Next Article in Journal
Permanent Magnet Synchronous Motor Drive System for Agricultural Equipment: A Review
Previous Article in Journal
Experimental Research and Parameter Optimization on Dust Emission Reduction for Peanut Pickup Combine Harvesting
Previous Article in Special Issue
Phenolic and Fatty Acid Changes in ‘Leccino’ Olives (Olea europaea L.) Under Different Postharvest Conditions
 
 
Font Type:
Arial Georgia Verdana
Font Size:
Aa Aa Aa
Line Spacing:
Column Width:
Background:
Article

Comparison of the Effects of Prohexadione Calcium and Uniconazole on Sweet Potato Storage and Texture Quality

1
The Key Laboratory for Quality Improvement of Agricultural Products of Zhejiang Province, College of Advanced Agricultural Sciences, Zhejiang A&F University, Hangzhou 311300, China
2
Key Laboratory of Crop Quality Improvement of Anhui Province, Crop Research Institute, Anhui Academy of Agricultural Sciences, Hefei 230001, China
3
Institute of Root and Tuber Crops, Zhejiang A&F University, Hangzhou 311300, China
*
Authors to whom correspondence should be addressed.
These authors contributed equally to this work.
Agriculture 2025, 15(19), 2005; https://doi.org/10.3390/agriculture15192005
Submission received: 14 August 2025 / Revised: 24 September 2025 / Accepted: 24 September 2025 / Published: 25 September 2025

Abstract

Storage quality and texture properties determine the processing quality of sweet potato (Ipomoea batatas Lam.). Prohexadione calcium (Pro-Ca) and uniconazole (UCZ) are plant growth regulators that inhibit gibberellin biosynthesis, reducing excessive sweet potato growth and improving stress resistance. This study evaluated the impact of foliar applications—applied at 37.5 g·hm−2 for both treatments—on the postharvest texture characteristics and storage performance of sweet potato storage roots. The experiments were conducted over two years (2023 and 2024) using two sweet potato cultivars, Zheshu13 (Z13) and Wanshu10 (W10). The results showed that Pro-Ca significantly improved the textural properties of sweet potatoes, including firmness, chewiness, and maximum adhesion force, especially in Z13 (p < 0.05). Pro-Ca also reduced the percentage of rotting and weight loss during storage (p < 0.05), offering a more sustainable option for sweet potato postharvest management compared to UCZ. Additionally, Pro-Ca treatment increased the soluble sugar content of Z13-2023 and W10-2024, as well as the amylose content, except for W10 (p < 0.05), which could enhance both the sweetness and texture of sweet potatoes. This study highlights the potential of Pro-Ca as an effective growth regulator for improving sweet potato storage and processing quality. Further research is needed to investigate the long-term effects and the molecular mechanisms underlying these benefits, particularly in relation to gibberellin inhibition, carbohydrate metabolism, and cell wall integrity during storage.

1. Introduction

Sweet potato (Ipomoea batatas Lam.) is an economically important crop cultivated across Asia, Africa, and the Americas. Climate change poses substantial challenges to crop production by disrupting the intricate source–sink relationships critical for optimal development and yield, as exemplified by the excessive vegetative growth of sweet potato shoots [1]. Plant growth regulators (PGRs) are commonly applied to mitigate such excessive growth. They primarily act by inhibiting gibberellin biosynthesis, thereby reducing endogenous auxin levels [2]. Compounds such as paclobutrazol (PBZ) and uniconazole (UCZ) also inhibit cytokinin oxidase and disrupt the gibberellin signaling pathway, significantly increasing the yield of sweet potato storage roots [3,4,5]. PBZ and UCZ further suppress gibberellin biosynthesis and cytochrome P450 oxidases, leading to reduced stem elongation, improved source–sink balance, and enhanced resistance to lodging and abiotic stress [6,7]. However, their toxicity to aquatic organisms (0.5–5 mg·L−1) and potential environmental risks necessitate cautious use and the search for safer alternatives [8,9].
Prohexadione calcium (Pro-Ca) is a rapidly degradable gibberellin inhibitor that suppresses excessive vegetative growth without impairing reproductive performance [10]. It acts by inhibiting 2-oxoglutarate-dependent dioxygenases, thereby restricting cell elongation and vegetative expansion [11]. Pro-Ca also helps maintain intracellular sodium–potassium ion homeostasis, alleviating sodium toxicity and preserving cellular function [10]. Additionally, it enhances the activity of antioxidant enzymes, such as superoxide dismutase and peroxidase, thereby reducing the accumulation of reactive oxygen species and improving stress tolerance [12]. By improving canopy light penetration and air circulation, Pro-Ca also promotes plant health and reduces disease incidence in rice [13]. The application of Pro-Ca not only enhanced grape fruit quality by regulating endogenous hormones, enzyme activities, and sugar-acid balance, but it also proved to be environmentally safe [14]. Despite these benefits, the effects of PGRs on the postharvest storage and texture quality of sweet potatoes remain poorly understood.
Pro-Ca and UCZ have been extensively studied in fruit crops, such as apples [15,16,17]; however, limited research exists regarding their postharvest effects on root crops, including sweet potatoes. We hypothesized that Pro-Ca treatment would improve the postharvest storage quality of sweet potatoes by reducing physiological deterioration and enhancing compositional traits. In this study, we investigated the impact of Pro-Ca and UCZ foliar application in the field on the texture and preharvest quality of sweet potato storage roots, with the goal of improving their overall quality. This study elucidates Pro-Ca’s role in sweet potato production, contributing valuable theoretical insights and practical strategies for high-quality sweet potatoes.

2. Materials and Methods

2.1. Plant Materials and Growth Conditions

Field trials were conducted in 2023 and 2024 using two sweet potato cultivars, the long-vine sweet potato cultivar Zheshu13 (Z13) and the ordinary vine cultivar Wanshu10 (W10), cultivated at the Anhui Academy of Agricultural Sciences in Hefei, Anhui (31°53′ N, 117°14′ E). The sweet potato was transplanted on 15 June. The basic physical and chemical properties of the farmland are the following: organic matter 13.8 g·kg−1, total nitrogen 1.63 g·kg−1, available phosphorus 20.52 mg·kg−1, and available potassium 137 mg·kg−1. We designed three treatments: the Control, a 37.5 g·hm−2 UCZ reagent spraying total (100 mg·L−1, twice foliar spraying), and a 37.5 g·hm−2 Pro-Ca spraying total (100 mg·L−1, twice foliar spraying). The planting density was 5 plants·m−2, with 20 m2 for each plot. The plots of UCZ and Pro-Ca received two sprays, the first of which was applied 50 days after transplanting, and the second was applied 70 days after transplanting. In 2023 and 2024, the first spray was carried out on 4 August, and the second was carried out on 24 August. They were sprayed twice at 50 and 70 days after transplanting, depending on the weather conditions. UCZ was prepared by mixing 5% commercially available wettable powder (Sichuan Guoguang Pesticide Co., Ltd., Jianyang, China), and Pro-Ca was prepared by mixing 10% commercially available reagent (Shanghai Yuelian Chemical Co., Ltd., Shanghai, China). The fertilizer was 450 kg·hm−2 NPK-16:16:16 complex fertilizer (Nanjing Huazhou Pesticide Co., Ltd., Nanjing, China). The experiment was conducted using a completely randomized design (CRD). All plots were randomly assigned to treatment groups to reduce positional bias. All agronomic practices (tillage, planting density, fertilization regime, pest protection, and irrigation management at the station) were kept identical across treatments and plots within each year.
The storage roots were stored at Zhejiang A&F University under controlled conditions. They were separated based on the treatments, and 10 kg of sweet potatoes were randomly selected for each treatment to be stored individually. The spindle-shaped tuberous root, without pests, diseases, and mechanical damage, of medium size (weighing between 300 and 500 g, 10 cm in width, and 20 cm in length) was selected. The storage environment was maintained in a facility kept in darkness at 12 ± 1 °C with 85% humidity, ensuring stable conditions. Fresh samples were collected on the day of harvest (0 days after storage) and at 10, 20, 30, and 60 days after storage. The samples, consisting of intact storage roots, were washed, dried, cut into small cubes, thoroughly mixed, and sealed in ziplock plastic bags (Pingguo, Shanghai Chenxin Producer, Shanghai, China) before being stored in a freezer at −80 °C.

2.2. Flour Sample Preparation

The flour samples were prepared using Xu’s method [18]. The healthy sweet potatoes were selected and then sliced into 0.5 cm-thick pieces using a slicer. The slices were evenly divided using the quartering method and quickly soaked in liquid nitrogen for 10 min, then transferred to −80 °C storage for 72 h. After freeze-drying, the samples were ground into powder using a hammer-type cyclone mill, sieved through an 80-mesh sieve (0.180 mm), placed into self-sealing bags, and stored at 4 °C for future use.

2.3. Determination of Soluble Sugar, Starch, and Apparent Amylose Content in Storage Roots

The soluble sugar content was determined using Fairbairn’s [19] method, which employs anthrone colorimetry. A total of 1 g of dried powder was suspended in 10 mL of water, then incubated for 30 min in boiling water, filtered, and brought to a volume of 100 mL. After reaction with the anthrone reagent, the absorbance at 620 nm was recorded against a glucose calibration curve; the results are reported as % dry basis. Three biological replicates were performed, each consisting of three technical replicates.
The soluble sugar content: (g·100 g−1 FW) = (c(Abs) × VT × n)/Vs × FW
where C (Abs): milligrams obtained on the standard curve, VT: total volume of liquid to be tested, n: dilution ratio, Vs: extracted volume of the liquid to be tested, and FW: total sample size.
Starch and apparent amylose content were measured using Katayama’s methods [20], employing acid hydrolysis with 3,5-Dinitrosalicylic acid (DNS). The starch in the powder samples was hydrolyzed to reduce sugars under acidic conditions, and DNS reagent (Phygene Biotechnology Co., Ltd., Fuzhou, China) was used to develop the color. Under alkaline conditions, the reducing sugars were oxidized to glycolic acid, and DNS reagent was reduced to form a brownish-red 3-amino-5-nitrosalicylic acid. The starch content was calculated by measuring the absorbance at 540 nm and comparing it with the glucose standard curve. When calculating starch content, it is important to note that each broken glycosidic bond during polysaccharide hydrolysis to monosaccharides results in the addition of one water molecule, requiring multiplication by a coefficient of 0.9 for conversion. Three biological replicates were performed, each consisting of three technical replicates.
Starch content: (g·100 g−1 FW) = (m(Abs) × Vr)/(m0 × vs. × 1000) × 0.9 × 100%
where M (Abs): milligrams obtained on the standard curve; Vr: total volume of liquid to be tested; m0: amount of sample to be weighed; Vs: 0.9 times the volume of the solution to be tested (conversion factor between reducing sugar and starch).
The apparent amylose content was measured following Xu’s methods [21]. Apparent amylose was quantified using a Megazyme Amylose/Amylopectin Assay Kit (K-AMYL, Megazyme International Ltd., Bray, Co. Wicklow, Ireland) based on concanavalin-A precipitation. Each assay used 25.0 ± 0.1 mg of sample and strictly followed the manufacturer’s protocol; the amylose content was colorimetrically determined using the GOPOD reagent at 510 nm. Three biological replicates were performed, each consisting of three technical replicates.
Apparent amylose content: (g·100 g−1 FW) = Absorbance (Con A Supernatant)/Absorbance (Total Starch Aliquot) × 66.8

2.4. Dry Matter Weight, Percentage of Rotting, and Weight Loss

The dry matter weight was calculated according to Yu et al. [22]. For each treatment, three storage roots were sampled, with three subsamples taken from each root. These storage roots were thoroughly washed, air-dried for 30 min, and sliced into 0.5 cm-thick pieces using a precision slicer. The slices were evenly divided into four portions via the quartering method, with three portions randomly selected as replicates. The samples were weighed and then dried in a forced-air oven (Shenghui Co., Ltd., Shaoxing, China) at 80 °C until a constant weight was achieved. The dry matter weight was calculated using the following formula:
Dry matter weight: (g·100 g−1 FW) = (Weight after drying/Weight before drying) × 100%
The percentage of rotting and weight loss were calculated according to Xu et al. [18]. For each treatment, rot incidence was evaluated in three replicates of 30 storage roots following natural infection during storage. A root was classified as rotten if mold growth on its surface exceeded 5 mm in diameter. The percentage of rotting was calculated as the percentage of rotting roots relative to the total number of roots.
The formulas used were as follows:
Percentage of rotting: (%) = (Number of decayed storage roots/Total number of storage roots) × 100%.
Percentage weight loss: (%) = [(Fresh weight of storage root before storage − Fresh of storage root weight after storage)/Fresh of storage root weight before storage] × 100%.

