absorbance at 750 nm.
Chitinase activity was determined based on the protocol described by El Guilli et al. [43], with chitin as a substrate. Chitin was dissolved in sodium phosphate buffer (0.05 M, pH 5.2) and shaken at 500 rpm for 30 min. A total of 200 μL of 1% (w/v) colloidal chitin plus 200 μL of enzyme extract solution was shaken at 500 rpm at 37 °C for 1 h. After stopping the reaction by heating in boiling water, the mixture was centrifuged at 10,000× g for 5 min and the supernatant was collected to determine chitinase activity. The chitinase activity, defined as the amount of enzyme required to release 1 μmol of N-Acetyl-D-Glucosamine per minute from chitin hydrolysis under the assay conditions, was measured using a spectrophotometer at 550 nm.
The peroxidase activity in the citrus peel was analyzed by monitoring tetra-guaiacol formation from guaiacol, according to the previously reported method [44]. The reaction mixture, consisting of 100 μL of crude extract and 100 μL of 50 mM potassium phosphate (pH 5.0), containing 10 mM guaiacol and 10 mM H2O2, Specific activity, expressed as change in absorbance at 470 nm for 1 min.
2.4. Data Analysis
Statistical analyses were conducted using R version 4.4.1 (14-06-2024 ucrt). The analysis workflow began with an assessment of data normality using the Shapiro–Wilk test. Group differences were statistically evaluated through analysis of variance (ANOVA), with post hoc comparisons performed using Tukey’s Honestly Significant Difference (HSD) test. Data visualization, including boxplots, was carried out using the “ggplot2” package.
3. Results
3.1. Fungal Population and Sensitivity to Fungicides
A total of 31 isolates of Penicillium spp. from citrus fruits were obtained from a commercial packinghouse in Morocco. By means of a detailed morphological analysis conducted both on Petri dishes and a microscopic examination of conidia, ten of these isolates identified as P. digitatum (H1 to H10), while the remaining twenty-one isolates were definitively classified as P. italicum (H11 to H31). The P. digitatum isolates were characterized by their olive-green to brown-green upper surface, attributed to the dense mass of colored conidia, while the underside of the mycelium ranged from white to cream. No exudates were observed, and the surface texture of the mycelium appeared smooth. Microscopically, the conidia were oval, diverse, and relatively large in size (Figure 1). In contrast, P. italicum displayed a blue mold appearance on the upper surface, with orange to brown coloration on the underside, and produced exudates on the upper surface of the mycelium. Microscopically, the conidia were initially cylindrical but often transitioned to an elliptical or subglobose shape, appearing smaller and relatively uniform in size (Figure 1).
Figure 1.
Morphological and microscopic characteristics of representative Penicillium isolates. (a) Upper surface and (b) underside of colonies after 7 days of growth on PDA medium for P. digitatum (H1, H8) and P. italicum (H14, H28). (c) Microscopic morphology of the conidia of each isolate (×40).
3.2. Imazalil and Thiabendazole Sensitivity of the Isolates
The sensitivity test results revealed that the isolates exhibited comparable levels of susceptibility to the tested fungicides. On average, 61.3% of the Penicillium spp. isolates were resistant to TBZ, while 58.1% showed resistance to IMZ. Among the P. digitatum isolates, a uniform response to both fungicides was observed. Specifically, H1, H2, and H3 were sensitive, while isolates H4 to H10 demonstrated resistance (Table 1). In contrast, for P. italicum species, isolates H11 to H20 were sensitive to IMZ, while isolates H21 to H31 showed resistance to it (Table 1). Additionally, isolate H21 exhibited resistance exclusively to IMZ, whereas isolates H19 and H20 were resistant only to TBZ. All Penicillium isolates collected exhibited mean EC50 values of 23.93 µg/mL for thiabendazole and 3.01 µg/mL for imazalil. The isolate H4 and H18 exhibited the most (89.03 µg/mL) and least (0.47 µg/mL) sensitivity value for TBZ, respectively. For IMZ, isolate H26 recorded the highest sensitivity value (14.0) and isolate H15 the lowest (0.01).
Table 1.
Sensitivity of 31 Penicillium species from citrus packinghouse in Morocco to fungicides (the isolates were categorized as resistant or sensitive based on their ability to grow and sporulate on PDA medium containing 0.1 µg/mL IMZ or 10 µg/mL TBZ), and the effective concentrations (EC50) of IMZ and TBZ required to inhibit 50% of mycelial growth on the 31 Penicillium isolates.
3.3. Assessment of GRAS Salts Efficacy on Penicillium spp. Isolates
3.3.1. Antifungal Activity of Salts in In Vitro Assays
In order to assess the efficacy of potassium sorbate, sodium benzoate, and sodium tetraborate salts in preventing disease caused by fungicide-resistant strains, it is essential to measure their inhibitory effects on mycelium growth, as depicted in Figure 2. It is evident that the application of a higher concentration of the three salts under examination resulted in a notable enhancement in the inhibitory effect on fungal growth. Potassium sorbate induced maximum inhibition at 0.3% for both sensitive and resistant isolates (100%) (Figure 2a). Sodium benzoate completely suppressed the resistance of P. digitatum isolates, including H6 to H10, at a concentration of 0.3% (p < 0.0001) (Figure 2b). However, a high level of inhibition was observed for the sensitive isolates, whereas only slight inhibition was noted for the resistant Penicillium species labeled H22 to H28 when treated with sodium tetraborate (Figure 2c).

Figure 2.
In vitro effects of different concentrations of potassium sorbate (a), sodium benzoate (b), and sodium tetraborate decahydrate (c) on the inhibition rates of mycelial growth in fungicide-resistant strains of Penicillium spp. After 7 days of incubation at 25 °C. The data represent the average inhibition rate (%) ± standard error. Different letters indicate significant differences among concentrations within the same isolate (one-way ANOVA, Tukey’s test, p < 0.05).
