Characterizing Spatiotemporal Patterns of Disasters and Climates to Evaluate Hazards to Crop Production in Taiwan
Abstract
1. Introduction
2. Materials and Methods
2.1. Study Area
2.2. Study Data
2.2.1. Meteorological Data
2.2.2. Disaster Data
2.3. Hazard Assessment
2.4. Statistical Analysis
2.4.1. Principal Component Analysis
2.4.2. Cluster Analysis
2.4.3. Trend Analysis
2.4.4. Linear Model
3. Results
3.1. Disaster Distribution and Hazard Variation
3.1.1. Temporal Patterns of Disaster Frequency
3.1.2. Spatial Patterns of Disaster Frequency
3.1.3. Spatiotemporal Variations in Disaster Hazards
3.2. PCs of Weather Variables
3.3. Cluster of Climate Patterns
3.3.1. Determination of Cluster Number
3.3.2. Climate Clusters
3.3.3. Cluster Frequency
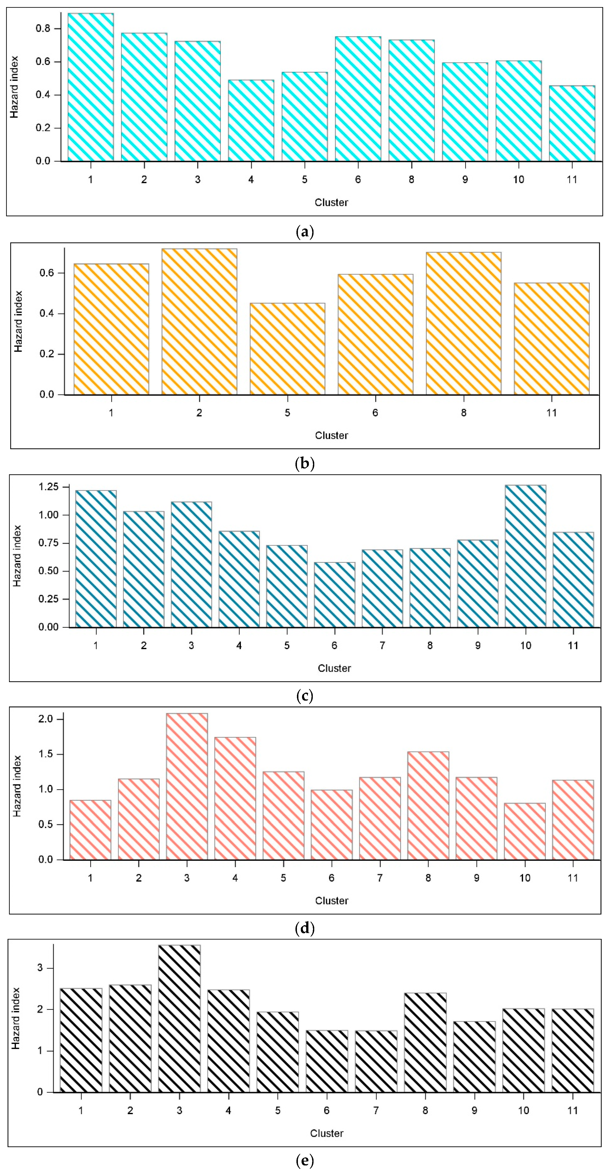
3.4. Effects of Climate on Disaster Hazards
4. Discussion
4.1. Threat of Disasters under Climate Change
4.1.1. Cold Waves
4.1.2. Droughts
4.1.3. Rains
4.1.4. Tropical Storms
5. Conclusions
- Although the frequency of tropical storm disasters decreased, the frequency of other disasters exhibited a significant upward trend due to the increasing frequency of cold wave and rain disasters.
- Overall, the disaster hazard index values did not increase from 2003 to 2022.
- The increasing hazard index values for cold waves and rain disasters indicate an urgent requirement for mitigation and adaptation strategies to manage them.
- Given the variations in the disaster patterns and hazard trends across Taiwan’s four regions, region-specific strategies are required to address disaster hazards.
