Next Article in Journal
Pesticide Type Distinctly Shapes Soil Resistomes: A Comparative Analysis of Antibiotic and Non-Antibiotic Agro-Chemicals
Previous Article in Journal
Analyzing the Driving Mechanism of Drought Using the Ecological Aridity Index Considering the Evapotranspiration Deficit—A Case Study in Xinjiang, China
 
 
Font Type:
Arial Georgia Verdana
Font Size:
Aa Aa Aa
Line Spacing:
Column Width:
Background:
Article

Simulation and Experimental Study on the Optimization of Operating Parameters for Coating Pellets of Agropyron Seeds

1
College of Mechanical and Electrical Engineering, Inner Mongolia Agricultural University, Hohhot 010018, China
2
Inner Mongolia Engineering Research Center of Intelligent Equipment for the Entire Process of Forage and Feed Production, Hohhot 010018, China
3
Inner Mongolia Engineering Research Center for Intelligent Facilities in Prataculture and Livestock Breeding, Hohhot 010018, China
*
Author to whom correspondence should be addressed.
These authors contributed equally to this work.
Agriculture 2025, 15(19), 2017; https://doi.org/10.3390/agriculture15192017
Submission received: 18 June 2025 / Revised: 22 September 2025 / Accepted: 24 September 2025 / Published: 26 September 2025
(This article belongs to the Section Seed Science and Technology)

Abstract

In addressing the challenges of low pelletization qualification rates, poor uniformity between seeds and powder, and difficulties in optimizing equipment parameters for agropyron seed coating, this paper integrates numerical simulation with experimental verification to optimize the working parameters of pelletization coating. The study investigates the impact of vibration frequency, vibration direction, vibration amplitude, rotational speed, and inclination angle on seed-powder mixing uniformity and single-seed pellet qualification rates through both physical experiments and simulation tests. The study found that the coefficient of variation obtained through discrete element simulation can serve as a reliable surrogate indicator for evaluating pelletization coating quality, with its variation trend highly consistent with the single-seed pellet qualification rate observed in physical experiments. A secondary regression orthogonal design experiment used these indicators to establish a second-order regression equation, thereby performing single-objective optimization of the regression model. The results showed that the relative errors between simulation and physical test parameters were 1.24% for vibration frequency, 1.08% for coating pan rotational speed, and 0.17% for coating pan inclination angle. This demonstrates the high reliability of the coefficient of variation as a surrogate indicator for pellet qualification. With the optimized parameters, the qualification rate of single-seed pellets for agropyron seeds reached 95.3%, and the relative error between model predictions and physical tests was 1.7%. These findings validate the use of the second-order regression equation for predicting and analyzing single-seed pellet qualification rates and provide valuable insights for designing small-grain forage seed pelletization coating machines and optimizing coating parameters.

1. Introduction

Seed pelletization is a seed treatment technique aimed at meeting the precision sowing demands of modern agriculture and enhancing the quality and value of seeds [1]. Seed pelletization and coating primarily involves coating the seed surface with nutrients and other powders using binders, forming a uniform spherical shape that facilitates precise sowing and protects the seed from environmental stress. This technology not only increases seed germination and survival rates but also enhances traits such as drought resistance and cold tolerance. The uniformity and consistency of the pelletization and coating are especially important because they directly affect sowing efficiency, seed treatment effectiveness, and overall agricultural productivity. Pelletization technology plays a key role in increasing agricultural yields, ensuring higher-quality sowing, and improving seed treatment efficiency, particularly in grassland restoration efforts. This makes it an essential tool for ecological restoration and sustainable agriculture, especially in regions facing harsh climatic conditions [2,3].
Seed pelletization and coating technologies have developed rapidly, particularly in Europe and the United States [4,5,6]. Seed pelletization and coating equipment are evolving toward greater intelligence and precision. Foreign scholars have made significant progress in various aspects of seed pelletization technology. For example, Mehrdad and colleagues simulated the corn seed coating process using the discrete element method (DEM). They not only established a predictive model for coating uniformity in corn seeds but also conducted a simulation study on the impact of the operational parameters of the coating machine, thereby elucidating the factors influencing seed coating performance [7]. Additionally, scholars like Masoume and Cesare developed a seed coating formulation based on plant hydrolyzed proteins and liquid bioplastics for maize and vegetable seeds to reduce environmental pollution caused by airborne particles during the pelletization coating process. This formulation not only mitigates environmental pollution but also effectively enhances seed survival rates [8]. For forage seeds, their surface appendages make the pelletization coating process more challenging compared to ordinary crop seeds. Andrew and colleagues addressed this issue by employing flash combustion technology to remove seed surface appendages, significantly improving the adhesion between the powder and the seed, thereby enhancing the quality of pellet granulation coating for pasture seeds [9]. These innovations have enabled the more effective use of pelletized seeds in various agricultural applications, including grassland restoration, crop production, and even in promoting seedling growth. In China, research and development on seed pelletization and coating started relatively late, but significant progress has been made in the past few decades, including the development of various coating machines based on rotational methods The measurement and supply devices for liquids, powders, and seeds have evolved from mechanical speed regulation to variable frequency speed regulation. The control systems have advanced from simple manual operation to centralized, fully automated coordinated control. Both the efficiency and quality of pelletization coating have been significantly improved, leading to substantial progress [10,11,12,13,14,15]. Despite the significant progress made in seed coating technology, challenges persist, particularly when dealing with small, irregularly shaped feed seeds. One of the major obstacles to the widespread adoption of seed coating techniques for these types of seeds is the high seed rejection rate and low granulation qualification rate, which hinder the efficient and consistent coating process [16,17,18,19,20]. These issues are especially prominent in feed seed applications, where the seed size variation and irregularity complicate the granulation process, resulting in a high level of seed damage and poor coating uniformity. In response to these challenges, researchers have focused on optimizing the operating parameters of granulation equipment to enhance the overall efficiency of the granulation process and, consequently, improve the quality of seed coating [21].
Although existing research has made progress in automation control and numerical simulation, most current equipment use traditional rotary coating machines, which primarily rely on centrifugal and friction forces for mixing. This method often leads to problems such as high multi-seed rates and low qualification rates, particularly for small-sized, irregularly shaped forage seeds, due to uneven mixing [22]. Most existing studies depend on a large number of physical experiments to optimize parameters, which is time-consuming and costly, and there is a lack of effective simulation indicators capable of quickly and accurately predicting physical outcomes. Research on the selection and optimization of working parameters for pelletization coating machines is crucial. It not only provides theoretical and technical support for the development of new equipment for pelletizing forage seeds but also holds great significance for the sustainable restoration of grassland ecosystems through seed treatment technology.
This study focuses on the investigation of a designed vibrating pelletization coating machine for forage seeds. The Discrete Element Method (DEM) is employed to simulate the changing motion patterns of seed particles within the operational equipment. By analyzing the influence patterns between the structural parameters of the equipment and the movement states of the particle materials, research on the optimization of working parameters for the pelletization coating machine is conducted. This research not only provides a theoretical foundation and technical basis for the development of high-efficiency and high-quality pelletization coating equipment for forage seeds, but also holds significant practical significance and scientific value in terms of optimizing the design of related equipment and further revealing the working mechanisms of such devices.

