Sign in to use this feature.

Years

Between: -

Subjects

remove_circle_outline
remove_circle_outline
remove_circle_outline
remove_circle_outline
remove_circle_outline
remove_circle_outline

Journals

Article Types

Countries / Regions

Search Results (36)

Search Parameters:
Keywords = GRAS salts

Order results
Result details
Results per page
Select all
Export citation of selected articles as:
14 pages, 2060 KB  
Article
Effect of Preharvest Application of Sodium Benzoate and Potassium Sorbate on Fungal Decay Incidence and Postharvest Quality of Cold-Stored Fino Lemon Fruit
by María Gutiérrez-Pozo, Vicente Serna-Escolano, Marina Giménez-Berenguer, María Á. Botella, Pedro J. Zapata and María J. Giménez
Agronomy 2026, 16(1), 105; https://doi.org/10.3390/agronomy16010105 - 31 Dec 2025
Abstract
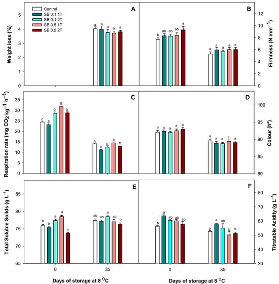
The Citrus limon (L.) Burm. f. industry suffers significant losses due to fungal diseases. Therefore, this study aimed to evaluate the effectiveness of sodium benzoate (SB) and potassium sorbate (PS) on the incidence of fungal decay and fruit quality when used as preharvest [...] Read more.
The Citrus limon (L.) Burm. f. industry suffers significant losses due to fungal diseases. Therefore, this study aimed to evaluate the effectiveness of sodium benzoate (SB) and potassium sorbate (PS) on the incidence of fungal decay and fruit quality when used as preharvest treatments on Fino lemon trees over two consecutive seasons (2021–2023). Lower concentrations of SB and PS (0.1% and 0.5%) applied in one or two treatments successfully controlled fungal decay. On average, SB achieved a greater reduction in decay, ranging from 45% to 60%, compared to PS’s reduction of 25% to 50%. This approach minimised the negative impact on lemon fruit quality, in contrast to the highest doses (more than 1%) and the greatest number of applications (more than three times), which increased lemon susceptibility to decay. Furthermore, lemons treated with 0.5% SB twice enhanced antioxidant systems, showing a 35% increase in total phenolic content in the flavedo at harvest compared to the control. Consequently, the application of 0.5% SB twice at preharvest emerges as a promising and potential alternative to conventional fungicides for effective fungal decay control and maintenance of acceptable lemon quality traits during cold storage. Full article
Show Figures

Figure 1

19 pages, 1622 KB  
Article
Generally Recognized as Safe Salts for a Natural Strategy to Managing Fungicide-Resistant Penicillium Strains in the Moroccan Citrus Packinghouse
by Meriem Hamrani, Lamyaa Zelmat, Seyed Mehdi Jazayeri, Mohamed El Ammari, Najiba Brhadda, Rabea Ziri, Jawad Aarrouf and Mohammed El Guilli
Agriculture 2025, 15(21), 2184; https://doi.org/10.3390/agriculture15212184 - 22 Oct 2025
Viewed by 686
Abstract
The extensive application of fungicides in citrus packinghouses to mitigate economic losses has resulted in the emergence of fungicide-resistant biotypes of Penicillium spp. Furthermore, many countries have implemented strict monitoring of fungicide residues to protect consumer health and the ecosystem. Maximum residue limits [...] Read more.
The extensive application of fungicides in citrus packinghouses to mitigate economic losses has resulted in the emergence of fungicide-resistant biotypes of Penicillium spp. Furthermore, many countries have implemented strict monitoring of fungicide residues to protect consumer health and the ecosystem. Maximum residue limits (MRLs) have been established in accordance with Codex Alimentarius standards, which present challenges for exports, as exceeding MRLs may restrict market access. This study aimed to identify fungicide-resistant strains of Penicillium spp. in a Moroccan citrus packinghouse and to assess the efficacy of GRAS (Generally Recognized As Safe) salts as eco-friendly alternatives for controlling these resistant strains through in vitro and in vivo tests. A total of 31 Penicillium isolates, labeled H1 to H31, were collected; 10 were identified as P. digitatum and 21 were identified as P. italicum. Resistance to thiabendazole (61.3%) and imazalil (58.1%) was notable, with some isolates showing dual resistance. In vitro, potassium sorbate, sodium benzoate, and sodium tetraborate salts were highly effective at inhibiting the mycelial growth of resistant isolates, at a concentration of 0.3% (p < 0.0001). In vivo tests on ‘Nadorcott’ fruits demonstrated that 2% and 4% salt solutions effectively prevented the development of green and blue molds caused by Penicillium spp. and showed strong curative effects, resulting in nearly 100% inhibition of most fungal isolates. Additionally, preventive salt treatments increased the accumulation of phenolic and flavonoid compounds, while in fruits treated with sodium benzoate, chitinase and peroxidase activities were significantly enhanced. Full article
Show Figures

