Changes of Plant Growth and Soil Physicochemical Properties by Cultivating Different Economic Plant Species in Saline-Alkali Soil of Hetao Oasis, Inner Mongolia
Abstract
1. Introduction
2. Materials and Methods
2.1. Study Area
2.2. Experimental Design
2.3. Measurement and Data Analysis
3. Results
3.1. Plant Growth
3.1.1. Survival Rate
3.1.2. Plant Height Growth
3.1.3. Canopy
3.1.4. Basal Diameter
3.1.5. New Branch Length
3.2. Soil Physicochemical Properties
3.2.1. Soil pH and EC
3.2.2. Soil Organic Matter
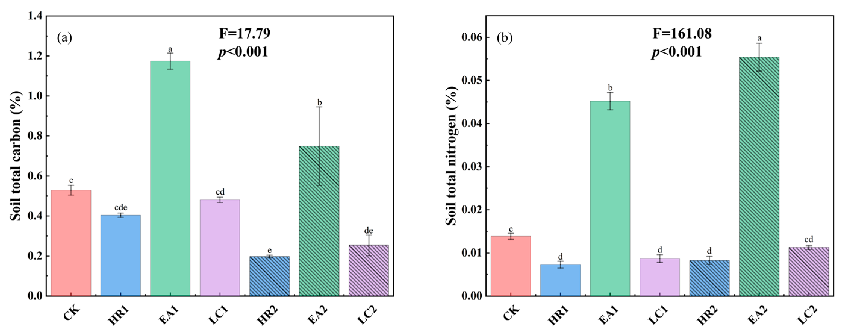
3.2.3. Soil Total Carbon and Nitrogen
3.2.4. Soil Particle Size Distribution
3.3. Relationships Between Plant Growth and Soil Physicochemical Properties
4. Discussion
5. Conclusions
Author Contributions
Funding
Data Availability Statement
Acknowledgments
Conflicts of Interest
References
- The State of Food Security and Nutrition in the World 2023. Available online: https://openknowledge.fao.org/items/445c9d27-b396-4126-96c9-50b335364d01 (accessed on 29 April 2025).
- Rengasamy, P. Soil Processes Affecting Crop Production in Salt-Affected Soils. Funct. Plant Biol. 2010, 37, 613–620. [Google Scholar] [CrossRef]
- Singh, A. Soil Salinization Management for Sustainable Development: A Review. J. Environ. Manag. 2021, 277, 111383. [Google Scholar] [CrossRef]
- Balasubramaniam, T.; Shen, G.; Esmaeili, N.; Zhang, H. Plants’ Response Mechanisms to Salinity Stress. Plants 2023, 12, 2253. [Google Scholar] [CrossRef] [PubMed]
- Munns, R.; Tester, M. Mechanisms of Salinity Tolerance. Annu. Rev. Plant Biol. 2008, 59, 651–681. [Google Scholar] [CrossRef] [PubMed]
- Qadir, M.; Quillerou, E.; Nangia, V.; Murtaza, G.; Singh, M.; Thomas, R.J.; Drechsel, P.; Noble, A.D. Economics of Salt-Induced Land Degradation and Restoration. Nat. Resour. Forum 2014, 38, 282–295. [Google Scholar] [CrossRef]
- Shokri, N.; Hassani, A.; Sahimi, M. Multi-Scale Soil Salinization Dynamics From Global to Pore Scale: A Review. Rev. Geophys. 2024, 62, e2023RG000804. [Google Scholar] [CrossRef]
- Hu, Z.; Miao, Q.; Shi, H.; Feng, W.; Hou, C.; Yu, C.; Mu, Y. Spatial Variations and Distribution Patterns of Soil Salinity at the Canal Scale in the Hetao Irrigation District. Water 2023, 15, 3342. [Google Scholar] [CrossRef]
- Zhang, Y.; Yang, P. A Simulation-Based Optimization Model for Control of Soil Salinization in the Hetao Irrigation District, Northwest China. Sustainability 2023, 15, 4467. [Google Scholar] [CrossRef]
- Guo, J.H.; Liu, X.J.; Zhang, Y.; Shen, J.L.; Han, W.X.; Zhang, W.F.; Christie, P.; Goulding, K.W.T.; Vitousek, P.M.; Zhang, F.S. Significant Acidification in Major Chinese Croplands. Science 2010, 327, 1008–1010. [Google Scholar] [CrossRef] [PubMed]
- Chang, X.; Sun, J.; Liu, L.; He, W.; Zhao, B. Transcriptome Analysis of Differentially Expressed Genes in Wild Jujube Seedlings under Salt Stress. J. Am. Soc. Hortic. Sci. 2020, 145, 174–185. [Google Scholar] [CrossRef]