2.5. Texture Properties

The texture properties (TPA) of storage roots were measured according to Xu’s method [23] using a physical property analyzer (TMS-PRO, Food Technology Corporation, Sterling, VA, USA). Three healthy storage roots were chosen from the middle section and sliced into 1 cm-thick pieces using a precision slicer. The slices were split into four equal parts using the quartering technique. A P/5 probe was used to assess the texture properties at the center of each slice. The resulting curve provided parameters such as firmness, maximum adhesion force, springiness, chewiness, and cohesion. The parameters were set as follows: the pre-test speed was 30 mm·min−1, the test speed was 60 mm·min−1, and the post-test speed was 90 mm·min−1. The compression ratio was set at 60%, with a 5-s pause between tests, and the trigger force was 0.2 N. Each sample was measured in three replicates. The highest and lowest values from each replicate were discarded, and the average value was calculated.

2.6. Statistical Analysis

Statistical analysis was performed using SPSS 23.0 software for one-way ANOVA, followed by Duncan’s multiple range tests for treatment comparisons with SPSS 23.0 (IBM Co., Armonk, NY, USA). Tables were built using Excel 2018 (Microsoft Co., Redmond, WA, USA), and figures were created using Origin 9.0 Professional (Origin Lab. Co., Northampton, MA, USA).

3. Results

3.1. Soluble Sugar, Starch, and Apparent Amylose Content

As Table 1 shows, regarding the impact of different treatments on the soluble sugar content, the Pro-Ca treatment exhibited the highest soluble sugar content (11.6 ± 0.9 g·100 g−1) among the treatments for Z13, followed by UCZ (9.3 ± 0.2 g·100 g−1) and CK (8.6 ± 0.5 g·100 g−1) in 2023. Z13 treated with Pro-Ca showed higher soluble sugar content (9.6 ± 0.1 g·100 g−1) than UCZ (8.1 ± 0.3 g·100 g−1) in 2024, but the soluble sugar content of Pro-Ca was not significantly different from CK in 2024 (9.6 ± 0.1 g·100 g−1). Although the soluble sugar content of W10 followed the same trend as Z13 in 2024, with the Pro-Ca treatment showing a higher soluble sugar content (11.0 ± 0.6 g·100 g−1) compared to CK (8.8 ± 0.3 g·100 g−1) and UCZ (8.8 ± 0.1 g·100 g−1), there was no significant difference observed in 2023.
The starch content and apparent amylose content are key factors influencing the taste, processing adaptability, and nutritional value of sweet potatoes, holding great significance for the research and improvement of sweet potato quality. The starch content of the two sweet potato cultivars, Z13 and W10, ranged from 66.0 to 71.0 g·100 g−1 across the three treatments (Table 1). The starch content of Z13 for the Pro-Ca treatment (70.6 ± 0.1 g·100 g−1) was significantly higher than CK and UCZ (68.8 ± 0.3 g·100 g−1) in 2023. However, it (69.3 ± 0.6 g·100 g−1) was significantly lower than CK (70.4 ± 0.4 g·100 g−1) and UCZ (69.9 ± 0.2 g·100 g−1) in 2024. For W10, starch content remained fairly consistent across both years, with the CK treatment yielding the highest starch level (around 67.0 g·100 g−1), while the Pro-Ca and UCZ treatments were slightly lower. The above results indicate that Pro-Ca and UCZ had no significant impact on the starch content of the two sweet potato cultivars.
The changes in apparent amylose content in Z13 and W10 were different under the three treatments. As Table 1 shows, the apparent amylose content of Z13 for Pro-Ca treatment (29.6 ± 0.1 g·100 g−1 and 28.9 ± 0.9 g·100 g−1) was higher than CK (26.2 ± 0.2 g·100 g−1 and 26.6 ± 0.4 g·100 g−1) and UCZ (28.5 ± 0.2 g·100 g−1 and 28.8 ± 0.6 g·100 g−1) in 2023 and 2024. Meanwhile, the apparent amylose content of W10 for Pro-Ca treatment (28.7 g·100 g−1 and 25.3 g·100 g−1) was lower than CK (32.9 ± 0.7 g·100 g−1 and 32.1 ± 0.9 g·100 g−1) and UCZ (33.6 ± 0.5 g·100 g−1 and 32.5 ± 1.8 g·100 g−1) in the two years. Pro-Ca treatment generally improves soluble sugar and amylose content (except for W10), especially in Z13, indicating that it could enhance the sweetness and texture of sweet potatoes.

3.2. Dry Matter Weight of Storage Roots

Table 2 shows the dry matter weight of the two cultivars (Z13 and W10) under different treatments (CK, UCZ, Pro-Ca) across two years (2023 and 2024). In 2023, the dry matter weight of Z13 at one week was very similar across treatments, ranging from 36.6 g·100 g−1 (Pro-Ca) to 37.7 g·100 g−1 (UCZ), with a slight drop at one month (38.2 to 38.7 g·100 g−1), showing no significant differences. Additionally, the dry matter weight of W10 varied between 31.7 g·100 g−1 (CK) and 32.1 g·100 g−1 (UCZ) but remained fairly stable at one month (33.3 to 34.1 g·100 g−1). In 2024, the one-week dry matter weight of Z13 was also close (37.2–37.7 g·100 g−1), with no significant differences in the one-month (35.6–37.0 g·100 g−1). Similarly, the dry matter weight of W10 ranged from 31.5 g·100 g−1 to 32.0 g·100 g−1 at one week, with slight reductions at one month (33.7 to 35.0 g·100 g−1, p > 0.05). The same lowercase letters indicate no significant differences within a column for each cultivar (p > 0.05). Overall, the dry matter weight was consistent for both cultivars across treatments and time points, showing minimal variation with no significant differences within the same cultivar. These findings suggest that both UCZ and Pro-Ca treatments can be utilized in sweet potato cultivation and storage without compromising the dry matter content, thereby preserving the nutritional and processing qualities of the storage roots.

3.3. Percentage of Rotting

The impact of UCZ and Pro-Ca treatments on the percentage of sweet potatoes that rotted over 60 days is shown in Figure 1. The UCZ and Pro-Ca treatments effectively reduced the percentage of rotting compared to the control (CK), with Pro-Ca showing slightly better performance for the two cultivars in both years. Over time, the percentage of rotting for the control increased significantly, while the UCZ and Pro-Ca treatments maintained a lower, more stable percentage of rotting. It indicated that both UCZ and Pro-Ca helped slow down the rotting process, enhancing the storage quality of the sweet potatoes.

3.4. Percentage Weight Loss

Figure 2 presents the postharvest weight loss dynamics and corresponding percentage changes in sweet potatoes under different treatments. The Pro-Ca treatments maintain the lowest percentage weight loss (Figure 2a–c), indicating that Pro-Ca slowed down weight loss in sweet potatoes during storage. UCZ treatment showed a lower percentage weight loss than the control group (CK) in most plots, although not as low as Pro-Ca. In some plots, UCZ appeared to be more effective at reducing weight loss than CK, but not as much as Pro-Ca. UCZ treatments showed a more rapid increase in weight loss compared to the control group (CK), especially after a certain period. This suggests that UCZ had a less favorable effect on preserving the weight of sweet potatoes compared to Pro-Ca.