Figure 1

18 pages, 3186 KB  
Article
Genome-Wide Identification and Functional Prediction of the GRAS Transcription Factor Family in Rice Under Abiotic Stress Conditions
by Meng Zhan, Daohe Liu, Yuxing Peng and Yulu Zhou
Int. J. Plant Biol. 2025, 16(3), 95; https://doi.org/10.3390/ijpb16030095 - 19 Aug 2025
Viewed by 957
Abstract
GRAS transcription factors play a crucial role in plant response to abiotic stresses. In this study, 61 members of the rice GRAS family, categorized into nine subfamilies, were identified by searching the latest genome sequence of rice. The OsGRAS genes that may respond [...] Read more.
GRAS transcription factors play a crucial role in plant response to abiotic stresses. In this study, 61 members of the rice GRAS family, categorized into nine subfamilies, were identified by searching the latest genome sequence of rice. The OsGRAS genes that may respond to abiotic stresses were predicted by analyzing the cis-acting elements of the promoters of the genes and the structural features of the proteins. The results showed that the known OsGRAS drought-tolerant genes and OsGRAS salt-tolerant genes have a special structure in their protein structures, and nine genes that may be related to drought tolerance and six genes that may be related to salt tolerance were predicted in this study based on these special structures. The results of tissue expression profiling showed that OsGRAS family genes were expressed in different degrees during plant growth and development, and the expression of DELLA, PAT1, and HAM subfamily members was generally high. Finally, the analysis of the expression levels of 16 randomly selected OsGRAS genes under drought and salt stress conditions showed significant up-regulation of OsGRAS14 and OsGRAS21 under both stress treatments, and OsGRAS52 was significantly down-regulated under drought stress and up-regulated under salt stress. The present study provides important clues for exploring the molecular basis of the mechanism of rice response to abiotic stress, and also provides new ideas for the improvement of rice germplasm resources. Full article
Show Figures

Figure 1

21 pages, 6068 KB  
Article
Comprehensive Genomic Analysis of GRAS Transcription Factors Reveals Salt-Responsive Expression Profiles in Pecan (Carya illinoinensis)
by Ming Xu, Yu Chen and Guoming Wang
Forests 2025, 16(7), 1199; https://doi.org/10.3390/f16071199 - 21 Jul 2025
Viewed by 626
Abstract
Salt stress severely limits the growth and ornamental value of pecan (Carya illinoinensis) in salinized regions, yet the transcriptional mechanisms underlying its stress adaptation remain unclear. In this study, a comprehensive genomic analysis of the GRAS transcription factor family identified 58 [...] Read more.
Salt stress severely limits the growth and ornamental value of pecan (Carya illinoinensis) in salinized regions, yet the transcriptional mechanisms underlying its stress adaptation remain unclear. In this study, a comprehensive genomic analysis of the GRAS transcription factor family identified 58 CiGRAS genes in pecan. These genes were classified into 11 subfamilies and showed conserved motifs and gene structures, with variation in promoter cis-elements suggesting diverse regulatory functions. Chromosomal distribution and duplication analysis indicated that whole-genome and dispersed duplication events were the main drivers of CiGRAS expansion. Transcriptome data revealed tissue-specific expression and strong responsiveness to salt and other stresses. Under 0.6% NaCl treatment, several CiGRAS genes were significantly upregulated, especially at 48 h. Gene co-expression analysis further highlighted GRAS-enriched modules associated with redox regulation and stress signaling. qRT-PCR validation confirmed time-specific induction of seven CiGRAS genes under salt stress. These findings provide insights into the evolutionary dynamics and stress-related roles of CiGRAS genes and offer candidate regulators for improving pecan salt tolerance in ecological greening and landscape applications. Full article
(This article belongs to the Special Issue Abiotic and Biotic Stress Responses in Trees Species)
Show Figures

