Parameter Optimization and Test for the Pulse-Type Gas Explosion Subsoiler
Abstract
1. Introduction
2. Materials and Methods
2.1. Overall Structure and Working Principle of Pulse-Type Gas Explosion Subsoiler
2.1.1. Overall Structure
2.1.2. Working Process
2.1.3. Main Technical Parameters
2.2. Key Components Structural Parameters Determination
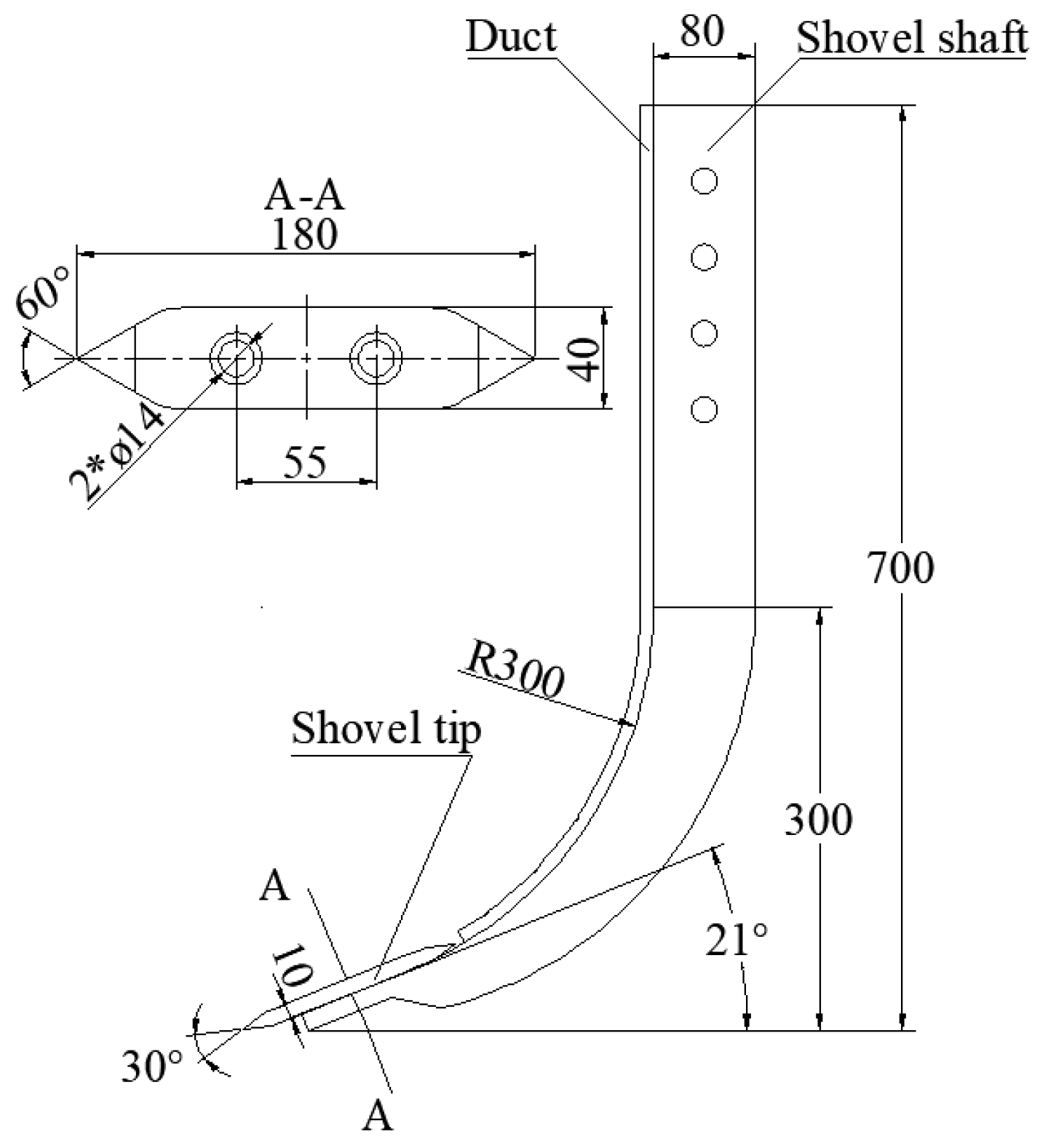
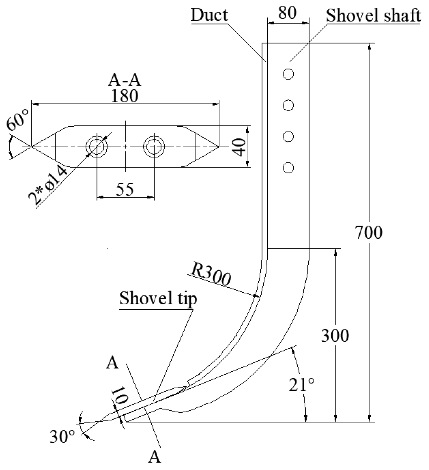
2.2.1. Subsoiling Shovel
2.2.2. Subsoiling Conduit
2.3. Analysis of Subsoiled Furrow Contour
