Mapping Soil Available Nitrogen Using Crop-Specific Growth Information and Remote Sensing
Abstract
1. Introduction
2. Materials and Methods
2.1. Study Areas and Cropping Systems
2.2. Data Acquisition and Treatment
2.2.1. Remote Sensing Image Data Acquisition
2.2.2. Soil Sample Data Collection
2.3. Multi-Period Crop Growth Information Data Construction
2.4. Modeling and Optimization
2.4.1. Random Forest
2.4.2. Optuna Hyperparameter Optimization Framework
2.5. Model Evaluation and Validation
2.6. Technology Roadmap
3. Results
3.1. Remote Sensing Data with Different AN Contents
3.1.1. Spectral Character of Different AN Contents During the Bare Soil Period
3.1.2. Differences in Growth of Different Crops
3.2. AN Mapping Accuracy for Different Bare Soil Periods
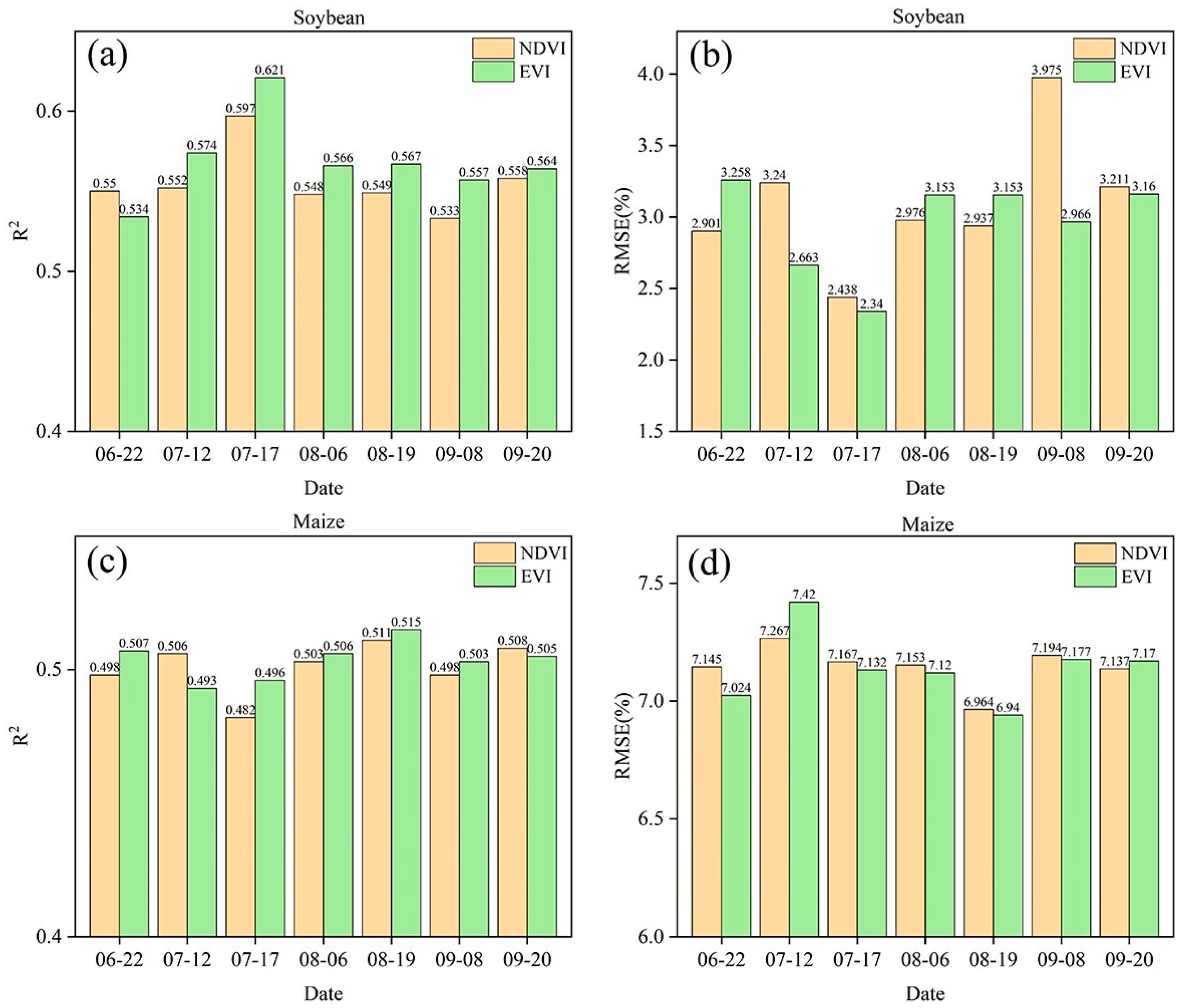
3.3. AN Mapping Accuracy by Introducing Information About Different Growth Periods
3.4. Accuracy of Soil AN Mapping Based on Different Crop Types
3.5. Spatial Distribution of Soil AN Content
4. Discussion
4.1. Impact of Introducing Growth Information on AN Content Mapping
4.2. Combining the Advantages of Different Crop Types
4.3. Limitations and Perspectives
5. Conclusions
Author Contributions
Funding
Data Availability Statement
Acknowledgments
Conflicts of Interest
Appendix A

References
- Bao, S.D. Soil Agrochemical Analysis; China Agriculture Press: Beijing, China, 2005. [Google Scholar]
- Vitousek, P.M.; Howarth, R.W. Nitrogen Limitation on Land and in the Sea: How Can It Occur? Biogeochemistry 1991, 13, 87–115. [Google Scholar] [CrossRef]
- Leghari, S.J.; Wahocho, N.A.; Laghari, G.M.; Laghari, A.H.; Bhabhan, G.M.; Talpur, K.H. Role of nitrogen for plant growth and development: A review. Adv. Environ. Biol. 2016, 10, 209–219. [Google Scholar]
- Pramanick, B.; Choudhary, S.; Kumar, M.; Singh, S.K.; Jha, R.K.; Singh, S.K. Can site-specific nutrient management improve the productivity and resource use efficiency of climate-resilient finger millet in calcareous soils in India? Heliyon 2024, 10, e32774. [Google Scholar] [CrossRef] [PubMed]
- Zhou, T.; Geng, Y.; Chen, J.; Pan, J.; Haase, D.; Lausch, A. High-Resolution Digital Mapping of Soil Organic Carbon and Soil Total Nitrogen Using DEM Derivatives, Sentinel-1 and Sentinel-2 Data Based on Machine Learning Algorithms. Sci. Total Environ. 2020, 729, 138244. [Google Scholar] [CrossRef] [PubMed]
- Lamichhane, S.; Kumar, L.; Wilson, B. Digital Soil Mapping Algorithms and Covariates for Soil Organic Carbon Mapping and Their Implications: A Review. Geoderma 2019, 352, 395–413. [Google Scholar] [CrossRef]