Figure 1

27 pages, 9300 KB  
Article
Genome-Wide Identification of the GRAS Transcription Factor Family in Sweet Orange and the Regulation of Salt Stress-Enhanced Plant Salt Tolerance in Sweet Orange by CsGRAS15 and CsGRAS27
by Hailin Ren, Rong Xu, Jie Wang, Qian Zhang, Lili Nie, Li Zhang, Xianyan Zhou, Xiaozhen Liu and Hanyao Zhang
Biomolecules 2025, 15(7), 946; https://doi.org/10.3390/biom15070946 - 29 Jun 2025
Cited by 1 | Viewed by 964
Abstract
Background: GRAS transcription factors are crucial for plant development and stress responses but remain poorly characterized in citrus. Soil salinization increasingly threatens sweet orange (Citrus sinensis) yield. Identifying salt-responsive GRAS genes could reveal key tolerance determinants for breeding resistant cultivars. Methods: [...] Read more.
Background: GRAS transcription factors are crucial for plant development and stress responses but remain poorly characterized in citrus. Soil salinization increasingly threatens sweet orange (Citrus sinensis) yield. Identifying salt-responsive GRAS genes could reveal key tolerance determinants for breeding resistant cultivars. Methods: We systematically identified and analyzed sweet orange GRAS transcription factors using bioinformatics. Results: Forty-three CsGRAS genes were identified, phylogenetically classified into ten subfamilies, and found to be structurally conserved. A promoter analysis revealed a high prevalence (58.78%) of hormone- and stress-responsive cis-elements. These genes reside on nine chromosomes, with segmental duplication being the primary evolutionary driver (eight duplicated pairs). Functional enrichment implicated hormone signaling pathways in regulating growth under stress. Transcriptome profiling identified 42 differentially expressed CsGRAS genes (19 upregulated and 23 downregulated) under salt stress. qRT-PCR validated the expression patterns of selected genes (e.g., CsGRAS15 and CsGRAS27). Notably, DELLA subfamily members CsGRAS15 and CsGRAS27, key negative regulators in gibberellin (GA) signaling, were differentially expressed. Modulating these DELLA proteins presents a promising strategy to enhance sweet orange salt tolerance by mitigating GA-mediated growth inhibition during stress. Conclusion: This study identifies salt-responsive CsGRAS genes, highlighting CsGRAS15 and CsGRAS27 as potential targets for improving salt tolerance in citrus. Full article
(This article belongs to the Section Molecular Genetics)
Show Figures

Figure 1

24 pages, 27138 KB  
Article
Comprehensive Genome-Wide Characterization of the GRAS Gene Family and Their Role in Salt Stress Tolerance in Punica granatum L.
by Jingyi Huang, Hongfang Ren, Fan Cheng, Yingfen Teng, Xueqing Zhao and Zhaohe Yuan
Horticulturae 2025, 11(5), 504; https://doi.org/10.3390/horticulturae11050504 - 7 May 2025
Cited by 2 | Viewed by 1018
Abstract
The GRAS gene family is broadly distributed in plants and plays key regulatory roles in development, signal transduction, and the adaptation to adverse environments. Pomegranate (Punica granatum L.)—a high-value fruit tree with ecological, economic, health, and ornamental importance—exhibits notable salt tolerance. While [...] Read more.
The GRAS gene family is broadly distributed in plants and plays key regulatory roles in development, signal transduction, and the adaptation to adverse environments. Pomegranate (Punica granatum L.)—a high-value fruit tree with ecological, economic, health, and ornamental importance—exhibits notable salt tolerance. While GRAS genes have been characterized in various species, their functional roles in pomegranate remain underexplored. In this study, 54 GRAS genes (PgGRAS) were identified in the pomegranate genome and were found to be unevenly distributed across eight chromosomes. Phylogenetic analysis grouped these genes into eight subfamilies, revealing highly similar conserved motifs, functional domains, and gene structures within each group. Notably, the DELLA subfamily is distinguished by a unique DELLA domain. Our findings indicate that the expansion of GRAS genes in pomegranate may be linked to fragment duplication events, and many PgGRAS genes contain both phytohormone- and stress-responsive cis-elements. Under 200 mM NaCl treatment, the expression of two DELLA genes was markedly upregulated. Therefore, PgGRAS24 was selected as a candidate gene for stable expression in Arabidopsis to further verify the role of DELLA family members in plant salt tolerance. Overall, this study provides new insights into the molecular functions of the GRAS gene family in pomegranate, gives insights into their role in salt stress tolerance, and lays a theoretical foundation for developing salt-tolerant pomegranate varieties. Full article
Show Figures