2. Materials and Methods

Considering the unique geographical location and ecological environment of Inner Mongolia, and with the primary goal of restoring degraded grassland ecology, we selected natural agropyron seeds, which are suitable for growth in arid and semi-arid regions, as the research subject. The choice of materials for agropyron seed pelletization focused on factors such as seed formation, bonding, compressive strength, and seed water absorption and cracking behavior. For the pelletization formulation, soybean flour was chosen as the solid binding agent, while diatomaceous earth was used as the filler, with a soybean flour to diatomaceous earth ratio of 3:7. This mixture, combined with water, was applied to the seed surface to form the pelletization coating. Given the requirements for grass seed broadcasting, a heavy pelletization coating approach was adopted, with a seed-to-powder mass ratio of 1:3 [23,24].

2.1. The Overall Structure and Working Principle of the Pelletization Coating Machine

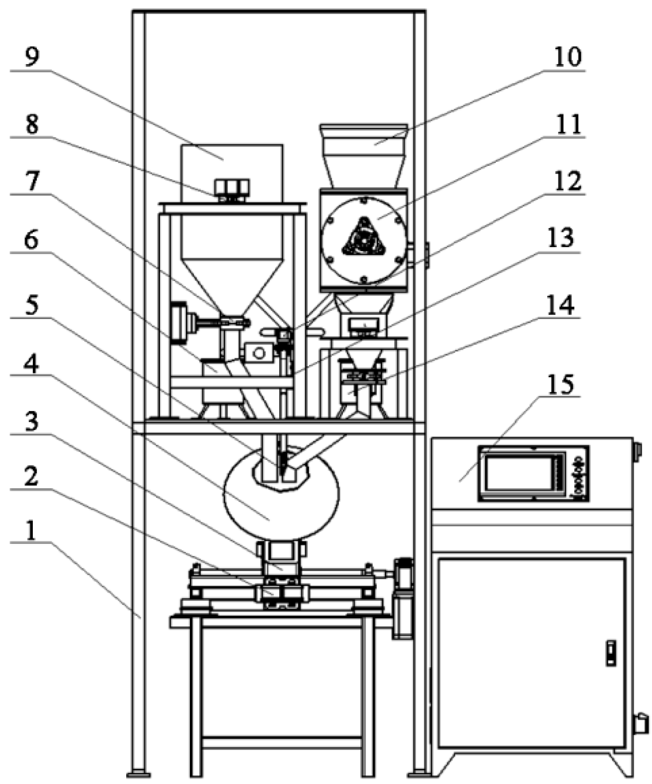
The experimental setup primarily consists of a seed supply system, a powder supply system, a liquid supply system, a pelletization device, a vibration system, and a control system, among others. The overall structure is illustrated in Figure 1. Preliminary experimental studies have shown that the vibration field can effectively address issues such as low pellet qualification rates and low compressive strength in traditional inclined pan pelletizing coating machines. Based on the structure of the inclined pan pelletizer, the vibration field was introduced into the machine. The upper part of the machine mainly consists of the feeding system, including the seed, powder, and liquid supply systems, while the lower part is dedicated to the pelletizing device and the overall control system of the machine.
Prior to initiating the pellet granulation coating process, a preliminary screening of the seeds is conducted to select seeds with consistent size and quality, serving as the foundation for the granulation process. The seeds are placed in the seed storage drum, the pelletizing powder is stored in the powder storage drum, and the binder is loaded into the liquid storage drum. Once the control system is activated, the seeds are fed into the pelletizing coating pot through the feeding device. Next, the binder is sprayed into the pelletizing coating pot in the form of a mist. Once the seed surfaces are moistened, the fillers and other powders required for the pelletization process are introduced into the pot in a specific ratio relative to the seeds. The forage seeds, within the coating pot, undergo both rotational and vibrational movements driven by centrifugal forces and the interaction of friction and shear forces. In this dynamic environment, the seed–powder mixture experiences diffusion-like motion between its inner and outer layers due to vibrational forces and collisions. As a result, the pelletized coating powder adheres uniformly to the surface of the seeds throughout the process. The supply of liquid and powder is performed iteratively, in a precise and controlled manner, until the desired seed weight gain ratio is achieved, indicating the completion of the pelletization process.

2.2. Parameters for Discrete Element Simulation of Pill Granulation and Coating Process

In the pelletization and coating process, the interactions between seeds, as well as between seeds and powders, result in complex contact and collision dynamics. Using the discrete element analysis software EDEM (2022.3) for numerical simulation and analysis of the forage seed pelletization and coating process helps reveal the interactive dynamics between seeds, powders, and the underlying mixing mechanisms. This analysis provides a reference framework for enhancing and optimizing the operational parameters of the coating equipment. The calibration and standardization of simulation parameters for forage seeds further refine the precision of applying discrete element analysis theory and methodology to the research phases of pelletizing and coating. The calibration test procedure for the simulation parameters of agropyron seeds is depicted in Figure 2 [25,26].
Physical experiments were conducted to determine the physical and intrinsic parameters of agropyron seeds and powder. The thousand-grain weight of the seeds was measured using an electronic balance, while the seed dimensions and density were measured using a digital vernier caliper and a graduated cylinder. The moisture content was determined using the oven drying method. All measurements were repeated multiple times to obtain the average physical parameters of the seeds. The static friction coefficient and rolling friction coefficient were measured using a tilting plane apparatus. The coefficient of restitution after seed collisions was determined by recording the rebound behavior using a high-speed imaging system [27,28]. A 3D scanner and Creo (6.0) software were employed to construct a three-dimensional model of the agropyron seeds. The material properties of both the seeds and the powder particles were integrated using EDEM (2022.3) software. The seed model was represented as an ellipsoid with a maximum particle radius of 1.2 mm and a minimum particle radius of 0.38 mm, while the powder particles were modeled as spheres with a radius of 0.6 mm [29]. The credibility and accuracy of the simulation outcomes were validated by comparing the mean angle of repose from physical stacking tests with the mean angle of repose obtained through simulation verification tests. The calibrated simulation parameters for agropyron seeds and coated powder are presented in Table 1.