- The results of multivariate analysis revealed that temperature and other weather information, such as that regarding precipitation and wind speed for each month, characterize climate patterns.
- The climate in Taiwan, especially in summer, has shifted from wet to dry.
- Climate clusters significantly affect the hazard index values of all disasters.
- The primary climate clusters after 2012 exhibited a relatively high hazard index value for cold waves, droughts, and rain disasters.
Supplementary Materials
Author Contributions
Funding
Institutional Review Board Statement
Data Availability Statement
Conflicts of Interest
References
- FAO. World Food and Agriculture—Statistical Yearbook 2021; FAO: Rome, Italy, 2021. [Google Scholar]
- Craufurd, P.Q.; Wheeler, T.R. Climate change and the flowering time of annual crops. J. Exp. Bot. 2009, 60, 2529–2539. [Google Scholar] [CrossRef]
- Tan, G.; Shibasaki, R. Global estimation of crop productivity and the impacts of global warming by GIS and EPIC integration. Ecol. Modell. 2003, 168, 357–370. [Google Scholar] [CrossRef]
- Challinor, A.J.; Watson, J.; Lobell, D.B.; Howden, S.M.; Smith, D.R.; Chhetri, N. A Meta-analysis of crop yield under climate change and adaptation. Nat. Clim. Chang. 2014, 4, 287–291. [Google Scholar] [CrossRef]
- Schmidhuber, J.; Tubiello, F.N. Global food security under climate change. Proc. Natl. Acad. Sci. USA 2007, 104, 19703–19708. [Google Scholar] [CrossRef] [PubMed]
- Powell, J.P.; Reinhard, S. Measuring the effects of extreme weather events on yields. Weather Clim. Extrem. 2015, 12, 69–79. [Google Scholar] [CrossRef]
- Alexander, L.V.; Zhang, X.; Peterson, T.C.; Caesar, J.; Gleason, B.; Klein Tank, A.M.G.; Haylock, M.; Collins, D.; Trewin, B.; Rahimzadeh, F.; et al. Global observed changes in daily climate extremes of temperature and precipitation. J. Geophys. Res. Phys. 2006, 111, 1–22. [Google Scholar] [CrossRef]
- Rahmstorf, S.; Coumou, D. Increase of extreme events in a warming world. Proc. Natl. Acad. Sci. USA 2011, 108, 17905–17909. [Google Scholar] [CrossRef] [PubMed]
- Teixeira, E.I.; Fischer, G.; Van Velthuizen, H.; Walter, C.; Ewert, F. Global hot-spots of heat stress on agricultural crops due to climate change. Agric. For. Meteorol. 2013, 170, 206–215. [Google Scholar] [CrossRef]
- FAO. The Impact of Disasters and Crises on Agriculture and Food Security: 2021; FAO: Rome, Italy, 2021. [Google Scholar]
- Lesk, C.; Rowhani, P.; Ramankutty, N. Influence of extreme weather disasters on global crop production. Nature 2016, 529, 84–87. [Google Scholar] [CrossRef]
- Hatfield, J.L.; Prueger, J.H. Temperature extremes: Effect on plant growth and development. Weather Clim. Extrem. 2015, 10, 4–10. [Google Scholar] [CrossRef]
- Rosenzweig, C.; Tubiello, F.N.; Goldberg, R.; Mills, E.; Bloomfield, J. Increased crop damage in the us from excess precipitation under climate change. Glob. Environ. Chang. 2002, 12, 197–202. [Google Scholar] [CrossRef]
- Welch, J.R.; Vincent, J.R.; Auffhammer, M.; Moya, P.F.; Dobermann, A.; Dawe, D. Rice yields in tropical/subtropical Asia exhibit large but opposing sensitivities to minimum and maximum temperatures. Proc. Natl. Acad. Sci. USA 2010, 107, 14562–14567. [Google Scholar] [CrossRef]