2.4. Simulation of Deep Loosening Shovel Operation Process
2.4.1. EDEM Simulation Model and Simulation Parameters
2.4.2. Analysis of Deep Loosening Operation Process
2.5. Subsoiling Test of Pulse-Type Gas Explosion Subsoiler
2.5.1. Test Conditions
2.5.2. Experimental Design
3. Results and Discussions
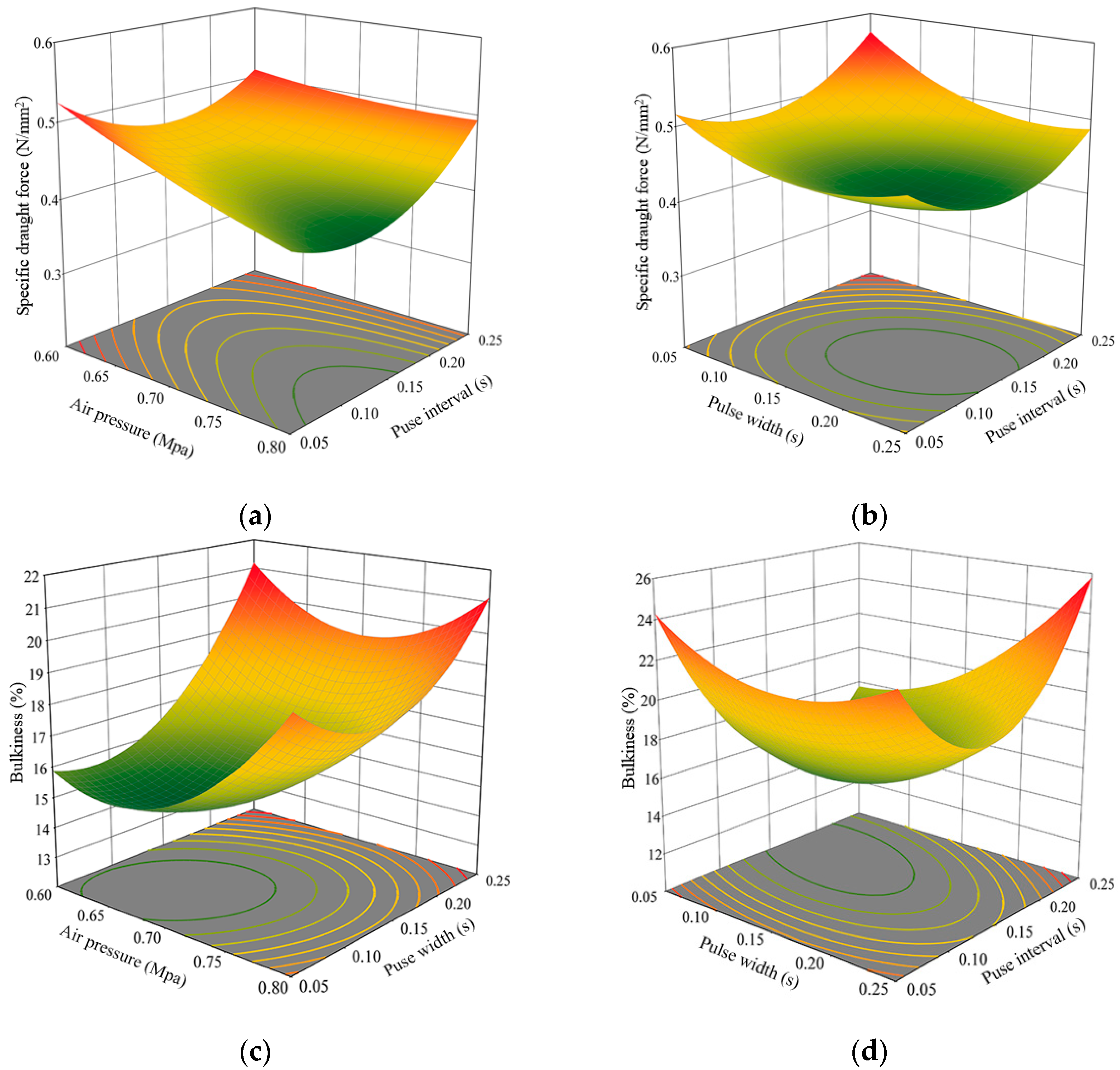
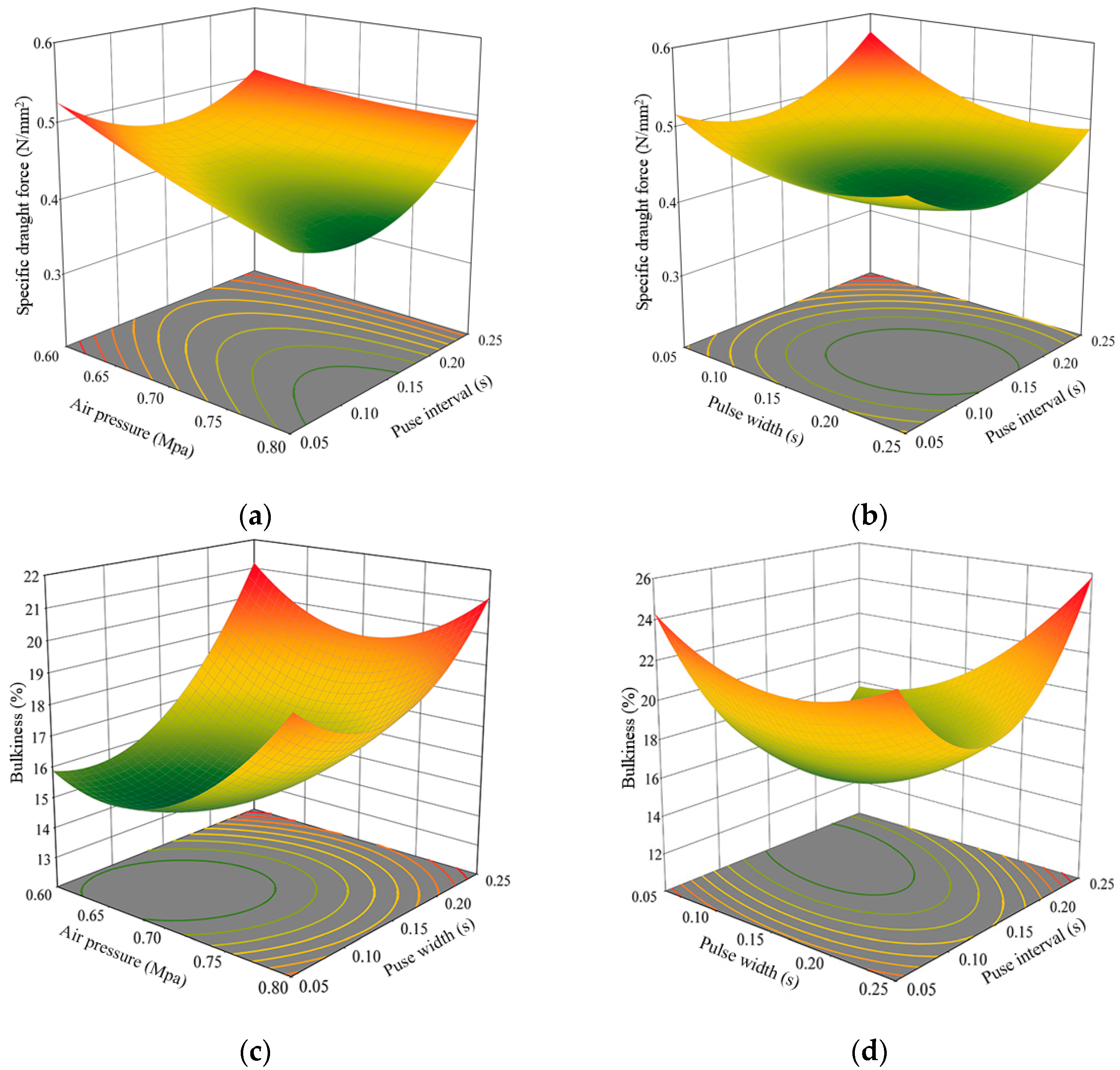
3.1. Result Analysis of the Steepest Climb Test
3.2. Results of the Box–Behnken Test
3.3. Parameter Optimization and Test Verification
3.4. Comparative Test under Optimized Conditions
4. Conclusions
Author Contributions
Funding
Institutional Review Board Statement
Data Availability Statement
Acknowledgments
Conflicts of Interest
References
- Ahmad, N.; Fayyaz-Ul-Hassan, F.; Qadir, G. Effect of subsurface soil compaction and improvement measures on soil properties. Int. J. Agric. Biol. 2007, 509–513. Available online: https://xs.typicalgame.com/scholar?hl=en&q=Effect+of+subsurface+soil+compaction+and+improvement+measures+on+soil+properties (accessed on 18 August 2024).