- Qadir, M.; Oster, J.D.; Schubert, S.; Noble, A.D.; Sahrawat, K.L. Phytoremediation of Sodic and Saline-Sodic Soils. In Advances in Agronomy; Academic Press: San Diego, CA, USA, 2007; Volume 96, pp. 197–247. [Google Scholar]
- Zhu, W.; Gu, S.; Jiang, R.; Zhang, X.; Hatano, R. Saline-Alkali Soil Reclamation Contributes to Soil Health Improvement in China. Agriculture 2024, 14, 1210. [Google Scholar] [CrossRef]
- Zhao, Y.; Wang, S.; Li, Y.; Liu, J.; Zhuo, Y. Prospects of using flue gas desulfurization gypsum to ameliorate saline-alkaline soils. J. Tsinghua Univ. Sci. Technol. 2022, 62, 735–745. [Google Scholar]
- Li, M.; Zhang, W.; Wang, S.; Li, Y.; Zhao, Y.; Liu, J.; Li, E.; Zhong, S. Suitable application of flue gas desulphurized gypsum to improve the sunflower yield in saline-alkali soil in the Hetao irrigation areas of Inner Mongolia. Trans. Chin. Soc. Agric. Eng. 2022, 38, 89–95. [Google Scholar]
- Oliveira, F.R.; Patel, A.K.; Jaisi, D.P.; Adhikari, S.; Lu, H.; Khanal, S.K. Environmental Application of Biochar: Current Status and Perspectives. Bioresour. Technol. 2017, 246, 110–122. [Google Scholar] [CrossRef]
- Du, X. Improving Saline-Alkali Soil with Agricultural Waste in China: A Review. Commun. Soil Sci. Plant Anal. 2024, 55, 2651–2665. [Google Scholar] [CrossRef]
- Tarolli, P.; Luo, J.; Park, E.; Barcaccia, G.; Masin, R. Soil Salinization in Agriculture: Mitigation and Adaptation Strategies Combining Nature-Based Solutions and Bioengineering. iScience 2024, 27, 108830. [Google Scholar] [CrossRef] [PubMed]
- Singh, A. Soil Salinization and Waterlogging: A Threat to Environment and Agricultural Sustainability. Ecol. Indic. 2015, 57, 128–130. [Google Scholar] [CrossRef]
- Yuan, L.; Wu, Y.; Fan, Q.; Li, P.; Liang, J.; Liu, Y.; Ma, R.; Li, R.; Shi, L. Remediating Petroleum Hydrocarbons in Highly Saline-Alkali Soils Using Three Native Plant Species. J. Environ. Manag. 2023, 339, 117928. [Google Scholar] [CrossRef] [PubMed]
- Hasanuzzaman, M.; Nahar, K.; Alam, M.M.; Bhowmik, P.C.; Hossain, M.A.; Rahman, M.M.; Prasad, M.N.V.; Ozturk, M.; Fujita, M. Potential Use of Halophytes to Remediate Saline Soils. Biomed Res. Int. 2014, 2014, 589341. [Google Scholar] [CrossRef]
- Khamzina, A.; Lamers, J.P.A.; Vlek, P.L.G. Nitrogen Fixation by Elaeagnus Angustifolia in the Reclamation of Degraded Croplands of Central Asia. Tree Physiol. 2009, 29, 799–808. [Google Scholar] [CrossRef]
- Djumaeva, D.; Lamers, J.P.A.; Martius, C.; Khamzina, A.; Ibragimov, N.; Vlek, P.L.G. Quantification of Symbiotic Nitrogen Fixation by Elaeagnus Angustifolia L. on Salt-Affected Irrigated Croplands Using Two 15N Isotopic Methods. Nutr. Cycl. Agroecosyst. 2010, 88, 329–339. [Google Scholar] [CrossRef]
- Shah, J.J.F.; Harner, M.J.; Tibbets, T.M. Elaeagnus Angustifolia Elevates Soil Inorganic Nitrogen Pools in Riparian Ecosystems. Ecosystems 2010, 13, 46–61. [Google Scholar] [CrossRef]