- Loiseau, T.; Chen, S.; Mulder, V.L.; Dobarco, M.R.; Richer-de-Forges, A.C.; Lehmann, S.; Arrouays, D. Satellite Data Integration for Soil Clay Content Modelling at a National Scale. Int. J. Appl. Earth Obs. Geoinf. 2019, 82, 101905. [Google Scholar] [CrossRef]
- Cai, W.; He, N.; Li, M.; Xu, L.; Wang, L.; Zhu, J.; Sun, O.J. Carbon Sequestration of Chinese Forests from 2010 to 2060: Spatiotemporal Dynamics and Its Regulatory Strategies. Sci. Bull. 2022, 67, 836–843. [Google Scholar] [CrossRef] [PubMed]
- Li, Y.; Ma, J.; Li, Y.; Jia, Q.; Shen, X.; Xia, X. Spatiotemporal Variations in the Soil Quality of Agricultural Land and Its Drivers in China from 1980 to 2018. Sci. Total Environ. 2023, 892, 164649. [Google Scholar] [CrossRef] [PubMed]
- Meng, X.; Bao, Y.; Luo, C.; Zhang, X.; Liu, H. SOC Content of Global Mollisols at a 30 m Spatial Resolution from 1984 to 2021 Generated by the Novel ML-CNN Prediction Model. Remote Sens. Environ. 2024, 300, 113911. [Google Scholar] [CrossRef]
- Wang, H.; Wang, J.; Ma, R.; Zhou, W. Soil nutrients inversion in open-pit coal mine reclamation area of Loess Plateau, China: A study based on ZhuHai-1 hyperspectral remote sensing. Land Degrad. Dev. 2024, 35, 5210–5223. [Google Scholar] [CrossRef]
- Lachgar, A.; Mulla, D.J.; Adamchuk, V. Implementation of Proximal and Remote Soil Sensing, Data Fusion and Machine Learning to Improve Phosphorus Spatial Prediction for Farms in Ontario, Canada. Agronomy 2024, 14, 693. [Google Scholar] [CrossRef]
- Yang, L.; He, X.; Shen, F.; Zhou, C.; Zhu, A.X.; Gao, B.; Li, M. Improving Prediction of Soil Organic Carbon Content in Croplands Using Phenological Parameters Extracted from NDVI Time Series Data. Soil Tillage Res. 2020, 196, 104465. [Google Scholar] [CrossRef]
- Wu, Z.; Liu, Y.; Han, Y.; Zhou, J.; Liu, J.; Wu, J. Mapping Farmland Soil Organic Carbon Density in Plains with Combined Cropping System Extracted from NDVI Time-Series Data. Sci. Total Environ. 2021, 754, 142120. [Google Scholar] [CrossRef] [PubMed]
- Yang, C.; Yang, L.; Zhang, L.; Zhou, C. Soil Organic Matter Mapping Using INLA-SPDE with Remote Sensing Based Soil Moisture Indices and Fourier Transforms Decomposed Variables. Geoderma 2023, 437, 116571. [Google Scholar] [CrossRef]
- Mutanga, O.; Masenyama, A.; Sibanda, M. Spectral Saturation in the Remote Sensing of High-Density Vegetation Traits: A Systematic Review of Progress, Challenges, and Prospects. ISPRS J. Photogramm. Remote Sens. 2023, 198, 297–309. [Google Scholar] [CrossRef]
- Kowalski, K.; Senf, C.; Hostert, P.; Pflugmacher, D. Characterizing Spring Phenology of Temperate Broadleaf Forests Using Landsat and Sentinel-2 Time Series. Int. J. Appl. Earth Obs. Geoinf. 2020, 92, 102172. [Google Scholar] [CrossRef]