3.3.2. Antifungal Activity of Salts in Preventive and Curative Assays
The in vivo results corroborated the antifungal efficacy of the three salts against Penicillium spp., which aligns with the in vitro findings (Figure 3 and Figure 4). Indeed, curative assessments demonstrated effects similar to those in vitro. Since in vitro antifungal activity is driven by direct and continuous contact with compounds, while curative treatments involve only brief exposure, the sustained suppression observed in curative activity is likely attributed to the stimulation of primary defenses (SPD), enhancing long-term protection. At a concentration of 4%, potassium sorbate, sodium benzoate, and sodium tetraborate salts exhibited strong curative activity, with sensitive isolates showing complete (100%) inhibition (Figure 3a–c). Some resistant isolates also demonstrate significant inhibition, particularly with sodium benzoate, where inhibition can reach 100%. The curative treatment of these salts is notably effective, it inhibits the majority of the isolates tested. However, certain resistant strains, such as those treated with sodium tetraborate, only show partial inhibition. The preventive activity of the GRAS salts (Figure 4a–c) was clearly evident across all the strains tested, particularly at a concentration of 4%. However, the results showed that the reduction effect was lower in some resistant isolates than in some sensitive isolates. However, sodium benzoate prevents 50% inhibition across all strains at the same concentration.
Figure 3.
Curative activity of potassium sorbate (a), sodium benzoate (b), and sodium tetraborate (c) salts on the reduction in the severity of green and blue molds caused by Penicillium spp. collected from citrus packinghouse. The data represent the average inhibition rate (%) ± standard error. Different letters indicate significant differences among concentrations within the same isolate (one-way ANOVA, Tukey’s test, p < 0.05).
Figure 4.
Preventive activity of potassium sorbate (a), sodium benzoate (b), and sodium tetraborate (c) salts on the reduction of the severity of green and blue molds caused by Penicillium spp. collected from citrus packinghouse. The data represent the average inhibition rate (%) ± standard error. Different letters indicate significant differences among concentrations within the same isolate (one-way ANOVA, Tukey’s test, p < 0.05).
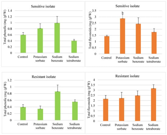
3.3.3. Total Phenolic and Total Flavonoid Contents
We selected phenolic and flavonoids compounds because they are involved in citrus defense against pathogens, as highlighted by several studies [45,46]. The analysis of phenolic compounds in the flavedo citrus fruits revealed no significant differences between the control and the three applied salts, regardless of whether the isolate was sensitive or resistant (Figure 5). When the significance threshold was relaxed to 10%, a difference between the control and sodium benzoate was detected in the resistant isolate. The analysis showed that in the resistant strain, the flavonoid levels in the flavedo remained stable regardless of the treatment applied, with no significant difference between the experimental conditions (p = 0.364). In contrast, in the sensitive strain, the application of the treatments led to a significant increase in flavonoid levels (p = 0.0326). This adaptive response suggests that flavonoids play a key role in the defense of sensitive strains when they are exposed to salts.
Figure 5.
Total phenol (mg gallic acid equivalents/g fw) and total flavonoid (mg quercetin equivalents/g fw) contents in the flavedo of citrus fruits treated with GRAS salts and inoculated with sensitive (H11) and resistant isolates (H5). Columns sharing the letter are significantly different based on Tukey’s test (p < 0.05).
3.3.4. Chitinase and Peroxidase Enzyme Activities
Biochemical analyses showed that salt treatment had a significant effect on both chitinase and peroxidase activities in the flavedo of Valencia late citrus fruits. The peroxidase enzyme catalyzed the conversion of guaiacol to tetraguaiacol, with activity levels reaching 0.037 µmol/min/mg protein in treated tissues compared with 0.017 µmol/min/mg protein in the control. In addition, chitinase activity, estimated as the amount of chitin hydrolyzed, was 6.880 and 1.973 mg/mg protein in treated and untreated fruits, respectively (Figure 6). These results are consistent with the significant increase in resistance observed in the sodium benzoate-treated fruits (in vivo tests), as evidenced by the complete reduction in fungal pathogens that are typically resistant to chemical fungicides.
Figure 6.
Effect of sodium benzoate at a dose of 4% on the induction of peroxidase and chitinase activities in “Valencia late” citrus fruits. Asterisks indicate significant differences (* p < 0.05; ** p < 0.01).
4. Discussion
The green mold and blue mold caused by P. digitatum Sacc. and P. italicum Wehmer, respectively, represent the most important postharvest diseases of citrus worldwide. For over 25 years, chemical fungicides have constituted the principal method for controlling both diseases during the storage and marketing phases [47]. However, Penicillium spp. are classified as high-risk pathogens for developing resistance to fungicides [48]. Therefore, effective management of fungicide-resistant pathogens necessitates continuous monitoring of the occurrence, distribution, and resistance levels of these isolates to the applied fungicides [49]. In our study in Morocco, 31 strains were collected from the packinghouse environment, including 10 strains of P. digitatum (H1 to H10) and 21 strains of P. italicum (H11 and H31). First, their resistance to commonly used fungicides, specifically IMZ and TBZ, was evaluated. The results indicated that 61.3% of the Penicillium spp. isolates were resistant to TBZ and that 58.1% were resistant to IMZ, with some isolates showing resistance to both fungicides simultaneously. In alignment with previous studies, baseline sensitivity studies have been conducted to monitor the development of resistance to fungicides such as IMZ and TBZ across various citrus production regions, including Florida [50], California [30,51], Uruguay [52], and Morocco [53]. A total of 166 isolates collected from packinghouses exhibited simultaneous resistance to two or more fungicides. Specifically, three isolates were resistant to TBZ alone, 56 were resistant to IMZ alone, and 20 demonstrated resistance to both IMZ and TBZ [51]. In Taiwan, a total of 40 isolates of P. digitatum were examined to determine their sensitivity to TBZ fungicides. Of these, 37 isolates (92%) demonstrated high resistance, tolerating TBZ concentrations with EC50 values exceeding 80 μg/mL [54]. Similarly, an analysis of samples from Spanish packing houses indicated that 33% of Penicillium spp. isolates were also resistant to TBZ [55]. This resistance is primarily attributable to the mechanism of action of TBZ fungicides, which belong to the benzimidazole class. They exert their antifungal effects by binding β-tubulin proteins, thereby disrupting microtubule formation during mitosis and hindering the proper progression of cell division [56,57,58]. The previously mentioned authors [54] are the first to report the mutation in TBZ-resistant P. digitatum in citrus, whereby the change from glutamic acid to glutamine at codon 198 and from phenylalanine to tyrosine at codon 200 was identified. Resistance to IMZ, a sterol demethylation inhibitor (DMI) that targets the biosynthesis of ergosterol, has been increasingly documented in Penicillium spp. associated with citrus [59,60,61]. A study was conducted between 2000 and 2010 on 403 P. digitatum isolates collected from packinghouses and supermarkets in Zhejiang Province to assess their sensitivity to IMZ, revealing a significant increase in the prevalence of imazalil-resistant isolates [62]. In fungal plant pathogens, resistance to DMI fungicides has been attributed to several well-characterized mechanisms: (1) point mutations in the CYP51 gene, which modify the target site and reduce the fungicide’s binding affinity [63]; (2) overexpression of the CYP51 gene, resulting in increased production of cytochrome P450-dependent sterol 14α-demethylase, the enzyme targeted by DMIs [64]; and (3) reduced intracellular accumulation of DMIs, often linked to the activation of efflux pumps that actively expel the fungicide from the cell [65].