- Auffhammer, M.; Ramanathan, V.; Vincent, J.R. Climate change, the monsoon, and rice yield in India. Clim. Chang. 2012, 111, 411–424. [Google Scholar] [CrossRef]
- Tao, F.; Zhang, S.; Zhang, Z. Changes in rice disasters across China in recent decades and the meteorological and agronomic causes. Reg. Environ. Chang. 2012, 13, 743–759. [Google Scholar] [CrossRef]
- IPCC. Climate Change 2014: Synthesis Report; Contribution of Working Groups I, II and III to the Fifth Assessment Report of the Intergovernmental Panel on Climate Change; IPCC: Geneva, Switzerland, 2014. [Google Scholar]
- Sharafi, L.; Zarafshani, K.; Keshavarz, M.; Azadi, H.; Van Passel, S. Drought risk assessment: Towards drought early warning system and sustainable environment in western Iran. Ecol. Indic. 2020, 114, 106276. [Google Scholar] [CrossRef]
- Yang, Y.; Li, K.; Wei, S.; Guga, S.; Zhang, J.; Wang, C. Spatial-temporal distribution characteristics and hazard assessment of millet drought disaster in northern China under climate change. Agric. Water. Manag. 2022, 272, 107849. [Google Scholar] [CrossRef]
- Promping, T.; Tingsanchali, T. Meteorological drought hazard assessment under future climate change projection for agriculture area in Songkhram river basin, Thailand. In Proceedings of the 2020 International Conference and Utility Exhibition on Energy, Environment and Climate Change (ICUE), Pattaya, Thailand, 20–22 October 2020; IEEE: New York, NY, USA, 2020; pp. 1–7. [Google Scholar]
- Guo, E.; Zhang, J.; Wang, Y.; Si, H.; Zhang, F. Dynamic risk assessment of waterlogging disaster for maize based on CERES-Maize model in midwest of Jilin province, China. Nat. Hazards 2016, 83, 1747–1761. [Google Scholar] [CrossRef]
- Yao, P.; Qian, L.; Wang, Z.; Meng, H.; Ju, X. Assessing drought, flood, and high temperature disasters during sugarcane growth stages in southern China. Agriculture 2022, 12, 2117. [Google Scholar] [CrossRef]
- Wang, R.; Rong, G.; Liu, C.; Du, W.; Zhang, J.; Tong, Z.; Liu, X. Spatiotemporal characteristics and hazard assessments of maize (Zea mays L.) drought and waterlogging: A case study in Songliao plain of China. Remote Sens. 2023, 15, 665. [Google Scholar] [CrossRef]
- Huggel, C.; Raissig, A.; Rohrer, M.; Romero, G.; Diaz, A.; Salzmann, N. How useful and reliable are disaster databases in the context of climate and global change? A comparative case study analysis in Peru. Nat. Hazards Earth Syst. Sci. 2015, 15, 475–485. [Google Scholar] [CrossRef]
- Kron, W.; Steuer, M.; Löw, P.; Wirtz, A. How to deal properly with a natural catastrophe database—Analysis of flood losses. Nat. Hazards Earth Syst. Sci. 2012, 12, 535–550. [Google Scholar] [CrossRef]
- Shen, G.; Hwang, S.N. Spatial–temporal snapshots of global natural disaster impacts revealed from EM-DAT for 1900-2015. Geomat. Nat. Hazards Risk 2019, 10, 912–934. [Google Scholar] [CrossRef]
- Guha-Sapir, D.; Below, R. The Quality and Accuracy of Disaster Data: A Comparative Analyse of 3 Global Data Sets; Working Paper ID 191; World Bank: Washington, DC, USA, 2002. [Google Scholar]