- Zhang, C.; Zhou, X.; Wang, X.; Ge, J.; Cai, B. Elaeagnus angustifolia Can Improve Salt-Alkali Soil and the Health Level of Soil: Emphasizing the Driving Role of Core Microbial Communities. J. Environ. Manag. 2022, 305, 114401. [Google Scholar] [CrossRef] [PubMed]
- Lamers, J.P.A.; Bobojonov, I.; Khamzina, A.; Franz, J.S. Financial Analysis of Small-Scale Forests in the Amu Darya Lowlands of Rural Uzbekistan. Int. Tree Crops J. 2008, 18, 373–386. [Google Scholar] [CrossRef]
- Dang, J.; Wang, Y.; Tian, Q.; Zhu, Z.; Ma, Y.; Shi, N.; Shi, R.; Li, Y. Analysis of phenotypic diversity of Hippophae rhamnoides subsp. sinensis by different populations in Gansu Province. J. Gansu Agric. Univ. 2024, 59, 252–263. [Google Scholar]
- Zhao, J.; Chen, J.; Hao, Y. Phenological Observation of Improved Seabuckthorn in Gully Region of Loess Plateau. Agric. Technol. 2024, 44, 31–34. [Google Scholar] [CrossRef]
- Deng, S.; Ma, C.; Zheng, X. Analysis and Study on Nutritional Components of Hippophae Rhamnoides Fruit in Xinjiang. Mod. Agric. Sci. Technol. 2019, 22, 179. [Google Scholar]
- Wang, H.; Chen, X.; Su, Y.; Wang, J.; Ren, L.; Zhang, Q. Origin Discriminate Analysis of Zizyphus Jujube Seed Based on Color and Shape. Seed 2016, 35, 64–66. [Google Scholar]
- Fu, R.; Yin, L.; Chen, L.; Sun, P.; Guan, C. Effect of Alkali-saline Stress on Growth and Adaptive Capacity to Rhizosphere ofLycium chinense Mill. Acta Agric. Boreali-Sin. 2012, 27, 177–180. [Google Scholar]
- Feng, X.; An, P.; Guo, K.; Li, X.; Liu, X.; Zhang, X. Growth, Root Compensation and Ion Distribution in Lycium chinense under Heterogeneous Salinity Stress. Sci. Hortic. 2017, 226, 24–32. [Google Scholar] [CrossRef]
- Zhu, Y.; Han, X.; Wu, D.; Wu, H.; Li, Z. Research Development for the genuineness of Lyceum bararum. L and Rhizosphere Microorganism. Chin. Agric. Sci. Bull. 2013, 29, 40–43. [Google Scholar]
- He, H.; Zhang, H.; Jia, G. Population Structure and Spatial Distribution Pattern of Ammopiptanthus mongolicus in Dengkou County, Inner Mongolia Autonomous Region. Sci. Silvae Sin. 2006, 42, 13–18. [Google Scholar]
- Meng, Z.; Gao, Y.; Yu, Y.; Ren, X. Crisis of Water Resources on the Ulan Buh Desert Oases, Inner Mongolia, China -A Case Study of Dengkou County. J. Integr. Agric. 2013, 12, 1409–1413. [Google Scholar] [CrossRef]
- Yu, Q.; Yue, D.; Wang, J.; Zhang, Q.; Li, Y.; Yu, Y.; Chen, J.; Li, N. The Optimization of Urban Ecological Infrastructure Network Based on the Changes of County Landscape Patterns: A Typical Case Study of Ecological Fragile Zone Located at Deng Kou. J. Clean Prod. 2017, 163, S54–S67. [Google Scholar] [CrossRef]
- Soil Survey Manual|Natural Resources Conservation Service. Available online: https://www.nrcs.usda.gov/resources/guides-and-instructions/soil-survey-manual (accessed on 7 June 2025).