The aforementioned underscores the persistent difficulties associated with fungicide resistance in the management of postharvest diseases, as evidenced by our study. Moreover, the variability of isolates exhibiting fungicide resistance, along with the potential adverse effects on both environmental and human health, represents a significant challenge. New concepts for integrated production and alternative control methods, including biological control [66], plant extracts, essential oils [17], chitosan [43], synthetic elicitors and physical treatments [67,68], and GRAS salts [24,69] have emerged to tackle concerns regarding the use of synthetic fungicides and prevent further resistance development.
In light of these advancements, our study focused on the potential of GRAS salts (potassium sorbate, sodium benzoate, and disodium tetraborate) as alternative strategies for managing fungicide-resistant Penicillium isolates or replacing fungicides with GRAS salts even in the case of sensitivity. Numerous comparative studies have investigated the antifungal activity of GRAS salts in various crops, including trials on table grapes, bananas, wood-apples, onion, and citrus fruits. Our results demonstrated that the three salts significantly combat and reduce the mycelial growth of fungi in vitro. Notably, this inhibition was highly comparable to the curative activity observed in vivo, suggesting a consistent antifungal mechanism across different application methods. Among the tested compounds, potassium sorbate and sodium benzoate exhibited the highest antifungal activity, whereas disodium tetraborate demonstrated a considerably lower effect. Several studies have reported varying degrees of fungal inhibition among different types of salts. These differences in efficacy could be attributed to variations in their chemical composition and their modes of action. For instance, the organic compounds potassium sorbate and sodium benzoate are synthetic additives that decompose into sorbic acid and benzoic acid, respectively [70,71]. This breakdown leads to acidification of the medium, which acidifies the cytoplasm and disrupts the essential cellular functions of pathogens [72]. The antimicrobial activity of organic salts is also due to the presence of carboxyl group (-COOH) and the number of carbon atoms in their structure. It has been demonstrated that food additives with shorter carbon chains have stronger antibacterial activity [73]. The ability of potassium sorbate to control citrus postharvest diseases has been previously reported by Smilanick et al. [74] and more recently, Olmedo et al. [75] highlighted the effectiveness of KS in controlling Penicillium spp. multiresistant isolates in lemon. Their study showed that a 1% KS solution significantly inhibited both the conidial germination and mycelial growth of sensitive and resistant P. digitatum and P. italicum isolates, with stronger effects observed at acidic pH values. Furthermore, the incorporation of KS into a commercial wax coating markedly reduced mold incidence, even in infections caused by fungicide-resistant strains. Potassium sorbate and sodium benzoate salts are known to disrupt fungal metabolism by altering membrane permeability and interfering with enzymatic processes that are essential for fungal growth [76]. Specifically, potassium sorbate has demonstrated effective antifungal properties against numerous horticultural pathogens by disrupting amino acid transport and inhibiting cellular enzyme systems [35,77]. On the other hand, a decrease in the intracellular pH caused by the accumulation of benzoic acid at a low external pH inhibits glycolysis at the stage of phosphofructokinase, thus depleting the cell of ATP and in consequence, restricting its growth [78]. In the case of borate, recent research has demonstrated that this inorganic salt induces the accumulation of reactive oxygen species in Penicillium spp. spores, ultimately inhibiting their germination. Furthermore, research has shown that the ability of borate to reduce gray mold decay in table grapes is directly related to the disruptive effect of boron on the cell envelope of the pathogen, resulting in the breakdown of the cell membrane and loss of cytoplasmic materials from hyphae [79].
Compared with the preventive and curative efficacy of salts, their inhibitory effectiveness is noticeably reduced in preventive applications. This difference in efficacy between the two approaches may be largely attributed to pH dynamics. In curative treatments, salts are applied after the pathogen has colonized the host, making the actively growing mycelium more vulnerable to the effects of organic and inorganic salts. This direct exposure likely disrupts fungal cell homeostasis, leading to increased inhibition. Recent research conducted by Allagui et Ben Amara [80] demonstrated that the mode of application plays a decisive role in the effectiveness of compounds. Specifically, their work on sodium metabisulfite against Botrytis cinerea on apples revealed that preventive treatments were significantly less effective than curative applications. Olmedo et al. [75] reported that the preventive use of potassium sorbate has no significant effect, whereas curative treatments effectively controlled green and blue mold on lemon fruits, including fungicide-resistant isolates. The ineffectiveness of the preventive approach was linked to increased emission of volatile organic compounds, such as acetaldehyde and ethanol, from the fruit shortly after the treatment commenced. These volatile chemicals are associated with the acceleration of conidial development and an increased rate of disease [81].