- Liu, L.; Xiao, X.; Qin, Y.; Wang, J.; Xu, X.; Hu, Y.; Qiao, Z. Mapping Cropping Intensity in China Using Time Series Landsat and Sentinel-2 Images and Google Earth Engine. Remote Sens. Environ. 2020, 239, 111624. [Google Scholar] [CrossRef]
- Pan, L.; Xia, H.; Zhao, X.; Guo, Y.; Qin, Y. Mapping Winter Crops Using a Phenology Algorithm, Time-Series Sentinel-2 and Landsat-7/8 Images, and Google Earth Engine. Remote Sens. 2021, 13, 2510. [Google Scholar] [CrossRef]
- Lobell, D.B.; Lesch, S.M.; Corwin, D.L.; Ulmer, M.G.; Anderson, K.A.; Potts, D.J.; Baltes, M.J. Regional-Scale Assessment of Soil Salinity in the Red River Valley Using Multi-Year MODIS EVI and NDVI. J. Environ. Qual. 2010, 39, 35–41. [Google Scholar] [CrossRef] [PubMed]
- Hamzehpour, N.; Shafizadeh-Moghadam, H.; Valavi, R. Exploring the Driving Forces and Digital Mapping of Soil Organic Carbon Using Remote Sensing and Soil Texture. Catena 2019, 182, 104141. [Google Scholar] [CrossRef]
- Yang, L.; Song, M.; Zhu, A.X.; Qin, C.; Zhou, C.; Qi, F.; Gao, B. Predicting Soil Organic Carbon Content in Croplands Using Crop Rotation and Fourier Transform Decomposed Variables. Geoderma 2019, 340, 289–302. [Google Scholar] [CrossRef]
- Reddy, P.P. Sustainable Intensification of Crop Production. In Sustainable Intensification of Crop Production; Springer: Singapore, 2016; pp. 143–154. [Google Scholar]
- Chen, S.; Yao, H.; Zhang, X. Nitrous Oxide Emission from Cropland and Its Driving Factors under Different Crop Rotations. Sci. Agric. Sin. 2005, 38, 2053–2060. [Google Scholar]
- You, L.; Ros, G.H.; Chen, Y.; Shao, Q.; Young, M.D.; Zhang, F.; De Vries, W. Global Mean Nitrogen Recovery Efficiency in Croplands Can Be Enhanced by Optimal Nutrient, Crop and Soil Management Practices. Nat. Commun. 2023, 14, 5747. [Google Scholar] [CrossRef] [PubMed]
- Li, H.; Ju, W.; Song, Y.; Cao, Y.; Yang, W.; Li, M. Soil organic matter content prediction based on two-branch convolutional neural network combining image and spectral features. Comput. Electron. Agric. 2024, 217, 108561. [Google Scholar]
- Lu, D.; Chen, Q.; Wang, G.; Moran, E.; Batistella, M.; Zhang, M.; Saah, D. Aboveground Forest Biomass Estimation with Landsat and LiDAR Data and Uncertainty Analysis of the Estimates. Int. J. For. Res. 2012, 2012, 436537. [Google Scholar] [CrossRef]
- Gregoire, T.G.; Næsset, E.; McRoberts, R.E.; Ståhl, G.; Andersen, H.E.; Gobakken, T.; Nelson, R. Statistical Rigor in LiDAR-Assisted Estimation of Aboveground Forest Biomass. Remote Sens. Environ. 2016, 173, 98–108. [Google Scholar] [CrossRef]
- Geng, J.; Tan, Q.; Lv, J.; Fang, H. Assessing spatial variations in soil organic carbon and C:N ratio in Northeast China’s black soil region: Insights from Landsat-9 satellite and crop growth information. Soil Tillage Res. 2024, 235, 105897. [Google Scholar] [CrossRef]