Figure 1

20 pages, 11397 KB  
Article
Valorization of Residual Babassu Mesocarp Biomass to Obtain Aroma Compounds by Solid-State Fermentation
by Tamires N. dos Anjos, Robert Wojcieszak, Selma G. F. Leite and Ivaldo Itabaiana Jr
Microbiol. Res. 2024, 15(3), 1386-1405; https://doi.org/10.3390/microbiolres15030093 - 29 Jul 2024
Cited by 3 | Viewed by 1549
Abstract
In this work, solid-state fermentation (SSF) was applied to babassu mesocarp (BM) for the low-cost bioproduction of natural aroma compounds having Trichoderma harzianum (IOC 4042) and Geotrichum candidum (CCT 1205) as microbial agents. Fermentation was carried out using in natura babassu mesocarp (IN-BM) [...] Read more.
In this work, solid-state fermentation (SSF) was applied to babassu mesocarp (BM) for the low-cost bioproduction of natural aroma compounds having Trichoderma harzianum (IOC 4042) and Geotrichum candidum (CCT 1205) as microbial agents. Fermentation was carried out using in natura babassu mesocarp (IN-BM) and defatted babassu mesocarp through soxhlet extraction (DEF-BM) as support, impregnated with hydration solutions of three and seven salts. The compounds produced were analyzed using solid phase microextraction (SPME) and gas chromatography coupled with a mass spectrometer (GC-MS). Among several aroma compounds detected, 6-pentyl-α-pyrone (6-PP)—GRAS 3696, coconut aroma; 2-phenylethanol (2-PE)—GRAS 2858, rose and honey aroma; and hexanal—GRAS 2557, green apple aroma, were the compounds that that were detected with the greatest intensity. The highest concentrations (ppm (w/w)) of 6-PP and 2-PE were obtained in DEF-BM using NS7SG (308.17 ± 3.18 and 414.53 ± 1.96), respectively, while for hexanal, the highest concentration (ppm (w/w)) was obtained in IN-BM using NS7SG (210.83 ± 2.14). The results indicate that producing aroma compounds by G. candidum and T. harzianum through BM SSF is viable, generating value-added compounds. Full article
Show Figures