2.3. Theoretical Analysis of Pelletization and Coating Process for Forage Seeds

In the forage seed pill granulation coating process, both the seed and powder are initially introduced into the coating pot for thorough mixing. Subsequently, the binder is sprayed into the pot through nozzles, where it contacts the particles and adheres to their surfaces. This interaction creates liquid bridges among the particles, and at the contact points between seed and powder particles, a bonding force facilitates their fusion. Aggregation of particles occurs when the adhesive force exceeds the maximum rebound force during collisions, resulting in the formation of larger aggregated particles.
During the mixing process of seeds and pelletizing powder, the significantly smaller diameter of the powder particles compared to the seeds means that the seed particles can be approximated as having an infinitely large diameter and being without elasticity, similar to a flat plane. This interaction is illustrated in Figure 3. Therefore, when powder particles with velocity v collide with the seed surface, they adhere to the Hertzian elastic contact theory model.
According to the Hertz elastic contact theory, the penetration depth δ of the powder particles when subjected to the impact force P onto the seed particles is given by:
δ 3 = 9 16 ( R 1 + R 2 ) R 1 R 2 1 v 1 2 E 1 + 1 v 2 2 E 2 P 2 = 9 P 2 ( E * ) 2 16 R
where 1 E * = 1 v 1 2 E 1 + 1 v 2 2 E 2 ; 1 R = ( R 1 + R 2 ) R 1 R 2 ; E1, v1 and E2, v2 are the modulus of elasticity and Poisson’s ratio of the powder and seed, R1, R2 are the radii of the powder particles and seed particles, respectively, in mm.
From Equation (1), the impact force P when the powder particles collide with the seed particles can be determined as follows:
P = 4 R ( δ ) 3 2 3 E *
It is understood through Newton’s second law:
m d 2 δ d t 2 = P = 4 R ( δ ) 3 2 3 E *
By integrating the equation above from 0 to t, we obtain:
1 2 V t = 0 2 ( d δ d t ) 2 = 8 15 R E * m δ 3 2
where Vt=0 is the initial velocity of the powder particles impacting the seed, m/s, take the value of 0 at the maximum value of the velocity of the powder hitting the seed particle. Therefore, the maximum intrusion depth δmax and the maximum load Pmax between the seed and the powder can be expressed as follows:
δ max = 5 π 4 ρ 1 v 1 2 E 1 + 1 v 2 2 E 2 2 5 R V ij 4 5
P max = 4 3 5 π 4 ρ 2 5 1 v 1 2 E 1 + 1 v 2 2 E 2 3 5 R 3 2 V i j 6 5
where v represents the relative velocity of the powder and seed particles at the point of impact, m/s.
When the powder and seed particles are thoroughly mixed and the binder is sprayed into the coating pot, the binder moistens the surface of the seed particles, causing both the seed and powder particles to become wet particles. Consequently, the Hertz model should be refined to a wet particle model that incorporates a liquid bridge force, as illustrated in Figure 4. In this figure, the radii of the seed particles and powder particles are denoted as r1 and r2, respectively, while the distance between the two particles is represented by d. The formula for calculating the liquid bridge force Fy between the wet seed and powder particles is expressed as follows:
F y = π γ ρ 2 ρ 1 + ρ 2 ρ 1 + 3 2 π μ V n , ij × ρ 2 d d + ρ 2 2 ( r 1 + r 2 ) 2 r 1 r 2 2
where γ the surface tension of the liquid between the two wet particles, N/m; ρ1, ρ2 are the first and second radii of curvature of the liquid bridge between the wet particles, m, respectively; μ is the viscosity of the adhesive, Pa·s; Vn,ij is the relative normal velocity of the two particles before collision, m/s.
The formation of particle aggregates among multiple particles is influenced by inter-particle forces, leading to an increase in particle size. The agglomeration characteristics between seed and powder particles are related to the qualification rate of the pelletized coating of forage seeds. This rate depends on the quantity and distribution of powder particles in the region surrounding the seed particles. If the distribution of powder particles around the seed is uniform, the pelletization qualification rate is high. However, if there are no powder particles around the seed, the multi-seed rate in the pelletized coating increases, and the aggregation of powder particles can result in a higher non-seed rate. To explore the mechanism of seed pelletization coating and understand the mixing and agglomeration characteristics between seed and powder particles during the coating process, the coefficient of variation is used as an evaluation parameter to measure the degree of mixing between seed and powder particles. A smaller coefficient of variation indicates a more uniform distribution of powder particles around the seed. The coefficient of variation is obtained through discrete element simulation experiments.

2.4. Evaluation Indicators

2.4.1. Evaluation Indicators for Seed-Powder Mixing Uniformity

The mixing process between seed and powder particles was simulated using the discrete element software EDEM, the particle models are shown in Figure 5a,b. The simulation was set to run for 21 s. After completion, the Grid Bin Group module in the post-processing software was used to divide the simulation region into grid zones for result analysis, as shown in Figure 5. The number of seed and powder particles within each grid zone was recorded, providing the data necessary to calculate the coefficient of variation. This calculation was performed at intervals of 1.5 s per iteration.
The evaluation metric for assessing the uniformity of mixing between seed and powder particles is the coefficient of variation (Cv), calculated as follows, where the grid partitioning in the region shown in Figure 5 consists of a total of “m” grids:
C v = S x x ¯
where S x = 1 m X k x ¯ m 1 , x ¯ = 1 m X k m , X k = g k ε 1 . Where εk is the percentage of powder particles in the k-th grid relative to all particles in that grid. ε1 represents the percentage of the total number of powder particles in all “m” grids, relative to the total number of all particles.
The coefficient of variation can quantitatively and relatively objectively reflect the degree of mixing between seeds and powder. A smaller coefficient of variation indicates better mixing between seeds and powder, while a larger coefficient of variation indicates poorer mixing.

2.4.2. Single Seed Pelleting Qualification Rate

To assess the performance of the forage seed pill granulation coating machine, we refer to the technical specifications outlined in the industry standards of the People’s Republic of China, including the Seed Coating Machine Test Method (JB/T 7730-2011) [30]. We propose using the Single-Seed Pill Coating Qualification Rate (J) as the evaluation criterion for the quality of forage seed pill granulation coating operations:
J = Z h Z b + Z h × 100 %
where J is the single-seed pilling pass rate, %; Zh is the number of forage seeds completely wrapped by powder, containing only one grass seed, grains; and Zb is the sum of the number of seeds not completely wrapped or containing more than one grass seed, grains.