- Mostafiz, R.B.; Rohli, R.V.; Friedland, C.J.; Gall, M.; Bushra, N. Future crop risk estimation due to drought, extreme temperature, hail, lightning, and tornado at the census tract level in Louisiana. Front. Environ. Sci. 2022, 10, 919782. [Google Scholar] [CrossRef]
- Zhang, J.; Wang, J.; Chen, S.; Tang, S.; Zhao, W. Multi-hazard meteorological disaster risk assessment for agriculture based on historical disaster data in Jilin province, China. Sustainability 2022, 14, 7482. [Google Scholar] [CrossRef]
- Wu, C.-C.; Kuo, Y.-H. Typhoons Affecting Taiwan: Current understanding and future challenges. Bull. Am. Meteorol. Soc. 1999, 80, 67–80. [Google Scholar] [CrossRef]
- Wu, Y.c.; Wang, S.Y.S.; Yu, Y.C.; Kung, C.Y.; Wang, A.H.; Los, S.A.; Huang, W.R. Climatology and change of extreme precipitation events in Taiwan based on weather types. Int. J. Climatol. 2019, 39, 5351–5366. [Google Scholar] [CrossRef]
- Ministry of Agriculture (MoA). Agricultural Statistics Yearbook; MoA, Taiwan: Taipei, Taiwan, 2021. [Google Scholar]
- Liu, W.C.; Hsieh, T.H.; Liu, H.M. Flood risk assessment in urban areas of southern Taiwan. Sustainability 2021, 13, 3180. [Google Scholar] [CrossRef]
- Yang, T.C.; Chen, C.; Kuo, C.M.; Tseng, H.W.; Yu, P.S. Drought risk assessments of water resources systems under climate change: A case study in southern Taiwan. Hydrol. Earth Syst. Sci. Discuss. 2012, 9, 12395–12433. [Google Scholar] [CrossRef]
- Chen, Y.J.; Lin, H.J.; Liou, J.J.; Cheng, C.T.; Chen, Y.M. Assessment of flood risk map under climate change RCP8.5 scenarios in Taiwan. Water 2022, 14, 207. [Google Scholar] [CrossRef]
- Shiau, J.T.; Hsiao, Y.Y. Water-deficit-based drought risk assessments in Taiwan. Nat. Hazards 2012, 64, 237–257. [Google Scholar] [CrossRef]
- Lee, T.L.; Chen, C.H.; Pai, T.Y.; Wu, R.S. Development of a meteorological risk map for disaster mitigation and management in the Chishan basin, Taiwan. Sustainability 2015, 7, 962–987. [Google Scholar] [CrossRef]
- Lee, J.L.; Huang, W.C. Impact of climate change on the irrigation water requirement in northern Taiwan. Water 2014, 6, 3339–3361. [Google Scholar] [CrossRef]
- Wu, T.; Li, H.C.; Wei, S.P.; Chen, W.B.; Chen, Y.M.; Su, Y.F.; Liu, J.J.; Shih, H.J. A comprehensive disaster impact assessment of extreme rainfall events under climate change: A case study in Zheng-Wen river basin, Taiwan. Environ. Earth Sci. 2016, 75, 597. [Google Scholar] [CrossRef]
- Hsiao, Y.H.; Chen, C.C.; Chao, Y.C.; Li, H.C.; Ho, C.H.; Hsu, C.T.; Yeh, K.C. Development and application of flood impact maps under climate change scenarios: A case study of the Yilan area of Taiwan. Front. Environ. Sci. 2022, 10, 971609. [Google Scholar] [CrossRef]
- Luo, Q. Temperature thresholds and crop production: A review. Clim. Change 2011, 109, 583–598. [Google Scholar] [CrossRef]
- Su, Y.C.; Shen, Y.; Wu, C.Y.; Kuo, B.J. County-scale dataset indicating the effects of disasters on crops in Taiwan from 2003 to 2022. Sci. Data 2024, 11, 205. [Google Scholar] [CrossRef]
- IPCC. Managing the Risks from Climate Extremes and Disasters to Advance Climate Change Adaptation: Special Report of the Intergovernmental Panel on Climate Change; Field, C.B., Barros, V., Stocker, T.F., Qin, D., Dokken, D.J., Ebi, K.L., Mastrandrea, M.D., Mach, K.J., Plattner, G.-K., Allen, S.K., et al., Eds.; Cambridge University Press: Cambridge, UK, 2012; Volume 9781107025, ISBN 9781139177245. [Google Scholar]