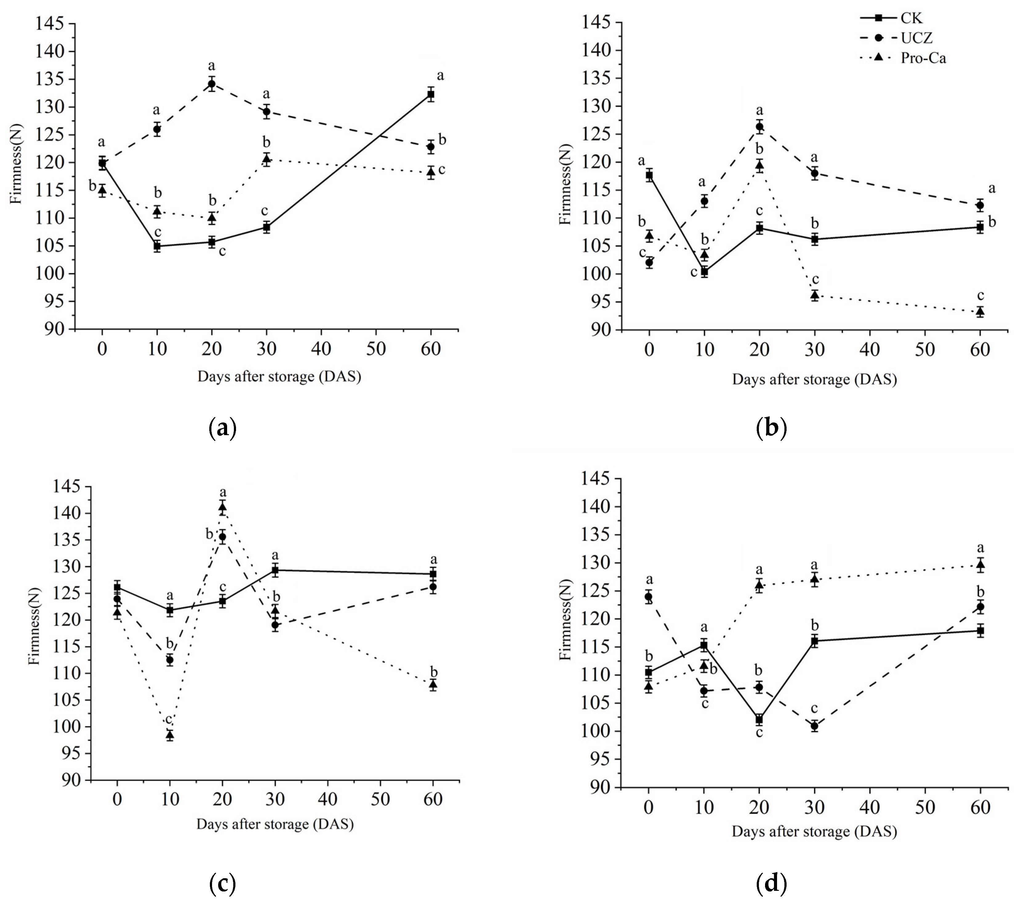
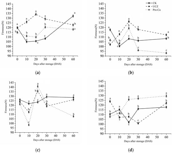
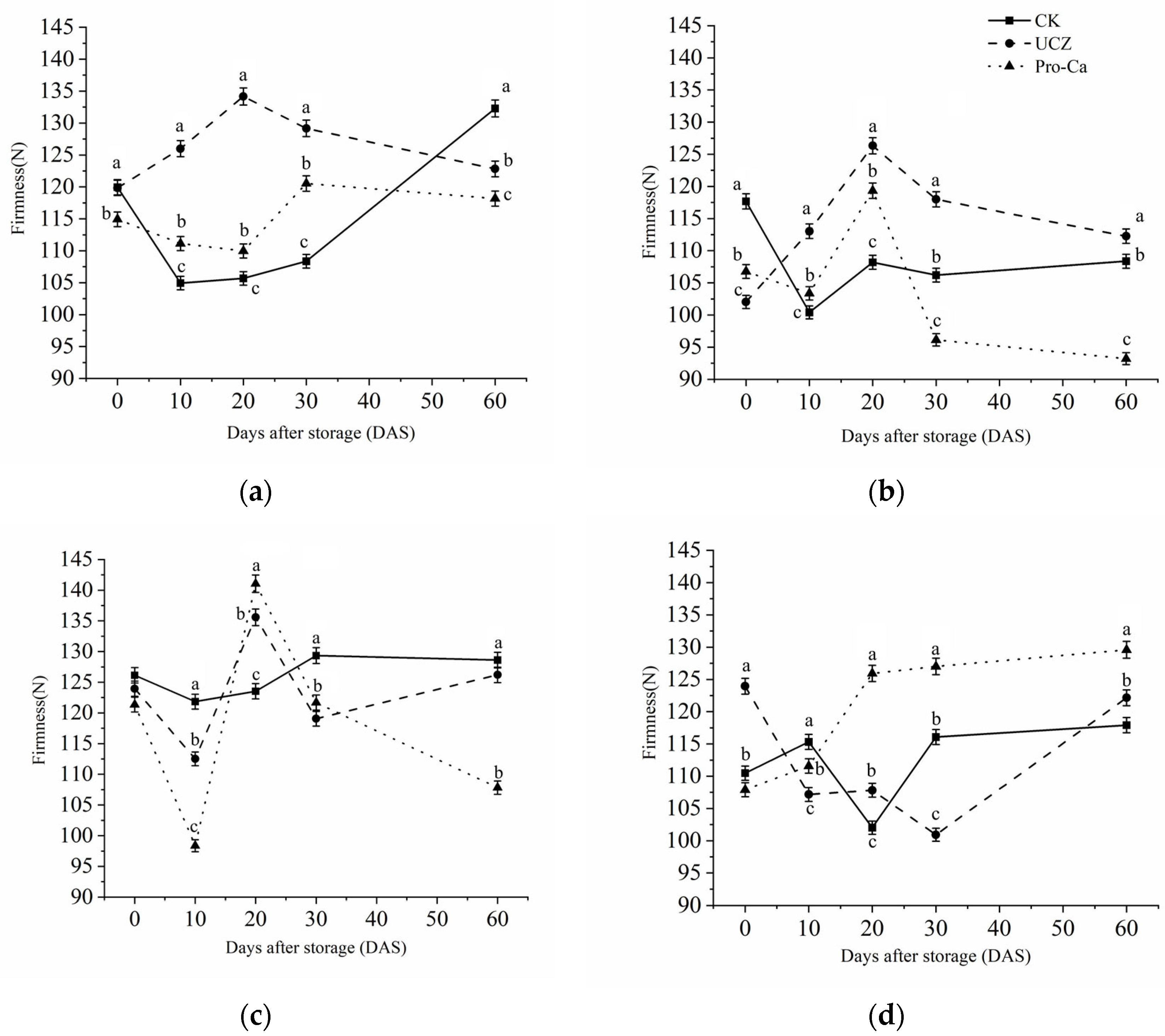
3.5. Firmness

Although there are significant differences in the texture characteristics of the fruit pulp during harvest, it has been proven that the storage dynamics after harvest are also beneficial for understanding the treatment effect. Multivariate analysis revealed different hardness trajectories: UCZ continuously enhanced tissue stiffness, achieving a statistically significant increase in Z13 on day 30 of storage (DAS) throughout the 2024 trial, maintaining an elevated level at week 10 (p < 0.05). On the contrary, Pro-Ca induces biphasic reactions, initially softening between 20–30 DAS in 2023 and gradually recovering, indicating delayed physiological adaptation. It is worth noting that although the control sample showed significant stability, both treatments resulted in significant movement of Z13 during mid-storage. Overall, UCZ treatment helps improve the hardness of sweet potatoes, while Pro-Ca treatment exhibits a delayed effect (Figure 3, Figure 4, Figure 5, Figure 6 and Figure 7).

3.6. Maximum Adhesion Force

As shown in Figure 4, there were significant disparities in the maximum adhesion force of the two sweet potato cultivars across different treatments from 2023 to 2024. The maximum adhesion force of Z13 treated with Pro-Ca showed an even more pronounced increase at 60 DAS in 2024 (p < 0.05), with an additional 4.85 N. In contrast, W10 exhibited no significant changes in the adhesive properties of tuberous roots under either treatment across the two years (p > 0.05). The comparison between treatments highlights that Pro-CA was significantly more effective than UCZ in enhancing the maximum adhesion force of Z13, while W10 showed minimal response to both treatments.

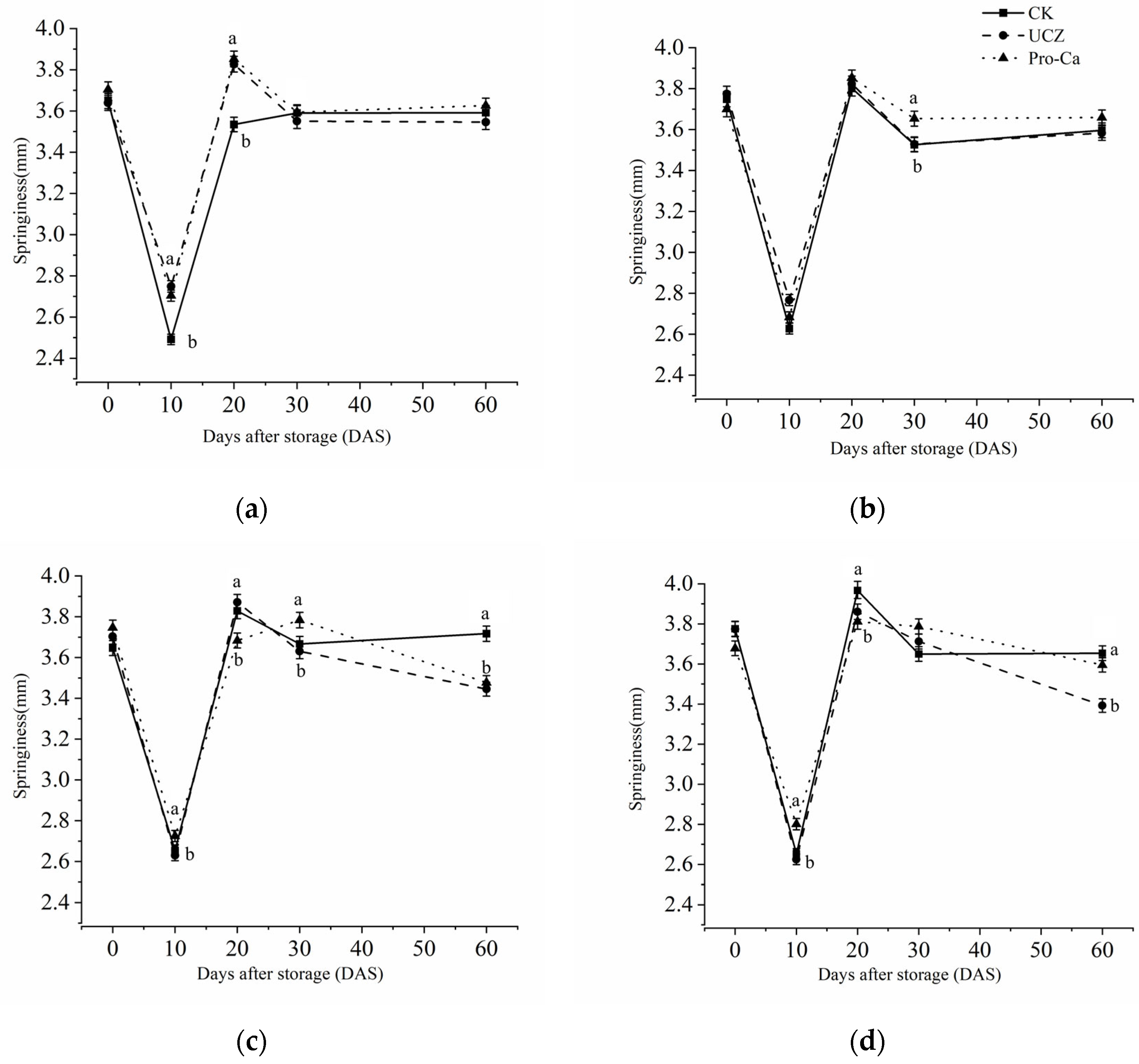
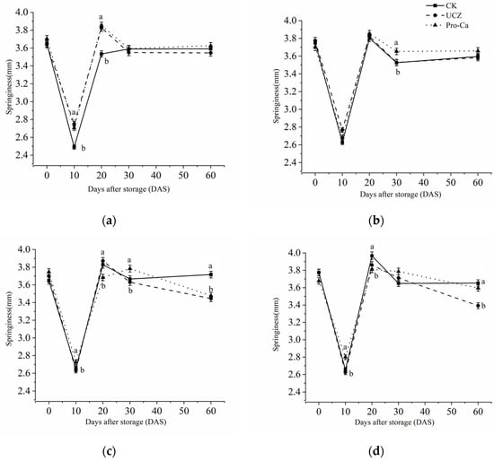
3.7. Springiness

The changing trend of the springiness of sweet potato tuberous roots in the three treatments converged (Figure 5). It illustrates the varying trends in the springiness of two sweet potato cultivars (Z13 and W10) under different treatments (UCZ and Pro-Ca) over two years. In 2023, the springiness response of Z13 under Pro-Ca treatment showed little change at 30 DAS. However, by 60 DAS in 2024, a significant decrease was observed (p < 0.05), reducing by 0.27 mm. For W10, under UCZ treatment, the springiness remained relatively stable in 2023 but exhibited a marked decline of 0.38 mm by 60 DAS in 2024 (p < 0.05). Comparing the treatments, Pro-Ca had a more pronounced effect on Z13 in 2024, while UCZ showed a greater impact on W10 in the same year.