2.5. Single-Factor Testing

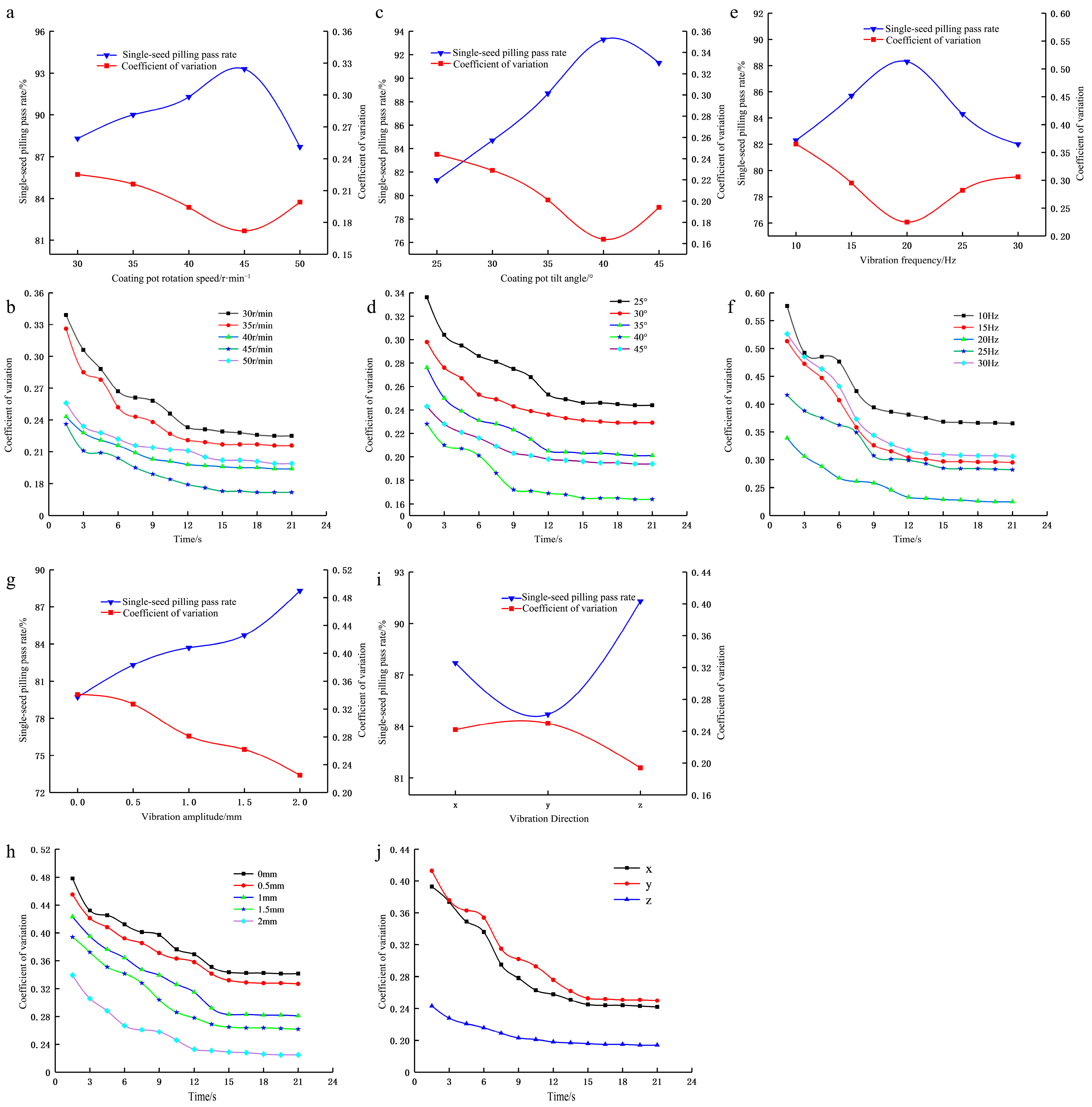
To determine the impact of the operating parameters of the pill granulation coating machine on the single-seed pilling pass rate, single-factor experiments were conducted on the following parameters: coating pot rotation speed, tilt angle, vibration frequency, vibration amplitude, and vibration direction. In the single-factor experiments, the ranges of the parameters were selected based on preliminary tests [13]. The design of these experiments is shown in Table 2, while the results of both the pilling coating tests and simulation experiments are presented in Figure 6. The coefficient of variation reflects the simulation results, whereas the pilling pass rate represents the outcomes of the physical experiments in the single-factor analysis.
To further validate the practical applicability of the discrete element simulation method and to optimize the working parameters for the pelletizing coating of agropyron seeds, additional experiments were conducted. Several factors influence the degree of uniform mixing between seeds and powder. To identify the parameters that significantly impact the pelletizing coating process, the Cv was used as the response variable. Parameters with substantial effects were identified using the Plackett–Burman test. The experimental design involved using high and low levels for the five test parameters listed in Table 3. The Plackett–Burman test efficiently screened and identified parameters with notable effects on the pelletizing coating process.

2.6. Response Surface Testing

The single-seed pelletization pass rate was chosen as the response variable for testing, and the primary operational parameters of the vibrating pellet granulation coating machine, as identified from the single-factor experiments, were considered as the testing factors. A Box–Behnken response surface analysis was employed, utilizing three factors at three levels each. The selection of factor levels was based on the results of the single-factor tests. The specific levels of the testing factors are outlined in Table 4.
Each set of performance tests was conducted three times with a 10 min interval between each repetition, and the results were averaged. At the conclusion of the tests, the single-seed pelletization pass rate for agropyron seeds was recorded. Concurrently, a simulation test was performed using the EDEM software, with the coefficient of variation serving as the response variable.

3. Results and Discussion

3.1. Analysis of the Results of the Single-Factor Test

The trends observed in Figure 6 provide valuable insights into the effects of various operational parameters on the pelletization process. The Cv exhibited a consistent pattern across all simulation tests, showing a continuous reduction as the simulation time increased. Notably, Cv reached a steady state when the simulation time exceeded 15 s, indicating that particle mixing primarily occurred during the initial stages of the coating pot’s rotation. Figure 6a,b illustrates the impact of the coating pot’s rotational speed on both the pelletization pass rate and the coefficient of variation. As the rotational speed increased, the pelletization pass rate initially increased before gradually declining. Concurrently, the coefficient of variation followed an inverted trend, decreasing initially and then increasing. The minimum coefficient of variation and the highest pelletization pass rate were recorded at a rotational speed of 45 r·min−1, indicating an optimal balance between mixing efficiency and pellet quality. A similar pattern is evident in Figure 6c,d, where increasing the coating pot’s tilt angle from 25° to 45° led to a decrease followed by an increase in the coefficient of variation. The lowest coefficient of variation was observed at a tilt angle of 40°, reflecting superior mixing uniformity and corresponding to the highest pelletization pass rate, suggesting optimal pellet granulation coating quality. The frequency analysis shown in Figure 6e,f indicated that the coefficient of variation initially decreased and then increased as the frequency ranged from 10 Hz to 30 Hz, while the pelletization pass rate displayed the opposite trend. The optimal coefficient of variation was observed at a frequency of 20 Hz, signifying improved mixing efficiency of seed and powder particles and leading to the optimal pelletization pass rate. Figure 6g,h demonstrates a monotonic decrease in the coefficient of variation with increasing vibration amplitude, while the pelletization pass rate showed a corresponding monotonically increasing trend. The maximum adjustable vibration amplitude used in this study was set at 2 mm, which was adopted for subsequent tests. Finally, Figure 6i,j shows that vibration direction significantly influenced the results. The minimum coefficient of variation and the maximum pelletization pass rate were achieved when vibration was applied in the Z-direction, suggesting optimal mixing for a single seed scenario.
The analysis reveals a significant consistency between the coefficient of variation and the optimal values of the coating machine’s operational parameters, specifically regarding the single-seed pelletizing pass rate. Additionally, a discernible pattern exists in the relationship between the single-seed pelletizing pass rate, the coefficient of variation, and the varying operational parameters of the coating machine. Upon closer examination, it becomes evident that improved mixing of seed and powder during the pelletizing coating process enhances seed pelletability, leading to a higher pelletization pass rate. Therefore, it is advisable to use discrete element software to carefully select the most suitable working parameters for the pelletizing coating of specific seed types before initiating the seed pelletizing coating process. This approach will ensure optimal performance and efficiency during the pelletization process. The detailed protocol and the results of the Plackett–Burman test are presented in Table 5.
The significant results of each simulation parameter were obtained through variance analysis using Design-Expert 11.0 software, as shown in Table 6.
As shown in Table 6, the p-value for the coating pot rotation speed (D) is <0.01, indicating an extremely significant influence on the results. The p-values for vibration frequency (A) and coating pot inclination angle (E) are <0.05, indicating a significant impact. In contrast, the p-values for vibration amplitude and vibration direction are >0.05, suggesting minimal impact on the results. Based on these findings, a three-factor, three-level quadratic regression orthogonal test was conducted to determine the optimal combination of working parameters for the vibrating pill granulation coating machine. The response index for this test was the single-seed pelleting qualification rate. For this test, the coating pot vibration amplitude was set at 2 mm, and the vibration direction was in the Z direction.