- Deiss, L.; Margenot, A.J.; Culman, S.W.; Demyan, M.S. Tuning Support Vector Machines Regression Models Improves Prediction Accuracy of Soil Properties in MIR Spectroscopy. Geoderma 2020, 365, 114227. [Google Scholar] [CrossRef]
- Jia, Y.; Jin, S.; Savi, P.; Yan, Q.; Li, W. Modeling and Theoretical Analysis of GNSS-R Soil Moisture Retrieval Based on the Random Forest and Support Vector Machine Learning Approach. Remote Sens. 2020, 12, 3679. [Google Scholar] [CrossRef]
- Mondal, B.P.; Sahoo, R.N.; Ahmed, N.; Singh, R.K.; Das, B.; Mridha, N.; Gakhar, S. Rapid prediction of soil available sulphur using visible near-infrared reflectance spectroscopy. Indian J. Agric. Sci. 2021, 91, 1328–1332. [Google Scholar] [CrossRef]
- Camargo, L.A.; do Amaral, L.R.; dos Reis, A.A.; Brasco, T.L.; Magalhães, P.S.G. Improving Soil Organic Carbon Mapping with a Field-Specific Calibration Approach through Diffuse Reflectance Spectroscopy and Machine Learning Algorithms. Soil Use Manag. 2022, 38, 292–303. [Google Scholar] [CrossRef]
- Akiba, T.; Sano, S.; Yanase, T.; Ohta, T.; Koyama, M. Optuna: A Next-Generation Hyperparameter Optimization Framework. In Proceedings of the 25th ACM SIGKDD International Conference on Knowledge Discovery & Data Mining, Anchorage, AK, USA, 4–8 July 2019; pp. 2623–2631. [Google Scholar]
- Almarzooq, H.; bin Waheed, U. Automating Hyperparameter Optimization in Geophysics with Optuna: A Comparative Study. Geophys. Prospect. 2024, 72, 1778–1788. [Google Scholar] [CrossRef]
- Yu, Y.; Zhang, K.; Liu, L.; Ma, Q.; Luo, J. Estimating Long-Term Erosion and Sedimentation Rate on Farmland Using Magnetic Susceptibility in Northeast China. Soil Till. Res. 2019, 187, 41–49. [Google Scholar] [CrossRef]
- Claverie, M.; Ju, J.; Masek, J.G.; Dungan, J.L.; Vermote, E.F.; Roger, J.C.; Justice, C. The Harmonized Landsat and Sentinel-2 Surface Reflectance Data Set. Remote Sens. Environ. 2018, 219, 145–161. [Google Scholar] [CrossRef]
- Wu, B.; Sun, Y.; Wang, G.; Wang, J. Spatial Variability of Available Nitrogen in Soil and Its Response to Sampling Intervals in the Southern Breeding Base of Maize. Guangdong Agric. Sci. 2023, 50, 66–74. [Google Scholar]
- Peng, D.; Wu, C.; Li, C.; Zhang, X.; Liu, Z.; Ye, H.; Fang, B. Spring Green-Up Phenology Products Derived from MODIS NDVI and EVI: Intercomparison, Interpretation and Validation Using National Phenology Network and AmeriFlux Observations. Ecol. Indic. 2017, 77, 323–336. [Google Scholar] [CrossRef]
- Testa, S.; Soudani, K.; Boschetti, L.; Mondino, E.B. MODIS-Derived EVI, NDVI and WDRVI Time Series to Estimate Phenological Metrics in French Deciduous Forests. Int. J. Appl. Earth Obs. Geoinf. 2018, 64, 132–144. [Google Scholar] [CrossRef]