- Shah, A.N.; Tanveer, M.; Shahzad, B.; Yang, G.; Fahad, S.; Ali, S.; Bukhari, M.A.; Tung, S.A.; Hafeez, A.; Souliyanonh, B. Soil compaction effects on soil health and cropproductivity: An overview. Environ. Sci. Pollut. Res. 2017, 24, 10056–10067. [Google Scholar] [CrossRef]
- Edrris, M.K.; Al-Gaadi, K.A.; Hassaballa, A.A.; Tola, E.; Ahmed, K.A.M. Impact of soil compaction on the engineering properties of potato tubers. Int. J. Agric. Biol. Eng. 2020, 13, 163–167. [Google Scholar] [CrossRef]
- Mossadeghi-Björklund, M.; Arvidsson, J.; Keller, T.; Koestel, J.; Lamandé, M.; Larsbo, M.; Jarvis, N. Effects of subsoil compaction on hydraulic properties and preferential flow in a Swedish clay soil. Soil Tillage Res. 2016, 156, 91–98. [Google Scholar] [CrossRef]
- Colombi, T.; Keller, T. Developing strategies to recover crop productivity after soil compaction—A plant eco-physiological perspective. Soil Tillage Res. 2019, 191, 156–161. [Google Scholar] [CrossRef]
- Zheng, K.; McHugh, A.D.; Li, H.; Wang, Q.; Lu, C.; Hu, H.; Liu, W.; Zhang, Z.; Liu, P.; He, J. Design and experiment of anti-vibrating and anti-wrapping rotary components for subsoiler cum rotary tiller. Int. J. Agric. Biol. Eng. 2019, 12, 47–55. [Google Scholar] [CrossRef]
- Zeng, Z.W.; Chen, Y.; Zhang, X.R. Modelling the interaction of a deep tillage tool with heterogeneous soil. Comput. Electron. Agric. 2017, 143, 130–138. [Google Scholar] [CrossRef]
- Song, W.; Jiang, X.; Li, L.; Ren, L.; Tong, J. Increasing the width of disturbance of plough pan with bionic inspired subsoilers. Soil Tillage Res. 2022, 220, 105356. [Google Scholar] [CrossRef]
- Wang, Y.; Li, N.; Ma, Y.; Tong, J.; Pfleging, W.; Sun, J. Field experiments evaluating a biomimetic shark-inspired (BioS) subsoiler for tillage resistance reduction. Soil Tillage Res. 2020, 196, 104432. [Google Scholar] [CrossRef]
- Vanderhasselt, A.; Steinwidder, L.; D’hose, T.; Cornelis, W. Opening up the subsoil: Subsoiling and bio-subsoilers to remediate subsoil compaction in three fodder crop rotations on a sandy loam soil. Soil Tillage Res. 2024, 237, 105956. [Google Scholar] [CrossRef]
- Shahgoli, G.; Fielke, J.; Saunders, C.; Desbiolles, J. Simulation of the dynamic behavior of a tractor-oscillating subsoiler system. Biosyst. Eng. 2010, 106, 147–155. [Google Scholar] [CrossRef]
- Li, B.; Chen, Y.; Chen, J. Modeling of soil–claw interaction using the discrete element method (DEM). Soil Tillage Res. 2016, 158, 177–185. [Google Scholar] [CrossRef]
- Araya, K. Soil failure by introducing sewage sludge under pressure. Trans. ASAE 1985, 28, 397–400. [Google Scholar]
- Zhang, H.; Araya, K.; Kudoh, M.; Zhang, C.; Jia, H.; Liu, F.; Sawai, T.; Yang, S. An explosive subsoiler for the improvement of meadow soil, part 1, thermodynamics. J. Agric. Eng. Res. 2000, 75, 97–105. [Google Scholar] [CrossRef]
- Zuo, S.; Kong, D.; Liu, L.; Dong, X.; Zhao, Y. Experiment on effect of air-pressure subsoiling based on air-pressure cracking theory. Trans. Chin. Soc. Agric. Eng. 2016, 32, 54–61. [Google Scholar] [CrossRef]