3.2. Analysis of Surface Response in Pelleting and Coating of Forage Seeds

The statistical outcomes of the physical tests and the simulation test results are presented in Table 7. Different regression models were compared and analyzed using Design (13.0) software to evaluate their performance in fitting the test factors to the response indicators. Table 8 presents the ANOVA results for various regression models. As detailed in Table 8, the simulation models for fitting the single-seed pelletization pass rate were tested using linear, 2FI (second-order fractional factorial), quadratic, and cubic models [31,32]. The p-value for the quadratic model was found to be <0.0001, indicating a significant fitting capability with a high degree of accuracy. The quadratic model exhibited excellent consistency with the actual test results. Therefore, the quadratic model is recommended for fitting the single-seed pelletization pass rate for agropyron seeds.
The second-order regression equation for the single-seed pelletization pass rate of agropyron seeds was derived by fitting a multiple regression to the orthogonal test results using Design-Expert 11.0:
J = 9324 + 1.54 A + 1.69 D + 3.98 E 3.83 A D 2.30 A E 1.02 D E 6.77 A 2 4.72 D 2 11.29 E 2
The second-order regression equation for the Cv was derived by performing multiple regression analysis on the orthogonal simulation test results using Design-Expert 11.0:
C v = 17.3019 0.3043 A 0.0992 D 0.4432 E + 0.0011 A D + 0.0007 A E + 0.0009 D E + 0.0027 A 2 + 0.0005 D 2 + 0.0046 E 2
The results of the ANOVA for the regression equation of the coefficient of variation are presented in Table 9.
The results presented in Table 9 indicate that the fitted regression model for the Cv has a p-value of less than 0.0001, demonstrating its high significance. Additionally, the p-value for the lack-of-fit term is greater than 0.05, suggesting there is no significant lack-of-fit phenomenon. This indicates that the Cv regression model is both reliable and accurately represents the observed data. Consequently, this model can be effectively utilized for further analysis and prediction to optimize the target coefficient of variation.

3.3. Single-Objective Optimization of Coating Performance Indicators for Agropyron Seed Pelletization

The second-order regression equations for both the coefficient of variation and the single-seed pelletization pass rate of agropyron seeds were optimized using the optimization module in Design-Expert 11.0 software. The optimization objectives were set to minimize the coefficient of variation and maximize the single-seed pelletization pass rate. The results of the optimization are presented in Table 10.
As indicated in Table 10, the relative discrepancies between the optimized parameters from the simulation experiments and the physical tests were 1.24% for the vibration frequency, 1.08% for the rotational speed of the coating pot, and 0.17% for the inclination angle of the coating pot. These small discrepancies confirm the reliability and accuracy of the simulation experiments.
The comprehensive results of the single-objective optimization, combined with the chosen test equipment, led to the selection of the optimal working parameters for pill granulation coating: a vibration frequency of 21 Hz, a coating pot speed of 46 r·min−1, and a coating pot inclination angle of 41°. Since the optimized result did not fall within the 17 groups of the orthogonal experiments, five validation tests were conducted for the optimized scheme. The qualification rates of single-seed pelleting for Agropyron seeds obtained from physical experiments and model predictions are shown in Table 11.
As shown in Table 11, the relative error between the predicted values from the model and the values obtained from the physical tests is 1.7%. This result further validates the accuracy and reliability of the regression model for the qualification rate of agropyron seed pelletizing coating. The model proves to be effective in predicting the qualification rate of pelletizing coating and in screening and optimizing the working parameters for the pelletizing coating process.

3.4. Discussion

This study successfully optimized the key process parameters of the vibration-based pelletizing coating machine by combining numerical simulation and physical experiments, achieving a single-seed pellet qualification rate of over 95%. The relative error between the simulation and experimental results was 1.7%, which validates the reliability of the research method. The study found that vibration frequency, coating pan rotational speed, and inclination angle have significant interactive effects on pelletization quality. Extreme points exist among different parameter combinations, which allow the particle motion to reach a specific dynamic equilibrium state. The rotational speed provides a basic centrifugal force field that ensures the seeds and powder can form a stable circulating motion along the pan wall. At low rotational speeds, particles cannot be effectively lifted and rolled; at high speeds, particles adhere too closely to the pan wall, reducing mixing opportunities. The vibration helps to overcome the static friction and cohesive forces between particles, allowing powder particles to uniformly penetrate the gaps between the seed particles, achieving a homogeneous mix. The inclination angle controls the material movement speed and layer thickness. The appropriate angle ensures that the material has sufficient residence time and mixing path within the coating pan. The results, derived from combining discrete element simulation and physical experiments, reveal the working mechanism of the system and provide key theoretical support and practical guidance for efficient and high-quality forage seed pelletizing coating technology [13]. Although the simulation and experimental results are generally consistent, the observed discrepancies still require further discussion to fully understand their underlying causes and improve the accuracy of future modeling. The DEM employed in this study, while robust in capturing particle-scale interactions, inevitably simplifies certain aspects of the real process. Despite careful calibration, natural variability in agropyron seed size, shape, and surface roughness—as well as the non-uniformity of the diatomaceous earth filler particles—introduces inconsistencies in the physical tests that are not fully captured in the DEM model. In practice, small fluctuations in equipment performance (e.g., vibration frequency stability, spraying uniformity) and environmental conditions (e.g., air humidity and temperature) can subtly alter powder adhesion and agglomeration behavior [33]. These disturbances, while often minor, accumulate and contribute to deviations from simulated predictions.
To further improve the predictive accuracy of the model and its ability to capture complex physical phenomena, future research should incorporate a multi-platform data collection and fusion model. By integrating high-speed imaging systems, online sensor technologies, and computational fluid dynamics coupling, a deeper understanding of the coating process and more intelligent control can be achieved [34,35,36]. After exploring the deeper mechanisms of pelletization, this technology can be applied to the coating processes of other types of seeds, potentially improving product quality and reducing seed waste.

4. Conclusions

This study successfully combined discrete element simulation and physical experiments to systematically optimize the parameters and analyze the mechanisms of a novel vibration-based pelletizing coating machine. The main conclusions are as follows:
(1)
The study confirms that the coefficient of variation (Cv), which reflects particle mixing uniformity in discrete element simulation, is a key and reliable indicator for evaluating the pelletization coating quality of forage seeds. A smaller Cv value indicates more uniform mixing of particles, leading to a higher qualification rate of single-seed pellets. This finding provides a theoretical basis for using simulation methods to replace numerous tedious physical experiments, thus efficiently optimizing process parameters.
(2)
Through the systematic optimization of key parameters such as vibration frequency, coating pan rotational speed, and inclination angle, the optimal parameter combination for Agropyron seeds was determined: vibration frequency of 21 Hz, coating pan rotational speed of 46 r/min, and coating pan inclination angle of 41°. Under these conditions, the single-seed pellet qualification rate consistently reached 95.3%, representing a significant improvement compared to unoptimized parameters. This validates the superiority of the novel vibration-based coating machine in handling small-sized, irregular seeds.
(3)
The second-order regression model constructed in this study can accurately predict the single-seed pellet qualification rate, with the relative error between the model predictions and physical experiment validation being only 1.7%. This demonstrates that the model has good predictive capability and reliability, making it an effective tool for guiding practical production and further equipment optimization.
In summary, this study not only provides a specific technical solution for addressing the pelletization challenges of small-sized forage seeds but, more importantly, its proposed research methods and innovative ideas have significant scientific value and practical implications for advancing the intelligent design and precise control of seed processing equipment.

Author Contributions

Conceptualization: Z.H. and H.L.; Methodology: X.M. and H.L.; Software: H.L. and L.C.; Validation: A.T.; Investigation: Y.L.; Writing—original draft preparation: X.M. and H.L.; Writing—review and editing: Z.H. All authors have read and agreed to the published version of the manuscript.