Graphical abstract

19 pages, 7974 KB  
Article
Genome-Wide Identification of GRAS Transcription Factors and Their Functional Analysis in Salt Stress Response in Sugar Beet
by Xiaolin Hao, Yongyong Gong, Sixue Chen, Chunquan Ma and Huizi Duanmu
Int. J. Mol. Sci. 2024, 25(13), 7132; https://doi.org/10.3390/ijms25137132 - 28 Jun 2024
Cited by 6 | Viewed by 2027
Abstract
GAI-RGA-and-SCR (GRAS) transcription factors can regulate many biological processes such as plant growth and development and stress defense, but there are few related studies in sugar beet. Salt stress can seriously affect the yield and quality of sugar beet (Beta vulgaris). [...] Read more.
GAI-RGA-and-SCR (GRAS) transcription factors can regulate many biological processes such as plant growth and development and stress defense, but there are few related studies in sugar beet. Salt stress can seriously affect the yield and quality of sugar beet (Beta vulgaris). Therefore, this study used bioinformatics methods to identify GRAS transcription factors in sugar beet and analyzed their structural characteristics, evolutionary relationships, regulatory networks and salt stress response patterns. A total of 28 BvGRAS genes were identified in the whole genome of sugar beet, and the sequence composition was relatively conservative. According to the topology of the phylogenetic tree, BvGRAS can be divided into nine subfamilies: LISCL, SHR, PAT1, SCR, SCL3, LAS, SCL4/7, HAM and DELLA. Synteny analysis showed that there were two pairs of fragment replication genes in the BvGRAS gene, indicating that gene replication was not the main source of BvGRAS family members. Regulatory network analysis showed that BvGRAS could participate in the regulation of protein interaction, material transport, redox balance, ion homeostasis, osmotic substance accumulation and plant morphological structure to affect the tolerance of sugar beet to salt stress. Under salt stress, BvGRAS and its target genes showed an up-regulated expression trend. Among them, BvGRAS-15, BvGRAS-19, BvGRAS-20, BvGRAS-21, LOC104892636 and LOC104893770 may be the key genes for sugar beet’s salt stress response. In this study, the structural characteristics and biological functions of BvGRAS transcription factors were analyzed, which provided data for the further study of the molecular mechanisms of salt stress and molecular breeding of sugar beet. Full article
Show Figures

Figure 1

14 pages, 2819 KB  
Article
Effectiveness of Several GRAS Salts against Fungal Rot of Fruit after Harvest and Assessment of the Phytotoxicity of Sodium Metabisufite in Treated Fruit
by Mohamed Bechir Allagui and Mouna Ben Amara
J. Fungi 2024, 10(5), 359; https://doi.org/10.3390/jof10050359 - 17 May 2024
Cited by 6 | Viewed by 3032
Abstract
This study evaluates the efficacy of the salts sodium metabisulfite (SMB), ammonium bicarbonate, sodium bicarbonate, and potassium dihydrogen orthophosphate first in vitro against the main postharvest fruit rot fungi, Alternaria alternata, Botrytis cinerea, Penicillium italicum, and Penicillium digitatum. Results [...] Read more.
This study evaluates the efficacy of the salts sodium metabisulfite (SMB), ammonium bicarbonate, sodium bicarbonate, and potassium dihydrogen orthophosphate first in vitro against the main postharvest fruit rot fungi, Alternaria alternata, Botrytis cinerea, Penicillium italicum, and Penicillium digitatum. Results showed that 0.2% SMB completely inhibited the mycelium growth of the fungal species. Ammonium bicarbonate and sodium bicarbonate were less effective at 0.2% in inhibiting mycelial growth, ranging from 57.6% to 77.6%. The least effective was potassium dihydrogen orthophosphate. Experiments were also performed in vivo on wounded apples inoculated with the most pathogenic fungus, B. cinerea, and treated with SMB at concentrations of 0.2, 0.5, 1, 2, and 3%, both preventively and curatively. Results based on the decay size showed that SMB, when used as a preventive treatment, had a reduced efficacy, even with the highest concentration. However, this salt proved to be very effective at 0.5% in curative treatment since the decay was completely blocked. Our results suggest that the appropriate concentration of SMB for post-harvest treatment is 0.5% as a curative treatment. On the other hand, the 1% dose induced the onset of phytotoxicity around the wound. To assess the extent of the phytotoxicity reaction, higher concentrations of 1–4% SMB were applied to wounded fruit. Apples and oranges were inoculated or not with B. cinerea and P. digitatum, respectively. Doses of 1–4% induced phytotoxicity in the form of a discolored ring surrounding the wound on the epidermis of the fruit; this phytotoxicity enlarged as the concentration of SMB increased. The phytotoxic features were similar on apples and oranges. The methodological procedure made it possible to carry out a quantitative assessment of SMB phytotoxicity. This method is proposed as an easy-to-use technique for quantitatively estimating the phytotoxicity of antifungal compounds on post-harvest fruit. Full article
Show Figures