- Su, H. Optimization and Design of the Whole Machine and Main Working Parts of Air-Pressure Subsoiler; Inner Mongolia Agricultural University: Hohhot, China, 2021. [Google Scholar]
- Chen, J. Simulation Analysis and Experiment of Soil Loosening Effect by Air Explosion Based on EDEM-Fluent Coupling; Yangzhou University: Yangzhou, China, 2022. [Google Scholar]
- Tu, J.; Zhang, J.; Sui, L.; Zhang, Z. A method of soil subsoiling based on pulse gas explosion. Agric. Technol. 2020, 40, 54–57. [Google Scholar] [CrossRef]
- Zhao, S.; Wang, J.; Chen, J.; Yang, Y.; Tan, H. Design and Experiment of Fitting Curve Subsoiler of Conservation Tillage. Trans. Chin. Soc. Agric. Mach. 2018, 49, 82–92. [Google Scholar]
- Zou, L.; Liu, G.; Yuan, J.; Xin, Z.; Niu, Z. Design and Test of Active Lubrication and Drag Reduction Curved Subsoiler. Trans. Chin. Soc. Agric. Mach. 2022, 53, 34–43. [Google Scholar]
- Wang, Y.; Zhang, D.; Yang, L.; Cui, T.; Li, Y.; Liu, Y. Design and experiment of hydraulically self-excited vibration subsoiler. Trans. Chin. Soc. Agric. Eng. 2018, 34, 40–48. [Google Scholar] [CrossRef]
- Wang, X.; Zhou, H.; Ji, J. Effect of mounting angle on bending subsoiling tool–soil interactions using DEM simulations. Agriculture 2022, 12, 1830. [Google Scholar] [CrossRef]
- Latorre-Biel, J.; Ballesteros, T.; Arana, I.; Alfaro, J.R. Development of an inexpensive rollover energy dissipation device to improve safety provided by ROPS. Biosyst. Eng. 2019, 185, 88–102. [Google Scholar] [CrossRef]
- Villanueva Roldán, P.; Bona, S.; Lostado Lorza, R.; Veiga Suárez, F. Morphological design of a bicycle propulsion component using the hierarchical analysis process (AHP). Appl. Sci. 2023, 13, 7792. [Google Scholar] [CrossRef]
- GB/T24675.2-2009; Conservation Tillage Equipment—Subsoiler. China Standards Press: Beijing, China, 2009. Available online: http://c.gb688.cn/bzgk/gb/showGb?type=online&hcno=C12DBBF43F063D1FD6D49F257BDA769D (accessed on 13 August 2024).
- Ma, S. Force Analysis and Computer Simulation of the Subsoiler in Working State; Henan Agricultural University: Henan, China, 2004. [Google Scholar]
- China Agricultural Science and Technology Press. Handbook of Agricultural Machinery; China Agricultural Science and Technology Press: Beijing, China, 2007; Volume 2. [Google Scholar]
- JB/T 9788-1999; Subsoiler and Share Shaft. China Standards Press: Beijing, China, 1999. Available online: https://www.doc88.com/p-7159547161308.html (accessed on 13 August 2024).
- Liu, J.A.; Wang, X.; Li, H.; He, J.; Wang, Q.; Li, W. Optimization of Structural Parameters of Subsoiler Based on Soil Disturbance and Traction Resistance. Trans. Chin. Soc. Agric. Mach. 2017, 48, 60–67. [Google Scholar]
- Li, B. Agricultural Machinery; China Agricultural Publishing House: Beijing, China, 2003. [Google Scholar]
- GB/T 700-2006; Carbon Structural Steels. China Standards Press: Beijing, China, 2006. Available online: https://www.doc88.com/p-14559459074927.html (accessed on 13 August 2024).