Funding

This research was funded by the Key R&D and achievement transformation plan project of Inner Mongolia (2023YFDZ0006), the Research Program of Science and Technology at Universities of Inner Mongolia Autonomous Region (NJZZ23046), the Program for improving the Scientific Research Ability of Youth Teachers of Inner Mongolia Agricultural University (BR220128), and High level Talent Introduction and Research Launch Project of Inner Mongolia Agricultural University (NDY2022-56), Inner Mongolia Autonomous Region “First-Class Discipline Research Special Project” (YLXKZX-NND-046).

Institutional Review Board Statement

Not applicable.

Data Availability Statement

The original contributions presented in this study are included in the article. Further inquiries can be directed to the corresponding author.

Conflicts of Interest

The authors declare no conflicts of interest.

References

  1. Köhl, J.; Butterbach, P.; Ehlers, R.-U.; Gaildry, T.; Haas, L.G.; Groot, S.P.C.; van der Heijden, L.; Houwers, I.; de Lange, E.; Lopez, G.; et al. Screening Criteria for Microbial Bioprotectants for Seed Coating to Protect Seeds and Seedlings from Diseases. Biol. Control 2024, 190, 105450. [Google Scholar] [CrossRef]
  2. McKenna, P.; Cannon, N.; Conway, J.; Dooley, J. The Use of Red Clover (Trifolium Pratense) in Soil Fertility-Building: A Review. Field Crop. Res. 2018, 221, 38–49. [Google Scholar] [CrossRef]
  3. Sidhu, H.; Wiesenborn, D.; Johnson, B.; Monono, E.; Eriksmoen, E. Coating of Hulled Seeds Improved Field Plantability and Grain Yield of Extra-Large Confectionary Sunflower Achenes. Crop Sci. 2019, 59, 1182–1190. [Google Scholar] [CrossRef]
  4. Jarrar, H.; El-Keblawy, A.; Ghenai, C.; Abhilash, P.C.; Bundela, A.K.; Abideen, Z.; Sheteiwy, M.S. Seed Enhancement Technologies for Sustainable Dryland Restoration: Coating and Scarification. Sci. Total Environ. 2023, 904, 166150. [Google Scholar] [CrossRef]
  5. Abdukerim, R.; Li, L.; Li, J.-H.; Xiang, S.; Shi, Y.-X.; Xie, X.-W.; Chai, A.-L.; Fan, T.-F.; Li, B.-J. Coating Seeds with Biocontrol Bacteria-Loaded Sodium Alginate/Pectin Hydrogel Enhances the Survival of Bacteria and Control Efficacy against Soil-Borne Vegetable Diseases. Int. J. Biol. Macromol. 2024, 279, 135317. [Google Scholar] [CrossRef] [PubMed]
  6. Zou, X.; Zhang, J.; Cheng, T.; Guo, Y.; Han, X.; Liu, H.; Qin, Y.; Li, J.; Xiang, D. Preparation of Tartary Buckwheat Seed Coating Agent and Its Effect on Germination. Phyton-Int. J. Exp. Bot. 2024, 93, 699–712. [Google Scholar] [CrossRef]
  7. Pasha, M.; Hare, C.; Ghadiri, M.; Gunadi, A.; Piccione, P.M. Inter-Particle Coating Variability in a Rotary Batch Seed Coater. Chem. Eng. Res. Des. 2017, 120, 92–101. [Google Scholar] [CrossRef]
  8. Amirkhani, M.; Netravali, A.N.; Huang, W.; Taylor, A.G. Investigation of Soy Protein–Based Biostimulant Seed Coating for Broccoli Seedling and Plant Growth Enhancement. HortScience 2016, 51, 1121–1126. [Google Scholar] [CrossRef]
  9. Guzzomi, A.L.; Erickson, T.E.; Ling, K.Y.; Dixon, K.W.; Merritt, D.J. Flash Flaming Effectively Removes Appendages and Improves the Seed Coating Potential of Grass Florets. Restor. Ecol. 2016, 24, S98–S105. [Google Scholar] [CrossRef]
  10. Wang, J.; Huanxiong, X.; Zhichao, H.; Lianglong, H.; Baoliang, P.; Minji, L. Parameter Optimization on Mechanical Coating Processing of Rotary Table-Roller Coating Machine for Peanut Seeds. Trans. Chin. Soc. Agric. Eng. (Trans. CSAE) 2017, 33, 43–50. [Google Scholar] [CrossRef]
  11. Rocha, I.; Ma, Y.; Souza-Alonso, P.; Vosátka, M.; Freitas, H.; Oliveira, R.S. Seed Coating: A Tool for Delivering Beneficial Microbes to Agricultural Crops. Front. Plant Sci. 2019, 10, 1357. [Google Scholar] [CrossRef]
  12. Paravar, A.; Piri, R.; Balouchi, H.; Ma, Y. Microbial Seed Coating: An Attractive Tool for Sustainable Agriculture. Biotechnol. Rep. 2023, 37, e00781. [Google Scholar] [CrossRef]
  13. Ma, X.; Liu, M.; Hou, Z.; Gao, X.; Bai, Y.; Guo, M. Numerical Simulation and Experimental Study on the Pelletized Coating of Small Grain Forage Seeds. Trans. Chin. Soc. Agric. Eng. (Trans. CSAE) 2023, 39, 43–52. [Google Scholar] [CrossRef]
  14. Pang, M.; Dong, S.; Zou, G.; Li, H.; Liang, L.; Guo, X.; Li, L. Preparation of Palm Oil-Based Degradable Coating Materials and the Property Study. J. Plant Nutr. Fertil. 2023, 29, 1966–1976. [Google Scholar] [CrossRef]
  15. Sun, M.-H.; Wang, C.-Q.; Wang, R.; Bai, W.-B.; Gao, Z.-F. Preparation of Bacillus Velezensis G-1·lipopeptide Suspension Seed Coating Agent and Its Anti-Infection Effect on Sphacelotheca Reiliana. Acta Agron. Sin. 2024, 50, 1467–1485. [Google Scholar] [CrossRef]
  16. Hu, L.; Hu, Z.; Gao, G.; Ji, F.; Wang, H.; Tian, L. Design and Realization of Automatic Controlling System for Seed Coater Based on PLC. Trans. Chin. Soc. Agric. Eng. (Trans. CSAE) 2007, 23, 140–144. [Google Scholar]
  17. Cui, J.-K.; Huang, W.-K.; Peng, H.; Lv, Y.; Kong, L.-A.; Li, H.-X.; Luo, S.-J.; Wang, Y.; Peng, D.-L. Efficacy Evaluation of Seed-Coating Compounds against Cereal Cyst Nematodes and Root Lesion Nematodes on Wheat. Plant Dis. 2017, 101, 428–433. [Google Scholar] [CrossRef]
  18. Wang, J.; Jiang, C. Automatic Control System of Seed Pelletizing Coating Machine BT-Application of Intelligent Systems in Multi-Modal Information Analytics; Sugumaran, V., Xu, Z., Zhou, H., Eds.; Springer International Publishing: Cham, Switzerland, 2021; pp. 58–63. [Google Scholar]
  19. Long, H.; Bi, Y.; Pu, L.; Xu, W.; Xue, H.; Fu, G.; Prusky, D. Preparation of Chitosan/Fennel Seed Essential Oil/Starch Sodium Octenyl Succinate Composite Films for Apple Fruit Preservation. LWT 2022, 167, 113826. [Google Scholar] [CrossRef]
  20. Ma, X.; Guo, M.; Tong, X.; Hou, Z.; Liu, H.; Ren, H. Calibration of Small-Grain Seed Parameters Based on a BP Neural Network: A Case Study with Red Clover Seeds. Agronomy 2023, 13, 2670. [Google Scholar] [CrossRef]
  21. Hou, Z.; Ma, X.; Xue, J.; Dai, N.; Liu, M. Multi-Objective Optimization of Pelletizing Working Parameters of Red Clover Seeds. J. Chinese Agric. Mech. 2023, 44, 115–120. [Google Scholar] [CrossRef]
  22. Du, J.; Lu, M.; Fang, J.; Li, W.; Chen, D. Current-Carrying Friction Behavior and Wear Mechanism of Ag Coatings by Rotary Spray Deposition. Wear 2024, 546–547, 205367. [Google Scholar] [CrossRef]
  23. Zang, Y.; He, S.; Wang, Z.; Liu, S.; Wang, X.; Wen, Z. Design of Pneumatic Single Seed Metering Device for Coated Hybrid Rice. Trans. Chin. Soc. Agric. Eng. (Trans. CSAE) 2021, 37, 10–18. [Google Scholar] [CrossRef]
  24. Qiu, Y.; Amirkhani, M.; Mayton, H.; Chen, Z.; Taylor, A.G. Biostimulant Seed Coating Treatments to Improve Cover Crop Germination and Seedling Growth. Agronomy 2020, 10, 154. [Google Scholar] [CrossRef]
  25. Liu, R.; Li, Y.; Liu, Z.; Liu, L.; Lü, H. Analysis and Calibration of Discrete Element Parameters of Coated Maize Seed. Nongye Jixie Xuebao/Trans. Chin. Soc. Agric. Mach. 2021, 52, 18. [Google Scholar] [CrossRef]
  26. Ma, X.; Xie, J.; Yu, Z.; Su, Q.; Liu, W.; Zhao, D.; Zhang, J. Discrete Element Method Simulation of Corn Root Residue Excavation for Structural Design and Performance Optimization. Smart Agric. Technol. 2025, 12, 101229. [Google Scholar] [CrossRef]
  27. Liu, M.; Sun, J.; Huang, D.; Qiao, D.; Xiang, M.; Feng, W.; Fu, D.; Wang, J. Mechanism Analysis of Soil Disturbance in Sodic Saline–Alkali Soil Tillage Based on Mathematical Modeling and Discrete Element Simulation. Agriculture 2025, 15, 1885. [Google Scholar] [CrossRef]
  28. Zeng, F.; Diao, H.; Cui, J.; Ye, W.; Bai, H.; Li, X. Establishment and Parameter Calibration of a Simulation Model of Coated Cotton Seeds and Soil. Processes 2024, 12, 521. [Google Scholar] [CrossRef]
  29. Albasheer, A.H.; Liao, Q.; Wang, L.; Abdallah, A.D.; Lin, J. Design and Preliminary Evaluation of a Precision Cylindrical Air-Assisted Drill Sowing Device for Rapeseed, Wheat, and Rice. Agriculture 2024, 14, 2355. [Google Scholar] [CrossRef]
  30. JB/T 7730-2011; Seed Coater Machine. Ministry of Agriculture Drying Equipment Quality Supervision and Testing Center: Beijing, China, 2011.
  31. Ma, X.; Yu, Z.; Liu, M.; Wang, J.; Su, Q.; Zhang, J.; Xie, J.; Wang, T. Mechanical Properties and Critical State Characteristics of Maize Root-Soil Composites at Different Soil Depths. Biosyst. Eng. 2025, 250, 163–173. [Google Scholar] [CrossRef]