Several studies have shown that certain antifungal substances can disrupt pathogen cells by damaging the cell wall and plasma membrane integrity. The fungal cell wall is crucial for maintaining cell morphology and protecting against external stressors. Among its key components, chitin plays an essential role in the cell’s ability to withstand environmental changes, thus contributing to cell survival [82]. The enhanced CHI activity has the capacity to degrade chitin [83]. Evidence from several studies suggests that CHI contributes to restricting fungal development in a range of crops, including dragon fruit [84], cucumber [85], okra (Abelmoschus esculentus L.) [86], and citrus fruits [82,87], by triggering systemic resistance. In addition, antioxidant enzymes such as CAT, POD, and SOD play crucial roles in plant defense mechanisms by regulating the levels of reactive oxygen species (ROS), thereby enhancing the plant’s resistance to pathogen attacks [80]. In addition, non-enzymatic antioxidants including phenolic compounds, flavonoids, and others, are the other side of the antioxidant mechanism. Phenolic compounds and flavonoids protect diverse components of the cell from damage and play important roles in plant growth and development by altering cellular processes [88]. In our study, the fruit elicitation effect of these salts was assessed by examining the levels of phenol and flavonoids in both treated and untreated fruits, as well as assessing enzymatic activity, including POD and CHI. In line with the results of a previous study [37], where potassium sorbate treatment did not increase the total phenolic content in kiwifruit, our results also revealed no significant change in phenolic compounds after treatment with potassium sorbate, sodium benzoate, and disodium tetraborate salts. This contrasts with the findings of Youssef et al. [88], who observed a significant increase in the total phenol and flavonoid contents in response to potassium bicarbonate, sodium silicate, and calcium chelate salts. Together, our findings, along with those from other studies, suggest that the accumulation of phenolic compounds is linked to disease resistance and the type of salts used. However, treatment with sodium benzoate significantly influenced CHI and POD activity, which were markedly higher in the salt-treated fruits compared to the control fruits. This is in line with another study in which aluminum sulfate application to citrus fruits led to a progressive increase in CHI activity, peaking on day 4, while POD activity reached its maximum on day 5, both of which significantly surpassed control levels [82].
Unlike chemical fungicides that act directly on the pathogen, these salts enhance the plant’s natural defense mechanisms by inducing systemic resistance. This non-specific mode of action may reduce the likelihood of resistance development, as the pathogen cannot easily bypass multiple, unspecific stress responses. However, further research is needed to better understand how different resistant isolates, plant tissues, and their metabolic pathways respond to various salt solutions. Investigating transcriptome profiling could offer valuable insights into the mechanisms by which salt solutions mitigate postharvest diseases caused by fungicide-resistant species.
5. Conclusions
Potassium sorbate, sodium benzoate, and sodium tetraborate significantly inhibited fungicide-resistant Penicillium strains isolated from a citrus packinghouse in Morocco. The effects were more pronounced in curative treatments, facilitating their application in citrus packinghouses, particularly in drenchers and throughout the various stages of citrus conditioning until export. The utilization of GRAS salts may serve as an effective method for prolonging the shelf life of fruit, especially for postharvest diseases. These salts are natural substances with alleged minimum environmental impact, are safe for consumer health, are residue-free on citrus fruits, and do not affect the quality of the fruit. Consequently, they are a crucial element in fulfilling the requirements of global markets.
Author Contributions
M.H.: writing—original draft, visualization, methodology, investigation, formal analysis, data curation; L.Z., S.M.J., and M.E.A.: writing—review and editing, investigation; N.B.: investigation; R.Z., J.A., and M.E.G.: writing—review and editing, resources, visualization, supervision, methodology, conceptualization. All authors have read and agreed to the published version of the manuscript.
Funding
This research received no external funding. The APC was funded by “Centre d’Appui à la Production Scientifique”, Université Ibn Tofail, B.P 242 -Kenitra.
Institutional Review Board Statement
Not applicable.
Data Availability Statement
Data are contained within the article.
Acknowledgments
The authors would like to express their sincere gratitude to Ibn Tofail University (Kenitra, Morocco) and UPRI ERIT PSII, Avignon University (France) for their valuable support throughout this work.
Conflicts of Interest
The authors declare that they have no conflicts of interest.
Correction Statement
This article has been republished with a minor correction to the Funding statement. This change does not affect the scientific content of the article.
Abbreviations
The following abbreviations are used in this manuscript:
| EC50 | Effective concentrations 50 |
| FW | Fresh Weight |
| GAE | Gallic acid equivalents |
| GRAS | Generally Recognized As Safe |
| IMZ | Imazalil |
| MRLs | Maximum residue limits |
| PDA | Potato dextrose agar |
| P. digitatum | Penicillium digitatum |
| P. italicum | Penicillium italicum |
| QE | Quercitin equivalents |
| TBZ | Thiabendazole |
References
- Saini, R.K.; Ranjit, A.; Sharma, K.; Prasad, P.; Shang, X.; Gowda, K.G.M.; Keum, Y.-S. Bioactive compounds of citrus fruits: A review of composition and health benefits of carotenoids, flavonoids, limonoids, and terpenes. Antioxidants 2022, 11, 239. [Google Scholar] [CrossRef] [PubMed]
- Chen, Y.; Barzee, T.J.; Zhang, R.; Pan, Z. Integrated Processing Technologies for Food and Agricultural By-Products; Elsevier: Amsterdam, The Netherlands, 2019; pp. 217–242. [Google Scholar] [CrossRef]
- FAO. Citrus Fruit Fresh and Processed Statistical Bulletin 2020; FAO: Rome, Italy, 2021; Available online: https://coilink.org/20.500.12592/bsg3dv (accessed on 29 April 2025).
- Fédération Interprofessionnelle Marocaine des Agrumes—Recherche Google n.d. Available online: https://www.google.com/search?q=F%C3%A9d%C3%A9ration+Interprofessionnelle+Marocaine+des+Agrumes&oq=F%C3%A9d%C3%A9ration+Interprofessionnelle+Marocaine+des+Agrumes&gs_lcrp=EgZjaHJvbWUqBggAEEUYOzIGCAAQRRg7MggIARAAGBYYHjIHCAIQABjvBTIHCAMQABjvBdIBBzk1MWowajeoAgiwAgHxBQbqkEqpPS2i&sourceid=chrome&ie=UTF-8 (accessed on 29 April 2025).
- USDA. Navigo 2024. Available online: https://voyager.fas.usda.gov/voyager/navigo/show?id=2c144d95-62c1-593c-82b5-a31e44bd0885&disp=default (accessed on 23 February 2024).