- Zhang, Q.; Han, J.; Yang, Z. Hazard assessment of extreme heat during summer maize growing season in Haihe plain, China. Int. J. Climatol. 2021, 41, 4794–4803. [Google Scholar] [CrossRef]
- Milligan, G.W.; Cooper, M.C. An examination of procedures for determining the number of clusters in a data set. Psychometrika 1985, 50, 159–179. [Google Scholar] [CrossRef]
- Caliñski, T.; Harabasz, J. A dendrite method for cluster analysis. Commun. Stat. 1974, 3, 1–27. [Google Scholar]
- Kendall, M.G. A new measure of rank correlation. Biometrika 1938, 30, 81–93. [Google Scholar] [CrossRef]
- Räike, A.; Pietilainen, O.; Rekolainen, S.; Kauppila, P.; Pitkanen, H.; Niemi, J.; Raateland, A.; Vuorenmaa, J. Trends of phosphorus, nitrogen and chlorophyll a concentrations in Finnish rivers and lakes in 1975–2000. Sci. Total Environ. 2003, 310, 47–59. [Google Scholar] [CrossRef]
- Ekholm, P.; Mitikka, S. Agricultural lakes in Finland: Current water quality and trends. Environ. Monit. Assess. 2006, 116, 111–135. [Google Scholar] [CrossRef] [PubMed]
- Mosteller, F.; Tukey, J.W. Data Analysis and Regression—A Second Course in Statistics; Addison-Wesley: Boston, MA, USA, 1977. [Google Scholar]
- Thomas, V.; Albert, J.R.G.; Hepburn, C. Contributors to the frequency of intense climate disasters in Asia-Pacific countries. Clim. Chang. 2014, 126, 381–398. [Google Scholar] [CrossRef]
- van Aalst, M.K. The Impacts of climate change on the risk of natural disasters. Disasters 2006, 30, 5–18. [Google Scholar] [CrossRef]
- IPCC. Climate Change 2007: Synthesis Report; IPCC: Geneva, Switzerland, 2007. [Google Scholar]
- Tsuboki, K.; Yoshioka, M.K.; Shinoda, T.; Kato, M.; Kanada, S.; Kitoh, A. future increase of supertyphoon intensity associated with climate change. Geophys. Res. Lett. 2015, 42, 646–652. [Google Scholar] [CrossRef]
- Ribas, A.; Olcina, J.; Sauri, D. More exposed but also more vulnerable? climate change, high intensity precipitation events and flooding in mediterranean Spain. Disaster Prev. Manag. 2020, 29, 229–248. [Google Scholar] [CrossRef]
- Guo, Y.; Zhang, J.; Li, K.; Aru, H.; Feng, Z.; Liu, X.; Tong, Z. Quantifying hazard of drought and heat compound extreme events during maize (Zea mays L.) growing season using magnitude index and copula. Weather Clim. Extrem. 2023, 40, 100566. [Google Scholar] [CrossRef]
- Ronco, P.; Zennaro, F.; Torresan, S.; Critto, A.; Santini, M.; Trabucco, A.; Zollo, A.L.; Galluccio, G.; Marcomini, A. A risk assessment framework for irrigated agriculture under climate change. Adv. Water Resour. 2017, 110, 562–578. [Google Scholar] [CrossRef]
- Yang, J.; Huo, Z.; Li, X.; Wang, P.; Wu, D. Hot weather event-based characteristics of double-early rice heat risk: A study of Jiangxi province, south China. Ecol. Indic. 2020, 113, 106148. [Google Scholar] [CrossRef]
- NOAA. National Centers for Environmental Information. Monthly Global Climate Report for Annual. 2023. Available online: https://www.ncei.noaa.gov/access/monitoring/monthly-report/global/202313 (accessed on 11 July 2024).