- Gu, Y.; Wylie, B.K.; Howard, D.M.; Phuyal, K.P.; Ji, L. NDVI Saturation Adjustment: A New Approach for Improving Cropland Performance Estimates in the Greater Platte River Basin, USA. Ecol. Indic. 2013, 30, 1–6. [Google Scholar] [CrossRef]
- Gao, S.; Zhong, R.; Yan, K.; Ma, X.; Chen, X.; Pu, J.; Myneni, R.B. Evaluating the Saturation Effect of Vegetation Indices in Forests Using 3D Radiative Transfer Simulations and Satellite Observations. Remote Sens. Environ. 2023, 295, 113665. [Google Scholar] [CrossRef]
- Cao, R.; Chen, Y.; Shen, M.; Chen, J.; Zhou, J.; Wang, C.; Yang, W. A Simple Method to Improve the Quality of NDVI Time-Series Data by Integrating Spatiotemporal Information with the Savitzky-Golay Filter. Remote Sens. Environ. 2018, 217, 244–257. [Google Scholar] [CrossRef]
- Cao, R.; Chen, J.; Shen, M.; Tang, Y. An Improved Logistic Method for Detecting Spring Vegetation Phenology in Grasslands from MODIS EVI Time-Series Data. Agric. For. Meteorol. 2015, 200, 9–20. [Google Scholar] [CrossRef]
- Sen, Z.; Xia, L.; Ge-Ge, N.; Yu-Rong, L.; Ya-Ting, S.; Yan-Qin, T.; Yu-Juan, Z. Estimation of soil organic matter in coastal wetlands by SVM and BP based on hyperspectral remote sensing. Spectrosc. Spectr. Anal. 2020, 40, 556–561. [Google Scholar]
- Lu, B.; Liu, N.; Li, H.; Yang, K.; Hu, C.; Wang, X.; Tang, X. Quantitative determination and characteristic wavelength selection of available nitrogen in coco-peat by NIR spectroscopy. Soil Tillage Res. 2019, 191, 266–274. [Google Scholar] [CrossRef]
- Wang, Y.; Xue, Z.; Chen, J.; Chen, G. Spatio-Temporal Analysis of Phenology in Yangtze River Delta Based on MODIS NDVI Time Series from 2001 to 2015. Front. Earth Sci. 2019, 13, 92–110. [Google Scholar] [CrossRef]
- Genuer, R.; Poggi, J.M. Random Forests. In Random Forests with R; Springer International Publishing: Cham, Switzerland, 2020; pp. 33–55. [Google Scholar]
- Hengl, T.; Nussbaum, M.; Wright, M.N.; Heuvelink, G.B.M.; Gräler, B. Random Forest as a Generic Framework for Predictive Modeling of Spatial and Spatio-Temporal Variables. PeerJ 2018, 6, e5518. [Google Scholar] [CrossRef] [PubMed]
- Hu, B.; Xie, M.; Zhou, Y.; Chen, S.; Zhou, Y.; Ni, H.; Shi, Z. A High-Resolution Map of Soil Organic Carbon in Cropland of Southern China. Catena 2024, 237, 107813. [Google Scholar] [CrossRef]
- Krivorotko, O.; Sosnovskaia, M.; Vashchenko, I.; Kerr, C.; Lesnic, D. Agent-based modeling of COVID-19 outbreaks for New York state and UK: Parameter identification algorithm. Infect. Dis. Model. 2022, 7, 30–44. [Google Scholar] [CrossRef] [PubMed]