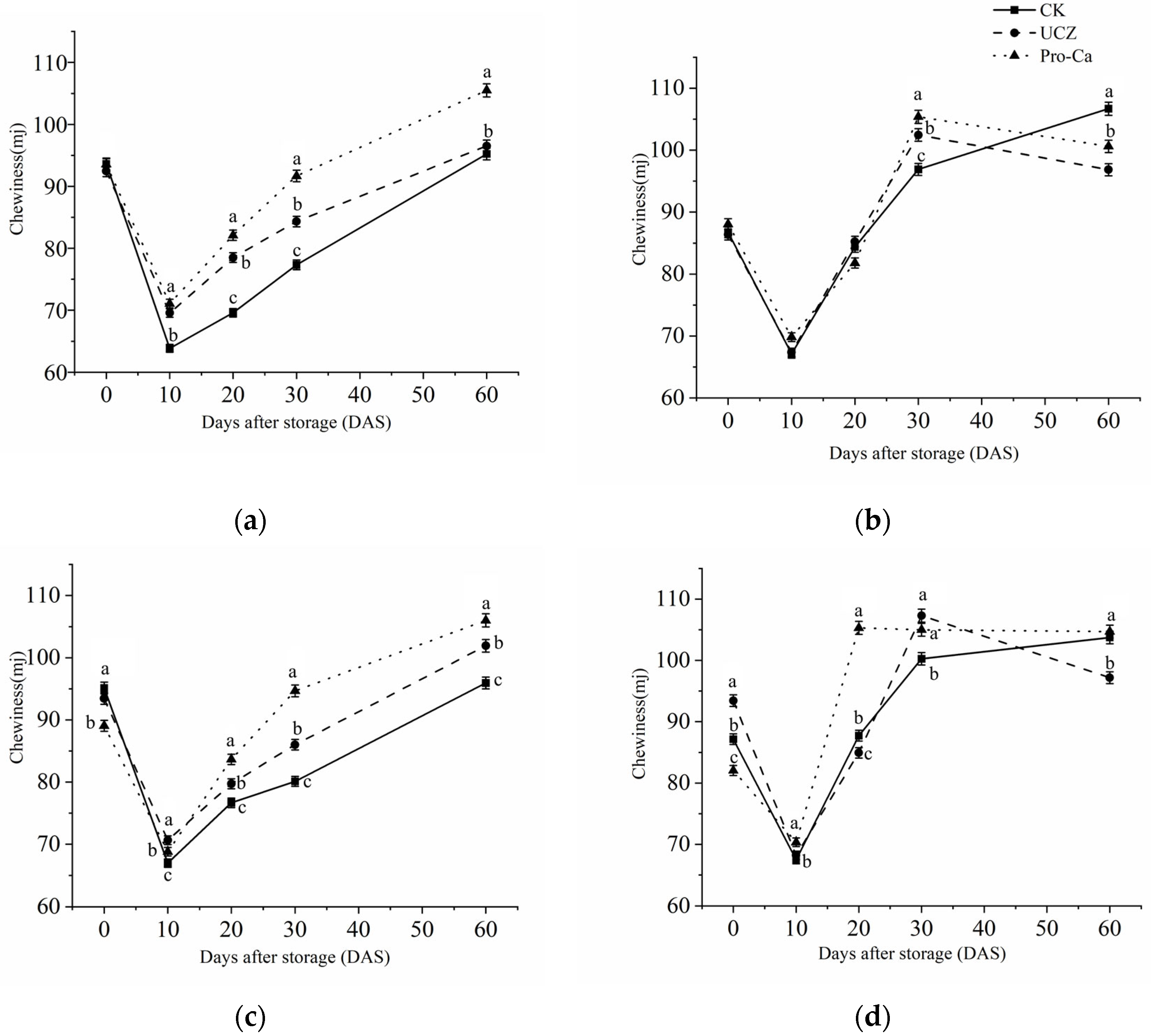
3.8. Chewiness

Figure 6 demonstrates the significant differences in chewiness between the two sweet potato cultivars under various treatments. UCZ treatment considerably reduced the chewiness of both cultivars at 30 DAS in 2023 (p < 0.05). Z13 decreased by 2.15 mj, and W10 decreased by 1.14 mj. Meanwhile, Pro-Ca treatment improved the chewiness of Z13 at 60 DAS (p < 0.05), increasing by 11.94 mj, with no significant effect on W10 (p > 0.05). In 2024, the trend persisted, with UCZ continuing to significantly decrease chewiness (p < 0.05) and Pro-Ca further enhancing the chewiness of Z13 at 60 DAS (p < 0.05), adding 16.94 mj. The contrast between treatments indicates that while UCZ consistently lowered chewiness, Pro-Ca had a notable enhancing effect on the chewiness of Z13 at specific time points.

3.9. Cohesion

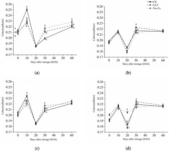
Figure 7 shows the changes in the cohesion of the two sweet potato cultivars under different chemical treatments. UCZ treatment had a negligible effect on the cohesion of tuberous roots at 30 DAS in 2023 (p > 0.05). Both varieties increased by 0.02, whereas Pro-Ca treatment resulted in a significant improvement by 60 DAS (p < 0.05), with Z13 and W10 having additional ratios of 0.02 and 0.03, respectively. By 60 DAS in 2024, the cohesion of both cultivars treated with Pro-Ca showed a marked and significant increase (p < 0.05), while UCZ treatment still had a minimal impact (p > 0.05). The comparison between treatments underscores that Pro-Ca was significantly more effective than UCZ in enhancing cohesion, with its effects becoming more pronounced in 2024.

4. Discussion

4.1. Pro-Ca Enhances Quality and Storage Tolerance Through Sugar Metabolism Regulation

Pro-Ca regulates excessive vine growth by shortening shoot internodes, thus improving plant resilience under stress and optimizing yield. Its effects on crops such as rice and wheat enhance antioxidant processes and photosynthesis, supporting robust growth in challenging conditions [24]. Pro-Ca increases sucrose syntheses activity and reduces sucrose phosphate synthase activity, regulating sugar metabolism and promoting starch accumulation [25]. This treatment significantly improved the texture of sweet potatoes, enhancing firmness, chewiness, and maximum adhesion. Additionally, Pro-Ca reduced rotting and weight loss during storage while increasing soluble sugar and amylose content, further enhancing storage quality and texture properties. While the starch content decreased slightly, Pro-Ca had a more pronounced effect on increasing amylose and soluble sugar levels. This suggests the primary role of Pro-Ca in sugar metabolism, rather than starch synthesis. These findings align with the observation that UCZ may delay carbohydrate degradation during storage by inhibiting α-amylase activity [26]. However, the antioxidant properties of Pro-Ca may contribute to further reducing storage losses. The observed decrease in amylose content in the W10 variety post-Pro-Ca treatment (Table 1) likely reflects cultivar-specific responses, emphasizing the importance of considering genetic variation when applying growth regulators. In line with previous research on Pro-Ca in fruit crops [15], our results also show an improvement in the texture and storage quality of sweet potatoes. However, unlike in apples, where Pro-Ca significantly reduced rotting, sweet potatoes exhibited a more gradual improvement in texture, suggesting crop-specific responses. These results suggest that the concentration and timing of Pro-Ca application should be optimized for maximum effectiveness.

4.2. Pro-Ca Regulation of Carbohydrate Metabolism and Its Effect on Texture

Pro-Ca treatment significantly improved firmness, maximum adhesion force, and chewiness, particularly in the long-vine Z13 cultivar. This may be closely linked to the regulatory effect of Pro-Ca on carbohydrate metabolism. Pro-Ca may increase the activity of sucrose synthase and decrease that of sucrose phosphate synthase, thereby enhancing sugar transport and promoting starch accumulation in tuberous roots, such as in rice [24]. This metabolic adjustment can influence the texture properties of sweet potatoes by altering the balance between sugars and starches. For instance, the increased sucrose content can contribute to higher sweetness and better texture, as sweetness is a key factor in perceived quality. Meanwhile, the promotion of starch accumulation can enhance the firmness and chewiness of the tubers, which is consistent with the observed texture improvements in the Pro-Ca-treated Z13 cultivar [25]. However, the starch content in the tuberous roots after Pro-Ca treatment showed a slight but statistically nonsignificant decrease. This may be because the primary role of Pro-Ca lies in regulating sugar metabolism rather than directly affecting starch synthesis. Katayama et al. [20] also suggested that the starch content of high-amylose sweet potato strains is closely related to genotype, and the effect of exogenous regulators on starch content is relatively limited. Pro-Ca may enhances calcium content and fruit quality, acting as a GA inhibitor, proving the disease resistance and mode of action of Pro-Ca through cell wall reinforcement [27]. Foliar application of Pro-Ca enhances photosynthesis, antioxidant enzyme activity, and stress tolerance under salinity conditions [28], thereby supporting its broader stress mitigation and reinforcing its positive effect on quality during adverse storage conditions. Calcium is a crucial element in maintaining the stability of plant cell walls. It forms cross-links with pectin in the middle lamella, which is vital for cell adhesion. Higher calcium levels generally enhance cell wall integrity and firmness, resulting in a better texture. Due to its calcium content, Pro-Ca could strengthen the cell wall structure in the treated cultivars, resulting in firmer and more resistant texture properties. According to previous studies [29,30,31], CaCl2 treatment has been shown to mitigate the adverse effects of mechanical injury on fruit and vegetable quality, enhancing the physical properties of fruits by improving their firmness and reducing softening

4.3. Field Application of UCZ and Pro-Ca Enhances Stress Resistance and Improves Post-Harvest Preservation of Sweet Potatoes

Under stress conditions such as salinity, foliar spraying with UCZ enhances carbon metabolism, root growth, chlorophyll content, and yield. This indicates that UCZ effectively boosts plant resilience and productivity, paralleling the improvements via Pro-Ca in storage functionality [28]. The dual action of UCZ is not just GA inhibition, but also ABA (abscisic acid, which plays a role by regulating the pyrabactin resistance protein family) stabilization, relevant to storage stress resistance [2]. In this study, we found that Pro-Ca exhibited the same trend; it had significant effects on storage quality, decreasing the percentage of rotting and weight loss. However, the UCZ and Pro-Ca treatments did not affect the dry matter weight of sweet potato in this study. Calcium’s immobility in phloem tissue ensures that calcium transport is entirely dependent on the xylem, which is driven by water potential gradients [32], and GA negatively affects the xylem [33]. During storage and preservation, two key challenges are reducing GA accumulation and enhancing calcium levels in products. Reitz and Mitcham [34] attempted to use Pro-Ca and abscisic acid as preservatives to mitigate bitter pit, but the results were not significant. However, our research indicates that Pro-Ca treatment is highly effective for the storage and preservation of sweet potatoes. Additionally, growth regulators used in field management may yield better results when applied during storage. For example, external plant immune priming proteins such as VDAL (where the 297 encoded protein derived from Verticillium dahliae enhances crop disease resistance by activating the plant PTI and ETI immune dual pathways) can significantly decrease crop diseases when applied before harvesting [35]. These findings are consistent with prior studies, which have shown that Pro-Ca enhances stress resistance and improves crop quality [10,12]. While this study demonstrates that Pro-Ca and UCZ effectively improve storage quality in the short term, the long-term effects remain unclear. Future research should focus on examining the persistence of these effects over extended storage periods and the underlying physiological and molecular mechanisms, particularly with respect to starch metabolism and cell wall integrity. At the same time, the interplay between environmental factors (such as irrigation, fertilization, and climate) and PGRs in influencing sweet potato yield and quality remains unclear and warrants further investigation. Given that management practices were standardized within each year and replicated over two growing seasons, the observed patterns can be attributed to Pro-Ca and UCZ treatments. Future studies should explicitly examine irrigation × PGR and fertilization × PGR interactions to quantify the contingencies of management practices.