- GB/T 711-2017; Hot-Rolled Quality Carbon Structural Steel Plates Sheets and Strips. China Standards Press: Beijing, China, 2017. Available online: http://c.gb688.cn/bzgk/gb/showGb?type=online&hcno=996FD8117D2B5F49DCF6C27DC6B3157F (accessed on 13 August 2024).
- Shen, C.J.; Jia, S.X.; Zhang, L.X.; Zhou, Y.; Li, F.; Dai, Y.M.; Zhang, J.; Ma, W. Development of caterpillar self-propelled orchard gas explosion subsoiling and fertilizer machine. Trans. Chin. Soc. Agric. Eng. 2019, 35, 1–11. [Google Scholar]
- Ding, Q.; Ge, S.; Ren, J.; Li, Y.; He, R. Characteristics of Subsoiler Traction and Soil Disturbance in Paddy Soil. Trans. Chin. Soc. Agric. Mach. 2017, 48, 47–56. [Google Scholar]
- Dong, Z. Jet Mechanics; Science Press: Beijing, China, 2004. [Google Scholar]
- Hertz, H. On the contact of elastic solids. Journal fur die Reine und Angewandte Mathematik. Crelles J. 1882, 92, 156–171. [Google Scholar]
- Mindlin, R.D. Compliance of elastic bodies in contact. J. Appl. Mech. 1949, 16, 259–268. [Google Scholar] [CrossRef]
- Chen, M.; Liu, X.; Hu, P.; Zhai, X.; Han, Z.; Shi, Y.; Zhu, W.; Wang, D.; He, X.; Shang, S. Study on rotor vibration potato-soil separation device for potato harvester using DEM-MBD coupling simulation. Comput. Electron. Agric. 2024, 218, 108638. [Google Scholar] [CrossRef]
- Dai, F.; Song, X.; Zhao, W.; Zhang, F.; Ma, H.; Ma, M. Simulative Calibration on Contact Parameters of Discrete Elements for Covering Soil on Whole Plastic Film Mulching on Double Ridges. Trans. Chin. Soc. Agric. Mach. 2019, 50, 49–56, 77. [Google Scholar] [CrossRef]
- Niu, Y.; Zhang, J.; Qi, J.; Meng, H.; Peng, H.; Li, J. Design and Test of Soil–Fertilizer Collision Mixing and Mulching Device for Manure Deep Application Machine. Agriculture 2023, 13, 709. [Google Scholar] [CrossRef]
- Li, L.; Chen, J.; Ma, C.; Meng, H.; Qi, J.; Li, Y.; Zhang, P.; Lian, G.; Qi, Z. Study on Soil Throwing Performance and Ditch Depth Stability of Ditching Device in Sandy Orchards in Southern Xinjiang. Appl. Sci. 2021, 11, 12058. [Google Scholar] [CrossRef]
- DG/T 026-2019; Subsoiler. China Standards Press: Beijing, China, 2019. Available online: https://max.book118.com/html/2019/0506/7142001060002024.shtm (accessed on 13 August 2024).
- Li, X.; Li, X.; Wang, S.; Jiang, Z.; You, B.; Wang, X. Experimental study on the influence of air pressure jet angle on pneumatic subsoiling operation. J. Tianjin Univ. Technol. 2024. Available online: https://link.cnki.net/urlid/12.1374.N.20240514.1100.008 (accessed on 18 August 2024).