- Talibi, I.; Boubaker, H.; Boudyach, E.; Ait Ben Aoumar, A. Alternative methods for the control of postharvest citrus diseases. J. Appl. Microbiol. 2014, 117, 1–17. [Google Scholar] [CrossRef] [PubMed]
- Louw, J.P.; Korsten, L. Pathogenicity and Host Susceptibility of Penicillium spp. on Citrus. Plant Dis. 2015, 99, 21–30. [Google Scholar] [CrossRef] [PubMed]
- Yazid, J.B.; Chafik, Z.; Chedadi, T. Assessment of the main causes of sorting gaps in the Citrus packinghouses of Berkane, Morocco. Moroc. J. Agric. Sci. 2020, 1, 264–273. [Google Scholar]
- Tuset, J. Tuset: Podredumbres de los Frutos Cítricos—Google Scholar 1987. Available online: https://scholar.google.com/scholar_lookup?title=Podredumbres%20de%20los%20Frutos%20C%C3%ADtricos&author=J.J.%20Tuset&publication_year=1988 (accessed on 23 February 2024).
- Costa, J.H.; Bazioli, J.M.; de Moraes Pontes, J.G.; Fill, T.P. Penicillium digitatum infection mechanisms in citrus: What do we know so far? Fungal Biol. 2019, 123, 584–593. [Google Scholar] [CrossRef]
- Bhatta, U.K. Alternative management approaches of citrus diseases caused by Penicillium digitatum (green mold) and Penicillium italicum (blue mold). Front. Plant Sci. 2022, 12, 833328. [Google Scholar] [CrossRef]
- Ladaniya, M.S. Commercial Fresh Citrus Cultivars and Producing Countries: Citrus Fruit; Elsevier: Amsterdam, The Netherlands, 2008; pp. 13–65. [Google Scholar] [CrossRef]
- Saito, S.; Xiao, C.L. Prevalence of Postharvest Diseases of Mandarin Fruit in California. Plant Health Prog. 2017, 18, 204–210. [Google Scholar] [CrossRef]
- Hamrani, M.; Baiz, Z.; Samedi, A.; Iacoboni, D.; Abdelhak, H.; El Guilli, M. Effectiveness of the ANECO® as a new disinfectant in packinghouse against the main citrus postharvest pathogens. Acta Hortic. 2025, 1422, 431–442. [Google Scholar] [CrossRef]
- Kanetis, L.; Förster, H.; Adaskaveg, J.E. Baseline Sensitivities for New Postharvest Fungicides Against Penicillium spp. on Citrus and Multiple Resistance Evaluations in P. digitatum. Plant Dis. 2008, 92, 301–310. [Google Scholar] [CrossRef]
- Kellerman, M.; Liebenberg, E.; Njombolwana, N.; Erasmus, A.; Fourie, P.H. Postharvest dip, drench and wax coating application of pyrimethanil on citrus fruit: Residue loading and green mould control. Crop Prot. 2018, 103, 115–129. [Google Scholar] [CrossRef]
- Chen, C.; Cai, N.; Chen, J.; Wan, C. Clove Essential Oil as an Alternative Approach to Control Postharvest Blue Mold Caused by Penicillium italicum in Citrus Fruit. Biomolecules 2019, 9, 197. [Google Scholar] [CrossRef] [PubMed]
- Ireland, K.B.; Beard, C.; Cameron, J.; Chang, S.; Davidson, J.; Dodhia, K.N.; Garrard, T.A.; Hills, A.L.; Holloway, G.; Jayasena, K.W.; et al. Fungicide Resistance Management in Australian Grain Crops; Grains Research and Development Corporation: Barton, Australia, 2021. [Google Scholar]
- Zhu, H.; Zhao, L.; Zhang, X.; Foku, J.M.; Li, J.; Hu, W.; Zhang, H. Efficacy of Yarrowia lipolytica in the biocontrol of green mold and blue mold in Citrus reticulata and the mechanisms involved. Biol. Control 2019, 139, 104096. [Google Scholar] [CrossRef]
- El-Goorani, M.A.; El-Kasheir, H.M.; Kabeel, M.T.; Shoeib, A.A. Resistance to benzimidazole fungicides of Penicillium italicum and P. digitatum isolated from packinghouses and orchards in Egypt. Plant Dis. 1984, 68, 100–102. [Google Scholar] [CrossRef]
- Sánchez-Torres, P.; Tuset, J.J. Molecular insights into fungicide resistance in sensitive and resistant Penicillium digitatum strains infecting citrus. Postharvest Biol. Technol. 2011, 59, 159–165. [Google Scholar] [CrossRef]
- Carter, H.E.; Fraaije, B.A.; West, J.S.; Kelly, S.L.; Mehl, A.; Shaw, M.W.; Cools, H.J. Alterations in the predicted regulatory and coding regions of the sterol 14α-demethylase gene (CYP51) confer decreased azole sensitivity in the oilseed rape pathogen Pyrenopeziza brassicae. Mol. Plant Pathol. 2014, 15, 513–522. [Google Scholar] [CrossRef]
- CBI. What Requirements Must Fresh Fruit or Vegetables Comply with to Be Allowed on the European Market?|CBI 2024. Available online: https://www.cbi.eu/market-information/fresh-fruit-vegetables/buyer-requirements (accessed on 30 September 2024).
- Hamrani, M.; Lahlali, R.; Ziri, R.; Ezzouggari, R.; Brhadda, N.; Lauri, F.; Mokrini, F.; Barka, E.A.; El Guilli, M. Citrus bliss: Potassium, sodium, and calcium silicates secrets for post-harvest diseases of fruit defense. Ital. J. Food Saf. 2024, 13, 12714. [Google Scholar] [CrossRef]
- Palou, L.; Pérez-Gago, M.B. GRAS Salts as Alternative Low-Toxicity Chemicals for Postharvest Preservation of Fresh Horticultural Products; Spadaro, D., Droby, S., Gullino, M.L., Eds.; Springer International Publishing: Cham, Switzerland, 2021; Volume 11, pp. 163–479. [Google Scholar] [CrossRef]
- Soto-Muñoz, L.; Taberner, V.; de la Fuente, B.; Jerbi, N.; Palou, L. Curative activity of postharvest GRAS salt treatments to control citrus sour rot caused by Geotrichum citri-aurantii. Int. J. Food Microbiol. 2020, 335, 108860. [Google Scholar] [CrossRef] [PubMed]
- Pitt, J.I. Phylogeny in the genus Penicillium: A morphologist’s perspective. Can. J. Bot. 1995, 73, 768–777. [Google Scholar] [CrossRef]
- Fischer, I.H.; Lourenço, S.A.; Spósito, M.B.; Amorim, L. Characterisation of the fungal population in citrus packing houses. Eur. J. Plant Pathol. 2009, 123, 449–460. [Google Scholar] [CrossRef]
- Zhu, J.; Xie, Q.; Li, H. Occurrence of imazalil-resistant biotype of Penicillium digitatum in China and the resistant molecular mechanism. J. Zhejiang Univ. Sci. A 2006, 7, 362–365. [Google Scholar] [CrossRef]
- Holmes, G.J.; Eckert, J.W. Sensitivity of Penicillium digitatum and P. italicum to Postharvest Citrus Fungicides in California. Phytopathology 1999, 89, 716–721. [Google Scholar] [CrossRef] [PubMed]
- Vázquez, D.; Panozzo, M.; Almirón, N.; Bello, F.; Burdyn, L.; Garrán, S. Characterization of sensitivity of grove and packing house isolates of Penicillium digitatum to pyrimethanil. Postharvest Biol. Technol. 2014, 98, 1–6. [Google Scholar] [CrossRef]
- EU. Regulation-231/2012-EN-EUR-Lex 2024. Available online: https://eur-lex.europa.eu/legal-content/EN/TXT/?uri=celex%3A32012R0231 (accessed on 3 March 2024).