4.4. Differential and Variety-Specific Effects of PGRs on Sweet Potato Quality Regulation

The response of sweet potato cultivars to Pro-Ca and UCZ treatments varied. Zheshu13 exhibited a stronger positive response in texture, with significant improvements in chewiness and firmness. In contrast, Wanshu10 showed a weaker response, suggesting that genetic differences may play a crucial role in determining the effectiveness of PGR treatments. This implies that while Pro-Ca can influence the distribution and utilization of sugars, its impact on the absolute starch content may be constrained by genetic factors. In contrast, the effect of Pro-Ca on amylose and soluble sugar content was more pronounced, suggesting that these parameters may be more responsive to Pro-Ca treatment and thus more relevant for texture improvement. It has been found in rice that a high amylose content can cause the rice to harden [36]. In comparison to Pro-Ca, UCZ treatment had a less pronounced effect on texture properties. Although UCZ increased firmness to some extent, its impact on other texture properties, such as maximum adhesion force, springiness, and chewiness, was relatively minor. It is also worth noting that the response of different sweet potato cultivars to growth regulators varies significantly. In this study, the W10 cultivar showed a less pronounced response to Pro-Ca treatment in terms of texture properties compared to Z13. This highlights the importance of considering cultivar-specific characteristics when applying growth regulators. As farmers in the Yangtze River are well aware, Z13 is a long-vine variety that requires the use of more PGRs during production. However, as an important raw material for processing preserved sweet potato, excessive use of these control agents can degrade the quality of the preserves, likely due to the influence of β-amylase [37]. The next step is to further investigate the effects of control agents on amylase activity. W10 is an ordinary variety primarily used for starch production, and the application of PGRs can enhance starch yield. Some cultivars may have a higher capacity for calcium uptake or a more responsive metabolic system that processes proline more efficiently. These cultivar-specific responses could explain why Pro-Ca leads to more substantial improvements in texture for certain varieties compared to others. Cultivars may respond differently to treatments due to genetic differences in their biochemical pathways. Some cultivars have a greater ability to assimilate calcium and proline, resulting in more significant effects on texture. Research by Gao et al. [38] demonstrated that genetic variation in calcium transporters and proline metabolism can lead to different fruit quality outcomes, even under similar external treatments. The combined effect of calcium and proline in Pro-Ca might also interact synergistically in certain cultivars. This combination could work not only to enhance the structure of the cell wall but also to improve cell turgor and water retention, leading to an improved texture. Rashedy et al. [39] investigated the co-application of proline and calcium, finding that this combination enhanced productivity in salt-stressed pomegranate by improving nutritional status and osmoregulation mechanisms. Proline is an amino acid that accumulates under stress conditions, such as drought or salinity, and has been shown to stabilize proteins and membranes [40]. Under adverse conditions, Pro-Ca may enhance stress resistance in plants by maintaining their turgor pressure and cell wall integrity. This has been observed in tomato and other fruit species. Gohari et al. [41] discussed how proline application helps increase the firmness of fruits by improving the structural properties of the cell walls. In this study, the foliar application concentrations of Pro-Ca and UCZ were determined by referring to the studies by Duan [3] and Xu [18]. The same amount of UCZ and Pro-Ca was applied (37.5 g·hm−2); this is different from a previous study (810 mg a.i./L Pro-Ca) [42]. High concentrations of Pro-Ca may have different manifestations and require further exploration. Pro-Ca and UCZ function as plant growth regulators, inhibiting gibberellin biosynthesis, but they target different stages within the GA biosynthetic pathway. Pro-Ca primarily inhibits the enzyme 3β-hydroxylase, a crucial step in converting inactive GAs (such as GA20 and GA9) to the more active GAs (such as GA1 and GA4) [43]. In contrast, UCZ inhibits ent-kaurene oxidase, a key enzyme in the early stage of GA biosynthesis [3]. The distinct inhibitory mechanisms of these two regulators lead to significant differences in their relative strength of GA inhibition. Although UCZ generally exerts a stronger and more sustained inhibitory effect on GA production compared to Pro-Ca, UCZ showed weaker effects on the postharvest quality and texture properties of sweet potatoes during storage. It is worth further exploration and research.

4.5. Effect of GA on Crop Physiology and Postharvest Management

GA plays a crucial role in plant growth; it is always used to promote sprouting in seedlings and tubers and affects the accumulation of lignin, cellulose, and other components in secondary cell walls [44]. During the early stages of secondary root growth of cassava, there is a notable upsurge in the transcriptional activation of auxin-associated transcripts and secondary growth-related factors. This occurs concurrently with a decline in gibberellin-related transcripts. In parallel, cell wall biosynthesis shows an upward trend, particularly evident during the initial phase of xylem expansion within the root’s vascular system. As for starch storage metabolism, its activation is triggered only after the vascular cambium comes into being [45]. GA is considered necessary for the rapid thickening of tuberous roots in Caulis spatholobi [46]. A lower GA3/ABA ratio, along with elevated levels of indole acetic acid, zeatin riboside, and jasmonic acid, is conducive to the formation of tuberous roots during the tuberous root expansion stage [47]. GA3 (10–30 mg·L−1) shortens dormancy and specifically promotes sprout growth (longer sprouts are achieved) in potatoes [48], and it accelerates cold sweetening in potatoes, decreasing their quality. In detail, it triggers early dormancy break (~30 d), increases reducing sugars (sucrose, glucose, and fructose), and upregulates starch-degrading enzymes (BAM1/2) while suppressing starch synthesis genes (AGPase, GBSS) [49]. GA3 significantly reduced dormancy duration, promoted sprouting, and lowered malondialdehyde (MDA) content (~23% reduction at day 30), indicating membrane protection. It also modulated α-amylase, CAT, and SOD activities, promoting vigorous and uniform germination when needed [50]. These studies indicate that GA3 enhances seed/tuber sprouting and dormancy break, which is beneficial for planting but may reduce storability in tuber and root crops. Additionally, it increases sugar accumulation in cold-stored potato tubers, potentially impairing processing quality. On the contrary, moderate GA3 treatment was good for fruit and vegetable storage in partial studies. GA3 plays a role in delaying postharvest senescence, preserving cell integrity, enhancing shelf life, and improving yield/nutrient value when properly applied [51]. GA3 delayed leaf yellowing of Pak choi postharvest. Transcriptome and metabolome shifts indicated that GA suppressed senescence-related genes and preserved metabolites associated with antioxidant capacity [52]. Pre-harvest treatment with 3 mmol·L−1 GA3 enhanced postharvest grape firmness, slowed softening, and supported antioxidant enzyme activities [53]. Similarly, pre-harvest GA3 + CaCl2 treatments with modified atmosphere packaging decreased weight loss and preserved firmness, vitamin C, antioxidants, and phenolics, although anthocyanin levels were reduced [54]. Pre-harvest, GA3 use improved apricot firmness and red coloration, and PGRs modulated total soluble solids (TSSs), organic acids, and phenolics during cold storage, enhancing quality [55]. A kiwifruit study found that GA3 delayed ripening and softening postharvest, reduced starch and cell-wall breakdown, and lowered ethylene/ester production [56]. Some researchers believe GA has a typical antagonistic role with ABA in postharvest fruit quality, supporting contexts where the effects of GA are compared [57]. In sweet potato, excessive GA can induce rigidity or lignification, which is detrimental to root expansion and maintaining high quality during storage due to GA3 upregulating genes associated with lignin synthesis (e.g., IbPAL, IbC4H, and Ib4CL) and regulatory factors for xylem development (e.g., IbVND7 and IbSND2), while downregulating genes related to starch synthesis (e.g., IbAGPase and IbGBSS) [58]. During the storage period of sweet potatoes, gibberellin indirectly promotes the increase in polygalacturonase (PG) and cellulase activity, accelerates the degradation of pectin into soluble pectin, and leads to the disintegration of cell walls [59]. GA3 promotes early dormancy break, faster sprouting, increased respiration, and weight loss in tubers—including sweet potato—during storage [60]. Hence, GA can enhance respiration, accelerate metabolism, and cause sweet potatoes stored in storage to age faster. Controlling GA in postharvest crop commodities and implementing agronomic measures before harvesting to improve postharvest quality represents a significant and challenging aspect of agricultural management.

4.6. Hypotheses About Pro-Ca and UCZ in This Study

In studies comparing Pro-Ca and UCZ, the hypotheses would likely focus on the effects of these two plant growth regulators on the storage and texture quality of sweet potatoes. Here are some possible hypotheses in such studies: (1) Pro-Ca will improve the storage quality of sweet potatoes by inhibiting excessive vegetative growth, resulting in better preservation of starch content and texture stability during storage. This hypothesis assumes that Pro-Ca, being a gibberellin biosynthesis inhibitor, would suppress vegetative growth, thereby directing the plant’s resources to storage organs (sweet potatoes) and potentially improving texture and shelf-life; (2) UCZ will have a stronger effect on reducing sprouting in sweet potatoes compared to Pro-Ca, thereby enhancing storage longevity. UCZ is known for its role in inhibiting gibberellin production, which can reduce sprouting and promote more compact growth. This could lead to better storage performance and texture retention; (3) the application of Pro-Ca and UCZ will improve texture quality of stored sweet potatoes, but UCZ will show superior effects in terms of firmness retention due to its more potent inhibition of gibberellin activity. This hypothesis focuses on texture, hypothesizing that the stronger effect of UCZ on growth inhibition would translate to better texture maintenance during storage; (4) the combination of Pro-Ca and UCZ will result in synergistic effects, leading to improved storage quality and texture retention compared to individual treatments. If both regulators are effective in different ways, a combined treatment might lead to enhanced overall storage and quality characteristics.
Although we found that applying UCZ and Pro-Ca during the production stage is beneficial for the storage and preservation of sweet potatoes, further research is needed to fully understand their long-term effects. Future studies should focus on (1) the persistence of UCZ/Pro-Ca effects over extended storage duration (e.g., >6 months) or shelf-life, and their impact on critical quality parameters such as sprouting rate, decay incidence, starch-sugar conversion, and nutritional content; (2) the underlying physiological and molecular mechanisms, particularly their regulation of endogenous gibberellin (GA) metabolism and interplay with other hormones (e.g., ABA and ethylene) during storage; (3) the effect of carbon and nitrogen metabolism and substance conversion during storage; (4) the change in cell wall metabolism and root softening.

5. Conclusions

In this study, foliar application of 37.5 g·hm−2 of Pro-Ca and UCZ was found to significantly influence the texture, weight loss, and overall storage quality of sweet potatoes. Pro-Ca treatment, in particular, enhanced textural properties, including firmness, chewiness, and maximum adhesion force, particularly in the Z13 cultivar. Additionally, Pro-Ca demonstrated superior performance in reducing the percentage of rotting and weight loss during storage, making it a more sustainable alternative to UCZ. Pro-Ca also improved soluble sugar, which may contribute to the enhanced sweetness and texture of sweet potatoes. Because response magnitudes differed between Z13 and W10, confirmation across additional cultivars is warranted to define the breadth of applicability. However, further research is necessary to explore the long-term effects of these treatments, including their persistence during extended storage periods and their underlying molecular mechanisms, particularly in relation to gibberellin metabolism, carbohydrate conversion, and cell wall structure.