- Zhao, J.; Wang, A.; Ma, Y.; Li, J.; Hao, J.; Nie, Q.; Long, S.; Yang, Q. Design and test of soil preparation machine combined subsoiling, rotary tillage and soil breaking. Trans. Chin. Soc. Agric. Eng. 2019, 35, 46–54. [Google Scholar] [CrossRef]
- Li, X.; Jiang, Z.; Wang, S.; Li, X.; Liu, Y.; Wang, X. A Study of a Model for Predicting Pneumatic Subsoiling Resistance Based on Machine Learning Techniques. Agronomy 2023, 13, 1079. [Google Scholar] [CrossRef]










| Items | Value |
|---|---|
| Overall dimensions/(mm × mm × mm) | 2200 × 1350 × 1700 |
| Air compressor rated power/kW | 2.2 |
| Air compressor rated pressure/MPa | 0.8 |
| Air compressor air Displacement/(m3/min) | 2.5 |
| Maximum subsoiling depth/mm | ≥400 |
| Gas explosion pressure/MPa | 0.6~0.8 |
| Pulse width/s | 0.01~2.55 |
| Pulse interval/s | 0.01~2.55 |
| Pulse period/s | 0.01~2.55 |
| Parameter Type Check | Parameter Name | Value |
|---|---|---|
| Material parameter | Soil particle radius/mm | 4 |
| Soil particle density/g/cm3 | 1.68 | |
| Poisson’s ratio of soil particles | 0.36 | |
| Shear modulus of soil/Pa | 1.31 × 106 | |
| Subsoiling shovel material density/(kg/m3) | 7860 | |
| Poisson’s ratio of subsoiler material | 0.31 | |
| Shear modulus of subsoiler material/Pa | 7.85 × 1010 | |
| Exposure parameter | Restitution coefficient between soil particles | 0.5 |
| Static friction coefficient between soil particles | 0.35 | |
| Rolling friction coefficient between soil particles | 0.15 | |
| Soil particle-subsoiling shovel material recovery coefficient | 0.3 | |
| Static friction coefficient of soil particles-subsoiling shovel material | 0.7 | |
| Rolling friction coefficient of soil particles-subsoiling shovel material | 0.01 |
| Level | Air Pressure (MPa) | Pulse Width (s) | Pulse Interval (s) |
|---|---|---|---|
| −1 | 0.6 | 0.05 | 0.05 |
| 0 | 0.7 | 0.15 | 0.15 |
| 1 | 0.8 | 0.25 | 0.25 |
| No. | Pressure (MPa) | Pulse Width (s) | Pulse Interval (s) | Specific Draught Force (N/mm2) | Bulkiness (%) | Composite Score |
|---|---|---|---|---|---|---|
| 1 | 0.3 | 0.55 | 0.55 | 0.5018 | 12.7 | 0.5236 |
| 2 | 0.4 | 0.45 | 0.45 | 0.5297 | 13.8 | 0.8031 |
| 3 | 0.5 | 0.35 | 0.35 | 0.4983 | 14.7 | 0.6889 |
| 4 | 0.6 | 0.25 | 0.25 | 0.4396 | 15.3 | 0.3740 |
| 5 | 0.7 | 0.15 | 0.15 | 0.4190 | 15.9 | 0.3000 |
| 6 | 0.8 | 0.05 | 0.05 | 0.4530 | 14.3 | 0.3650 |
| No. | Air Pressure X1 (MPa) | Pulse Width X2 (s) | Pulse Interval X3 (s) | Specific Draught Force Y1 (N/mm2) | Bulkiness Y2 (%) |
|---|---|---|---|---|---|
| 1 | −1 | −1 | 0 | 0.5326 | 15.7 |
| 2 | 1 | −1 | 0 | 0.4558 | 19.2 |
| 3 | −1 | 1 | 0 | 0.4574 | 21.5 |
| 4 | 1 | 1 | 0 | 0.4252 | 21.3 |
| 5 | −1 | 0 | −1 | 0.5362 | 25.2 |
| 6 | 1 | 0 | −1 | 0.4179 | 21.7 |
| 7 | −1 | 0 | 1 | 0.5082 | 18.1 |
| 8 | 1 | 0 | 1 | 0.4821 | 25.5 |
| 9 | 0 | −1 | −1 | 0.512 | 24.7 |
| 10 | 0 | 1 | −1 | 0.4727 | 23.1 |
| 11 | 0 | −1 | 1 | 0.5838 | 17.8 |
| 12 | 0 | 1 | 1 | 0.4905 | 25.4 |
| 13 | 0 | 0 | 0 | 0.4258 | 16.7 |
| 14 | 0 | 0 | 0 | 0.4183 | 14.7 |
| 15 | 0 | 0 | 0 | 0.4377 | 13.8 |