Figure 1

11 pages, 1620 KB  
Article
Utilising Response Surface Methodology to Optimise Food Additives and Treatments Reduces Disease Caused by Penicillium digitatum and Penicillium italicum in ‘Valencia’ Oranges
by John Archer, Penta Pristijono, Quan V. Vuong, Lluís Palou and John B. Golding
Horticulturae 2024, 10(5), 453; https://doi.org/10.3390/horticulturae10050453 - 29 Apr 2024
Cited by 1 | Viewed by 1605
Abstract
Penicillium digitatum and Penicillium italicum are responsible for citrus green and blue moulds (GM and BM), respectively, which are major citrus postharvest diseases. The aim of this study was to develop an optimal dipping mixture of an aqueous solution of different food additives: [...] Read more.
Penicillium digitatum and Penicillium italicum are responsible for citrus green and blue moulds (GM and BM), respectively, which are major citrus postharvest diseases. The aim of this study was to develop an optimal dipping mixture of an aqueous solution of different food additives: sodium bicarbonate (SB), sodium benzoate (SBen), and potassium sorbate (PS), in combination with heat, to control GM and BM using response surface methodology. The ranges of SB (0.0%, 3.0%, 6.0%), SBen (0.0%, 0.5%, 1.0%), PS (0.0%, 0.5%, 1.0%) and temperature (20 °C, 35 °C, 50 °C) with a dipping time of 60s were tested for their impact on GM and BM on artificially inoculated oranges. Within these tested ranges, SB reduced GM severity and incidences of both GM and BM. PS affected BM severity and incidence, but not GM. SBen and temperature did not have impact on GM and BM. The most suitable food additive concentrations were identified to be 4.7% SB, 1.0% SBen and 0.7% PS, with a dipping solution temperature of 50 °C. This treatment was shown to reduce GM and BM incidence from 85 and 86% on control fruit dipped in tap water at 20 °C to 3 and 10%, respectively. Additionally, the severity of GM and BM was reduced from 64 and 26 mm on control fruit to <1 and 2.8 mm, respectively. Full article
(This article belongs to the Section Plant Pathology and Disease Management (PPDM))
Show Figures

Figure 1

20 pages, 4625 KB  
Article
Estimation of Soil Salt Content at Different Depths Using UAV Multi-Spectral Remote Sensing Combined with Machine Learning Algorithms
by Jiawei Cui, Xiangwei Chen, Wenting Han, Xin Cui, Weitong Ma and Guang Li
Remote Sens. 2023, 15(21), 5254; https://doi.org/10.3390/rs15215254 - 6 Nov 2023
Cited by 22 | Viewed by 3247
Abstract
Soil salinization seriously affects the sustainable development of agricultural production; thus, the timely, efficient, and accurate estimation of soil salt content (SSC) has important research significance. In this study, the feasibility of soil salt content retrieval using machine learning models was explored based [...] Read more.
Soil salinization seriously affects the sustainable development of agricultural production; thus, the timely, efficient, and accurate estimation of soil salt content (SSC) has important research significance. In this study, the feasibility of soil salt content retrieval using machine learning models was explored based on a UAV (unmanned aerial vehicle) multi-spectral remote sensing platform. First, two variable screening methods (Pearson correlation analysis and Grey relational analysis) are used to screen the characteristic importance of 20 commonly used spectral indices. Then, the sensitive spectral variables were divided into a vegetation index group, a salt index group, and a combination variable group, which represent the model. To estimate SSC information for soil depths of 0–20 cm and 20–40 cm, three machine learning regression models were constructed: Support Vector Machine (SVM), Random Forest (RF), and Backpropagation Neural Network (BPNN). Finally, the salt distribution map for a 0–20 cm soil depth was drawn based on the best estimation model. The results of experiments show that GRA is better than PCA in improving the accuracy of the estimation model, and the combination variable group containing soil moisture information performs best. The three machine learning models have achieved good prediction effects to some extent. The accuracy and stability of the model are considered comprehensively, the prediction effect of 0–20 cm is higher than that of 20–40 cm, and the validation set coefficient of determination (R2), Root-Mean-Square-Error (RMSE), and Mean Absolute Error (MAE) of the best inversion model are 0.775, 0.055, and 0.038, and the soil salt spatial map based on the optimal estimation model can reflect the salinization distribution in the study area. Therefore, this study shows that a UAV multi-spectral remote sensing platform combined with machine learning models can better monitor farmland soil salt content. Full article
(This article belongs to the Section Remote Sensing in Agriculture and Vegetation)
Show Figures