- Soil Science Society of China Beijing. BOOK REVIEW: Analytical Methods for Soil Agro-Chemistry; Zhu, H.Z., He, P.A., Chen, C.Z., Zhou, H.M., Su, D.C., Xu, J.M., Qin, H.Y., Bao, S.D., Lu, R.K., Jiang, S.H., Eds.; China Agricultural Science and Technology Press: Beijing, China, 2000; p. 638. ISBN 9787801199256. Available online: https://bsssjournals.onlinelibrary.wiley.com/doi/epdf/10.1111/ejss.13280 (accessed on 29 April 2025). (In Chinese)
- Wei, Q.; Wu, H.; Liu, Z.; Li, H.; Yang, X.; Zhang, H. Biological Nitrogen Fixation Ability and Nitrogen Distribution of Elaeagnus Angustifolia under Salt Stress. For. Res. 2017, 30, 985–992. [Google Scholar]
- Chen, W.; Cui, P.; Sun, H.; Guo, W.; Yang, C.; Jin, H.; Fang, B.; Shi, D. Comparative Effects of Salt and Alkali Stresses on Organic Acid Accumulation and Ionic Balance of Seabuckthorn (Hippophae rhamnoides L.). Ind. Crop. Prod. 2009, 30, 351–358. [Google Scholar] [CrossRef]
- Meir, M.; Zaccai, M.; Raveh, E.; Ben-Asher, J.; Tel-Zur, N. Performance of Ziziphus jujuba Trees Correlates with Tissue Mineral Content under Salinity Conditions. Agric. Water Manag. 2014, 142, 47–55. [Google Scholar] [CrossRef]
- Chaganti, V.N.; Crohn, D.M.; Šimůnek, J. Leaching and Reclamation of a Biochar and Compost Amended Saline–Sodic Soil with Moderate SAR Reclaimed Water. Agric. Water Manag. 2015, 158, 255–265. [Google Scholar] [CrossRef]
- Neina, D. The Role of Soil pH in Plant Nutrition and Remediation. Appl. Environ. Soil Sci. 2019, 2019, 5794869. [Google Scholar] [CrossRef]











Disclaimer/Publisher’s Note: The statements, opinions and data contained in all publications are solely those of the individual author(s) and contributor(s) and not of MDPI and/or the editor(s). MDPI and/or the editor(s) disclaim responsibility for any injury to people or property resulting from any ideas, methods, instructions or products referred to in the content. |
© 2025 by the authors. Licensee MDPI, Basel, Switzerland. This article is an open access article distributed under the terms and conditions of the Creative Commons Attribution (CC BY) license (https://creativecommons.org/licenses/by/4.0/).
Share and Cite
Ma, R.; Du, F.; Qin, Y.; Lv, J.; Xing, G.; Xu, Y.; Fu, N.; Qiao, J.; Hong, G.; Wang, S. Changes of Plant Growth and Soil Physicochemical Properties by Cultivating Different Economic Plant Species in Saline-Alkali Soil of Hetao Oasis, Inner Mongolia. Agriculture 2025, 15, 1421. https://doi.org/10.3390/agriculture15131421
Ma R, Du F, Qin Y, Lv J, Xing G, Xu Y, Fu N, Qiao J, Hong G, Wang S. Changes of Plant Growth and Soil Physicochemical Properties by Cultivating Different Economic Plant Species in Saline-Alkali Soil of Hetao Oasis, Inner Mongolia. Agriculture. 2025; 15(13):1421. https://doi.org/10.3390/agriculture15131421
Chicago/Turabian StyleMa, Rong, Fengmei Du, Yongli Qin, Jianping Lv, Guanying Xing, Youjie Xu, Na Fu, Jun Qiao, Guangyu Hong, and Shaokun Wang. 2025. "Changes of Plant Growth and Soil Physicochemical Properties by Cultivating Different Economic Plant Species in Saline-Alkali Soil of Hetao Oasis, Inner Mongolia" Agriculture 15, no. 13: 1421. https://doi.org/10.3390/agriculture15131421
APA StyleMa, R., Du, F., Qin, Y., Lv, J., Xing, G., Xu, Y., Fu, N., Qiao, J., Hong, G., & Wang, S. (2025). Changes of Plant Growth and Soil Physicochemical Properties by Cultivating Different Economic Plant Species in Saline-Alkali Soil of Hetao Oasis, Inner Mongolia. Agriculture, 15(13), 1421. https://doi.org/10.3390/agriculture15131421