- Xindong, D.U.; Jin, X.; Yang, X.; Yang, X.; Xiang, X.; Zhou, Y. Spatial-temporal pattern changes of main agriculture natural disasters in China during 1990–2011. J. Geogr. Sci. 2015, 25, 387–398. [Google Scholar]
- Zhang, Y.X.; Wang, G.F. Assessment of the hazard of extreme low-temperature events over China in 2021. Adv. Clim. Chang. Res. 2022, 13, 811–818. [Google Scholar] [CrossRef]
- Cohen, J.; Zhang, X.; Francis, J.; Jung, T.; Kwok, R.; Overland, J.; Ballinger, T.J.; Bhatt, U.S.; Chen, H.W.; Coumou, D.; et al. Divergent consensuses on arctic amplification influence on midlatitude severe winter weather. Nat. Clim. Chang. 2020, 10, 20–29. [Google Scholar] [CrossRef]
- Kug, J.S.; Jeong, J.H.; Jang, Y.S.; Kim, B.M.; Folland, C.K.; Min, S.K.; Son, S.W. Two distinct influences of arctic warming on cold winters over North America and East Asia. Nat. Geosci. 2015, 8, 759–762. [Google Scholar] [CrossRef]
- Cohen, J.; Agel, L.; Barlow, M.; Garfinkel, C.I.; White, I. Linking arctic variability and change with extreme winter weather in the United States. Science 2021, 373, 1116–1121. [Google Scholar] [CrossRef] [PubMed]
- Gu, L.; Hanson, P.J.; Post, W.M.; Kaiser, D.P.; Yang, B.; Nemani, R.; Pallardy, S.G.; Meyers, T. The 2007 eastern US spring freeze: Increased cold damage in a warming world. Bioscience 2008, 58, 253–262. [Google Scholar] [CrossRef]
- Cannell, M.G.R.; Smith, R.I. Climatic warming, spring budburst and forest damage on trees. J. Appl. Ecol. 1986, 23, 177–191. [Google Scholar] [CrossRef]
- Meza, I.; Eyshi Rezaei, E.; Siebert, S.; Ghazaryan, G.; Nouri, H.; Dubovyk, O.; Gerdener, H.; Herbert, C.; Kusche, J.; Popat, E.; et al. Drought risk for agricultural systems in South Africa: Drivers, spatial patterns, and implications for drought risk management. Sci. Total Environ. 2021, 799, 149505. [Google Scholar] [CrossRef] [PubMed]
- Zhang, Q.; Zhang, J. Drought hazard assessment in typical corn cultivated areas of China at present and potential climate change. Nat. Hazards 2016, 81, 1323–1331. [Google Scholar] [CrossRef]
- Hasegawa, T.; Wakatsuki, H.; Ju, H.; Vyas, S.; Nelson, G.C.; Farrell, A.; Deryng, D.; Meza, F.; Makowski, D. A Global Dataset for the Projected Impacts of climate change on four major crops. Sci. Data 2022, 9, 58. [Google Scholar] [CrossRef]
- Russo, S.; Dosio, A.; Sterl, A.; Barbosa, P.; Vogt, J. Projection of occurrence of extreme dry-wet years and seasons in Europe with stationary and nonstationary standardized precipitation indices. J. Geophys. Res. Atmos. 2013, 118, 7628–7639. [Google Scholar] [CrossRef]
- Yildirim, E.; Demir, I. Agricultural flood vulnerability assessment and risk quantification in Iowa. Sci. Total Environ. 2022, 826, 154165. [Google Scholar] [CrossRef] [PubMed]
- Li, Y.; Guan, K.; Schnitkey, G.D.; DeLucia, E.; Peng, B. Excessive rainfall leads to maize yield loss of a comparable magnitude to extreme drought in the United States. Glob. Chang. Biol. 2019, 25, 2325–2337. [Google Scholar] [CrossRef] [PubMed]
- Yilmaz, A.G.; Perera, B.J.C. Spatiotemporal Trend analysis of extreme rainfall events in Victoria, Australia. Water Resour. Manag. 2015, 29, 4465–4480. [Google Scholar] [CrossRef]
- Wan Zin, W.Z.; Jamaludin, S.; Deni, S.M.; Jemain, A.A. Recent changes in extreme rainfall events in Peninsular Malaysia: 1971-2005. Theor. Appl. Climatol. 2010, 99, 303–314. [Google Scholar] [CrossRef]