  32. Zhao, X.; Bai, H.; Liu, F.; Dong, W. DEM Modelling Methods and Trait Analysis of Sunflower Seed. Biosyst. Eng. 2025, 250, 39–48. [Google Scholar] [CrossRef]
  33. Pedrini, S.; Lullfitz, D.; Fontaine, A.; Just, M.; Turner, S. Effectiveness and Economic Viability of Native Seed Pelleting in Large-Scale Seedling Production for Revegetation. Sci. Total Environ. 2025, 993, 180008. [Google Scholar] [CrossRef] [PubMed]
  34. Zhou, L.; Tu, W.; Wang, C.; Li, Q. A Heterogeneous Access Metamodel for Efficient IoT Remote Sensing Observation Management: Taking Precision Agriculture as an Example. IEEE Internet Things J. 2022, 9, 8616–8632. [Google Scholar] [CrossRef]
  35. Zhou, L.; Tu, W.; Li, Q.; Guan, D. A Heterogeneous Streaming Vehicle Data Access Model for Diverse IoT Sensor Monitoring Network Management. IEEE Internet Things J. 2024, 11, 26929–26943. [Google Scholar] [CrossRef]
  36. Xu, J.; Sun, S.; Li, X.; Zeng, Z.; Han, C.; Tang, T.; Wu, W. Research on the Population Flow and Mixing Characteristics of Pelleted Vegetable Seeds Based on the Bonded-Particle Model. Agriculture 2024, 14, 752. [Google Scholar] [CrossRef]
Figure 1. Schematic Diagram of the Structure of the Seed Pelletization Coating Machine: 1. frame 2. shaker 3. tilt angle adjustment equipment 4. coating pot 5. spray nozzle 6. water storage tank 7. motorized valve 8. load cell 9. seed storage tank 10. powder storage tank 11. rotary unloading valve 12. solenoid three-way valve 13. peristaltic pump 14. liquid storage tank 15. electronic control system.
Figure 1. Schematic Diagram of the Structure of the Seed Pelletization Coating Machine: 1. frame 2. shaker 3. tilt angle adjustment equipment 4. coating pot 5. spray nozzle 6. water storage tank 7. motorized valve 8. load cell 9. seed storage tank 10. powder storage tank 11. rotary unloading valve 12. solenoid three-way valve 13. peristaltic pump 14. liquid storage tank 15. electronic control system.
Agriculture 15 02017 g001
Figure 2. Seed discrete element simulation parameter calibration test process.
Figure 2. Seed discrete element simulation parameter calibration test process.
Agriculture 15 02017 g002
Figure 3. Powder impact on seed surface.
Figure 3. Powder impact on seed surface.
Agriculture 15 02017 g003
Figure 4. Interparticle liquid bridge force model.
Figure 4. Interparticle liquid bridge force model.
Agriculture 15 02017 g004
Figure 5. Simulation model settings: (a) agropyron seed; (b) powder; (c) Schematic diagram of meshing in simulation area.
Figure 5. Simulation model settings: (a) agropyron seed; (b) powder; (c) Schematic diagram of meshing in simulation area.
Agriculture 15 02017 g005
Figure 6. Effects of different parameters on the qualification rate of single-seed pelleting for agropyron seeds: (a,b) Coating pot rotation speed; (c,d) Coating pot tilt angle; (e,f) Vibration frequency; (g,h) Vibration amplitude; (i,j) Vibration Direction.
Figure 6. Effects of different parameters on the qualification rate of single-seed pelleting for agropyron seeds: (a,b) Coating pot rotation speed; (c,d) Coating pot tilt angle; (e,f) Vibration frequency; (g,h) Vibration amplitude; (i,j) Vibration Direction.
Agriculture 15 02017 g006
Table 1. Discrete element simulation parameter table.
Table 1. Discrete element simulation parameter table.
Simulation Test ParametersSeedsSimulation Test ParametersPowder
Poisson’s Ratio of Seeds0.4Poisson’s Ratio of Powder0.4
Shear Modulus of Seeds/MPa12.5Shear Modulus of Powder/MPa3 × 107
Seed–Seed Restitution Coefficient0.54Powder–Powder Restitution Coefficient0.15
Seed–Seed Static Friction Coefficient0.57Powder–Powder Static Friction Coefficient0.887
Seed–Seed Rolling Friction Coefficient0.74Powder–Powder Rolling Friction Coefficient0.139
Seed–Steel Plate Restitution Coefficient0.51Powder–Seed Restitution Coefficient0.15
Seed–Steel Plate Static Friction Coefficient0.31Powder–Seed Static Friction Coefficient0.71
Seed–Steel Plate Rolling Friction Coefficient0.45Powder–Seed Rolling Friction Coefficient0.31
JKR Surface Energy0.162
Table 2. Single-Factor experimental design for agropyron seeds.
Table 2. Single-Factor experimental design for agropyron seeds.
NO.Coating Pot Rotation Speed/r·min−1Coating Pot Tilt Angle/°Vibration Frequency/HzVibration Amplitude/mmVibration Direction
13040102Z
23040152Z
33040202Z
43040252Z
53040302Z
64525202Z
74530202Z
84535202Z
94540202Z
104545202Z
113040202Z
123540202Z
134040202Z
144540202Z
155040202Z
164540200Z
174540200.5Z
184540201Z
194540201.5Z
204540202Z
214540202Y
224540202X
234540202Z
Table 3. Plackett-Burman test parameter range table of agropyron seeds.
Table 3. Plackett-Burman test parameter range table of agropyron seeds.
Experimental ParametersLow LevelHigh Level
Vibration Frequency (A)/Hz1020
Vibration Amplitude (B)/mm12
Vibration Direction (C)XZ
Coating Pot Rotational Speed (D)/r·min−14050
Coating Pot Tilt Angle (E)/°3545
Table 4. Levels coding table of test parameter of agropyron seeds.
Table 4. Levels coding table of test parameter of agropyron seeds.
NO.A/HzD/r·min−1E
−1104035
0204540
1305045
Table 5. Plackett-Burman test scheme and results of agropyron seeds.
Table 5. Plackett-Burman test scheme and results of agropyron seeds.
NO.ABCDECv
1202X50450.225
2102Z40450.236
3201Z50350.301
4102X50450.256
5101Z40450.208
6101X50350.244
7201X40450.375
8202X40350.448
9202Z40350.458
10102Z50350.219
11201Z50450.175
12101Z40350.324
Table 6. Plackett–Burman significance analysis of test parameters of agropyron seeds.
Table 6. Plackett–Burman significance analysis of test parameters of agropyron seeds.
ParameterDegrees of FreedomSum of SquaresF-Valuep-ValueSignificance
A10.020411.040.0159*
B10.00392.080.1990
C10.00633.410.1144
D10.033017.830.0055**
E10.022412.140.0131*
Note: ** indicates extremely significant impact (p < 0.01), * indicates significant impact (p < 0.05).
Table 7. Quadratic regression orthogonal test scheme and experimental results of agropyron seeds.
Table 7. Quadratic regression orthogonal test scheme and experimental results of agropyron seeds.
NO.ADECvSingle-Seed Pelletization Pass Rate/%
1−1−100.44276.8
2−1100.31283.3
31−100.29584.8
41100.30682.1
50−1−10.49768.3
601−10.33280.8
70−110.32681.3
80110.38778.5
9−10−10.52867.5
1010−10.42672.3
11−1010.33880.1
121010.32980.8
130000.21693.7
140000.21391.3
150000.20593.6
160000.24693.5
170000.22894.1
Table 8. Variance analysis of multiple fitting regression models of single seed pelletization rate.
Table 8. Variance analysis of multiple fitting regression models of single seed pelletization rate.
Model TypeSum of SquaresDegrees of FreedomMean SquaresFP
Mean Value1.1 × 10511.1 × 105
Linear168.10356.030.71990.5577
2FI83.89327.960.30130.8238
Quadratic Equation904.913301.6491.82<0.0001
Cubic Equation18.0836.034.910.0792
Residual4.9141.23
Total1.1 × 105176878.57
Table 9. Analysis of variance of regression model in simulation test.
Table 9. Analysis of variance of regression model in simulation test.
SourceSum of SquaresDegrees of FreedomMean Squaresp-ValueSignificance
Modle0.149190.01660.0002**
A0.008710.00870.0097**
D0.006210.00620.0207*
E0.020310.02030.0010**
AD0.005010.00500.0325*
AE0.002210.00220.1229
DE0.012810.01280.0037**
A20.019710.01970.0011**
D20.010010.01000.0070**
E20.055910.0559<0.0001**
Residual0.004970.0007
Lack-of-fit0.003930.00130.0744
Pure error0.001040.0003
Sum0.154116
Note: ** indicates extremely significant impact (p < 0.01), * indicates significant impact (p < 0.05).
Table 10. Optimization results of simulation test and physical test.
Table 10. Optimization results of simulation test and physical test.
Experimental ParametersSimulated Optimization Parameter ValuesPhysical Optimization Parameter Values
A/Hz21.2120.95
D/r·min−145.9145.42
E40.8540.78
Table 11. Regression model prediction and physical test results.
Table 11. Regression model prediction and physical test results.
Experimental ParametersSingle-Seed Pelletization Pass Rate/%
Regression Model PredictionPhysical Experiment
Vibration frequency 21 Hz93.795.3 ± 1.2
Coating pot speed 46 r·min−1
Coating pot inclination angle 41°
Disclaimer/Publisher’s Note: The statements, opinions and data contained in all publications are solely those of the individual author(s) and contributor(s) and not of MDPI and/or the editor(s). MDPI and/or the editor(s) disclaim responsibility for any injury to people or property resulting from any ideas, methods, instructions or products referred to in the content.