Author Contributions

Conceptualization, X.X. and G.L.; data curation, J.L., J.X. and T.S.; formal analysis, J.L.; funding acquisition, J.X., X.X., G.L. and Z.L.; investigation, X.X. and T.S.; methodology, J.X. and X.X.; project administration, X.X. and Y.Z.; resources, J.L. and T.S.; software, Z.L.; supervision, K.G.; validation, J.L. and T.S.; visualization, J.L. and K.G.; writing—original draft, J.L., X.X., T.S. and K.G.; writing—review and editing, X.X., G.L. and Z.L. All authors have read and agreed to the published version of the manuscript.

Funding

This research was funded by the Natural Science Foundation of China (32272222 and 32572192), the China Agriculture Research System (CARS-10), the Innovative projects of students by Zhejiang A&F University (2024kx0011), the Scientific Research Foundation for the Introduction of Talent by Zhejiang A&F University (2021LFR017), Three Rural Areas and Nine Rural Areas of Zhejiang Province (2024SNJF057), and the Research Project of Anhui Academy of Agricultural Sciences (2024YL023).

Data Availability Statement

The original contributions presented in the study are included in the article. Further inquiries can be directed to the corresponding authors.

Acknowledgments

Thanks to Xiang, Meng, and Li of Zhejiang Academy of Agricultural Sciences for providing the Z13 seedlings used for the experiments.

Conflicts of Interest

The authors declare no conflicts of interest.

Abbreviations

The following abbreviations are used in this manuscript:
GAGibberellin
Pro-CaProhexadione calcium
UCZUniconazole
PGRPlant growth retardant
TSSTotal soluble solids
VDALVerticillium dahliae effector
W10Wanshu 10
Z13Zheshu 13