- Zahiri, E.P.; Bamba, I.; Famien, A.M.; Koffi, A.K.; Ochou, A.D. Mesoscale extreme rainfall events in west Africa: The cases of Niamey (Niger) and the Upper Ouémé Valley (Benin). Weather Clim. Extrem. 2016, 13, 15–34. [Google Scholar] [CrossRef]
- Goswami, B.N.; Venugopal, V.; Sengupta, D.; Madhusoodanan, M.S.; Xavier, P.K. Increasing trend of extreme rain events over India in a warming environment. Science 2006, 314, 1442–1445. [Google Scholar] [CrossRef] [PubMed]
- dos Santos, C.A.C.; Neale, C.M.U.; Mekonnen, M.M.; Gonçalves, I.Z.; de Oliveira, G.; Ruiz-Alvarez, O.; Safa, B.; Rowe, C.M. Trends of extreme air temperature and precipitation and their impact on corn and soybean yields in Nebraska, USA. Theor. Appl. Climatol. 2022, 147, 1379–1399. [Google Scholar] [CrossRef]
- Colorado-Ruiz, G.; Cavazos, T. Trends of daily extreme and non-extreme rainfall indices and intercomparison with different gridded data sets over Mexico and the southern United States. Int. J. Climatol. 2021, 41, 5406–5430. [Google Scholar] [CrossRef]
- Henny, L.; Thorncroft, C.D.; Hsu, H.H.; Bosart, L.F. Extreme rainfall in Taiwan: Seasonal statistics and trends. J. Clim. 2021, 34, 4711–4731. [Google Scholar] [CrossRef]
- Bundy, L.R.; Gensini, V.A.; Broeke, M.S.V.D. Tropical cyclone impacts on crop condition ratings and yield in the coastal southern United States. Agric. For. Meteorol. 2023, 340, 109599. [Google Scholar] [CrossRef]
- Masutomi, Y.; Iizumi, T.; Takahashi, K.; Yokozawa, M. Estimation of the damage area due to tropical cyclones using fragility curves for paddy rice in Japan. Environ. Res. Lett. 2012, 7, 014020. [Google Scholar] [CrossRef]
- Chou, J.; Dong, W.; Tu, G.; Xu, Y. Spatiotemporal distribution of landing tropical cyclones and disaster impact analysis in coastal China during 1990–2016. Phys. Chem. Earth Parts A/B/C 2020, 115, 102830. [Google Scholar] [CrossRef]
- Chen, C.J.; Lee, T.Y.; Chang, C.M.; Lee, J.Y. Assessing typhoon damages to Taiwan in the recent decade: Return period analysis and loss prediction. Nat. Hazards 2018, 91, 759–783. [Google Scholar] [CrossRef]
- Wu, L.; Wang, B.; Geng, S. Growing typhoon influence on East Asia. Geophys. Res. Lett. 2005, 32, 1–4. [Google Scholar] [CrossRef]
- Li, Y.; Zhao, S.; Zhao, D.; Gao, G.; Xu, H.; Jiang, Y. Changes in tropical cyclone disasters over China during 2001–2020. Earth Space Sci. 2023, 10, e2022EA002795. [Google Scholar] [CrossRef]
- Chen, T.C.; Wang, S.Y.; Yen, M.C. Interannual variation of the tropical cyclone activity over the Western North Pacific. J. Clim. 2006, 19, 5709–5720. [Google Scholar] [CrossRef]
- Jiang, H.; Zipser, E.J. Contribution of tropical cyclones to the global precipitation from eight seasons of TRMM Data: Regional, seasonal, and interannual variations. J. Clim. 2010, 23, 1526–1543. [Google Scholar] [CrossRef]
- Du, Y.; Yang, L.; Xie, S.P. Tropical Indian Ocean influence on Northwest Pacific tropical cyclones in summer following strong El Niño. J. Clim. 2011, 24, 315–322. [Google Scholar] [CrossRef]












| Disaster Classification | Entire Taiwan | Northern | Central | Southern | Eastern | |||||||
|---|---|---|---|---|---|---|---|---|---|---|---|---|