- Martínez-Blay, V.; Pérez-Gago, M.B.; de la Fuente, B.; Carbó, R.; Palou, L. Edible coatings formulated with antifungal GRAS salts to control citrus anthracnose caused by Colletotrichum gloeosporioides and preserve postharvest fruit quality. Coatings 2020, 10, 730. [Google Scholar] [CrossRef]
- Youssef, K.; Ligorio, A.; Sanzani, S.M.; Nigro, F.; Ippolito, A. Control of storage diseases of citrus by pre-and postharvest application of salts. Postharvest Biol. Technol. 2012, 72, 57–63. [Google Scholar] [CrossRef]
- Ge, M.; Zhang, L.; Ai, J.; Ji, R.; He, L.; Liu, C. Effect of heat shock and potassium sorbate treatments on gray mold and postharvest quality of ‘XuXiang’ kiwifruit. Food Chem. 2020, 324, 126891. [Google Scholar] [CrossRef]
- El-Mougy, N.S.; El-Gamal, N.G.; Abd-El-Kareem, F. Use of organic acids and salts to control postharvest diseases of lemon fruits in Egypt. Arch. Phytopathol. Plant Prot. 2008, 41, 467–476. [Google Scholar] [CrossRef]
- Abeysinghe, D.C.; Li, X.; Sun, C.; Zhang, W.; Zhou, C.; Chen, K. Bioactive compounds and antioxidant capacities in different edible tissues of citrus fruit of four species. Food Chem. 2007, 104, 1338–1344. [Google Scholar] [CrossRef]
- Safdar, M.N.; Kausar, T.; Jabbar, S.; Mumtaz, A.; Ahad, K.; Saddozai, A.A. Extraction and quantification of polyphenols from kinnow (Citrus reticulate L.) peel using ultrasound and maceration techniques. J. Food Drug Anal. 2017, 25, 488–500. [Google Scholar] [CrossRef]
- Mare, R.; Pujia, R.; Maurotti, S.; Greco, S.; Cardamone, A.; Coppoletta, A.R.; Bonacci, S.; Procopio, A.; Pujia, A. Assessment of Mediterranean Citrus Peel Flavonoids and Their Antioxidant Capacity Using an Innovative UV-Vis Spectrophotometric Approach. Plants 2023, 12, 4046. [Google Scholar] [CrossRef]
- Ballester, A.R.; Lafuente, M.T.; González-Candelas, L. Spatial study of antioxidant enzymes, peroxidase and phenylalanine ammonia-lyase in the citrus fruit–Penicillium digitatum interaction. Postharvest Biol. Technol. 2006, 39, 115–124. [Google Scholar] [CrossRef]
- Youssef, K.; Sanzani, S.M.; Ligorio, A.; Fallanaj, F.; Nigro, F.; Ippolito, A. Biochemical and transcriptomic changes associated with induced resistance in citrus fruits treated with sodium salts. Acta Hortic. 2015, 1065, 1627–1632. [Google Scholar] [CrossRef]
- Bradford, M.M. A rapid and sensitive method for the quantitation of microgram quantities of protein utilizing the principle of protein-dye binding. Anal. Biochem. 1976, 72, 248–254. [Google Scholar] [CrossRef]
- El Guilli, M.; Hamza, A.; Clément, C.; Ibriz, M.; Ait Barka, E. Effectiveness of postharvest treatment with chitosan to control citrus green mold. Agriculture 2016, 6, 12. [Google Scholar] [CrossRef]
- Fallanaj, F.; Ippolito, A.; Ligorio, A.; Garganese, F.; Zavanella, C.; Sanzani, S.M. Electrolyzed sodium bicarbonate inhibits Penicillium digitatum and induces defence responses against green mould in citrus fruit. Postharvest Biol. Technol. 2016, 115, 18–29. [Google Scholar] [CrossRef]
- Costa, J.H.; Fernandes, L.S.; Akiyama, D.Y.; Fill, T.P. Exploring the interaction between citrus flavonoids and phytopathogenic fungi through enzymatic activities. Bioorganic Chem. 2020, 102, 104126. [Google Scholar] [CrossRef]
- Ortuño, A.; Díaz, L.; Alvarez, N.; Porras, I.; García-Lidón, A.; Del Río, J.A. Comparative study of flavonoid and scoparone accumulation in different Citrus species and their susceptibility to Penicillium digitatum. Food Chem. 2011, 125, 232–239. [Google Scholar] [CrossRef]
- Ismail, M.; Zhang, J. Post-harvest citrus diseases and their control. Outlooks Pest Manag. 2004, 15, 29–35. [Google Scholar] [CrossRef]
- FRAC, Pathogen Resk List. 2019. Available online: https://www.frac.info/publications/all-downloads/#open-tour (accessed on 29 April 2025).