- Suryadi, M.K.; Herteno, R.; Saputro, S.W.; Faisal, M.R.; Nugroho, R.A. Comparative Study of Various Hyperparameter Tuning on Random Forest Classification with SMOTE and Feature Selection Using Genetic Algorithm in Software Defect Prediction. J. Electron. Electromed. Eng. Med. Inform. 2024, 6, 137–147. [Google Scholar] [CrossRef]
- Zhang, Y.; Luo, C.; Zhang, W.; Wu, Z.; Zang, D. Mapping Soil Organic Matter in Black Soil Cropland Areas Using Remote Sensing and Environmental Covariates. Agriculture 2025, 15, 339. [Google Scholar] [CrossRef]
- Luo, C.; Zhang, X.; Wang, Y.; Men, Z.; Liu, H. Regional Soil Organic Matter Mapping Models Based on the Optimal Time Window, Feature Selection Algorithm and Google Earth Engine. Soil Tillage Res. 2022, 219, 105325. [Google Scholar] [CrossRef]
- Wolkowski, R.P. Relationship Between Wheel-Traffic-Induced Soil Compaction, Nutrient Availability, and Crop Growth: A Review. J. Prod. Agric. 1990, 3, 460–469. [Google Scholar] [CrossRef]
- Abishek, R.; Santhi, R.; Maragatham, S.; Venkatachalam, S.R.; Uma, D.; Lakshmanan, A. Response of Hybrid Castor under Different Fertility Gradient: Correlation Between Castor Yield and Normalized Difference Vegetation Index (NDVI) under Inductive Cum Targeted Yield Model on an Alfisol. Commun. Soil Sci. Plant Anal. 2023, 54, 1816–1831. [Google Scholar] [CrossRef]
- Fu, Z.; Ciais, P.; Wigneron, J.P.; Gentine, P.; Feldman, A.F.; Makowski, D.; Smith, W.K. Global Critical Soil Moisture Thresholds of Plant Water Stress. Nat. Commun. 2024, 15, 4826. [Google Scholar] [CrossRef] [PubMed]
- Kern, J.S. Geographic Patterns of Soil Water-Holding Capacity in the Contiguous United States. Soil Sci. Soc. Am. J. 1995, 59, 1126–1133. [Google Scholar] [CrossRef]
- Minoli, S.; Egli, D.B.; Rolinski, S.; Müller, C. Modelling Cropping Periods of Grain Crops at the Global Scale. Glob. Planet. Change 2019, 174, 35–46. [Google Scholar] [CrossRef]
- Minoli, S.; Jägermeyr, J.; Asseng, S.; Urfels, A.; Müller, C. Global Crop Yields Can Be Lifted by Timely Adaptation of Growing Periods to Climate Change. Nat. Commun. 2022, 13, 7079. [Google Scholar] [CrossRef] [PubMed]
- Ren, X.X.; Cai, T.J.; Wang, X.F. Effects of Vegetation Restoration Models on Soil Nutrients in an Abandoned Quarry. J. Beijing For. Univ. 2010, 32, 151–154. [Google Scholar]
- Zhong, L.; Guo, X.; Ding, M.; Ye, Y.; Zhu, Q.; Guo, J.; Zeng, X. Spatial Mapping of Topsoil Total Nitrogen in Mountainous and Hilly Areas of Southern China Using a Continuous Convolution Neural Network. Catena 2023, 229, 107228. [Google Scholar] [CrossRef]









| Band | Central Wavelength (nm) | Bandwidth (nm) | Spatial Resolution (m) |
|---|---|---|---|
| B2 | 490 | 65 | 10 |