| 16 | 0 | 0 | 0 | 0.4283 | 16.4 |
| 17 | 0 | 0 | 0 | 0.4174 | 15.8 |
| Items | Sources | Sum of Squares | Freedom | Mean Square | F | p |
|---|---|---|---|---|---|---|
| Y1 | Model | 0.0394 | 9 | 0.0044 | 34.96 | <0.0001 ** |
| X1 | 0.0080 | 1 | 0.0080 | 64.06 | <0.0001 ** | |
| X2 | 0.0071 | 1 | 0.0071 | 56.70 | 0.0001 ** | |
| X3 | 0.0020 | 1 | 0.0020 | 15.79 | 0.0054 ** | |
| X1X2 | 0.0005 | 1 | 0.0005 | 3.97 | 0.0866 | |
| X1X3 | 0.0021 | 1 | 0.0021 | 16.96 | 0.0045 ** | |
| X2X3 | 0.0007 | 1 | 0.0007 | 5.82 | 0.0466 * | |
| X12 | 0.0002 | 1 | 0.0002 | 1.55 | 0.2527 | |
| X22 | 0.0053 | 1 | 0.0053 | 42.23 | 0.0003 ** | |
| X32 | 0.0122 | 1 | 0.0122 | 97.26 | <0.0001 ** | |
| Residual | 0.0009 | 7 | 0.0001 | |||
| Lack of Fit | 0.0006 | 3 | 0.0002 | 2.93 | 0.1629 | |
| Pure Error | 0.0003 | 4 | 0.0001 | |||
| Cor Total | 0.0403 | 16 | ||||
| Y2 | Model | 253.32 | 9 | 28.15 | 29.96 | <0.0001 ** |
| X1 | 6.48 | 1 | 6.48 | 6.90 | 0.0341 * | |
| X2 | 24.15 | 1 | 24.15 | 25.71 | 0.0014 ** | |
| X3 | 7.80 | 1 | 7.80 | 8.30 | 0.0236 * | |
| X1X2 | 3.42 | 1 | 3.42 | 3.64 | 0.0979 | |
| X1X3 | 29.70 | 1 | 29.70 | 31.62 | 0.0008 ** | |
| X2X3 | 21.16 | 1 | 21.16 | 22.53 | 0.0021 ** | |
| X12 | 15.36 | 1 | 15.36 | 16.35 | 0.0049 ** | |
| X22 | 17.44 | 1 | 17.44 | 18.56 | 0.0035 ** | |
| X32 | 115.39 | 1 | 115.39 | 122.84 | <0.0001 ** | |
| Residual | 6.58 | 7 | 0.9394 | |||
| Lack of Fit | 0.7075 | 3 | 0.2358 | 0.1608 | 0.9175 | |
| Pure Error | 5.87 | 4 | 1.47 | |||
| Cor Total | 259.90 | 16 |
Disclaimer/Publisher’s Note: The statements, opinions and data contained in all publications are solely those of the individual author(s) and contributor(s) and not of MDPI and/or the editor(s). MDPI and/or the editor(s) disclaim responsibility for any injury to people or property resulting from any ideas, methods, instructions or products referred to in the content. |
© 2024 by the authors. Licensee MDPI, Basel, Switzerland. This article is an open access article distributed under the terms and conditions of the Creative Commons Attribution (CC BY) license (https://creativecommons.org/licenses/by/4.0/).
Share and Cite
Xu, X.; Jing, P.; Yao, Q.; Chen, W.; Meng, H.; Li, X.; Qi, J.; Peng, H. Parameter Optimization and Test for the Pulse-Type Gas Explosion Subsoiler. Agriculture 2024, 14, 1417. https://doi.org/10.3390/agriculture14081417
Xu X, Jing P, Yao Q, Chen W, Meng H, Li X, Qi J, Peng H. Parameter Optimization and Test for the Pulse-Type Gas Explosion Subsoiler. Agriculture. 2024; 14(8):1417. https://doi.org/10.3390/agriculture14081417
Chicago/Turabian StyleXu, Xiangdong, Pengyu Jing, Quan Yao, Wenhui Chen, Hewei Meng, Xia Li, Jiangtao Qi, and Huijie Peng. 2024. "Parameter Optimization and Test for the Pulse-Type Gas Explosion Subsoiler" Agriculture 14, no. 8: 1417. https://doi.org/10.3390/agriculture14081417
APA StyleXu, X., Jing, P., Yao, Q., Chen, W., Meng, H., Li, X., Qi, J., & Peng, H. (2024). Parameter Optimization and Test for the Pulse-Type Gas Explosion Subsoiler. Agriculture, 14(8), 1417. https://doi.org/10.3390/agriculture14081417