Figure 1

14 pages, 1436 KB  
Review
Current Nuclear Engineering Strategies in the Green Microalga Chlamydomonas reinhardtii
by Federico Perozeni and Thomas Baier
Life 2023, 13(7), 1566; https://doi.org/10.3390/life13071566 - 15 Jul 2023
Cited by 15 | Viewed by 4436
Abstract
The green model microalga Chlamydomonas reinhardtii recently emerged as a sustainable production chassis for the efficient biosynthesis of recombinant proteins and high-value metabolites. Its capacity for scalable, rapid and light-driven growth in minimal salt solutions, its simplicity for genetic manipulation and its “Generally [...] Read more.
The green model microalga Chlamydomonas reinhardtii recently emerged as a sustainable production chassis for the efficient biosynthesis of recombinant proteins and high-value metabolites. Its capacity for scalable, rapid and light-driven growth in minimal salt solutions, its simplicity for genetic manipulation and its “Generally Recognized As Safe” (GRAS) status are key features for its application in industrial biotechnology. Although nuclear transformation has typically resulted in limited transgene expression levels, recent developments now allow the design of powerful and innovative bioproduction concepts. In this review, we summarize the main obstacles to genetic engineering in C. reinhardtii and describe all essential aspects in sequence adaption and vector design to enable sufficient transgene expression from the nuclear genome. Several biotechnological examples of successful engineering serve as blueprints for the future establishment of C. reinhardtii as a green cell factory. Full article
(This article belongs to the Special Issue Algae Biotechnology: Green Chemistry for High-Value Products)
Show Figures

Figure 1

15 pages, 12265 KB  
Article
The GRAS Salts of Na2SiO3 and EDTA-Na2 Control Citrus Postharvest Pathogens by Disrupting the Cell Membrane
by Juan Zhao, Yuqing Wang, Qianyi Liu, Shuqi Liu, Hui Pan, Yunjiang Cheng and Chaoan Long
Foods 2023, 12(12), 2368; https://doi.org/10.3390/foods12122368 - 15 Jun 2023
Cited by 10 | Viewed by 2641
Abstract
Sodium silicate (Na2SiO3) and ethylenediaminetetraacetic acid disodium salt (EDTA-Na2) are inorganic salts classified as ‘Generally Recognized as Safe’ (GRAS) compounds with great advantages in controlling various pathogens of postharvest fruits and vegetables. Here, we determined the median [...] Read more.
Sodium silicate (Na2SiO3) and ethylenediaminetetraacetic acid disodium salt (EDTA-Na2) are inorganic salts classified as ‘Generally Recognized as Safe’ (GRAS) compounds with great advantages in controlling various pathogens of postharvest fruits and vegetables. Here, we determined the median effective concentration (EC50) of Na2SiO3 (0.06%, 0.05%, 0.07% and 0.08%) and EDTA-Na2 (0.11%, 0.08%, 0.5%, and 0.07%) against common pathogens affecting postharvest citrus fruit, including Penicillium digitatum, Penicillium italicum, Geotrichum citri-aurantii, and Colletotrichum gloeosporioides. Na2SiO3 and EDTA-Na2 treatments at the EC50 decreased the spore germination rate, visibly disrupted the spore cell membrane integrity, and significantly increased the lipid droplets (LDs) of the four postharvest pathogens. Moreover, both treatments at EC50 significantly reduced the disease incidence of P. italicum (by 60% and 93.335, respectively) and G. citri-aurantii (by 50% and 76.67%, respectively) relative to the control. Furthermore, Na2SiO3 and EDTA-Na2 treatment resulted in dramatically lower disease severity of the four pathogens, while also demonstrating no significant change in citrus fruit quality compared with the control. Therefore, Na2SiO3 and EDTA-Na2 present a promising approach to control the postharvest diseases of citrus fruit. Full article
(This article belongs to the Section Food Packaging and Preservation)
Show Figures