- Yin, Y.; Miao, J.; Shao, W.; Liu, X.; Zhao, Y.; Ma, Z. Fungicide Resistance: Progress in Understanding Mechanism, Monitoring, and Management. Phytopathology 2023, 113, 707–718. [Google Scholar] [CrossRef] [PubMed]
- Brown, E.G. Baseline sensitivity of Florida isolates of Penicillium digitatum to imazalil. Plant Dis. 1989, 73, 773–774. [Google Scholar] [CrossRef]
- Kinay, P.; Mansour, M.F.; Gabler, F.M.; Margosan, D.A.; Smilanick, J.L. Characterization of fungicide-resistant isolates of Penicillium digitatum collected in California. Crop Prot. 2007, 26, 647–656. [Google Scholar] [CrossRef]
- Pérez, E.; Blanco, O.; Berreta, C.; Dol, I.; Lado, J. Imazalil concentration for in vitro monitoring of imazalil resistant isolates of Penicillium digitatum in citrus packinghouses. Postharvest Biol. Technol. 2011, 60, 258–262. [Google Scholar] [CrossRef]
- Boubaker, H.; Saadi, B.; Boudyach, E.H.; Benaoumar, A.A. Sensitivity of Penicillium digitatum and P. italicum to Imazalil and Thiabendazole in Morocco. Plant Pathol. J. 2009, 8, 152–158. [Google Scholar] [CrossRef][Green Version]
- Lee, M.-H.; Pan, S.-M.; Ng, T.-W.; Chen, P.-S.; Wang, L.-Y.; Chung, K.-R. Mutations of β-tubulin codon 198 or 200 indicate thiabendazole resistance among isolates of Penicillium digitatum collected from citrus in Taiwan. Int. J. Food Microbiol. 2011, 150, 157–163. [Google Scholar] [CrossRef] [PubMed]
- Palou, L.; Usall, J.; Pons, J.; Cerdà, M.C.; Viñas, I. Micoflora em centrales citrícolas de Tarragona. Rev. Investig. Agrar. Prod. Protección Veg. 2001, 16, 447–462. [Google Scholar]
- Paluh, J.L.; Killilea, A.N.; Detrich, H.W.; Downing, K.H. Meiosis-specific Failure of Cell Cycle Progression in Fission Yeast by Mutation of a Conserved β-Tubulin Residue. Mol. Biol. Cell. 2004, 15, 1160–1171. [Google Scholar] [CrossRef]
- Hollomon, D.W.; Butters, J.A.; Barker, H.; Hall, L. Fungal β-Tubulin, Expressed as a Fusion Protein, Binds Benzimidazole and Phenylcarbamate Fungicides. Antimicrob. Agents Chemother. 1998, 42, 2171–2173. [Google Scholar] [CrossRef]
- Baraldi, E.; Mari, M.; Chierici, E.; Pondrelli, M.; Bertolini, P.; Pratella, G.C. Studies on thiabendazole resistance of Penicillium expansum of pears: Pathogenic fitness and genetic characterization. Plant Pathol. 2003, 52, 362–370. [Google Scholar] [CrossRef]
- van Gestel, J. Imazalil-sensitive and less sensitive strains of Penicillium digitatum: Competition experiments on oranges. CABI Databases 1988, 3, 1511–1514. [Google Scholar]
- Waard, M.A.; Groeneweg, H.; Nistelrooy, J.G.M. Laboratory resistance to fungicides which inhibit ergosterol biosynthesis in Penicillium italicum. Neth. J. Plant Pathol. 1982, 88, 99–112. [Google Scholar] [CrossRef]
- Xi, Y.; Zhang, J.; Fan, B.; Sun, M.; Cao, W.; Liu, X.; Gai, Y.; Shen, C.; Wang, H.; Wang, M. Transcriptome Analysis Reveals Potential Regulators of DMI Fungicide Resistance in the Citrus Postharvest Pathogen Penicillium digitatum. J. Fungi 2024, 10, 360. [Google Scholar] [CrossRef]
- Sun, X.; Wang, J.; Feng, D.; Ma, Z.; Li, H. PdCYP51B, a new putative sterol 14α-demethylase gene of Penicillium digitatum involved in resistance to imazalil and other fungicides inhibiting ergosterol synthesis. Appl. Microbiol. Biotechnol. 2011, 91, 1107–1119. [Google Scholar] [CrossRef]
- Ghosoph, J.M.; Schmidt, L.S.; Margosan, D.A.; Smilanick, J.L. Imazalil resistance linked to a unique insertion sequence in the PdCYP51 promoter region of Penicillium digitatum. Postharvest Biol. Technol. 2007, 44, 9–18. [Google Scholar] [CrossRef]
- Hamamoto, H.; Hasegawa, K.; Nakaune, R.; Lee, Y.J.; Makizumi, Y.; Akutsu, K.; Hibi, T. Tandem Repeat of a Transcriptional Enhancer Upstream of the Sterol 14α-Demethylase Gene (CYP51) in Penicillium digitatum. Appl. Environ. Microbiol. 2000, 66, 3421–3426. [Google Scholar] [CrossRef] [PubMed]
- de Waard, M.A.; van Nistelrooy, J.G.M. An energy-dependent efflux mechanism for fenarimol in a wild-type strain and fenarimol-resistant mutants of Aspergillus nidulans. Pestic. Biochem. Physiol. 1980, 13, 255–266. [Google Scholar] [CrossRef]
- El Ammari, M.; Ziri, R.; El Bahja, F.; Hamrani, M.; Boukita, H.; Brhadda, N.; Bouzakraoui, S.; Fahad, K. Biological control of citrus pests: A systematic bibliometric analysis 2000–2023. J. Agric. Food Res. 2025, 19, 101492. [Google Scholar] [CrossRef]
- Aarrouf, J.; Urban, L. Flashes of UV-C light: An innovative method for stimulating plant defences. PLoS ONE 2020, 15, e0235918. [Google Scholar] [CrossRef]
- Palou, L. Control of citrus postharvest diseases by physical means. Tree For. Sci. Biotechnol. 2009, 3, 127–142. [Google Scholar]
- Zhao, J.; Wang, Y.; Liu, Q.; Liu, S.; Pan, H.; Cheng, Y.; Long, C. The GRAS Salts of Na2SiO3 and EDTA-Na2 Control Citrus Postharvest Pathogens by Disrupting the Cell Membrane. Foods 2023, 12, 2368. [Google Scholar] [CrossRef]
- Dehghan, P.; Mohammadi, A.; Mohammadzadeh-Aghdash, H.; Ezzati Nazhad Dolatabadi, J. Pharmacokinetic and toxicological aspects of potassium sorbate food additive and its constituents. Trends Food Sci. Technol. 2018, 80, 123–130. [Google Scholar] [CrossRef]