Share and Cite

MDPI and ACS Style

Liu, H.; Ma, X.; Hou, Z.; Chen, L.; Tan, A.; Liu, Y. Simulation and Experimental Study on the Optimization of Operating Parameters for Coating Pellets of Agropyron Seeds. Agriculture 2025, 15, 2017. https://doi.org/10.3390/agriculture15192017

AMA Style

Liu H, Ma X, Hou Z, Chen L, Tan A, Liu Y. Simulation and Experimental Study on the Optimization of Operating Parameters for Coating Pellets of Agropyron Seeds. Agriculture. 2025; 15(19):2017. https://doi.org/10.3390/agriculture15192017

Chicago/Turabian Style

Liu, Haiyang, Xuejie Ma, Zhanfeng Hou, Liying Chen, Aijun Tan, and Yishuai Liu. 2025. "Simulation and Experimental Study on the Optimization of Operating Parameters for Coating Pellets of Agropyron Seeds" Agriculture 15, no. 19: 2017. https://doi.org/10.3390/agriculture15192017

APA Style

Liu, H., Ma, X., Hou, Z., Chen, L., Tan, A., & Liu, Y. (2025). Simulation and Experimental Study on the Optimization of Operating Parameters for Coating Pellets of Agropyron Seeds. Agriculture, 15(19), 2017. https://doi.org/10.3390/agriculture15192017

Note that from the first issue of 2016, this journal uses article numbers instead of page numbers. See further details here.

Article Metrics

Back to TopTop