Figure 1

21 pages, 4940 KB  
Article
Genome-Wide Identification, Expression and Stress Analysis of the GRAS Gene Family in Phoebe bournei
by Jiarui Chang, Dunjin Fan, Shuoxian Lan, Shengze Cheng, Shipin Chen, Yuling Lin and Shijiang Cao
Plants 2023, 12(10), 2048; https://doi.org/10.3390/plants12102048 - 21 May 2023
Cited by 11 | Viewed by 2843
Abstract
GRAS genes are important transcriptional regulators in plants that govern plant growth and development through enhancing plant hormones, biosynthesis, and signaling pathways. Drought and other abiotic factors may influence the defenses and growth of Phoebe bournei, which is a superb timber source [...] Read more.
GRAS genes are important transcriptional regulators in plants that govern plant growth and development through enhancing plant hormones, biosynthesis, and signaling pathways. Drought and other abiotic factors may influence the defenses and growth of Phoebe bournei, which is a superb timber source for the construction industry and building exquisite furniture. Although genome-wide identification of the GRAS gene family has been completed in many species, that of most woody plants, particularly P. bournei, has not yet begun. We performed a genome-wide investigation of 56 PbGRAS genes, which are unequally distributed across 12 chromosomes. They are divided into nine subclades. Furthermore, these 56 PbGRAS genes have a substantial number of components related to abiotic stress responses or phytohormone transmission. Analysis using qRT-PCR showed that the expression of four PbGRAS genes, namely PbGRAS7, PbGRAS10, PbGRAS14 and PbGRAS16, was differentially increased in response to drought, salt and temperature stresses, respectively. We hypothesize that they may help P. bournei to successfully resist harsh environmental disturbances. In this work, we conducted a comprehensive survey of the GRAS gene family in P. bournei plants, and the results provide an extensive and preliminary resource for further clarification of the molecular mechanisms of the GRAS gene family in P. bournei in response to abiotic stresses and forestry improvement. Full article
(This article belongs to the Special Issue Recent Advances in Horticultural Plant Genomics)
Show Figures

Figure 1

31 pages, 3179 KB  
Review
Phytate Intake, Health and Disease: “Let Thy Food Be Thy Medicine and Medicine Be Thy Food”
by Antelm Pujol, Pilar Sanchis, Felix Grases and Luis Masmiquel
Antioxidants 2023, 12(1), 146; https://doi.org/10.3390/antiox12010146 - 7 Jan 2023
Cited by 60 | Viewed by 16624
Abstract
Phytate (myo-inositol hexakisphosphate or InsP6) is the main phosphorus reservoir that is present in almost all wholegrains, legumes, and oilseeds. It is a major component of the Mediterranean and Dietary Approaches to Stop Hypertension (DASH) diets. Phytate is recognized as a nutraceutical and [...] Read more.
Phytate (myo-inositol hexakisphosphate or InsP6) is the main phosphorus reservoir that is present in almost all wholegrains, legumes, and oilseeds. It is a major component of the Mediterranean and Dietary Approaches to Stop Hypertension (DASH) diets. Phytate is recognized as a nutraceutical and is classified by the Food and Drug Administration (FDA) as Generally Recognized As Safe (GRAS). Phytate has been shown to be effective in treating or preventing certain diseases. Phytate has been shown to inhibit calcium salt crystallization and, therefore, to reduce vascular calcifications, calcium renal calculi and soft tissue calcifications. Moreover, the adsorption of phytate to the crystal faces can inhibit hydroxyapatite dissolution and bone resorption, thereby playing a role in the treatment/prevention of bone mass loss. Phytate has a potent antioxidation and anti-inflammatory action. It is capable of inhibiting lipid peroxidation through iron chelation, reducing iron-related free radical generation. As this has the effect of mitigating neuronal damage and loss, phytate shows promise in the treatment/prevention of neurodegenerative disease. It is reported that phytate improves lipid and carbohydrate metabolism, increases adiponectin, decreases leptin and reduces protein glycation, which is linked with macrovascular and microvascular diabetes complications. In this review, we summarize the benefits of phytate intake as seen in in vitro, animal model, epidemiological and clinical trials, and we also identify questions to answer in the future. Full article
Show Figures

Figure 1

Back to TopTop