References

  1. Jiang, Z.; Wei, Z.; Zhang, J.; Zheng, C.; Zhu, H.; Zhai, H.; He, S.; Gao, S.; Zhao, N.; Zhang, H.; et al. Source-sink synergy is the key unlocking sweet potato starch yield potential. Nat. Commun. 2024, 15, 7260. [Google Scholar] [CrossRef]
  2. Saito, S.; Okamoto, M.; Okamoto, M.; Kushiro, T.; Koshiba, T.; Kamiya, Y.; Hirai, N.; Todoroki, Y.; Sakata, K.; Nambara, E.; et al. A plant growth retardant, uniconazole, is a potent inhibitor of ABA catabolism in Arabidopsis. Biosci. Biotechnol. Biochem. 2006, 70, 1731–1739. [Google Scholar] [CrossRef]
  3. Duan, W.; Zhang, H.; Xie, B.; Wang, B.; Hou, F.; Li, A.; Dong, S.; Qin, Z.; Wang, Q.; Zhang, L. Foliar application of uniconazole improves yield through enhancement of photosynthate partitioning and translocation to tuberous roots in sweetpotato. Arch. Agron. Soil Sci. 2020, 66, 316–329. [Google Scholar] [CrossRef]
  4. Roman, D.L.; Voiculescu, D.I.; Filip, M.; Ostafe, V.; Isvoran, A. Effects of Triazole Fungicides on Soil Microbiota and on the Activities of Enzymes Found in Soil: A Review. Agriculture 2021, 11, 893. [Google Scholar] [CrossRef]
  5. Si, C.-C.; Li, Y.-J.; Liu, H.-J.; Zhang, H.-Y.; Meng, Y.-Y.; Wang, N.; Shi, C.-Y. Impact of paclobutrazol on storage root number and yield of sweet potato (Ipomoea batatas L.). Field Crops Res. 2023, 300, 109011. [Google Scholar] [CrossRef]
  6. Davidson, S.E.; Reid, J.B.; Helliwell, C.A. Cytochromes P450 in gibberellin biosynthesis. Phytochem. Rev. 2006, 5, 405–419. [Google Scholar] [CrossRef]
  7. Ding, K.; Shan, Y.; Wang, L.; Tian, G.; Li, F.; Wang, H.; Pang, Z.; Pan, Y.; Jiang, H. Physiological response of potato leaves to uniconazole under drought stress during the tuber expansion period. Hortic. Environ. Biotechnol. 2024, 65, 847–866. [Google Scholar] [CrossRef]
  8. Guo, D.; He, R.; Luo, L.; Zhang, W.; Fan, J. Enantioselective acute toxicity, oxidative stress effects, neurotoxicity, and thyroid disruption of uniconazole in zebrafish (Danio rerio). Environ. Sci. Pollut. Res. 2022, 29, 40157–40168. [Google Scholar] [CrossRef]
  9. Subramanian, S.; Tehrani, R.; Van Aken, B. Transcriptomic response of Arabidopsis thaliana exposed to hydroxylated polychlorinated biphenyls (OH-PCBs). Int. J. Phytoremediat. 2019, 21, 52–59. [Google Scholar] [CrossRef]
  10. Zhang, Z. Prohexadione calcium regulates wheat tolerance to drought stress by maintaining water balance and promoting antioxidant metabolism and photosynthesis. Plant Soil Environ. 2024, 70, 673–681. [Google Scholar] [CrossRef]
  11. Evans, J.R.; Evans, R.R.; Regusci, C.; Rademacher, W. Mode of Action, Metabolism, and Uptake of BAS-125W, Prohexadione Calcium. Hortscience 1997, 34, 1200–1201. [Google Scholar] [CrossRef]
  12. Liu, M.; Feng, N.; Zheng, D.; Zhang, R. Prohexadione Calcium and Gibberellin Improve Osmoregulation, Antioxidant Response and Ion Homeostasis to Alleviate NaCl Stress in Rice Seedlings. Agronomy 2024, 14, 1318. [Google Scholar] [CrossRef]
  13. Deng, R.; Li, Y.; Feng, N.-J.; Zheng, D.-F.; Du, Y.-W.; Khan, A.; Xue, Y.-B.; Zhang, J.-Q.; Feng, Y.-N. Integrative Analyses Reveal the Physiological and Molecular Role of Prohexadione Calcium in Regulating Salt Tolerance in Rice. Int. J. Mol. Sci. 2024, 25, 9124. [Google Scholar] [CrossRef]
  14. Li, D.; Yang, J.; Dai, Z.; Chen, Y.; Shao, Z.; Wang, C.; Jin, X.; Wang, Y.; Feng, L. Prohexadione-calcium improves grape quality by regulating endogenous hormones, sugar and acid metabolism and related enzyme activities in grape berries. BMC Plant Biol. 2024, 24, 122. [Google Scholar] [CrossRef]
  15. Hawerroth, F.J.; Petri, J.L.; Leite, G.B.; Yoshikawa, E.R. Application timing of prohexadione calcium on vegetative growth control of ‘imperial gala’ apples. Rev. Bras. Frutic. 2012, 34, 957–963. [Google Scholar] [CrossRef]
  16. Roux, C.; Lemarquand, A.; Orain, G.; Campion, C.; Simoneau, P.; Poupard, P. Effects of the plant growth regulator prohexadione-calcium and the SAR-inducer acibenzolar-S-methyl on the quality of apples at harvest. J. Hortic. Sci. Biotechnol. 2006, 81, 139–145. [Google Scholar] [CrossRef]
  17. Malachowska, M.; Majak, T.; Krupa, T.; Tomala, K. Increasing Productivity and Fruit Quality of ‘Mutsu’ Apple Orchard by Dwarfing Treatments. Agriculture 2024, 14, 1838. [Google Scholar] [CrossRef]
  18. Xu, X.; Pan, X.; Zhang, H.; Lv, Z.; Xia, J.; Cheng, P.; George, M.S.; Chen, Y.; Pang, L.; Lu, G. Effects of Foliar Application of Uniconazole on the Storage Quality of Tuberous Roots in Sweetpotato. Agronomy 2022, 12, 2983. [Google Scholar] [CrossRef]
  19. Fairbairn, N. A modified anthrone reagent. Chem. Ind. 1953, 4, 86. [Google Scholar]
  20. Katayama, K.; Nishinaka, M.; Nakamura, Y.; Kuranouchi, T.; Ohara-Takada, A.; Fujita, K.; Kitahara, K. New Sweetpotato Lines have High Amylose and Resistant Starch Contents. Starch-Starke 2019, 71, 1800180. [Google Scholar] [CrossRef]
  21. Xu, X.; Waters, D.; Blanchard, C.; Tan, S.H. A study on Australian sorghum grain fermentation performance and the changes in Zaopei major composition during solid-state fermentation. J. Cereal Sci. 2021, 98, 103160. [Google Scholar] [CrossRef]
  22. Yu, Y.F.; Kleuter, M.; Dinani, S.T.; Trindade, L.M.; Goot, A.J.V. The role of plant age and leaf position on protein extraction and phenolic compounds removal from tomato (Solanum lycopersicum) leaves using food-grade solvents. Food Chem. 2023, 406, 10. [Google Scholar] [CrossRef]
  23. Xu, X.; Wu, S.; Chen, K.; Zhang, H.; Zhou, S.; Lv, Z.; Chen, Y.; Cui, P.; Cui, Z.; Lu, G. Comprehensive Evaluation of Raw Eating Quality in 81 Sweet Potato (Ipomoea batatas (L.) Lam) Varieties. Foods 2023, 12, 261. [Google Scholar] [CrossRef]
  24. Li, Y.; Zhou, H.; Feng, N.J.; Zheng, D.F.; Ma, G.H.; Feng, S.J.; Liu, M.L.; Yu, M.L.; Huang, X.X.; Huang, A.Q. Physiological and transcriptome analysis reveals that prohexadione-calcium promotes rice seedling’s development under salt stress by regulating antioxidant processes and photosynthesis. PLoS ONE 2023, 18, e0286505. [Google Scholar] [CrossRef]
  25. Deng, R.; Zheng, D.F.; Feng, N.J.; Khan, A.; Zhang, J.Q.; Sun, Z.Y.; Li, J.H.; Xiong, J.; Ding, L.C.; Yang, X.H.; et al. Prohexadione Calcium Improves Rice Yield Under Salt Stress by Regulating Source-Sink Relationships During the Filling Period. Plants 2025, 14, 211. [Google Scholar] [CrossRef]
  26. Zhu, M. The unique importance of sweetpotato: Insights focusing on genetic improvements of salt and drought tolerance. Sci. Hortic. 2025, 339, 113848. [Google Scholar] [CrossRef]
  27. Amarante, C.V.T.; Steffens, C.A.; de Freitas, S.T.; Silveira, J.P.G.; Denardi, V.; Katsurayama, J.M. Post bloom spraying apple trees with prohexadione-calcium and gibberellic acid affects vegetative growth, fruit mineral content and bitter pit incidence. In Proceedings of the 30th International Horticultural Congress (IHC)—Bridging the World through Horticulture/International Symposium on Strategies and Technologies to Maintain Quality and Reduce Postharvest Losses, Turkish Soc Hort Sci, Istanbul, Turkey, 12–16 August 2018; pp. 193–199. [Google Scholar]
  28. Mei, W.; Yang, S.; Xiong, J.; Khan, A.; Zhao, L.; Du, X.; Huo, J.; Zhou, H.; Sun, Z.; Yang, X.; et al. Prohexadione-Calcium Reduced Stem and Tiller Damage and Maintained Yield by Improving the Photosynthetic and Antioxidant Capacity of Rice (Oryza sativa L.) Under NaCl Stress. Plants 2025, 14, 188. [Google Scholar] [CrossRef]
  29. Liu, M.; Feng, N.; Zheng, D.; Meng, F. Comparative Study of the Mechanisms Underlying the Effects of Prohexadione-Calcium and Gibberellin on the Morphogenesis and Carbon Metabolism of Rice Seedlings Under NaCl Stress. Plants 2025, 14, 1240. [Google Scholar] [CrossRef]
  30. Ma, L.; Zheng, Y.; Sang, Z.; Ge, Y.; Bai, C.; Fu, A.; Wang, Q.; Watkins, C.B.; Zuo, J. Multi-omics analysis reveals the mechanism of calcium-reduced quality deterioration in mechanically injured green pepper fruit. Postharvest Biol. Technol. 2023, 204, 112437. [Google Scholar] [CrossRef]
  31. Haleema, B.; Rab, A.; Hussain, S.A.; Sajid, M.; Arif, M.; Shah, S.T.; Ullah, I.; Miraj, G.; Humaira; Basit, A. Influence of calcium concentrations and sources on the fruit quality of tomato (Lycopersicon esculentum) at different storage conditions. Fresenius Environ. Bull. 2020, 29, 1866–1877. [Google Scholar]
  32. Paiva, E.A.S. Are calcium oxalate crystals a dynamic calcium store in plants? New Phytol. 2019, 223, 1707–1711. [Google Scholar] [CrossRef]
  33. Griffith, C.; Einhorn, T.C. The effect of plant growth regulators on xylem differentiation, water and nutrient transport, and bitter pit susceptibility of apple. Sci. Hortic. 2023, 310, 111709. [Google Scholar] [CrossRef]
  34. Reitz, N.F.; Mitcham, E.J. Impact of postharvest dips with abscisic acid, prohexadione, calcium, or water on bitter pit incidence and apple physiology. Postharvest Biol. Technol. 2025, 219, 113202. [Google Scholar] [CrossRef]
  35. Ma, A.; Zhang, D.; Wang, G.; Wang, K.; Li, Z.; Gao, Y.; Li, H.; Bian, C.; Cheng, J.; Han, Y.; et al. Verticillium dahliae effector VDAL protects MYB6 from degradation by interacting with PUB25 and PUB26 E3 ligases to enhance Verticillium wilt resistance. Plant Cell 2021, 33, 3675–3699. [Google Scholar] [CrossRef] [PubMed]
  36. Chen, H.; Deng, F.; Yang, F.; Zhong, X.Y.; Li, Q.P.; Ren, W.J. Changes in chemical composition and starch structure in rice noodle cultivar influence Rapid Visco analysis and texture analysis profiles under shading. Food Chem. X 2022, 14, 100360. [Google Scholar] [CrossRef]
  37. Zhang, R.; Tang, C.C.; Jiang, B.Z.; Mo, X.Y.; Wang, Z.Y. Optimization of HS-SPME for GC-MS Analysis and Its Application in Characterization of Volatile Compounds in Sweet Potato. Molecules 2021, 26, 5808. [Google Scholar] [CrossRef]
  38. Gao, Y.; Zhou, X.; Liang, H.; Ji, Y.; Liu, M. Effects of Comparative Metabolism on Tomato Fruit Quality under Different Levels of Root Restriction. HortScience 2023, 58, 885–892. [Google Scholar] [CrossRef]
  39. Rashedy, A.A.; Abd-ElNafea, M.H.; Khedr, E.H. Co-application of proline or calcium and humic acid enhances productivity of salt stressed pomegranate by improving nutritional status and osmoregulation mechanisms. Sci. Rep. 2022, 12, 14285. [Google Scholar] [CrossRef]
  40. Shehata, R.S. Proline in action: Enhancing fruit quality. DYSONA Appl. Sci. 2025, 6, 8–15. [Google Scholar] [CrossRef]
  41. Gohari, G.; Molaei, S.; Kheiry, A.; Ghafouri, M.; Razavi, F.; Lorenzo, J.M.; Juárez-Maldonado, A. Exogenous Application of Proline and L-Cysteine Alleviates Internal Browning and Maintains Eating Quality of Cold Stored Flat ‘Maleki’ Peach Fruits. Horticulturae 2021, 7, 469. [Google Scholar] [CrossRef]
  42. Njiti, V.N.; Xia, Q.; Tyler, L.S.; Stewart, L.D.; Tenner, A.T.; Zhang, C.; Alipoe, D.; Chukwuma, F.; Gao, M. Influence of Prohexadione Calcium on Sweetpotato Growth and Storage Root Yield. HortScience 2013, 48, 73–76. [Google Scholar] [CrossRef]
  43. Kim, H.M.; Lee, H.R.; Kang, J.H.; Hwang, S.J. Prohexadione-Calcium Application during Vegetative Growth Affects Growth of Mother Plants, Runners, and Runner Plants of Maehyang Strawberry. Agronomy 2019, 9, 155. [Google Scholar] [CrossRef]
  44. Zhang, C.; Tanabe, K.; Tamura, F.; Itai, A.; Yoshida, M. Roles of gibberellins in increasing sink demand in Japanese pear fruit during rapid fruit growth. Plant Growth Regul. 2007, 52, 161–172. [Google Scholar] [CrossRef]
  45. Rüscher, D.; Corral, J.M.; Carluccio, A.V.; Klemens, P.A.W.; Gisel, A.; Stavolone, L.; Neuhaus, H.E.; Ludewig, F.; Sonnewald, U.; Zierer, W. Auxin signaling and vascular cambium formation enable storage metabolism in cassava tuberous roots. J. Exp. Bot. 2021, 72, 3688–3703. [Google Scholar] [CrossRef] [PubMed]
  46. Yao, S.; Lan, Z.; Huang, R.; Tan, Y.; Huang, D.; Gu, J.; Pan, C. Hormonal and transcriptional analyses provides new insights into the molecular mechanisms underlying root thickening and isoflavonoid biosynthesis in Callerya speciosa (Champ. ex Benth.) Schot. Sci. Rep. 2021, 11, 9. [Google Scholar] [CrossRef]
  47. Si, C.C.; Liang, Q.G.; Liu, H.J.; Wang, N.; Kumar, S.; Chen, Y.L.; Zhu, G.P. Response Mechanism of Endogenous Hormones of Potential Storage Root to Phosphorus and Its Relationship with Yield and Appearance Quality of Sweetpotato. Front. Plant Sci. 2022, 13, 872422. [Google Scholar] [CrossRef]
  48. Haider, M.W.; Nafees, M.; Ahmad, I.; Ali, B.; Maryam; Iqbal, R.; Vodnar, D.C.; Marc, R.A.; Kamran, M.; Saleem, M.H.; et al. Postharvest dormancy-related changes of endogenous hormones in relation to different dormancy-breaking methods of potato (Solanum tuberosum L.) tubers. Front. Plant Sci. 2022, 13, 2022. [Google Scholar] [CrossRef]
  49. Xie, Y.; Onik, J.C.; Hu, X.; Duan, Y.; Lin, Q. Effects of (S)-Carvone and Gibberellin on Sugar Accumulation in Potatoes during Low Temperature Storage. Molecules 2018, 23, 3118. [Google Scholar] [CrossRef]
  50. Zhu, T.; Pei, H.; Li, Z.; Zhang, M.; Chen, C.; Li, S. The Postharvest Application of Carvone, Abscisic Acid, Gibberellin, and Variable Temperature for Regulating the Dormancy Release and Sprouting Commencement of Mini-Tuber Potato Seeds Produced under Aeroponics. Plants 2023, 12, 3952. [Google Scholar] [CrossRef]
  51. Fadillah, R.; Wildani, R.; Salsabila, V.P.Z. Role of Gibberellic Acid (GA3) in enhancing growth and yield of hydroponically grown lettuce (Lactuca sativa L.). Ilmu Pertan. Agric. Sci. 2024, 9, 85–93. [Google Scholar] [CrossRef]
  52. Wang, D.; Zhao, X.; Su, T.; Wang, W.; Xin, X.; Zhang, B.; Zhang, D.; Yu, Y.; Wang, Z.; Zhang, F.; et al. Exogenous Gibberellin Delays Postharvest Leaf Senescence in Pak Choi by Modulating Transcriptomic and Metabolomic Profiles. Foods 2025, 14, 981. [Google Scholar] [CrossRef]
  53. Hu, L.; Zheng, Q.; Chen, Z.; Qin, Y.; Si, H.; Ji, J.; Li, Q.; Yang, Z.; Wu, Y. Pre-harvest treatment with gibberellin (GA3) and nitric oxide donor (SNP) enhances post-harvest firmness of grape berries. Food Chem. Mol. Sci. 2025, 10, 100235. [Google Scholar] [CrossRef]
  54. Ozturk, B.; Erdal, A.; Onur, S.; Orhan, K.; Gun, S. Effects of GA3, CACl2 and Modified Atmosphere Packaging (MAP) Applications on Fruit Quality of Sweet Cherry at Cold Storage. Int. J. Fruit Sci. 2022, 22, 696–710. [Google Scholar] [CrossRef]
  55. Milović, M.; Kevrešan, Ž.; Mastilović, J.; Kovač, R.; Kalajdžić, J.; Magazin, N.; Bajić, A.; Milić, B.; Barać, G.; Keserović, Z. Could an Early Treatment with GA and BA Impact Prolonged Cold Storage and Shelf Life of Apricot? Horticulturae 2022, 8, 1220. [Google Scholar] [CrossRef]
  56. Yang, H.; Li, J.; Li, X.; Wu, R.; Zhang, X.; Fan, X.; Li, G.; Gong, H.; Yin, X.; Zhang, A. The mechanism of gibberellins treatment suppressing kiwifruit postharvest ripening processes by transcriptome analysis. Postharvest Biol. Technol. 2023, 198, 112223. [Google Scholar] [CrossRef]
  57. Qiao, H.; Wu, W.; Zhang, Y.; Kong, Q.; Chen, H.; Wang, L.; Fang, X.; Gao, H. Impact of abscisic acid treatment on postharvest storage quality and volatile flavor substances in blueberries. eFood 2024, 5, e148. [Google Scholar] [CrossRef]
  58. Singh, V.; Sergeeva, L.; Ligterink, W.; Aloni, R.; Zemach, H.; Doron-Faigenboim, A.; Yang, J.; Zhang, P.; Shabtai, S.; Firon, N. Gibberellin Promotes Sweetpotato Root Vascular Lignification and Reduces Storage-Root Formation. Front. Plant Sci. 2019, 10, 1320. [Google Scholar] [CrossRef]
  59. Wang, W.; Li, P.; Hu, H.; Wang, S. Study on the Activity of Cell Wall Degradation Enzyme of Sweet Potato in Its Storage. Food Ferment. Ind. 2012, 38, 186–189. [Google Scholar] [CrossRef]
  60. Alexopoulos, A.A.; Akoumianakis, K.A.; Vemmos, S.N.; Passam, H.C. The effect of postharvest application of gibberellic acid and benzyl adenine on the duration of dormancy of potatoes produced by plants grown from TPS. Postharvest Biol. Technol. 2007, 46, 54–62. [Google Scholar] [CrossRef]
Figure 1. Percentage of rotting change after storage. (a) Z13 in 2023; (b) W10 in 2023; (c) Z13 in 2024; (d) W10 in 2024. Different letters indicate a significant difference at p < 0.05, as determined by Duncan’s multiple range test for the same DAS. If the symbols overlap, it indicates no significant difference between the two treatments; only one letter is retained; the blank means no significant difference between the three treatments, as shown in the figure below.
Figure 1. Percentage of rotting change after storage. (a) Z13 in 2023; (b) W10 in 2023; (c) Z13 in 2024; (d) W10 in 2024. Different letters indicate a significant difference at p < 0.05, as determined by Duncan’s multiple range test for the same DAS. If the symbols overlap, it indicates no significant difference between the two treatments; only one letter is retained; the blank means no significant difference between the three treatments, as shown in the figure below.
Agriculture 15 02005 g001
Figure 2. The percentage weight loss of sweet potatoes after storage. (a) Z13 in 2023; (b) W10 in 2023; (c) Z13 in 2024; (d) W10 in 2024. Different letters indicate a significant difference at p < 0.05, as determined by Duncan’s multiple range test for the same DAS. If the symbols overlap, it indicates no significant difference between the two treatments; only one letter is retained; the blank means no significant difference between the three treatments, as shown in the figure below.
Figure 2. The percentage weight loss of sweet potatoes after storage. (a) Z13 in 2023; (b) W10 in 2023; (c) Z13 in 2024; (d) W10 in 2024. Different letters indicate a significant difference at p < 0.05, as determined by Duncan’s multiple range test for the same DAS. If the symbols overlap, it indicates no significant difference between the two treatments; only one letter is retained; the blank means no significant difference between the three treatments, as shown in the figure below.
Agriculture 15 02005 g002
Figure 3. The firmness of sweet potatoes’ flesh after storage. (a) Z13 in 2023; (b) W10 in 2023; (c) Z13 in 2024; (d) W10 in 2024. Different letters indicate a significant difference at p < 0.05, as determined by Duncan’s multiple range test for the same DAS. If the symbols overlap, it indicates no significant difference between the two treatments; only one letter is retained; the blank means no significant difference between the three treatments, as shown in the figure below.
Figure 3. The firmness of sweet potatoes’ flesh after storage. (a) Z13 in 2023; (b) W10 in 2023; (c) Z13 in 2024; (d) W10 in 2024. Different letters indicate a significant difference at p < 0.05, as determined by Duncan’s multiple range test for the same DAS. If the symbols overlap, it indicates no significant difference between the two treatments; only one letter is retained; the blank means no significant difference between the three treatments, as shown in the figure below.
Agriculture 15 02005 g003
Figure 4. The maximum adhesion force of sweet potatoes’ flesh after storage. (a) Z13 in 2023; (b) W10 in 2023; (c) Z13 in 2024; (d) W10 in 2024. Different letters indicate a significant difference at p < 0.05, as determined by Duncan’s multiple range test for the same DAS. If the symbols overlap, it indicates no significant difference between the two treatments; only one letter is retained; the blank means no significant difference between the three treatments, as shown in the figure below.
Figure 4. The maximum adhesion force of sweet potatoes’ flesh after storage. (a) Z13 in 2023; (b) W10 in 2023; (c) Z13 in 2024; (d) W10 in 2024. Different letters indicate a significant difference at p < 0.05, as determined by Duncan’s multiple range test for the same DAS. If the symbols overlap, it indicates no significant difference between the two treatments; only one letter is retained; the blank means no significant difference between the three treatments, as shown in the figure below.
Agriculture 15 02005 g004
Figure 5. The springiness of sweet potatoes’ flesh after storage. (a) Z13 in 2023; (b) W10 in 2023; (c) Z13 in 2024; (d) W10 in 2024. Different letters indicate a significant difference at p < 0.05, as determined by Duncan’s multiple range test for the same DAS. If the symbols overlap, it indicates no significant difference between the two treatments; only one letter is retained; the blank means no significant difference between the three treatments, as shown in the figure below.
Figure 5. The springiness of sweet potatoes’ flesh after storage. (a) Z13 in 2023; (b) W10 in 2023; (c) Z13 in 2024; (d) W10 in 2024. Different letters indicate a significant difference at p < 0.05, as determined by Duncan’s multiple range test for the same DAS. If the symbols overlap, it indicates no significant difference between the two treatments; only one letter is retained; the blank means no significant difference between the three treatments, as shown in the figure below.
Agriculture 15 02005 g005
Figure 6. The chewiness of sweet potatoes’ flesh after storage. (a) Z13 in 2023; (b) W10 in 2023; (c) Z13 in 2024; (d) W10 in 2024. Different letters indicate a significant difference at p < 0.05, as determined by Duncan’s multiple range test for the same DAS. If the symbols overlap, it indicates no significant difference between the two treatments; only one letter is retained; the blank means no significant difference between the three treatments, as shown in the figure below.
Figure 6. The chewiness of sweet potatoes’ flesh after storage. (a) Z13 in 2023; (b) W10 in 2023; (c) Z13 in 2024; (d) W10 in 2024. Different letters indicate a significant difference at p < 0.05, as determined by Duncan’s multiple range test for the same DAS. If the symbols overlap, it indicates no significant difference between the two treatments; only one letter is retained; the blank means no significant difference between the three treatments, as shown in the figure below.
Agriculture 15 02005 g006
Figure 7. The Cohesion of sweet potatoes’ flesh after storage. (a) Z13 in 2023; (b) W10 in 2023; (c) Z13 in 2024; (d) W10 in 2024. Different letters indicate a significant difference at p < 0.05, as determined by Duncan’s multiple range test for the same DAS. If the symbols overlap, it indicates no significant difference between the two treatments; only one letter is retained; the blank means no significant difference between the three treatments, as shown in the figure below.
Figure 7. The Cohesion of sweet potatoes’ flesh after storage. (a) Z13 in 2023; (b) W10 in 2023; (c) Z13 in 2024; (d) W10 in 2024. Different letters indicate a significant difference at p < 0.05, as determined by Duncan’s multiple range test for the same DAS. If the symbols overlap, it indicates no significant difference between the two treatments; only one letter is retained; the blank means no significant difference between the three treatments, as shown in the figure below.
Agriculture 15 02005 g007
Table 1. Soluble sugar, starch, and amylose content at harvest after field application of UCZ and Pro-Ca in sweet potato.
Table 1. Soluble sugar, starch, and amylose content at harvest after field application of UCZ and Pro-Ca in sweet potato.
YearCultivarTreatmentsSoluble Sugar Content
g·100 g−1 FW
Starch Content
g·100 g−1 FW
Apparent Amylose Content
g·100 g−1 FW
2023Z13CK8.6 ± 0.5 b69.8 ± 0.3 b26.2 ± 0.2 c
UCZ9.3 ± 0.2 ab68.8 ± 0.2 c28.5 ± 0.2 b
Pro-Ca11.6 ± 0.9 a70.6 ± 0.1 a29.6 ± 0.1 a
W10CK9.0 ± 0.4 a67.4 ± 0.1 a32.9 ± 0.7 a
UCZ9.1 ± 0.1 a67.2 ± 0.3 a33.6 ± 0.5 a
Pro-Ca9.0 ± 0.3 a66.3 ± 0.2 b28.8 ± 0.1 b
2024Z13CK9.6 ± 0.1 a70.4 ± 0.4 a26.7 ± 0.4 b
UCZ8.1 ± 0.3 b69.9 ± 0.2 ab28.8 ± 0.6 a
Pro-Ca9.6 ± 0.1 a69.3 ± 0.6 b28.9 ± 0.9 a
W10CK8.8 ± 0.3 b67.9 ± 0.1 a32.1 ± 0.9 a
UCZ8.8 ± 0.1 b66.5 ± 0.2 c32.5 ± 1.8 a
Pro-Ca11.0 ± 0.6 a67.4 ± 0.1 b25.3 ± 0.1 b
Note: Data are presented as mean ± standard error (SE). Duncan’s multiple range test results indicate that identical lowercase letters within a column signify no significant differences for this cultivar in a given year (p > 0.05), as shown in the figure below.
Table 2. Dry matter weight after UCZ and Pro-Ca foliar-application treatments.
Table 2. Dry matter weight after UCZ and Pro-Ca foliar-application treatments.
YearCultivarTreatmentsDry Matter Weight g·100 g−1
(1 Week)
Dry Matter Weight g·100 g−1
(1 Month)
2023Z13CK37.5 ± 0.6 a38.7 ± 2.4 a
UCZ37.7 ± 1.7 a38.4 ± 1.1 a
Pro-Ca36.6 ± 2.2 a38.2 ± 0.2 a
W10CK31.7 ± 1.1 a33.3 ± 1.5 a
UCZ32.1 ± 1.6 a34.1 ± 1.2 a
Pro-Ca32.0 ± 0.2 a34.1 ± 0.1 a
2024Z13CK37.2 ± 0.2 a39.0 ± 3.9 a
UCZ37.2 ± 2.3 a35.6 ± 0.3 a
Pro-Ca36.4 ± 0.6 a37.0 ± 0.3 a
W10CK31.8 ± 1.0 a33.3 ± 0.3 a
UCZ32.0 ± 1.7 a35.0 ± 1.0 a
Pro-Ca31.5 ± 1.2 a33.7 ± 1.3 a
Note: Data are presented as mean ± standard error (SE). Duncan’s multiple range test results indicate that identical lowercase letters within a column signify no significant differences for this cultivar in a given year (p > 0.05), as shown in the figure below.
Disclaimer/Publisher’s Note: The statements, opinions and data contained in all publications are solely those of the individual author(s) and contributor(s) and not of MDPI and/or the editor(s). MDPI and/or the editor(s) disclaim responsibility for any injury to people or property resulting from any ideas, methods, instructions or products referred to in the content.