- Montesinos-Herrero, C.; Moscoso-Ramírez, P.A.; Palou, L. Evaluation of sodium benzoate and other food additives for the control of citrus postharvest green and blue molds. Postharvest Biol. Technol. 2016, 115, 72–80. [Google Scholar] [CrossRef]
- Brul, S.; Coote, P. Preservative agents in foods: Mode of action and microbial resistance mechanisms. Int. J. Food Microbiol. 1999, 50, 1–17. [Google Scholar] [CrossRef] [PubMed]
- Mohammadzadeh-Aghdash, H.; Sohrabi, Y.; Mohammadi, A.; Shanehbandi, D.; Dehghan, P.; Ezzati Nazhad Dolatabadi, J. Safety assessment of sodium acetate, sodium diacetate and potassium sorbate food additives. Food Chem. 2018, 257, 211–215. [Google Scholar] [CrossRef]
- Smilanick, J.L.; Mansour, M.F.; Gabler, F.M.; Sorenson, D. Control of citrus postharvest green mold and sour rot by potassium sorbate combined with heat and fungicides. Postharvest Biol. Technol. 2008, 47, 226–238. [Google Scholar] [CrossRef]
- Olmedo, G.M.; Debes, M.A.; Sepúlveda, M.; Ramallo, J.; Rapisarda, V.A.; Cerioni, L.; Volentini, S.I. Overcoming lemon postharvest molds caused by Penicillium spp. multiresistant isolates by the application of potassium sorbate in aqueous and wax treatments. J. Food Sci. 2023, 88, 2960–2967. [Google Scholar] [CrossRef] [PubMed]
- Romli, N.F.A.; Sukor, R.; Rukayadi, Y.; Mohsin, A.Z. The efficacy of sodium benzoate and potassium sorbate in inhibiting the growth of food fungi and bacteria. Songklanakarin J. Sci. Technol. 2023, 45, 138–145. [Google Scholar]
- Sharma, R.R.; Singh, D.; Singh, R. Biological control of postharvest diseases of fruits and vegetables by microbial antagonists: A review. Biol. Control 2009, 50, 205–221. [Google Scholar] [CrossRef]
- Krebs, H.A.; Wiggins, D.; Stubbs, M.; Sols, A.; Bedoya, F. Studies on the mechanism of the antifungal action of benzoate. Biochem. J. 1983, 214, 657–663. [Google Scholar] [CrossRef]
- Qin, G.; Zong, Y.; Chen, Q.; Hua, D.; Tian, S. Inhibitory effect of boron against Botrytis cinerea on table grapes and its possible mechanisms of action. Int. J. Food Microbiol. 2010, 138, 145–150. [Google Scholar] [CrossRef]
- Allagui, M.B.; Amara, M.B. Effectiveness of Sodium Metabisulfite against Fungal Rot of Fruit after Harvest and Assessment of the Phytotoxicity Induced in Treated Fruit. Preprint 2024. [Google Scholar] [CrossRef]
- Allagui, M.B.; Ben Amara, M. Effectiveness of Several GRAS Salts against Fungal Rot of Fruit after Harvest and Assessment of the Phytotoxicity of Sodium Metabisufite in Treated Fruit. J. Fungi 2024, 10, 359. [Google Scholar] [CrossRef]
- Liu, S.; Du, Y.; Zhang, D.; Yang, F.; He, X.; Long, C. Aluminum sulfate inhibits green mold by inducing chitinase activity of Penicillium digitatum and enzyme activity of citrus fruit. Food Control 2022, 136, 108854. [Google Scholar] [CrossRef]
- Yang, J.; Zhang, K.-Q. Chitin Synthesis and Degradation in Fungi: Biology and Enzymes; Yang, Q., Fukamizo, T., Eds.; Springer: Singapore, 2019; Volume 1142, pp. 153–167. [Google Scholar] [CrossRef]
- Ali, A.; Zahid, N.; Manickam, S.; Siddiqui, Y.; Alderson, P.G.; Maqbool, M. Induction of lignin and pathogenesis related proteins in dragon fruit plants in response to submicron chitosan dispersions. Crop Prot. 2014, 63, 83–88. [Google Scholar] [CrossRef]
- Hammerschmidt, R.; Nuckles, E.M.; Kuć, J. Association of enhanced peroxidase activity with induced systemic resistance of cucumber to Colletotrichum lagenarium. Physiol. Plant Pathol. 1982, 20, 73–82. [Google Scholar] [CrossRef]
- Soliman, M.H.; El-Mohamedy, R.S.R. Induction of Defense-Related Physiological and Antioxidant Enzyme Response against Powdery Mildew Disease in Okra (Abelmoschus esculentus L.) Plant by Using Chitosan and Potassium Salts. Mycobiology 2017, 45, 409–420. [Google Scholar] [CrossRef] [PubMed]
- Ballester, A.R.; Izquierdo, A.; Lafuente, M.T.; González-Candelas, L. Biochemical and molecular characterization of induced resistance against Penicillium digitatum in citrus fruit. Postharvest Biol. Technol. 2010, 56, 31–38. [Google Scholar] [CrossRef]
- Youssef, K.; Roberto, S.R.; Tiepo, A.N.; Constantino, L.V.; de Resende, J.T.V.; Abo-Elyousr, K.A. Salt solution treatments trigger antioxidant defense response against gray mold disease in table grapes. J. Fungi 2020, 6, 179. [Google Scholar] [CrossRef]
Disclaimer/Publisher’s Note: The statements, opinions and data contained in all publications are solely those of the individual author(s) and contributor(s) and not of MDPI and/or the editor(s). MDPI and/or the editor(s) disclaim responsibility for any injury to people or property resulting from any ideas, methods, instructions or products referred to in the content. |
© 2025 by the authors. Licensee MDPI, Basel, Switzerland. This article is an open access article distributed under the terms and conditions of the Creative Commons Attribution (CC BY) license (https://creativecommons.org/licenses/by/4.0/).