| tau-b † | p Value † | tau-b | p Value | tau-b | p Value | tau-b | p Value | tau-b | p Value | tau-b | p Value | |
| All disasters | 0.598 | <0.001 | 0.221 | 0.173 | 0.063 | 0.697 | 0.253 | 0.119 | 0.295 | 0.069 | −0.316 | 0.052 |
| Cold wave | 0.512 | <0.01 | 0.31 | 0.064 | 0.118 | 0.51 | 0.346 | <0.05 | 0.385 | 0.055 | 0.105 | 0.586 |
| Drought | 0.281 | 0.238 | 0.256 | 0.222 | −0.111 | 0.655 | −0.2 | 0.624 | 0.4 | 0.327 | −0.222 | 0.404 |
| Rain | 0.567 | <0.001 | 0.411 | <0.05 | 0.015 | 0.934 | 0.255 | 0.14 | 0.509 | <0.01 | 0.2 | 0.299 |
| Tropical storm | −0.489 | <0.01 | −0.484 | <0.01 | −0.346 | <0.05 | −0.415 | <0.05 | −0.505 | <0.01 | −0.505 | <0.01 |
| Wind | 0.218 | 0.433 | 0.2 | 0.421 | 0.167 | 0.532 | ||||||
| Cluster | Frequency | Defining Characteristics |
|---|---|---|
| 1 | 61 | Low total precipitation and precipitation intensity in summer. Cold in February and hot in July. |
| 2 | 72 | High temperature throughout the year. Dry in winter and spring. |
| 3 | 14 | Cold in winter and early spring. Relatively wet in February, March, May, June, July, and August. |
| 4 | 22 | Warm and dry in spring, fall, and winter. Extremely wet with high frequency of strong winds in July. |
| 5 | 24 | Dry in late spring and summer. Wet in fall. High wind speed in fall and winter. |
| 6 | 32 | Cool and wet in spring, fall, and winter. |
| 7 | 6 | High temperature throughout the year. Extreme high temperatures from May to September. Dry in spring, fall, and winter. |
| 8 | 27 | Low temperature and wind speed throughout the year. High frequency of heavy rain in September. |
| 9 | 21 | Cold in January and February. |
| 10 | 8 | Wet with low temperatures in spring, fall, and winter. Extremely wet in October. |
| 11 | 13 | High frequency of heavy rain in April and August. Dry in fall. |
Disclaimer/Publisher’s Note: The statements, opinions and data contained in all publications are solely those of the individual author(s) and contributor(s) and not of MDPI and/or the editor(s). MDPI and/or the editor(s) disclaim responsibility for any injury to people or property resulting from any ideas, methods, instructions or products referred to in the content. |
© 2024 by the authors. Licensee MDPI, Basel, Switzerland. This article is an open access article distributed under the terms and conditions of the Creative Commons Attribution (CC BY) license (https://creativecommons.org/licenses/by/4.0/).
Share and Cite
Su, Y.-C.; Wu, C.-Y.; Kuo, B.-J. Characterizing Spatiotemporal Patterns of Disasters and Climates to Evaluate Hazards to Crop Production in Taiwan. Agriculture 2024, 14, 1384. https://doi.org/10.3390/agriculture14081384
Su Y-C, Wu C-Y, Kuo B-J. Characterizing Spatiotemporal Patterns of Disasters and Climates to Evaluate Hazards to Crop Production in Taiwan. Agriculture. 2024; 14(8):1384. https://doi.org/10.3390/agriculture14081384
Chicago/Turabian StyleSu, Yuan-Chih, Chun-Yi Wu, and Bo-Jein Kuo. 2024. "Characterizing Spatiotemporal Patterns of Disasters and Climates to Evaluate Hazards to Crop Production in Taiwan" Agriculture 14, no. 8: 1384. https://doi.org/10.3390/agriculture14081384
APA StyleSu, Y.-C., Wu, C.-Y., & Kuo, B.-J. (2024). Characterizing Spatiotemporal Patterns of Disasters and Climates to Evaluate Hazards to Crop Production in Taiwan. Agriculture, 14(8), 1384. https://doi.org/10.3390/agriculture14081384