Share and Cite

MDPI and ACS Style

Li, J.; Xia, J.; Xu, X.; Shen, T.; Gao, K.; Zhu, Y.; Lu, G.; Lv, Z. Comparison of the Effects of Prohexadione Calcium and Uniconazole on Sweet Potato Storage and Texture Quality. Agriculture 2025, 15, 2005. https://doi.org/10.3390/agriculture15192005

AMA Style

Li J, Xia J, Xu X, Shen T, Gao K, Zhu Y, Lu G, Lv Z. Comparison of the Effects of Prohexadione Calcium and Uniconazole on Sweet Potato Storage and Texture Quality. Agriculture. 2025; 15(19):2005. https://doi.org/10.3390/agriculture15192005

Chicago/Turabian Style

Li, Jiayi, Jiaping Xia, Ximing Xu, Tiechen Shen, Kanghao Gao, Yueming Zhu, Guoquan Lu, and Zunfu Lv. 2025. "Comparison of the Effects of Prohexadione Calcium and Uniconazole on Sweet Potato Storage and Texture Quality" Agriculture 15, no. 19: 2005. https://doi.org/10.3390/agriculture15192005

APA Style

Li, J., Xia, J., Xu, X., Shen, T., Gao, K., Zhu, Y., Lu, G., & Lv, Z. (2025). Comparison of the Effects of Prohexadione Calcium and Uniconazole on Sweet Potato Storage and Texture Quality. Agriculture, 15(19), 2005. https://doi.org/10.3390/agriculture15192005

Note that from the first issue of 2016, this journal uses article numbers instead of page numbers. See further details here.

Article Metrics

Back to TopTop