| B3 | 560 | 35 | 10 |
| B4 | 665 | 30 | 10 |
| B5 | 705 | 15 | 20 |
| B6 | 740 | 15 | 20 |
| B7 | 783 | 20 | 20 |
| B8 | 842 | 115 | 10 |
| B8a | 865 | 20 | 20 |
| B11 | 1610 | 90 | 20 |
| B12 | 2190 | 180 | 20 |
| Zone | N | Min (mg kg−1) | Max (mg kg−1) | Mean (mg kg−1) | SD | CV (%) |
|---|---|---|---|---|---|---|
| Total | 188 | 65.81 | 387.10 | 213.85 | 61.16 | 28.60 |
| Soybean | 129 | 76.65 | 387.10 | 211.17 | 60.47 | 28.64 |
| Maize | 59 | 65.81 | 357.68 | 219.76 | 62.84 | 28.60 |
| Zone | Month | R2 | RMSE (%) |
|---|---|---|---|
| Soybean | April | 0.557 | 2.466 |
| May | 0.522 | 2.927 | |
| October | 0.434 | 3.625 | |
| Maize | April | 0.491 | 7.251 |
| May | 0.459 | 7.410 | |
| October | 0.375 | 7.836 |
| Zone | Input Variable | R2 | RMSE (%) |
|---|---|---|---|
| Soybean | Bands | 0.557 | 2.466 |
| Bands + EVI717 | 0.621 | 2.340 | |
| Maize | Bands | 0.491 | 7.251 |
| Bands + EVI819 | 0.515 | 6.940 | |
| Total | Bands | 0.597 | 2.244 |
| Bands + EVI717 | 0.585 | 2.669 | |
| Bands + EVI819 | 0.531 | 3.499 | |
| Bands + EVIc | 0.632 | 1.740 |
Disclaimer/Publisher’s Note: The statements, opinions and data contained in all publications are solely those of the individual author(s) and contributor(s) and not of MDPI and/or the editor(s). MDPI and/or the editor(s) disclaim responsibility for any injury to people or property resulting from any ideas, methods, instructions or products referred to in the content. |
© 2025 by the authors. Licensee MDPI, Basel, Switzerland. This article is an open access article distributed under the terms and conditions of the Creative Commons Attribution (CC BY) license (https://creativecommons.org/licenses/by/4.0/).
Share and Cite
Zhang, X.; Ma, Y.; Ma, S.; Qin, C.; Wang, Y.; Liu, H.; Chen, L.; Zhu, X. Mapping Soil Available Nitrogen Using Crop-Specific Growth Information and Remote Sensing. Agriculture 2025, 15, 1531. https://doi.org/10.3390/agriculture15141531
Zhang X, Ma Y, Ma S, Qin C, Wang Y, Liu H, Chen L, Zhu X. Mapping Soil Available Nitrogen Using Crop-Specific Growth Information and Remote Sensing. Agriculture. 2025; 15(14):1531. https://doi.org/10.3390/agriculture15141531
Chicago/Turabian StyleZhang, Xinle, Yihan Ma, Shinai Ma, Chuan Qin, Yiang Wang, Huanjun Liu, Lu Chen, and Xiaomeng Zhu. 2025. "Mapping Soil Available Nitrogen Using Crop-Specific Growth Information and Remote Sensing" Agriculture 15, no. 14: 1531. https://doi.org/10.3390/agriculture15141531
APA StyleZhang, X., Ma, Y., Ma, S., Qin, C., Wang, Y., Liu, H., Chen, L., & Zhu, X. (2025). Mapping Soil Available Nitrogen Using Crop-Specific Growth Information and Remote Sensing. Agriculture, 15(14), 1531. https://doi.org/10.3390/agriculture15141531
